Next Article in Journal
Rational Consumption of Water in Administrative Public Buildings: The Experience of the Bahia Administrative Center, Brazil
Previous Article in Journal
Development of a Shared Vision for Groundwater Management to Protect and Sustain Baseflows of the Upper San Pedro River, Arizona, USA
Previous Article in Special Issue
Rex, J., et al. Mountain Pine Beetles, Salvage Logging, and Hydrologic Change: Predicting Wet Ground Areas. Water 2013, 5, 443–461
 
 
Font Type:
Arial Georgia Verdana
Font Size:
Aa Aa Aa
Line Spacing:
Column Width:
Background:
Article

Impact of Forest Cover and Aridity on the Interplay between Effective Rooting Depth and Annual Runoff in South-West Western Australia

1
School of Civil, Environmental and Mining Engineering, The University of Western Australia, Nedlands, WA 6009, Australia
2
School of Earth and Environment, The University of Western Australia, Nedlands, WA 6009, Australia
*
Author to whom correspondence should be addressed.
Water 2014, 6(9), 2539-2551; https://doi.org/10.3390/w6092539
Submission received: 18 February 2014 / Revised: 25 July 2014 / Accepted: 15 August 2014 / Published: 25 August 2014
(This article belongs to the Special Issue Ecological Watershed Management)

Abstract

:
Variants of the Budkyo hydrological model describe the effects of land use change on annual water yield. A recent modification using a simple process-based ecohydrological model provides insight into the partitioning of rainfall between runoff and evapotranspiration. In particular, the ‘effective vegetation rooting depth’ becomes the single free parameter in the model and can be related to land use and climate. We applied this approach to investigate the relations between mean annual runoff from 2000 to 2011, catchment average effective rooting depth and the proportion of forest cover across eleven catchments in South-west Western Australia. The proportion of forested and cleared land was partitioned using MODIS minimum annual average LAI values from 1 km2 pixels over 2000–2011, with forest clearing ranging from 1% to 98% across the 11 catchments. Estimated mean annual runoff using catchment averaged effective rooting depths for forest and cleared (grassland) land obtained using an independent physiologically-based model gave better estimates than a widely used ‘default’ Budkyo-based model. If effective rooting depth declines with aridity, as described by the model then runoff decline may be considerably less (about 50%) than predicted if the effective root depth remains unchanged (70%–92% decline). This highlights the importance of understanding ecohydrological feedbacks between vegetation and climate in projecting scenarios of water yield response to climate change.

1. Introduction

Understanding the impacts of land use and climate change on the hydrologic cycle is of fundamental importance to catchment managers interested in optimizing trade-offs between water yield and ecosystem services [1].
At catchment scale there are strong feedbacks and co-evolution between biological and hydrological systems [2,3]. These linked feedbacks between climate, vegetation and soil are particularly pronounced in water-controlled dryland ecosystems [4,5] and in groundwater-dependent ecosystems [6].
Storage and transmission of water through the unsaturated zone exerts a strong control on the functioning of ecosystems and is highly dependent on climate, vegetation and soil properties. At large spatial scales (>1000 km2) the long term annual average water balance can be described using only macro-climatic variables and this tends to dominate over vegetative and soil effects on the water balance [7].
At intermediate spatial scales (≈1000 km2) when the dominant limitation to plant growth is water, the leaf area of native vegetation is tightly coupled to moisture availability and adjusts in a dynamic fluctuation with it [8]. This suggests a ‘steady-state’ or optimal condition in undisturbed ecosystems supporting perennial vegetation [9,10]. In effect, pristine vegetation reflects an integrated response to the processes that affect the availability of water [7].
Understanding the inter-relation between the water balance and biological processes is one of the central concerns of ecohydrology and can provide essential information to improve vegetation management for both water and environmental benefits. The Budkyo hydrological model [11] has been used to evaluate these feedbacks and estimate the effects of land use and climate change on actual annual evaporation and runoff [12,13,14,15]. It is essentially a ‘steady state’ model that can be used to determine the difference between two steady states under differing land use.
Until recently, the Budyko model has been used primarily to investigate the gross effects of climate and catchment properties on catchment hydrology, rather than on how changes to biotic factors may influence evapotranspiration and runoff. However, Donohue et al. [16] built on the work of Porporato el al. [17] to directly include the effects of plant-available soil water holding capacity, mean storm depth and effective rooting depth in the Budkyo framework.
In this paper we commence by overviewing the approach of Donohue et al. [16] and then apply it to obtain direct estimates of effective rooting depth from mean annual rainfall and runoff data across 11 catchments in South-west Western Australia that have been subject to varying degrees of forest clearing. We compare these estimates with values obtained from an independent physiologically-based model [18] in order to examine how the effective rooting depth of forest and pasture may be influenced by climate. We then partition out the area of cleared land in each catchment using MODIS-LAI data and use catchment average effective rooting depths from the physiologically-based model to obtain an un-calibrated estimate of mean annual runoff averaged over 2000–2011 for each catchment.

2. The Catchment Water Balance within the Budkyo Framework

On an annual timescale or longer, the mean annual flow from a catchment is often estimated using a simple water balance approach [19]. Assuming there are no water abstractions or transfers and that net deep drainage is negligible, the water balance may be expressed as:
dSw/dt = P − E − R
where Sw is soil water, P is mean annual rainfall, E is mean actual evapotranspiration and R is runoff. All terms are expressed as units of depth. If the timescale of interest is greater than the fluctuations in Sw then the catchment is said to be at ‘steady state’ (left hand side of Equation (1) is 0) and evapotranspiration is given by:
E = P − R
Equation (2) is the foundation for many long term gauged catchment studies of land use effects on evapotranspiration.
Simple relations between E and climate have been proposed for steady-state conditions [20], with two general climatic constraints: Under very dry conditions, potential evapotranspiration (Eo) exceeds precipitation and E equals precipitation. At the other extreme, under very wet conditions Eo is limited by available energy. Annual precipitation exceeds Eo and E equals Eo.
Using these relations, Budyko [11,20] estimated the mean annual evapotranspiration (E) for large (>1000 km2) catchments and regional scales using:
Water 06 02539 i001
Equation (3) is widely referred to as the ‘Budkyo curve’.
In order to avoid problems with definition of ‘potential evaporation’ [21], Donohue et al. [7] preferred the definition of ‘available energy’ as Water 06 02539 i002, the average net radiation (Rn) given in Js−1 and the latent heat of vaporisation, λ, (Jkg−1). Averaged over a year or longer, the net input from sensible heat can be neglected, so (Rn) is a good approximation of available energy and can be obtained as a combined observation and model based product from satellite data.
Earlier, Choudhury [22] also used net radiation when fitting a Budyko-type curve to field data, but more recently it has become common to use potential evaporation, Eo [16,23]. The resulting empirical equation is:
Water 06 02539 i003
where n is a fitting parameter that represents how any processes other than P and Eo (and associated errors) affect runoff. [15,23]. Because runoff is the difference between P and E, Equation (4) can be combined with Equation (2) and rearranged to give:
Water 06 02539 i004
Equation (4) matches the Budkyo curve when n = 1.9 for Eo/P = 1.0 [24] and this is generally referred to as the Choudhury ‘default’ model. Zhang et al. [15] used regression analysis to develop a similar ‘default’ model of mean annual runoff for forest or grass cover under steady-state conditions.
Donohue et al. [7] point out that the Budyko framework is most applicable to large (>10,000 km2) catchments on an annual time step. They argued for the inclusion of vegetation dynamics into the framework in order for it to be extended to smaller catchments and timescales and also for use in operational activities relating to vegetation and water management.
Yang et al. [25] used the Budyko framework to estimate the regional water balance using data from 99 catchments in the non-humid region of China. They found that the regional long term water balance forms a group of Budyko curves due to interactions between vegetation, climate and the water cycle.
The difference in the Budyko curve groups reported by Yang et al. [25] is captured in the ‘n’ parameter of Equation (4). The physical meaning of this parameter remained comparatively obscure until Donohue et al. [23] proposed an ecohydrological framework that included the effects of plant available soil water holding capacity, mean storm depth and effective rooting depth.

The Ecohydrological Basis of the Choudhury ‘n’ Parameter

Porporato et al. [17] showed that the terrestrial water balance is governed by the ratio between the soil storage capacity and the mean rainfall input per event and either the dryness index (the ratio between the maximum evapotranspiration and the mean rainfall rate) or the ratio between the rate of occurrence of rainfall events and the maximum evapotranspiration rate. The first ratio is given by
Water 06 02539 i005
where the dimensionless ratio, γ is a function of ‘effective’ rooting depth, Ze (mm), the fractional plant available water holding capacity, κ, (0–1 dimensionless) and the mean depth per storm event, α (mm).
Donohue et al. [16] then developed an approximate empirical linear relation between γ and the Choudhury ‘n’ parameter, which in combination with Equation (6) is expressed as:
Water 06 02539 i006
If values for α can be estimated from pluviograph data and κ obtained from soil databases then the average annual Ze can be obtained by fitting n to mean annual runoff data using Equation (5) and inverting Equation (7) to give
Water 06 02539 i007
An alternative ‘forward’ (uncalibrated) approach to estimating effective rooting depth was given by Guswa [18]. Ignoring groundwater-dependency, the Guswa model is given by
Water 06 02539 i008
where W is given by Donohue et al. [16] as Water 06 02539 i009. In the definition of W, Guswa [18] refers to potential transpiration, not Eo but since the Penman Eo essentially defines the atmospheric demand for water we follow the notation of Donohue et al. [16].
For W < 1, X is obtained from
Water 06 02539 i010
If W ≥ 1, the square root term in Equation (10) is subtracted, rather than added. The parameter A (mm−1) represents the physiological cost-benefit of additional deeper roots for a given vegetation type [18] and is defined as
Water 06 02539 i011
where γr is the root respiration rate (mmol CO2 g−1 d−1), Dr is the root length density (cm cm−3) Lr is the specific root length (cm g−1), Wph is the water use efficiency of photosynthesis (mmol CO2 cm−3 H2O), Tp is the daily potential evapotranspiration rate (mm d−1) and fs is the growing season length (fraction of year).
Note that in Equation (9) Z is clearly related to W (the reciprocal of the climate index), modified by κ, α, and A. Since A generally depends upon regional parameters for forest and grassland, the parameters κ and α account for variations in Z for a given W.

3. Materials and Methods

The study was undertaken on eleven gauged catchments with areas exceeding 440 km2 in South-west Western Australia, spanning the 540–1200 mm rainfall zone (Figure 1).
Figure 1. Location of study catchments in South-west Western Australia.
Figure 1. Location of study catchments in South-west Western Australia.
Water 06 02539 g001
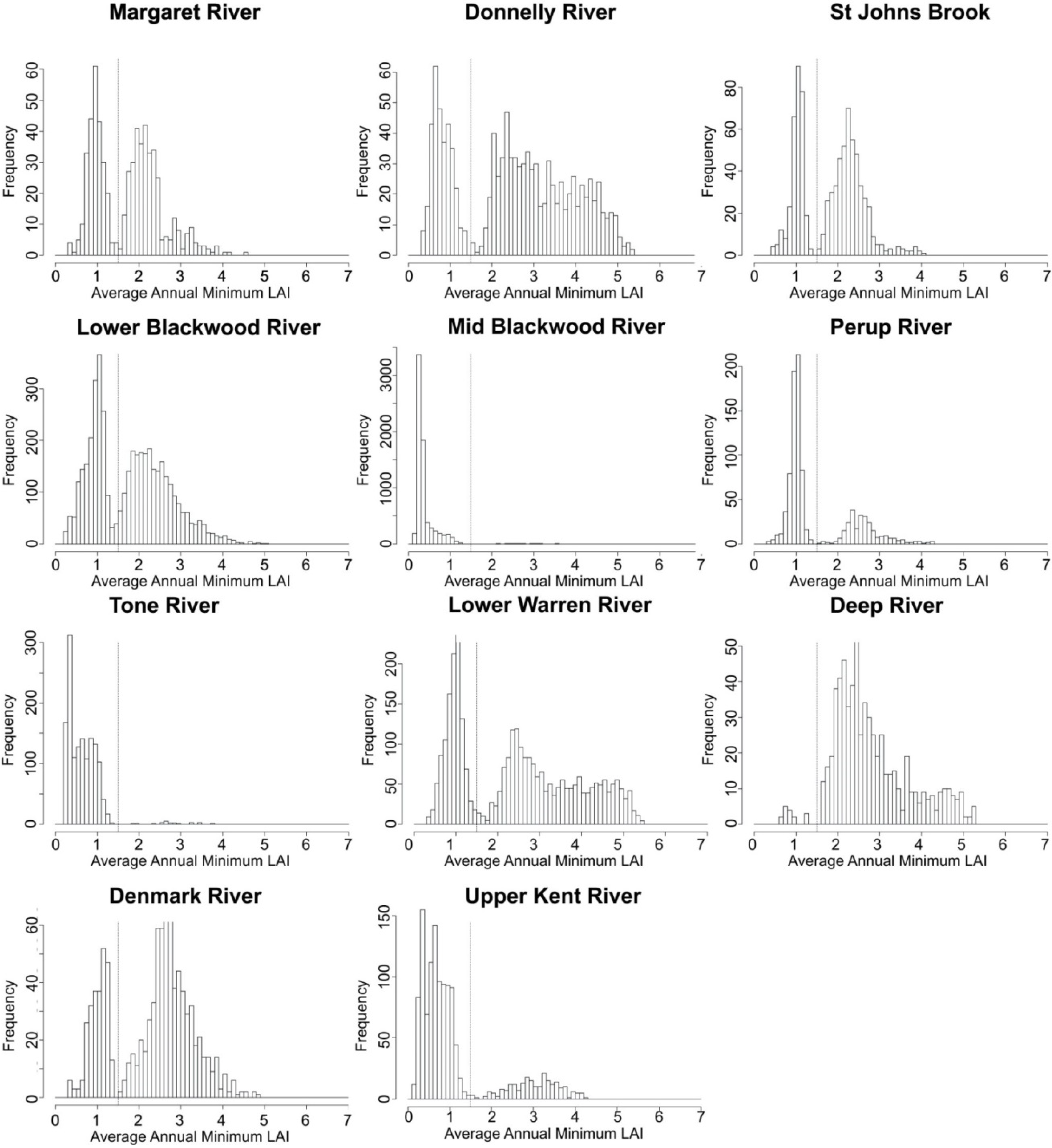
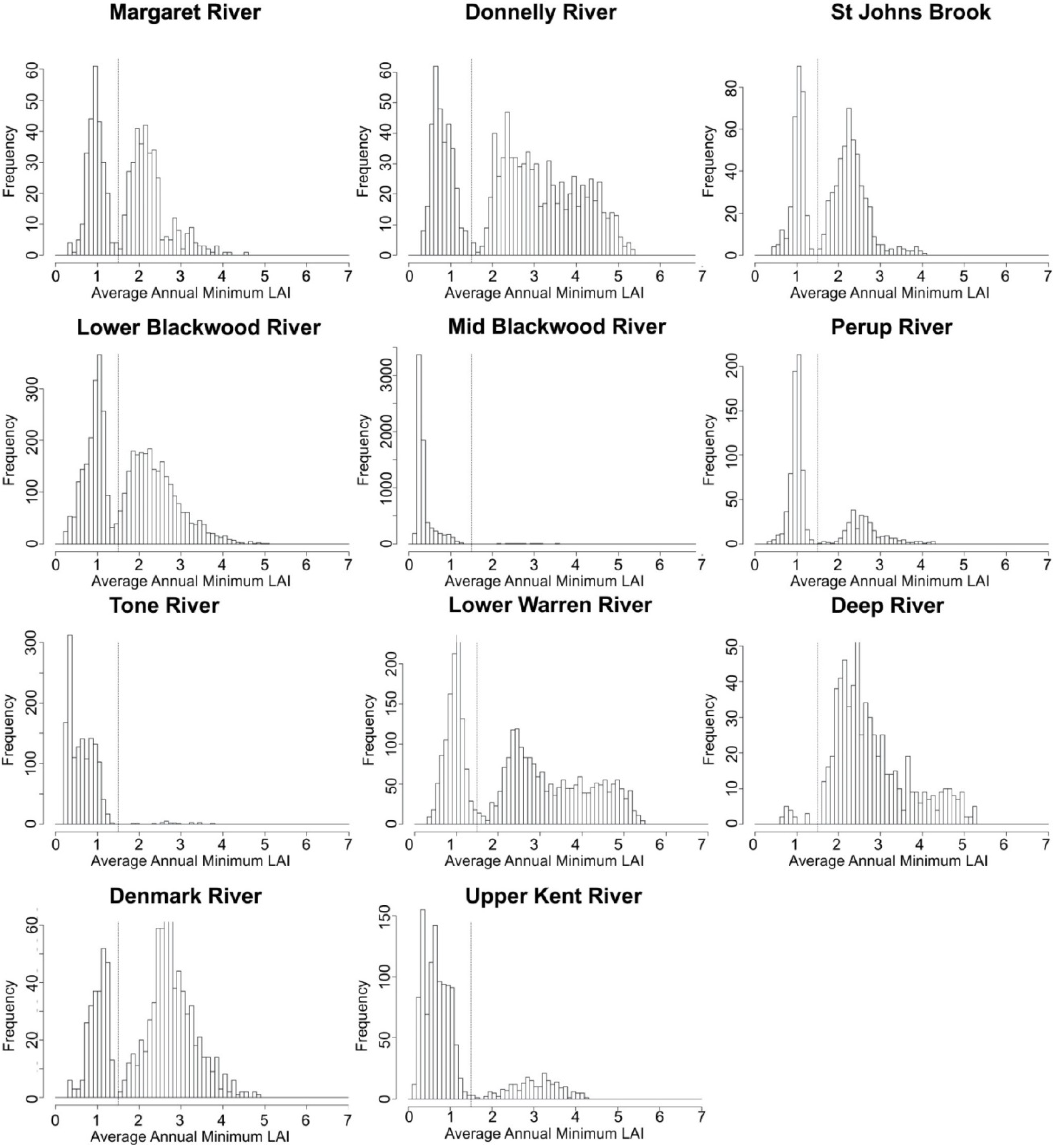
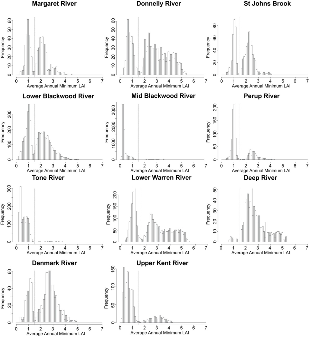
Study catchment characteristics are summarized in Table 1. Percent clearing (Table 1) was calculated using mean annual minimum Leaf Area Index (LAI) on a 1 km2 grid derived from the improved (2011) MOD16 Global Terrestrial Data Set [26,27]. Average annual minimum LAI was calculated by taking the minimum LAI value in each water year (April to March) and averaging across the period April 2000 to March 2011. Use of minimum annual LAI gives a clear distinction between annual (predominantly grassland) and perennial (forest) vegetation, as illustrated in Figure 2. Note that in this region cleared land is mostly converted to grassland pasture in the >600 mm rainfall zone.
Table 1. Characteristics of the study catchments.
Table 1. Characteristics of the study catchments.
Study CatchmentArea (km2)Percent ForestMean Annual Rain (mm) (2000–2011)Mean Annual Runoff (mm) (2000–2011)Penman Eo (mm)
1Margaret River44358.0790114.51575
2Donnelly River78770.086277.61610
3St Johns Brook57562.080044.91575
4Lower Blackwood River306658.073045.01591
5Middle Blackwood River504301.053531.71610
6Perup River66629.062809.01591
7Tone River101502.059332.51610
8Lower Warren River218764.086754.71591
9Deep River46798.099451.21511
10Denmark River67172.089150.11526
11Mid Kent River88018.059117.81610
For three of the catchments (Warren River, Blackwood River and Kent River), we excised reach data (Figure 1). By using three gauging stations on the Warren River (two cleared upstream tributaries (West Australian Department of Water (DoW) Stations: 607004 and 607007) and one downstream (DoW Station: 607220)), we calculated mean annual runoff (mm) from available flow data [28] for the more heavily forested downstream area only. Similarly, for the Blackwood River we deducted the mid-catchment flow (DoW Station: 609012) and St John’s Brook (DoW Station: 609018) from the downstream gauge at (DoW Station: 609019) to isolate the more heavily forested lower section of this catchment. The mid Kent River reach was also excised between (Dow Station: 604001) and (Dow Station: 604003). This provided a dataset of eleven discharge records across a range of land clearing from 2% to 99%.
Annual rainfall data for open stations in this region were converted into a spatial dataset via regularised splines, produced at the same 1 km2 grid as the MODIS LAI product. Locations of climate and rainfall stations within the study region are shown on Figure 1.
For each catchment the average annual rainfall over the study period 2000–2011 was analysed by sampling and then “binning” and averaging of point raster values using automated Python scripts utilizing the ArcGIS10 GeoProcessor Toolbox. Penman potential ET was averaged for each catchment using data from Donohue et al. [16]. We chose to average annual (water year runoff) from January 2000–November 2010 as it coincided with the available MODIS record and because there was no significant decline in rainfall across the study catchments over this period [29].
Figure 2. Separation of land use in each catchment into ‘forest’ (LAI > 1.5) and ‘grassland (LAI < 1.5) using MODIS minimum annual average LAI values (2000–2011).
Figure 2. Separation of land use in each catchment into ‘forest’ (LAI > 1.5) and ‘grassland (LAI < 1.5) using MODIS minimum annual average LAI values (2000–2011).
Water 06 02539 g002

4. Results and Discussion

The optimal value of Choudhury’s n parameter was estimated for each of the eleven runoff records using Equation (5). Catchment average Ze values were then calculated from Equation (8), with (range 0.10–0.13) estimated from regional soil hydrology groups documented by Moore et al. [30] and (range 4.5–8.0) from [16].
For this region, the average catchment value of Ze is influenced by both the fraction of uncleared land and the aridity. In Table 2, catchments are ranked in order of percent forest cover (highest to lowest) and then average Ze values and climate indices are presented for each catchment, together with the n, κ and α values used in the calculation of Ze.
Table 2. Physical and model parameters for the study catchments.
Table 2. Physical and model parameters for the study catchments.
Study CatchmentPercent ForestClimate Index, ϕ (Eo/P)n1κ (cm3/cm−3)α (mm)Average Ze2 (mm)
Deep River98.01.523.680.136.0676
Denmark River72.01.713.100.126.0595
Donnelly River70.01.872.280.127.8520
Lower Warren River64.01.832.710.136.2479
St Johns Brook62.01.972.650.126.0489
Lower Blackwood River58.02.182.350.128.0556
Margaret River58.02.001.710.107.5396
Perup River29.02.533.250.125.2547
Mid Kent River18.02.722.520.134.5316
Tone River02.02.722.080.124.6270
Middle Blackwood River01.03.001.900.136.0287
Notes: 1 Equation (5); 2 Equation (8).
It is clear from Table 2 that forest clearing has been greatest in the drier catchments. The three catchments with less than 20% forest cover are in a zone with climate indices between 2.72 and 3.0. The mean Ze of 291 mm for these catchments could reasonably be taken as a value for ‘grassland’ in this aridity zone. Conversely, the three catchments with 70% or more forest cover are much less arid and have a mean Ze of 597 mm. However, the highest Ze value (676 mm) is obtained for the catchment with the least (2%) clearing.
To investigate in more detail the how the effective root depths of grassland and forest might change with increasing aridity we used the physiologically-based model of Guswa [18].
Guswa Z values were obtained for grassland and forest using Equation (9), with the parameter values required to estimate A in Equation (11) taken from Donohue et al. [16]. The following values were common for grassland and forests: γr 0.5; Dr 0.1; Lr 1500. Values for Wph and fs were 0.22 and 0.8 for grassland and 0.33 and 1.0 for forest.
Estimates of the Guswa Z values for forest (Zforest) and grassland (Zgrass), across each of the eleven catchments, show a clear trend of declining Z values with increasing aridity (Figure 3). The average ‘grassland’ Guswa Z value for the three driest catchments is 269 mm, with is remarkably close to the mean Ze value of 291 mm. Using the regression relations in Figure 3 we calculate that at ϕ of 1.5, the Guswa Z for forest is 650 mm, which again compares favourably to the Ze value for Deep river in Table 2 (676 mm). If we consider a ‘mix’ of 70% forest and 30% grassland for catchments with an aridity index of 1.8, then from the regression relations in Figure 3 we obtain a catchment average Guswa Z of (0.7 × 575) + (0.3 × 493) = 550 mm. Again, this compares well with the average Ze from Table 2 for the Denmark, Donnelly and Lower Warren rivers (531 mm).
Figure 3. Zforest (♦) and Zgrass (▲) calculated from the Guswa model for each catchment plotted against the climate index (ϕ = Eo/P).
Figure 3. Zforest (♦) and Zgrass (▲) calculated from the Guswa model for each catchment plotted against the climate index (ϕ = Eo/P).
Water 06 02539 g003
The decline in Zforest with increasing aridity shown in Figure 3 also has implications for forest response to forecasted increased aridity across this region in the next 50 years. It is also evident from Figure 3 that the difference between Guswa Z values for forest and grassland diminishes with increasing aridity. At a climate index of about 1.5–2.0 the difference is 80 to 100 mm but from climate indices of 2.5–3.0 the difference has diminished to 30 to 35 mm.

4.1. Estimation of Runoff Using Guswa-Based and Choudhury ‘Default’ Models

Catchment average Guswa Z (Zave) values can be obtained from
Zave = (ZforestFforest + ZgrassFgrass)
where Fgrass and Fforest are the fractions of the catchment under grass and forest.
The resulting average Guswa Z values can then be used to independently estimate the Choudhury ‘n’ parameter for each catchment from Equation (7) and provide an estimate of catchment runoff without any calibration using Equation (5). This approach is shown in Figure 4 and is compared to the Choudhury ‘default’ model (n = 1.9). The runoff estimates that include an average rooting depth from the Guswa model are generally much closer to the observed mean annual runoff (2000–2011) than the Choudhury ‘default’ model. Note that catchments with less than 40 mm measured mean annual runoff are predominantly cleared (<30% forest cover) but have the most arid climate indices. For catchments with 40 mm to 80 mm measured mean annual runoff the forest cover ranges from 58% to 90% and the estimation of Guswa Zforest to give catchment Zave values (Equation (12)) results in ‘n’ values that more accurately describe the runoff than the ‘default’ case. Root Mean Square Error is reduced from 21.0 (Choudhury ‘default’ model) to 7.5 (Guswa-based model). Bias is also reduced from 563.0 to 58.9. Weighted by catchment area over all eleven catchments the Guswa-based model overestimates regional mean annual runoff by 12% whereas the Choudhury ‘default’ model overestimates by 82%.
Figure 4. Comparison of runoff estimated from the Guswa-based model (▲) and Choudhury ‘default’ model (■) for eleven catchments in south-west Western Australia.
Figure 4. Comparison of runoff estimated from the Guswa-based model (▲) and Choudhury ‘default’ model (■) for eleven catchments in south-west Western Australia.
Water 06 02539 g004

4.2. Implications for Climate Change

Within 400 km of the coast of south-west Western Australia the temperature is projected to increase in the range of 0.4 to 5.4 °C by 2080 and rainfall is projected to decrease by 0% to 80% [31], with a likely doubling of drought frequency [32]. Increasing temperature should lead to an increase in potential evapotranspiration but this has been countered by a decrease in global windspeed [33].
If there is no feedback between effective rooting depth and climate (and assuming κ and α remain constant), then for the model used here, the only effect on runoff will be rainfall decline and the ‘n’ parameter in Equation (5) remains unchanged. However, if effective rooting depth decreases with increasing aridity then ‘n’ will be altered (Equation (7)).
As an example, if we consider a 40% decline in rainfall over the forested Deep river catchment then holding ‘n’ constant leads to a decline in runoff from 51.2 mm (2000–2011 annual mean) to 5.2 mm. However, noting that a 40% decline in rainfall increases the aridity index to 2.53 allows ‘n’ to be adjusted in equation 7 by altering Ze for the new aridity (climate index of 2.53) using the regression relation in Figure 3. The adjusted model Ze is now 390 mm, giving an ‘n’ value of 2.37 and a reduction in the projected runoff decline to 25.8 mm (50% decline as opposed to 90% decline without feedback).
A decline in effective rooting depth with increasing aridity was demonstrated by Donohue et al. [16] for the Murray-Darling Basin in eastern Australia. If this climate-dependency follows the Guswa model projections then runoff decline is mitigated considerably when compared to the constant effective root depth case.
This simple example does not of course factor in any possible changes to the occurrence-intensity distribution of rainfall but illustrates the need for greater consideration of vegetation feedbacks when considering future runoff scenarios that may result from climate change.

5. Conclusions

We have shown that Choudhury’s ‘default’ model with n = 1.9 requires modification in order to describe mean annual runoff from catchments in south-west Western Australia. By using Donohue et al.’s [16] approach of incorporating three process-based ecohydrologic variables (effective rooting depth, mean storm depth and soil water storage capacity) into the description of n we were able to improve runoff prediction and gain insight into the effect of land use on runoff generation. The average effective rooting depth in a catchment was strongly correlated with the fraction of uncleared land identified using MODIS minimum annual average LAI values (2000–2011). Using the Guswa model to obtain values of Z for forest and grasslands that varied with catchment aridity gave an entirely uncalibrated model of mean annual runoff that overestimated the regional mean annual runoff by only 12%.
If effective rooting depth declines with increasing aridity then ‘n’ will decrease and water yields will be higher than if ‘n’ remains constant. However, ‘n’ is also affected by mean storm depth and so an understanding of how this is likely to change with declining rainfall is also important for improved understanding of how climate change could impact on water yields.

Acknowledgments

Randall Donohue is thanked for provision of Penman evaporation data for the study region.

Author Contributions

Both authors contributed to the conception and development of this manuscript.

Conflicts of Interest

The authors declare no conflict of interest.

References

  1. Townsend, P.V.; Harper, R.J.; Brennan, P.D.; Dean, C.; Wu, S.; Smettem, K.R.J.; Cook, S. Multiple environmental services as an opportunity for watershed restoration. For. Policy Econ. 2012, 17, 45–58. [Google Scholar] [CrossRef]
  2. Montaldo, N.; Rondena, R.; Albertson, J.D.; Mancini, M. Parsimonious modelling of vegetation dynamics for ecohydrologic studies of water-limited ecosystems. Water Resour. Res. 2005, 41. [Google Scholar] [CrossRef]
  3. Berry, S.L.; Farquhar, G.D.; Roderick, M.L. Co-evolution of climate, soil and vegetation. In Encyclopaedia of Hydrological Sciences; Anderson, M., Ed.; John Wiley and Sons: Indianapolis, IN, USA, 2005. [Google Scholar]
  4. Rodriguez-Iturbe, I.; Porporato, A.; Laio, F.; Ridolfi, L. Plants in water-controlled ecosystems: Active role in response to hydrologic processes and response to water stress—I. Scope and general outline. Adv. Water Resour. 2001, 24, 695–705. [Google Scholar] [CrossRef]
  5. Rodriguez-Iturbe, I.; Porporato, A. Ecohydrology of Water-Controlled Ecosystems: Soil Moisture and Plant Dynamics; Cambridge University Press: Cambridge, UK, 2004. [Google Scholar]
  6. Eamus, D.; Froend, R.; Loomes, R.; Hose, G.; Murray, B. A functional methodology for determining the groundwater regime needed to maintain the health of groundwater-dependent vegetation. Austr. J. Bot. 2006, 54, 97–114. [Google Scholar] [CrossRef]
  7. Donohue, R.J.; Roderick, M.L.; McVicar, T.R. On the importance of including vegetation dynamics in Budyko’s hydrological model. Hydrol. Earth Syst. Sci. 2007, 11, 983–995. [Google Scholar] [CrossRef]
  8. Nemani, R.R.; Running, S.W. Testing a theoretical climate soil leaf-area hydrologic equilibrium of forests using satellite data and ecosystem simulation. Agric. For. Meterol. 1989, 44, 245–260. [Google Scholar] [CrossRef]
  9. Eagleson, P.S. Ecological optimality in water-limited natural soil vegetation systems 1, theory and hypothesis. Water Resour. Res. 1982, 18, 325–340. [Google Scholar] [CrossRef]
  10. Eagleson, P.S. Ecohydrology: Darwinian Expression of Vegetation Form and Function; Cambridge University Press: New York, NY, USA, 2002. [Google Scholar]
  11. Budyko, M.I. Climate and Life. International Geophysics Series; Academic: New York, NY, USA, 1974; Volume 18, p. 508. [Google Scholar]
  12. Gerrits, A.M.J.; Savenije, H.H.J.; Veling, E.J.M.; Pfister, L. Analytical derivation of the Budyko curve based on rainfall characteristics and a simple evaporation model. Water Resour. Res. 2009, 45, W04403. [Google Scholar]
  13. Milly, P.C.D. Climate, soil water storage, and the average annual water balance. Water Resour. Res. 1994, 30, 2143–2156. [Google Scholar] [CrossRef]
  14. Roderick, M.L.; Farquhar, G.D. A simple framework for relating variations in runoff to variations in climatic conditions and catchment properties. Water Resour. Res. 2011, 47, W00G07. [Google Scholar]
  15. Zhang, L.; Hickel, K.; Dawes, W.R.; Chiew, F.H.S.; Western, A.W.; Briggs, P.R. A rational function approach for estimating mean annual evapotranspiration. Water Resour. Res. 2004, 40, W02502. [Google Scholar]
  16. Donohue, R.J.; Roderick, M.L.; McVicar, T.R. Roots, storms and soil pores: Incorporating key ecohydrological processes into Budyko’s hydrological model. J. Hydrol. 2012, 436–437, 35–50. [Google Scholar] [CrossRef]
  17. Porporato, A.; Daly, E.; Rodriguez-Iturbe, I. Soil water balance and ecosystem response to climate change. Am. Natur. 2004, 164, 625–632. [Google Scholar] [CrossRef]
  18. Guswa, A.J. The influence of climate on root depth: A carbon cost-benefit analysis. Water Resour. Res. 2008, 44, W04403. [Google Scholar]
  19. Bari, M.A.; Smettem, K.R.J.; Sivapalan, M. Understanding changes in annual runoff following land use changes: A systematic data-based approach. Hydrol. Process. 2005, 19, 2463–2479. [Google Scholar] [CrossRef]
  20. Budkyo, M.I. The Heat Balance of the Earth’s Surface; U.S. Department of Commerce: Washington, WA, USA, 1958. [Google Scholar]
  21. Granger, R.J. An examination of the concept of ‘potential evaporation’. J. Hydrol. 1989, 111, 9–19. [Google Scholar] [CrossRef]
  22. Choudhury, B.J. Evaluation of an empirical equation for annual evaporation using field observations and results from a biophysical model. J. Hydrol. 1989, 216, 99–100. [Google Scholar] [CrossRef]
  23. Yang, H.; Yang, D.; Lei, Z.; Sun, F. New analytical derivation of the mean annual water-energy balance equation. Water Resour. Res. 2008, 44, W04426. [Google Scholar]
  24. Donohue, R.L.; Roderick, M.L.; McVicar, T.R. Assessing the differences in sensitivities of runoff to changes in climatic conditions across a large basin. J. Hydrol. 2011, 406, 234–244. [Google Scholar]
  25. Yang, D.; Shao, W.; Yeh, P.J.-F.; Yang, H.; Kanae, S.; Oki, T. Impact of vegetation coverage on regional water balance in the nonhumid regions of China. Water Resour. Res. 2009, 45, W02502. [Google Scholar]
  26. Mu, Q.; Heinsch, F.A.; Zhao, M.; Running, S.W. Development of a global evapotranspiration algorithm based on MODIS and global meteorology data. Remote Sens. Environ. 2007, 111, 519–536. [Google Scholar] [CrossRef]
  27. Mu, Q.; Zhao, M.; Running, S.W. Improvements to a MODIS global terrestrial evapotranspiration algorithm. Remote Sens. Environ. 2011, 115, 1781–1800. [Google Scholar] [CrossRef]
  28. River Monitoring Stations. Department of Water, Government of Western Australia. Available online: http://kumina.water.wa.gov.au/waterinformation/telem/stage.cfm (accessed on 18 January 2013).
  29. Smettem, K.R.J.; Waring, R.H.; Callow, N.; Wilson, M.; Mu, Q. Satellite-derived estimates of forest leaf area index in South-West Western Australia are not tightly coupled to inter-annual variations in rainfall: Implications for groundwater decline in a drying climate. Glob. Change Biol. 2013, 19, 2401–2412. [Google Scholar] [CrossRef]
  30. Moore, G.; Hall, D.; Russell, J. Soil Water. In Soilguide. A Handbook for Understanding and Managing Agricultural Soils; Moore, G., Ed.; Agriculture Western Australia Bulletin No. 4343; Sands Print Group: Perth, Australia, 1998; pp. 80–93. [Google Scholar]
  31. Hennessy, K.J.; Fitzharris, B.; Bates, B.C.; Harvey, N.; Howden, M.; Hughes, L.; Salinger, J.; Warrick, R. Australia and New Zealand: Climate change 2007, impacts, adaptation and vulnerability: Contribution of Working Group II to the Fourth Assessment Report of the Intergovernmental Panel on Climate Change. In IPCC (2007) Climate Change; Cambridge University Press: Cambridge, UK, 2007; Volume 4, Chapter 11; pp. 507–540. [Google Scholar]
  32. Kirono, D.G.C.; Kent, D.M.; Hennessy, K.J.; Mpelasoka, F. Characteristics of Australian droughts under enhanced greenhouse conditions: Results from 14 global climate models. J. Arid Environ. 2011, 75, 566–575. [Google Scholar] [CrossRef]
  33. McVicar, T.R.; Roderick, M.L.; Donohue, R.J.; van Neil, T.G. Less bluster ahead? Ecohydrological implications of global trends of terrestrial near-surface wind speeds. Ecohydrology 2012, 5, 381–388. [Google Scholar] [CrossRef]

Share and Cite

MDPI and ACS Style

Smettem, K.; Callow, N. Impact of Forest Cover and Aridity on the Interplay between Effective Rooting Depth and Annual Runoff in South-West Western Australia. Water 2014, 6, 2539-2551. https://doi.org/10.3390/w6092539

AMA Style

Smettem K, Callow N. Impact of Forest Cover and Aridity on the Interplay between Effective Rooting Depth and Annual Runoff in South-West Western Australia. Water. 2014; 6(9):2539-2551. https://doi.org/10.3390/w6092539

Chicago/Turabian Style

Smettem, Keith, and Nik Callow. 2014. "Impact of Forest Cover and Aridity on the Interplay between Effective Rooting Depth and Annual Runoff in South-West Western Australia" Water 6, no. 9: 2539-2551. https://doi.org/10.3390/w6092539

APA Style

Smettem, K., & Callow, N. (2014). Impact of Forest Cover and Aridity on the Interplay between Effective Rooting Depth and Annual Runoff in South-West Western Australia. Water, 6(9), 2539-2551. https://doi.org/10.3390/w6092539

Article Metrics

Back to TopTop