Due to scheduled maintenance work on our servers, there may be short service disruptions on this website between 11:00 and 12:00 CEST on March 28th.
Sign in to use this feature.

Years

Between: -

Subjects

remove_circle_outline
remove_circle_outline
remove_circle_outline
remove_circle_outline
remove_circle_outline
remove_circle_outline
remove_circle_outline
remove_circle_outline
remove_circle_outline

Journals

Article Types

Countries / Regions

remove_circle_outline
remove_circle_outline
remove_circle_outline
remove_circle_outline
remove_circle_outline

Search Results (593)

Search Parameters:
Keywords = ecohydrology

Order results
Result details
Results per page
Select all
Export citation of selected articles as:
20 pages, 3144 KB  
Article
Urban Stream Degradation, Organic Matter Retention and Implications for Environmental Health in the Central Amazon
by Sthefanie Gomes Paes, Joana D’Arc de Paula, Luis Paulino da Silva, Vanessa Campagnoli Ursolino, Maria Teresa Fernandez Piedade and Aline Lopes
Int. J. Environ. Res. Public Health 2026, 23(4), 418; https://doi.org/10.3390/ijerph23040418 - 26 Mar 2026
Abstract
Urbanization alters the hydrological and structural functioning of tropical urban streams, influencing organic matter transport and retention processes. This study investigated leaf litter retention dynamics in the Bindá Stream in central Amazonia. A six-month leaf release experiment (100 leaves per 12 trial; 1200 [...] Read more.
Urbanization alters the hydrological and structural functioning of tropical urban streams, influencing organic matter transport and retention processes. This study investigated leaf litter retention dynamics in the Bindá Stream in central Amazonia. A six-month leaf release experiment (100 leaves per 12 trial; 1200 leaves total) was conducted alongside hydrological monitoring and floristic surveys of riparian vegetation (adult and regeneration strata). Leaf retention remained consistently low (<33%) across sampling periods. Generalized linear models indicated that flow velocity and discharge were the primary predictors of retention probability, with higher hydrodynamic intensity significantly reducing in-stream storage. Riparian vegetation exhibited moderate structural complexity (Shannon H′ = 1.80; Structural Complexity Index = 3.80), yet limited channel roughness and physical obstructions constrained retention efficiency. Anthropogenic debris locally increased retention, but represents a structurally altered retention mechanism. Hydrodynamic forcing, rather than precipitation totals alone, governed organic matter transport dynamics. Reduced retention capacity suggests limited buffering of downstream material export under high-flow conditions. Although direct water-quality or epidemiological indicators were not measured, findings align with ecohydrological frameworks linking structural simplification and flow flashiness to diminished ecosystem regulation. These results inform riparian restoration and urban stormwater management strategies aimed at enhancing ecosystem regulation and water-quality buffering in tropical cities. Full article
(This article belongs to the Special Issue Energy Sector Pollution and Health Promotion)
Show Figures

Figure 1

12 pages, 7795 KB  
Article
AI-Based Modeling of Post-Fire Evapotranspiration Using Vegetation Recovery Indicators: Application to the 2022 Chongqing Burned Areas
by Ziyan Zhao and Rongfei Zhang
Forests 2026, 17(4), 410; https://doi.org/10.3390/f17040410 - 25 Mar 2026
Abstract
The 2022 Chongqing wildfires, occurring during an unprecedented heatwave, severely degraded subtropical forest ecosystems and disrupted hydrological cycling. We developed an integrated artificial intelligence framework combining Long Short-Term Memory and Transformer architectures to simulate post-fire evapotranspiration (ET) dynamics using 37 months of field [...] Read more.
The 2022 Chongqing wildfires, occurring during an unprecedented heatwave, severely degraded subtropical forest ecosystems and disrupted hydrological cycling. We developed an integrated artificial intelligence framework combining Long Short-Term Memory and Transformer architectures to simulate post-fire evapotranspiration (ET) dynamics using 37 months of field observations (2022–2025) across 24 plots with four burn severities. The Penman–Monteith–Leuning model provided physically based benchmarks. Results revealed three distinct recovery phases: destruction/stagnation (0–7 months, ET at 6%–10% of pre-fire levels), rapid recovery (8–19 months), and stabilization (20–37 months, reaching 100% ET recovery). The coupled LSTM–Transformer ensemble achieved superior performance (RMSE = 0.10 mm·day−1, NSE = 0.98), outperforming single models by 31% in uncertainty reduction. SHAP analysis identified phase-dependent factor shifts: soil water content dominated Stage I (42.5%), while leaf area index (LAI) controlled Stages II–III (>48%). A bimodal LAI time-lag effect emerged: 4–7 days (leaf water potential equilibrium, 27.7% contribution) and 8–14 days (root uptake compensation, 21.7%). Burn severity significantly extended time-lags (severe burns: 12/21 days vs. unburned: 5/12 days), indicating hydraulic system reconstruction requirements. Despite equivalent LAI recovery, severe burns maintained 12%–15% ET reduction, suggesting lasting hydraulic limitations. This study demonstrates that physics-constrained AI models effectively capture complex post-fire ecohydrological dynamics while providing mechanistic interpretability, advancing understanding of vegetation–water coupling reconstruction under increasing fire frequency. Full article
(This article belongs to the Special Issue Hydrological Modeling with AI in Forests)
Show Figures

Figure 1

30 pages, 4192 KB  
Article
Spatio-Temporal Evolution of NPP, Vegetation Characteristics, and Multi-Model, Multi-Scenario Predictions in the Shaanxi Section of the Qinling Mountains, China
by Zhe Li, Xia Li, Guozhuang Zhang and Leyi Zhang
Sustainability 2026, 18(6), 3136; https://doi.org/10.3390/su18063136 - 23 Mar 2026
Viewed by 95
Abstract
The Shaanxi section of the Qinling Mountains serves as a critical ecological transition zone and security barrier between northern and southern China. Monitoring the dynamics of its vegetation Net Primary Productivity (NPP) is essential for understanding regional carbon cycling and informing ecological management [...] Read more.
The Shaanxi section of the Qinling Mountains serves as a critical ecological transition zone and security barrier between northern and southern China. Monitoring the dynamics of its vegetation Net Primary Productivity (NPP) is essential for understanding regional carbon cycling and informing ecological management strategies. This study integrates three complementary analytical frameworks: the Mann–Kendall test combined with the Theil–Sen slope for linear trend extrapolation (MK-Theil-Sen), mechanistic simulation (CASA model), and machine learning (random forest). First, we analyzed the spatiotemporal evolution of NPP from 2000 to 2023. Then, based on three CMIP6 scenarios (SSP119, SSP245, SSP585), we projected NPP changes for 2030–2050 and compared results across different models and scenarios. The key findings are as follows: ① From 2000 to 2023, NPP in the Shaanxi section of the Qinling Mountains exhibited a fluctuating upward trend with a cumulative increase of 16.7%. Spatially, it showed a pattern of “higher in the south, lower in the north; higher in the west, lower in the east”. ② Multiple models predict continued NPP growth, though the magnitude remains uncertain. Mechanistic models, incorporating climate stress factors, yield relatively conservative projections. ③ Emission scenarios significantly influence future trends, with low-emission pathways (SSP119) favoring NPP enhancement and extended growing seasons. ④ Different vegetation types exhibit varying responses to scenario changes: broadleaf forests show the highest sensitivity, while grasslands and meadows demonstrate strong climate stability across models, with cultivated vegetation exhibiting intermediate sensitivity. This study provides comprehensive scientific references for regional ecological security assessment and adaptive management through historical analysis and multi-model, multi-scenario projections of NPP in the Shaanxi section of the Qinling Mountains. Full article
Show Figures

Figure 1

21 pages, 6278 KB  
Article
Vegetation Restoration Significantly Improved Soil Aggregate Stability in the East Qinling Mountains
by Xiaoming Xu, Yutong Xiao, Tao Huang, Xiaogang Li, Jiarong Zhang, Mingxu Gan and Yunpeng Xu
Agronomy 2026, 16(6), 657; https://doi.org/10.3390/agronomy16060657 - 20 Mar 2026
Viewed by 177
Abstract
Although plant restoration is essential for improving soil structure and stability, there are still few systematic assessments of its impacts across various restored vegetation species, especially in environmentally sensitive areas like the East Qinling Mountains. In order to provide a scientific foundation for [...] Read more.
Although plant restoration is essential for improving soil structure and stability, there are still few systematic assessments of its impacts across various restored vegetation species, especially in environmentally sensitive areas like the East Qinling Mountains. In order to provide a scientific foundation for optimizing restoration tactics and enhancing soil erosion control and ecosystem services in the area, this study attempts to assess the impacts of different recovered plant types on soil aggregate stability and to clarify the underlying mechanisms. The Pinus tabuliformis Carrière, Quercus variabilis Blume, Robinia pseudoacacia L., Pinus tabulaeformis-Quercus variabilis mixed forest, Platycladus orientalis (L.) Franco and abandoned grassland were the six vegetation types represented by the sixteen plots. Farmland was used as a control. Soil samples were taken from three depths (0–5 cm, 5–20 cm, and 20–40 cm) and evaluated for root biomass, soil organic matter (SOM), and water-stable aggregate dispersion. Mean weight diameter (MWD), fractal dimension (D), macroaggregate content of diameter > 0.25 mm (R0.25), and percentage of aggregate disruption (PAD) were used to evaluate aggregate stability. One-way ANOVA, LSD multiple comparisons, and Spearman correlation analysis were among the statistical analyses. In comparison to grassland and farming, forested regions, particularly mixed forests, showed considerably higher proportions of macroaggregates (>0.25 mm) and superior aggregate stability (higher MWD and R0.25, lower D and PAD). Increased litter and coarse root inputs, which encouraged big water-stable aggregates (WSAs) and reinforced their positive connection with SOM, were the driving forces behind this development. Robinia pseudoacacia L. and Platycladus orientalis (L.) Franco displayed the highest SOM concentration and root biomass (1201.45 and 679.66 g/m2, respectively). At all depths, mixed forests showed the most stable soil structure. In contrast to agriculture, vegetation restoration dramatically changed the mechanical composition of the soil, increasing the differentiation of particle-size fractions across soil layers and decreasing the amount of surface clay. Soil aggregate stability is greatly enhanced by vegetation restoration, with mixed forests offering the greatest advantages because of their varied root systems and increased input of organic matter. These results emphasize how crucial it is to choose the right vegetation types for restoration efforts in order to improve soil structure, reduce erosion, and promote ecological sustainability in the East Qinling Mountains. Full article
(This article belongs to the Special Issue Advances in Soil Management and Ecological Restoration)
Show Figures

Figure 1

28 pages, 7529 KB  
Article
Integrating GLASS LAI into the SWAT Model for Improved Hydrological Simulation in Semi-Arid Regions
by Xun Zhang, Yanan Jiang, Ting Yan, Kun Xie, Ping Li, Jiping Niu, Kexin Li and Xiaojun Wang
Agronomy 2026, 16(6), 639; https://doi.org/10.3390/agronomy16060639 - 18 Mar 2026
Viewed by 227
Abstract
The Soil and Water Assessment Tool (SWAT) model has been widely used to simulate ecohydrological processes in watersheds. However, the SWAT model uses a simplified Environmental Policy Impact Climate (EPIC) model to simulate the leaf area index (LAI), creating a critical gap in [...] Read more.
The Soil and Water Assessment Tool (SWAT) model has been widely used to simulate ecohydrological processes in watersheds. However, the SWAT model uses a simplified Environmental Policy Impact Climate (EPIC) model to simulate the leaf area index (LAI), creating a critical gap in accurately simulating evapotranspiration (ET) and runoff in semi-arid regions. This work aims to fill this gap by modifying the SWAT source code to integrate high-resolution Global Land Surface Satellite (GLASS) leaf area index (LAI) data. The modified version was applied to the semi-arid Wuding River Basin and calibrated using a Fortran-based dynamic dimension search (DDS) algorithm. The results show a relatively significant improvement in the accuracy of the daily-scale runoff simulation (R2 from 0.52 to 0.71 and NSE from 0.52 to 0.7 for the calibration period, and R2 from 0.21 to 0.58 and NSE from 0.2 to 0.51 for the validation period). The improved version also corrects the unrealistic default LAI peak (from >5.0 to 1.5–3.0), correcting the multi-year average ET from 251.7 mm to 341.8 mm. The improved vegetation growth module of the SWAT model effectively improved the accuracy of hydrologic simulation in the semi-arid region and enhanced the structural robustness of SWAT for water management. Full article
Show Figures

Figure 1

17 pages, 6263 KB  
Article
Beyond One-Dimension: How Transient Groundwater Flow Amplifies Groundwater Evapotranspiration and Extinction Depth
by Jia-Xin Shi, Linpeng Chen, Zhi-Yuan Zhang, Peng-Fei Han, Hongjuan Dong and Zhenbin Zhang
Hydrology 2026, 13(3), 97; https://doi.org/10.3390/hydrology13030097 - 16 Mar 2026
Viewed by 271
Abstract
Accurate quantification of groundwater evapotranspiration (ETg) is essential for reliable water resource assessment. Existing methods for estimating ETg from water table fluctuation largely rely on one-dimensional simplifications that neglect transient groundwater flow. However, in areas with shallow water table and [...] Read more.
Accurate quantification of groundwater evapotranspiration (ETg) is essential for reliable water resource assessment. Existing methods for estimating ETg from water table fluctuation largely rely on one-dimensional simplifications that neglect transient groundwater flow. However, in areas with shallow water table and topographic relief, where transient groundwater flow often occurs, the validity and accuracy of this simplification remain inadequately evaluated. In this study, we used HYDRUS-2D to construct a 50 m-long sandy hillslope with a 0.05 gradient to investigate ETg based on the water table fluctuation (WTF) method under transient groundwater flow conditions. The results indicate that periodic evapotranspiration generates water table fluctuations along the hillslope that exhibit amplitude attenuation and temporal phase lag, features not captured by 1D models. Ignoring transient groundwater flow leads to a systematic underestimation of ETg by up to 85% in sandy soil near the topographic lows. Furthermore, we found that both the decoupling depth and the extinction depth are significantly amplified by lateral groundwater flow, by up to 66% and 51%, respectively, compared with 1D estimates derived from the Shah method. These findings highlight the importance of incorporating transient flow processes into ETg estimation to improve the accuracy of water balance assessments and ecohydrological predictions, particularly in areas with shallow water tables and topographic relief. Full article
(This article belongs to the Section Surface Waters and Groundwaters)
Show Figures

Figure 1

26 pages, 6839 KB  
Article
Water Use in Thinned and Non-Thinned Semi-Arid Ponderosa Pine Forests During a Wet Year
by Thu Ya Kyaw, Temuulen Tsagaan Sankey, Thomas Kolb, George Koch, Helen Poulos, Andrew Barton and Andrea Thode
Forests 2026, 17(3), 343; https://doi.org/10.3390/f17030343 - 10 Mar 2026
Viewed by 468
Abstract
Under recurring droughts, the southwestern U.S. loses a significant proportion of precipitation as evapotranspiration (ET), suggesting an opportunity to reduce ET via forest thinning. To better understand the potential impacts of thinning on the forest hydrologic cycle, we used sap flow sensors and [...] Read more.
Under recurring droughts, the southwestern U.S. loses a significant proportion of precipitation as evapotranspiration (ET), suggesting an opportunity to reduce ET via forest thinning. To better understand the potential impacts of thinning on the forest hydrologic cycle, we used sap flow sensors and Bowen ratio stations to measure ET in thinned and non-thinned ponderosa pine (Pinus ponderosa Douglas ex C. Lawson) stands in northern Arizona during the wet year of 2023, where thinning removed 42% of overstory basal area. Although our study site had experienced prolonged drought in previous years, heavy winter snowfall made 2023 a wet year. We correlated sap flow with environmental variables and used principal component analysis to identify the primary drivers of ponderosa pine water use in thinned and non-thinned stands. Results showed that after accounting for tree size, thinned stands had ~20% (~5 L day−1) higher individual-tree water use at daily and weekly temporal scales than non-thinned stands. At the stand level, thinning decreased overstory ET (OET) but increased understory ET (UET), indicating a reallocation of outgoing water fluxes in the water balance. As a result, total ET (sum of OET and UET) decreased from 584 to 516 mm year−1. In the semi-arid forest, this decrease in total ET of 68 mm year−1 (~12% reduction) indicates an ecohydrologically meaningful outcome of forest thinning. In both stands, tree water use was strongly regulated by environmental variables, primarily atmospheric variables such as air temperature and vapor pressure deficit. Overall, our results suggest that thinning can still promote an improved stand-level forest water balance during a wet year and thus may enhance forest resilience under projected increases in heat and aridity in the southwestern U.S. Full article
(This article belongs to the Section Forest Hydrology)
Show Figures

Figure 1

7 pages, 186 KB  
Editorial
Ecohydrology in the Context of Climate Change: Strategies for Management, Monitoring, and Modeling
by Carmen Maftei and Ashok Vaseashta
Water 2026, 18(5), 643; https://doi.org/10.3390/w18050643 - 8 Mar 2026
Viewed by 221
Abstract
Global anthropogenic activities and conjoint climate extremes are fundamentally disrupting closely coupled hydroecological systems, altering catchment-scale water balances, biogeochemical fluxes, and the resilience of ecosystem services [...] Full article
20 pages, 4038 KB  
Article
Dynamics of Soil Moisture and Its Response to Meteorological Factors at Different Depths in an Arid Land, Northwest China
by Wenye Li, Wenpeng Li, Yuejun Zheng, Xusheng Wang and Xiaofan Qi
Atmosphere 2026, 17(3), 232; https://doi.org/10.3390/atmos17030232 - 25 Feb 2026
Viewed by 336
Abstract
Soil moisture is a critical variable in the eco-hydrological processes of arid regions; however, the vertical stratified mechanisms of soil moisture response to meteorological factors in artificial grassland remain inadequately quantified. Based on 10-min interval monitoring data from 2015 to 2024 in the [...] Read more.
Soil moisture is a critical variable in the eco-hydrological processes of arid regions; however, the vertical stratified mechanisms of soil moisture response to meteorological factors in artificial grassland remain inadequately quantified. Based on 10-min interval monitoring data from 2015 to 2024 in the middle reaches of the Heihe River, this study investigated the dynamics of soil moisture within a 0–160 cm depth profile in an arid artificial grassland. By integrating the Mann–Kendall trend test, Pearson correlation, time-lagged cross-correlation, multiple regression analysis and redundancy analysis, we systematically investigated the changing relationships between meteorological factors and soil moisture. The results revealed the following: (1) main meteorological factors driving surface processes (e.g., net radiation, air temperature, vapor pressure deficit) showed significant increasing trends with strong variability, while relative humidity decreased significantly, and these findings collectively point to a general trend of warming and drying in the region; (2) WS, Ta, rainfall, and RH are the principal factors explaining soil moisture variations, wherein temperature and humidity exhibit positive correlations with soil moisture; (3) RDA results showed that shallow soil moisture (0–20 cm) was primarily governed by air temperature and rainfall, whereas deep soil moisture was increasingly regulated by vapor pressure deficit; (4) time-lagged cross-correlation analysis showed that the response time of soil moisture to rainfall almost increased with soil depth, while the correlation coefficient gradually weakened from 0.43 to 0.06. This study quantitatively elucidates the stratified control mechanism of meteorological factors on the vertical pattern of soil moisture, contributing to a deeper understanding of the response of eco-hydrological processes under climate change and providing a scientific basis for water resource management, agricultural planning, and climate prediction. Full article
(This article belongs to the Special Issue Vegetation–Atmosphere Interactions in a Changing Climate)
Show Figures

Figure 1

25 pages, 4186 KB  
Article
Ecological Water Requirements and Ecosystem Responses in the Downstream Reaches of a Typical Arid Inland River Basin
by Hao Tian, Muhammad Arsalan Farid, Xiaolong Li and Guang Yang
Water 2026, 18(4), 490; https://doi.org/10.3390/w18040490 - 14 Feb 2026
Viewed by 380
Abstract
The Three-River Connectivity Zone in the lower Tarim River Basin (TRCZ) is a typical area that has experienced decades of river cut-off, followed by artificial ecological water transfers and vegetation restoration. However, the long-term patterns of ecological water requirements and their response mechanisms [...] Read more.
The Three-River Connectivity Zone in the lower Tarim River Basin (TRCZ) is a typical area that has experienced decades of river cut-off, followed by artificial ecological water transfers and vegetation restoration. However, the long-term patterns of ecological water requirements and their response mechanisms to ecosystem services in this region remain unclear. This study aims to quantify the spatiotemporal dynamics and driving factors of ecological water requirements in the TRCZ from 1990 to 2020. We integrated multi-temporal remote sensing land cover data with the FAO Penman–Monteith equation to estimate vegetation evapotranspiration (as a proxy for ecological water requirement) and coupled the InVEST model with Random Forest modeling to identify key climatic and hydrological drivers. Unlike previous studies that focused primarily on precipitation inputs, our approach explicitly considers the ecosystem’s water yield function alongside water demand, offering new insights into the constraints on ecosystem services. Key findings reveal: (1) During the period of 2005–2010, the land cover types underwent significant changes, characterized by a marked expansion of sparse forest (14–21%) and a pronounced decline in forest land, which fundamentally reconfigured the ecosystem’s water demand structure. (2) Accordingly, the multi-year average ecological water requirement quota in the study area is 2.95 × 107 m3, and the total ecological water requirement exhibited a fluctuating decline at a rate of −1.39 × 105 m3/yr, yet sparse forest persisted as the dominant water-consuming component. (3) The Random Forest model (R2 = 0.942) identified water yield (importance: 0.527) and precipitation (0.255) as the primary drivers, establishing the ecosystem’s water yield function rather than precipitation input alone as the critical constraint. (4) A widespread increase in the unit area ecological water requirement across vegetation types signaled escalating pressures from climate change. This research provides a quantitative framework and a transferable methodology for adaptive water resource management and ecological restoration in arid regions, emphasizing the balance between ecosystem water demand and supply functions. Full article
(This article belongs to the Section Ecohydrology)
Show Figures

Figure 1

21 pages, 4975 KB  
Article
Spatiotemporal Variability and Extreme Precipitation Characteristics in Arid Region of Ordos, China
by Shengjie Cui, Shuixia Zhao, Chao Li, Yingjie Wu, Xiaomin Liu, Ping Miao, Shiming Bai, Yajun Zhou and Jinrong Li
Hydrology 2026, 13(2), 68; https://doi.org/10.3390/hydrology13020068 - 11 Feb 2026
Viewed by 462
Abstract
Studying the precipitation characteristics and extreme precipitation events in arid and semi-arid regions is of significant baseline value for optimizing water resource allocation and utilizing precipitation resources. Utilizing multi-scale ERA5 precipitation data from 1960 to 2023, this study focuses on the typical arid [...] Read more.
Studying the precipitation characteristics and extreme precipitation events in arid and semi-arid regions is of significant baseline value for optimizing water resource allocation and utilizing precipitation resources. Utilizing multi-scale ERA5 precipitation data from 1960 to 2023, this study focuses on the typical arid and semi-arid region of Ordos as the research area. Precipitation exceeding the 90th percentile was defined as extreme precipitation, and three indices—extreme precipitation amount (EPA), extreme precipitation frequency (EPF), and extreme precipitation proportion (EPP)—were used to investigate its characteristics in the study area. Additionally, three typical extreme precipitation events in recent years were analyzed to study the precipitation process of these typical events. The main results are as follows: The annual average precipitation in the study area ranges from 170.3 to 606.1 mm, with an average of 378.5 mm, which has been on a declining trend over the years, with an average annual decrease of 1.2 mm. Overall, 70% of the precipitation is concentrated in the months of June to September. The daily average of extreme precipitation in Ordos is 18.7 mm and the annual average number of extreme precipitation days ranges from 8 to 13 days, with an average annual number of extreme precipitation days being 11. Extreme precipitation accounts for more than 50% of the total precipitation. Among all areas analyzed, Jungar Banner demonstrates the greatest vulnerability to intense rainfall events. Typical extreme precipitation events in Ordos are characterized by short-duration heavy rainfall, with the rain peak ratio coefficients of the three events ranging from 0.62 to 0.72, exhibiting a distinct “post-peak” pattern. These findings provide scientific support for water resource management and disaster prevention strategies in arid and semi-arid regions. Full article
(This article belongs to the Special Issue Global Rainfall-Runoff Modelling)
Show Figures

Figure 1

20 pages, 2376 KB  
Article
Scalability and Computational Performance of an Ecohydrological Model Using Machine Learning-Based Prediction
by Nicolás Cortés-Torres, Sergio Salazar-Galán and Félix Francés
Water 2026, 18(4), 466; https://doi.org/10.3390/w18040466 - 11 Feb 2026
Viewed by 409
Abstract
Despite the widespread use of distributed hydrological models for operational forecasting, climate change impact assessment, and large ensemble experiments, their computational performance and scalability are rarely systematically and reproducibly quantified. This lack of explicit information limits researchers’ and practitioners’ ability to anticipate runtimes, [...] Read more.
Despite the widespread use of distributed hydrological models for operational forecasting, climate change impact assessment, and large ensemble experiments, their computational performance and scalability are rarely systematically and reproducibly quantified. This lack of explicit information limits researchers’ and practitioners’ ability to anticipate runtimes, allocate computational resources efficiently, and design feasible modeling experiments. To address this gap, a general methodological framework was developed to assess computational scalability by varying spatial and temporal resolutions, input/output gauge densities, and hardware configurations. This framework was evaluated using the TETIS v9.1 ecohydrological model as a case study. Runtimes were systematically recorded, and a Random Forest regression model was trained to predict computational performance based exclusively on user-defined configuration variables. Model robustness was further assessed through a Monte Carlo uncertainty analysis. The results reveal clear scaling patterns: spatial resolution and output-gauge density exert the strongest influence on runtime, while temporal resolution shows nonlinear effects that depend on catchment size. The predictive tool achieved high accuracy for large hydrological simulations, with increased uncertainty limited to extremely short runtimes on high-speed processors. This study introduces a transferable framework to support efficient experimental design and operational hydrological modeling and provides the first reproducible characterization of TETIS computational scalability. Full article
(This article belongs to the Section Hydrology)
Show Figures

Figure 1

27 pages, 13147 KB  
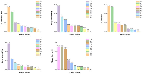
Article
Multi-Model Assessment of Key Ecosystem Services in Horqin Sandy Land: Spatio-Temporal Dynamics, Drivers and Trade-Offs/Synergies
by Xinyu Guo, Yongzhi Bao, Tingxi Liu, Lina Hao, Limin Duan, Shuo Lun, Jiahao Sun and V. P. Singh
Land 2026, 15(2), 299; https://doi.org/10.3390/land15020299 - 11 Feb 2026
Viewed by 396
Abstract
The spatio-temporal dynamics of ecosystem services (ESs) are essential for ecological restoration and sustainable management in arid regions. Although ESs have been extensively studied in sandy landscapes, research on the multi-model evaluation of various ESs remains limited. This study assessed the spatio-temporal quantification [...] Read more.
The spatio-temporal dynamics of ecosystem services (ESs) are essential for ecological restoration and sustainable management in arid regions. Although ESs have been extensively studied in sandy landscapes, research on the multi-model evaluation of various ESs remains limited. This study assessed the spatio-temporal quantification and driving factors of, and interrelationships among, Net Primary Productivity (NPP), Habitat Quality (HQ), Carbon Stock (C), Water Yield (WY), and Soil Retention (SR) in the Horqin Sandy Land. This assessment utilized the InVEST model, the CASA model, geographic detectors, and Spearman correlation analysis. The results indicate the following: (1) From 2000 to 2024, land use transformation in the Horqin Sandy Land was characterized by a substantial reduction in fixed sand dunes (−1047 km2) and a shift toward dryland and semi-fluid sand dunes, while semi-fixed sand dunes and forested areas expanded significantly. (2) NPP, HQ, and SR exhibited an overall increase with notable spatial improvement, whereas WY experienced a general decline. The changes in each service displayed marked differentiation in both time and space. (3) NDVI, land use and precipitation are the dominant factors of different services, and the explanatory power of the interaction among these factors is generally stronger, jointly driving the spatial pattern of ecosystem services. (4) The collaboration and trade-off relationships among services evolve dynamically over time. Among them, the transformation from trade-off to collaboration between C and WY is the most prominent, and the spatial distribution of various relationships shows significant regional heterogeneity. The research results provide a scientific basis for revealing the ecological restoration in arid areas. Full article
Show Figures

Figure 1

27 pages, 5778 KB  
Article
Microbiome as a Sensitive Indicator of River Environmental Health—A Catchment-Scale Approach (Poland)
by Kornelia Stefaniak, Ewa Korzeniewska, Magdalena Męcik, Edyta Kiedrzyńska, Marcin Kiedrzyński, Dominika Matuszewska, Katarzyna Jaszczyszyn, Natalia Matwiej, Damian Rolbiecki and Monika Harnisz
Appl. Sci. 2026, 16(3), 1540; https://doi.org/10.3390/app16031540 - 3 Feb 2026
Viewed by 489
Abstract
Municipal wastewater treatment plants (WWTPs) are crucial for protecting the environment and public health, yet the discharge of treated wastewater can influence the biodiversity of aquatic microbial communities. Enterobacterales are reliable indicators of sanitary risk. Contamination with Enterobacterales often reflects wastewater treatment inefficiency, [...] Read more.
Municipal wastewater treatment plants (WWTPs) are crucial for protecting the environment and public health, yet the discharge of treated wastewater can influence the biodiversity of aquatic microbial communities. Enterobacterales are reliable indicators of sanitary risk. Contamination with Enterobacterales often reflects wastewater treatment inefficiency, and pathogenic strains such as E. coli, Klebsiella pneumoniae, and Enterobacter pose significant public health threats. This study assessed bacterial diversity in the wastewater treatment process and evaluated how treated wastewater affects the microbiome of the Pilica River. Its added value lies in the use of an integrated catchment-scale approach, involving an analysis of the Pilica River from its source to its mouth (including eight sampling sites), all seasons, and inflows from 17 WWTPs. The abundance of Enterobacterales was strongly correlated with environmental factors, but not with pH. WWTP size influenced the relative abundance of ASVs of Yersinia, Escherichia-Shigella, and total Enterobacterales, while influent composition had no significant effect on microbial communities. Seasonal variations had the greatest impact on river microbiota, particularly Yersinia, Rahnella, and Providencia. Escherichia-Shigella dominated across wastewater and river samples, confirming its role as an indicator of water quality. The study demonstrated that treated wastewater can modify river microbiomes, thereby increasing sanitary and epidemiological risks. Full article
(This article belongs to the Section Applied Microbiology)
Show Figures

Figure 1

30 pages, 11104 KB  
Article
Monitoring Oxbow Lakes with Remote Sensing: Insights into Turbidity, Connectivity, and Fish Habitat
by Lina G. Terrazas-Villarroel, Jochen Wenninger, Marcelo Heredia-Gómez, Nick van de Giesen and Michael E. McClain
Remote Sens. 2026, 18(3), 474; https://doi.org/10.3390/rs18030474 - 2 Feb 2026
Viewed by 497
Abstract
In meandering river floodplain systems, remote sensing is a valuable tool for assessing connectivity processes relevant to fish ecological functions. This study used the Google Earth Engine platform and multispectral Landsat 7 imagery. A random forest classifier was used to evaluate water types [...] Read more.
In meandering river floodplain systems, remote sensing is a valuable tool for assessing connectivity processes relevant to fish ecological functions. This study used the Google Earth Engine platform and multispectral Landsat 7 imagery. A random forest classifier was used to evaluate water types and area changes in oxbow lakes of the Beni River in Bolivia. Water type dynamics were mainly associated with lake age and distance from the main channel. Seasonal variations highlighted the role of wind-driven sediment resuspension and overflow during high discharge conditions. Long-term lake area changes reflected typical oxbow lake evolution as well as alterations caused by the main channel. Multiannual changes showed a notable area decrease during years of low discharge. Relationships between discharge and lake area dynamics allowed the classification of three lake groups with different levels of connectivity and overbank flow influence. The ecological relevance of these groups was evaluated based on fish habitat preferences and migration patterns. Results emphasize the importance of preserving natural hydrologic variability, with flooding associated with increased habitat availability. Overall, this study demonstrates the usefulness of satellite remote sensing for detecting ecohydrological processes and offers insights to preserve ecological functions in data-scarce regions. Full article
Show Figures

Graphical abstract

Back to TopTop