Journal Description
Fossil Studies
Fossil Studies
- formerly Fossils - is an international, peer-reviewed, open access journal on all aspects of palaeontology published quarterly online by MDPI.
- Open Access— free for readers, with article processing charges (APC) paid by authors or their institutions.
- Rapid Publication: first decisions in 19 days; acceptance to publication in 8 days (median values for MDPI journals in the second half of 2025).
- Recognition of Reviewers: APC discount vouchers, optional signed peer review, and reviewer names published annually in the journal.
- Fossil Studies is a companion journal of Diversity.
- Journal Cluster of Geospatial and Earth Sciences: Remote Sensing, Geosciences, Quaternary, Earth, Geographies, Geomatics and Fossil Studies.
Latest Articles
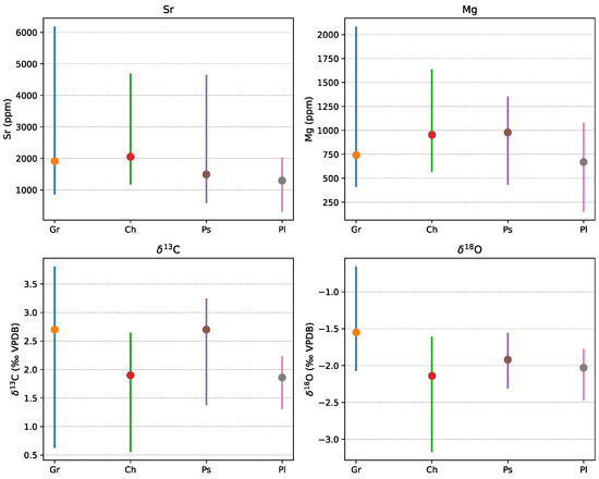
Stable Isotope Analysis of Gryphaea arcuata Reveals the Prevalence of Humid Tropical Conditions During the Early Sinemurian of Normandy (Fresville), Northwestern France
Foss. Stud. 2026, 4(1), 1; https://doi.org/10.3390/fossils4010001 - 31 Dec 2025
Abstract
►
Show Figures
Marine deposits in western Europe provide insight into the interplay between the warm Tethys and cooler Boreal domains, offering a climatic context for the radiation of Early Jurassic species. Reconstructions of temperature for the Hettangian and Sinemurian periods are scarce, with inferred marine
[...] Read more.
Marine deposits in western Europe provide insight into the interplay between the warm Tethys and cooler Boreal domains, offering a climatic context for the radiation of Early Jurassic species. Reconstructions of temperature for the Hettangian and Sinemurian periods are scarce, with inferred marine temperatures of 15–20 °C based on δ18O values, which are lower than those of subsequent Jurassic stages. This emphasizes the necessity for supplementary data in order to enhance our comprehension of the climatic dynamics that characterized the Early Jurassic period. This study analyses 75 invertebrate samples, including 53 specimens of Gryphaea arcuata, from Early Sinemurian marine sediments in the Fresville quarry, Normandy, France. The present study employs a multi-proxy approach, utilizing δ13C and δ18O values in conjunction with Sr and Mg contents, to assess the processes of fossil diagenesis, marine productivity, and seawater temperatures. Significant post-depositional alteration was observed in the geochemical compositions of 22 bivalve shells assigned to the genera Pseudolimea, Plagiostoma, and Chlamys, which were originally composed of aragonite, except for the outer layer, which is made of calcite. However, the low-Mg calcite shells of Gryphaea arcuata, which are renowned for their diagenetic resistance, retained the majority of their isotopic integrity. The results of the statistical analyses indicate that there was minimal late pervasive diagenesis involving meteoric waters at Fresville. This is in accordance with the typical decrease in δ13C, δ18O values, and Sr and Mg contents that such processes would otherwise cause. Published isotopic data from Sinemurian marine fossils (plesiosaur and shark teeth) were used to estimate seawater δ18O (~−1‰ VSMOW) and surface temperatures (~24 °C). The calculated benthic temperatures of Gryphaea (17 °C) correspond to habitats at depths of about 50 m. These findings suggest a positive hydrological balance and euhaline conditions in a humid tropical climate context.
Full article
Open AccessArticle
Dinosaur Tracks of the Areia do Mastro and Papo-Seco Formations (Lower Cretaceous, Cabo Espichel): Paleobiological and Paleoenvironmental Continuities and Discontinuities
by
Silvério Domingues Figueiredo
Foss. Stud. 2025, 3(4), 18; https://doi.org/10.3390/fossils3040018 - 5 Nov 2025
Abstract
New theropod tracks found in the Papo-Seco Formation (lower Barremian, Lusitanian Basin, Portugal) are presented. In 2022, thirteen theropod tracks were identified on the lowermost bed of this formation, preserved as natural cast infillings on the bedding surface. Two different morphotypes of theropod
[...] Read more.
New theropod tracks found in the Papo-Seco Formation (lower Barremian, Lusitanian Basin, Portugal) are presented. In 2022, thirteen theropod tracks were identified on the lowermost bed of this formation, preserved as natural cast infillings on the bedding surface. Two different morphotypes of theropod footprints have been identified, which occur at two different levels of this layer. The first morphotype, consisting of smaller footprints with narrow digits, is attributed to theropoda indet; the other morphotype, consisting only of one footprint, is assigned provisionally to the ichnogenus Megalosauripus isp. It is suggested that they were produced by medium-sized theropods, on a carbonate mud substrate, probably in a coastal environment associated with a lagoon. These tracks, and others previously described in the underlying Areia do Mastro Formation, suggest a temporal continuity of the groups of dinosaurs that frequented this area, during the early Barremian. However, the morphotypes now described differ from those of the theropods tracks from the Areia do Mastro Formation, which may indicate a change in faunal types within the theropod group.
Full article
(This article belongs to the Special Issue Continuities and Discontinuities of the Fossil Record)
►▼
Show Figures

Figure 1
Open AccessArticle
First Record of Bramatherium Falconer, 1845 (Mammalia: Giraffidae) from the Late Miocene of Greece and the Helladotherium-Bramatherium Debate
by
Kostantis Laskos, Georgios Lazaridis, Evangelia Tsoukala, Evangelos Vlachos and Dimitris S. Kostopoulos
Foss. Stud. 2025, 3(4), 17; https://doi.org/10.3390/fossils3040017 - 3 Nov 2025
Abstract
During the Late Miocene, Bramatherium was the main representative of the giraffid subfamily Sivatheriinae in the Indian Subcontinent, with sparse and uncertain records from adjacent regions. In the present paper, we describe and compare two ossicones of the same individual, unearthed from the
[...] Read more.
During the Late Miocene, Bramatherium was the main representative of the giraffid subfamily Sivatheriinae in the Indian Subcontinent, with sparse and uncertain records from adjacent regions. In the present paper, we describe and compare two ossicones of the same individual, unearthed from the Upper Miocene site of Fourka in Chalkidiki Peninsula, Northern Greece, and attribute them with certain confidence to the species Bramatherium perimense. The definite record of Bramatherium so far away from the Indian Subcontinent and in close proximity to the well-known Pikermian sivatheriine Helladotherium duvernoyi enabled us to re-discuss both the intrageneric diversity of Bramatherium and the debatable Bramatherium–Helladotherium taxonomy. Our review allows us (i) to recognize only two Bramatherium species in Asia: the large-sized B. grande and the smaller B. perimense and (ii) to confirm and further support with morphological and biogeographic evidence the synonymy of Helladotherium with Bramatherium.
Full article
(This article belongs to the Special Issue Continuities and Discontinuities of the Fossil Record)
►▼
Show Figures

Figure 1
Open AccessBrief Report
An Early Cretaceous Record of the Mawsoniid Coelacanth Axelrodichthys from Niger
by
Michael D. Gottfried
Foss. Stud. 2025, 3(4), 16; https://doi.org/10.3390/fossils3040016 - 23 Oct 2025
Abstract
Coelacanths in the Family Mawsoniidae include ten genera with a primarily Gondwanan distribution. Two of the genera—Mawsonia and Axelrodichthys—show a related biogeographic pattern of occurrences in the Cretaceous of Brazil and Africa. This report documents the presence of Axelrodichthys in the
[...] Read more.
Coelacanths in the Family Mawsoniidae include ten genera with a primarily Gondwanan distribution. Two of the genera—Mawsonia and Axelrodichthys—show a related biogeographic pattern of occurrences in the Cretaceous of Brazil and Africa. This report documents the presence of Axelrodichthys in the Early Cretaceous of Niger based on a partial skull roof and partial extrascapular series from the Aptian ‘Fish Mountain’ site at Ingal (or Ingall) in central western Niger. Assignment of the specimen to Axelrodichthys is based on the presence of a median extrascapular along the posterior margin of the skull roof, an element that is absent in the sister-genus Mawsonia. This record from Niger fits into the broader pattern of the genus co-occurring in both northeastern Brazil and northwestern Africa, and then subsequently expanding its range across Africa during the Cretaceous—reaching Niger at an intermediate stage—and then eventually dispersing as far east as Madagascar and as far north as what is now southern Europe by the Late Cretaceous.
Full article
(This article belongs to the Special Issue Continuities and Discontinuities of the Fossil Record)
►▼
Show Figures

Figure 1
Open AccessArticle
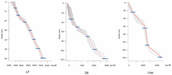
Holocene Paleoenvironmental Reconstruction at 47° S (Patagonia, Argentina) from Sedimentary Sequences (Fens and Lagoon) and Archaeological Sites: A Regional Synthesis
by
Maria A. Marcos, Florencia P. Bamonte and Marcos E. Echeverria
Foss. Stud. 2025, 3(4), 15; https://doi.org/10.3390/fossils3040015 - 19 Oct 2025
Abstract
►▼
Show Figures
At 47° S in Argentine Patagonia, the interaction between the Southern Westerly Winds (SWW) and the Andean barrier generates a steep climatic gradient, providing an ideal setting to evaluate Holocene vegetation responses. This study focuses on the extra-Andean sector, where new pollen records
[...] Read more.
At 47° S in Argentine Patagonia, the interaction between the Southern Westerly Winds (SWW) and the Andean barrier generates a steep climatic gradient, providing an ideal setting to evaluate Holocene vegetation responses. This study focuses on the extra-Andean sector, where new pollen records from La Tapera (LTap) and Cisne 7 provide insights into steppe vegetation dynamics under dry conditions. These sequences are contrasted with previously studied records further west (LF, ZB, CMN1, CMN2, and COCU) to assess west–east gradients in vegetation change and moisture availability throughout the Holocene. Western records indicate that the Early Holocene was dominated by grass–dwarf-shrub steppe under arid conditions, followed by increased humidity around 7600 cal yr BP that promoted the development of forest–steppe ecotonal environments. The Middle Holocene was characterised by aridity, reflected in shrub dominance and reduced forest signals, whereas the Late Holocene included a humid pulse between ~1750 and 1000 cal yr BP, followed by renewed aridity over the last millennium. In contrast, eastern records show persistent shrub–dwarf-shrub steppes since ~4700 cal yr BP, with vegetation changes expressed mainly as shifts in the relative dominance of shrubs and dwarf–shrubs rather than floristic replacements. Archaeological sites corroborated and complemented the continuous records, strengthening the reconstruction of environmental variability across different temporal windows. Overall, this west–east comparison highlights the differential sensitivity of ecosystems to SWW fluctuations, reinforcing their role as an important forcing of hydrological balance and vegetation dynamics in mid-latitude Patagonia.
Full article

Figure 1
Open AccessArticle
A Review of Onychophoran Phylogenic Studies Reveals Resilience of Soil Ecosystems to the Chicxulub Impact Event
by
Julián Monge-Nájera and Yostin Añino
Foss. Stud. 2025, 3(4), 14; https://doi.org/10.3390/fossils3040014 - 25 Sep 2025
Abstract
►▼
Show Figures
Onychophora (velvet worms) are rare, soil-dwelling invertebrates with a fragile body structure that limits their fossil record. Their current distribution across the Neotropics has long been shaped by vicariance and dispersal events. Here, we evaluate the hypothesis that the Cretaceous–Paleogene (K–Pg) asteroid impact
[...] Read more.
Onychophora (velvet worms) are rare, soil-dwelling invertebrates with a fragile body structure that limits their fossil record. Their current distribution across the Neotropics has long been shaped by vicariance and dispersal events. Here, we evaluate the hypothesis that the Cretaceous–Paleogene (K–Pg) asteroid impact played a role in shaping the modern biogeography of Onychophora by eliminating lineages within the affected zone. Using published molecular phylogenies and geological data on the Chicxulub impact, we assess whether extant clades are congruent with a post-impact recolonization scenario. We find that several clades have divergence dates incompatible with extinction at the K–Pg boundary and that current distributions do not show a clear biogeographic signature consistent with impact-induced extirpation. Our hypothesis test supports the survival of onychophoran lineages through the K–Pg event and calls for caution in attributing modern distributions to a single extinction event without integrating molecular, stratigraphic, and ecological data.
Full article

Graphical abstract
Open AccessArticle
Unraveling the Strange Case of the First Canarian Land Fauna (Lower Pliocene)
by
Antonio Sánchez-Marco, Romain Amiot, Delphine Angst, Salvador Bailon, Juan Francisco Betancort, Eric Buffetaut, Emma García-Castellano, Lourdes Guillén-Vargas, Nicolas Lazzerini, Christophe Lécuyer, Alejandro Lomoschitz, Luis Felipe López-Jurado, Àngel H. Luján, María Antonia Perera-Betancort, Manuel J. Salesa, Albert G. Sellés and Gema Siliceo
Foss. Stud. 2025, 3(3), 13; https://doi.org/10.3390/fossils3030013 - 27 Aug 2025
Abstract
►▼
Show Figures
Geological data of the region indicate that the Canary Islands have not been connected to the mainland before. However, fossil evidence suggests some kind of faunal exchange with Africa during the late Neogene. After extensive field work during past years, a re-evaluation of
[...] Read more.
Geological data of the region indicate that the Canary Islands have not been connected to the mainland before. However, fossil evidence suggests some kind of faunal exchange with Africa during the late Neogene. After extensive field work during past years, a re-evaluation of the fossil remains of the first terrestrial vertebrates that settled and thrived on the Canary Islands is presented, with special attention to the long-debated identity of birds that laid large-sized eggs, reported some decades ago on Lanzarote Island. The age of the eggshell-bearing deposits has been recently updated as Early Pliocene (ca. 4 Ma). The dispersal mode of these terrestrial birds to reach the island was an unsolvable challenge in previous studies because the regional geography of the sea bottom was neglected, as well as the chronological succession of events in the formation of the Canary Eastern Ridge, which increased attention to a unique case of arrival of ratites on an island never before united with the mainland. The few animals found in northern Lanzarote (ratites, snakes, turtles, terrestrial snails and bite marks on eggshells pointing to a jagged and unknown large predator) probably made the sea crossing from the mainland in different ways. Two scenarios are contemplated. In both, the circumstances facilitating the faunal transit from Africa to the Canaries ceased after the early Pliocene, around 4 Ma, since these animals have never managed to cross the Canary Channel again.
Full article

Figure 1
Open AccessArticle
Reversing the Trend: The Evolution of Cranial Akinesis in the Terror Birds (Cariamiformes, Phorusrhacidae)
by
Federico J. Degrange, Claudia P. Tambussi and Lawrence M. Witmer
Foss. Stud. 2025, 3(3), 12; https://doi.org/10.3390/fossils3030012 - 17 Aug 2025
Cited by 1
Abstract
►▼
Show Figures
Cranial kinesis in Neornithes is enabled by a complex system of bones, muscles, ligaments, and joints, allowing variable degrees of movement between the upper jaw and the neurocranium. Particularly, cranial prokinesis—mobility of the upper jaw relative to the neurocranium—is the most widespread form.
[...] Read more.
Cranial kinesis in Neornithes is enabled by a complex system of bones, muscles, ligaments, and joints, allowing variable degrees of movement between the upper jaw and the neurocranium. Particularly, cranial prokinesis—mobility of the upper jaw relative to the neurocranium—is the most widespread form. It has been stated that Phorusrhacidae (Aves, Cariamiformes) were incapable of performing cranial kinesis. To assess potential functional differences within the clade, all known cranial flexion zones were analyzed and compared with the kinetic systems of extant Neornithes. In Psilopterinae and Mesembriornithinae, fusion of the ventral palatal flexion zones indicates a rigid, immobile palate. In larger taxa such as Patagornithinae and Phorusrhacinae, the pronounced thickening and fusion of the craniofacial flexion zone confirms the loss of prokinetic capabilities. The functional implications of such akinesis include simplification of food processing and a significant increase in bite force, which correlates with the predatory skills of the group. In a phylogenetic framework, phorusrhacids evolved from a kinetic ancestral condition, representing the only truly akinetic group among Neornithes.
Full article

Figure 1
Open AccessCommunication
Taphonomy of Fossil Resins: A Petrological and Geochemical Approach Using the Van Krevelen Diagram
by
Błażej Bojarski, Karolina Cierocka and Jacek Szwedo
Foss. Stud. 2025, 3(3), 11; https://doi.org/10.3390/fossils3030011 - 26 Jul 2025
Abstract
►▼
Show Figures
Fossil resins from the area of Gulf of Gdańsk, Lublin area, Denmark, Bitterfeld, Lusatia and Ukraine, often grouped under the collective term ‘Baltic amber’, are complex organic mineraloids that have undergone various post-depositional transformations. Despite their role in paleontology as a source of
[...] Read more.
Fossil resins from the area of Gulf of Gdańsk, Lublin area, Denmark, Bitterfeld, Lusatia and Ukraine, often grouped under the collective term ‘Baltic amber’, are complex organic mineraloids that have undergone various post-depositional transformations. Despite their role in paleontology as a source of for biological inclusions, fossil resins themselves are rarely analyzed as taphonomic objects. In this work, a new geochemical approach to fossil resin taphonomy is presented. Applying the van Krevelen diagram—traditionally used for kerogen classification—allows the diagenetic and catagenetic changes of fossilized resin maturation to be evaluated. Based on literature-derived elemental composition data of C, H, and O contents of ‘Baltic amber’, the diagram is interpreted as an organic matter transformation framework of fossil resins. The results suggest that the so-called ‘Baltic amber’ deposits represent a composite taphocoenoses of resins with different burial histories and maturation scenarios. This approach integrates petrological classification, geochemical maturation, and taphonomic analyses, offering a new way of “tracking” fossil resins maturation changes.
Full article

Figure 1
Open AccessReview
On the Incompleteness of the Coelacanth Fossil Record
by
Zhiwei Yuan, Lionel Cavin and Haijun Song
Foss. Stud. 2025, 3(3), 10; https://doi.org/10.3390/fossils3030010 - 8 Jul 2025
Cited by 2
Abstract
This study conducted a spatiotemporal review of the coelacanth fossil record and explored its distribution and diversity patterns. Coelacanth research can be divided into two distinct periods: the first period, which is based solely on the fossil record, and the second period following
[...] Read more.
This study conducted a spatiotemporal review of the coelacanth fossil record and explored its distribution and diversity patterns. Coelacanth research can be divided into two distinct periods: the first period, which is based solely on the fossil record, and the second period following the discovery of extant taxa, significantly stimulating research interest. The distribution and research intensity of coelacanth fossils exhibit marked spatial heterogeneity, with Europe and North America being the most extensively studied regions. In contrast, Asia, South America, and Oceania offer substantial potential for future research. Temporally, the coelacanth fossil record also demonstrates significant variation across geological periods, revealing three diversity peaks in the Middle Devonian, Early Triassic, and Late Jurassic, with the Early Triassic peak exhibiting the highest diversity. With the exception of the Late Devonian, Carboniferous, and Late Cretaceous, most periods remain understudied, particularly the Permian, Early Jurassic, and Middle Jurassic, where the record is notably scarce. Integrating the fossil record with phylogenetic analyses enables more robust estimations of coelacanth diversity patterns through deep time. The diversity peak observed in the Middle Devonian is consistent with early burst models of diversification, whereas the Early and Middle Triassic peaks are considered robust, and the Late Jurassic peak may be influenced by taphonomic biases. The low population abundance and limited diversity of coelacanths reduce the number of specimens available for fossilization. The absence of a Cenozoic coelacanth fossil record may be linked to their moderately deep-sea habitat. Future research should prioritize addressing gaps in the fossil record, particularly in Africa, Asia, and Latin America; employing multiple metrics to mitigate sampling biases; and integrating a broader range of taxa into phylogenetic analyses. In contrast to the widespread distribution of the fossil record, extant coelacanths exhibit a restricted distribution, underscoring the urgent need to increase conservation efforts.
Full article
(This article belongs to the Special Issue Continuities and Discontinuities of the Fossil Record)
►▼
Show Figures

Figure 1
Open AccessArticle
Stratigraphic Position and Age of the Upper Triassic Placerias Quarry, East-Central Arizona, USA
by
Spencer G. Lucas
Foss. Stud. 2025, 3(2), 9; https://doi.org/10.3390/fossils3020009 - 17 Jun 2025
Abstract
The Placerias quarry is a dicynodont-dominated bonebed in Upper Triassic Chinle Group strata near St. Johns in east-central Arizona, USA. Though long identified as being in strata of the lower Chinle Group, recently published numerical ages apparently indicate a stratigraphically much higher (younger)
[...] Read more.
The Placerias quarry is a dicynodont-dominated bonebed in Upper Triassic Chinle Group strata near St. Johns in east-central Arizona, USA. Though long identified as being in strata of the lower Chinle Group, recently published numerical ages apparently indicate a stratigraphically much higher (younger) position in the Chinle section for the Placerias quarry. Nevertheless, recent analysis of outcrop and subsurface (hydrologic) data in the vicinity of the Placerias quarry confirms its stratigraphic position very low in the Chinle Group section, close to the base of the Bluewater Creek Formation. A regional Upper Triassic lithostratigraphy has been established across east-central Arizona and west-central New Mexico by nearly a century of stratigraphic studies and geologic mapping by diverse workers, and is supported by biostratigraphy; in this lithostratigraphy the Placerias quarry is near the Chinle Group base. However, U/Pb ages on zircons from Upper Triassic strata in eastern Arizona/western New Mexico have been used to reorganize this lithostratigraphy to indicate intertonguing and dramatic lithofacies changes over relatively short lateral distances. But, if the well-established lithostratigraphy is followed, the U/Pb ages are problematic, particularly where younger ages (such as at the Placerias quarry) are stratigraphically below older ages. A handful of numerical ages should not be used to over-rule well-established understanding of lithostratigraphy and biostratigraphy, unless the lithostratigraphy and biostratigraphy need to be modified based on stratigraphic data. Numerical ages need to be used judiciously and evaluated critically with regard to established lithostratigraphy, biostratigraphy and other age constraints.
Full article
(This article belongs to the Special Issue Advances in Palaeontology—Feature Papers to Celebrate the Inaugural Issue of Fossil Studies)
►▼
Show Figures

Figure 1
Open AccessArticle
An Ammonite Preserved in the Upper Pliocene Lower Tejo River Deposits of Quinta Do Conde (Southwest Portugal)
by
Carlos Neto de Carvalho, Miguel Barroso and Sofia Soares
Foss. Stud. 2025, 3(2), 8; https://doi.org/10.3390/fossils3020008 - 3 Jun 2025
Abstract
A cast is an object that results from a fossilization process that is considerably rare in nature. For a cast to be produced, secondary diagenetic processes during and after fossilization are normally involved. Natural casts are formed when minerals are deposited within the
[...] Read more.
A cast is an object that results from a fossilization process that is considerably rare in nature. For a cast to be produced, secondary diagenetic processes during and after fossilization are normally involved. Natural casts are formed when minerals are deposited within the fossil mold. Here we describe an exceptional example of the natural cast by gypsum of an ammonite presumably preserved as a limestone-made “half” mold that had previously been transported as an extraclast, deposited and dissolved within Upper Pliocene quartz sandstones of the ancestral Tejo river. Portable X-ray fluorescence was used to analyze and compare the geochemical composition of the ammonite fossil with that of the nodules found within the same bed, reflecting different diagenetic timings. The composition of the ammonite cast reflects the in situ dissolution of limestone and the precipitation of calcium sulfate. High δ34S‰ and Sr values obtained from the ammonite show that the cast was produced by percolating acidic waters in the vadose zone, under marine influence, during the Late Pliocene or already in the Pleistocene. The waters being rich in sulfur resulted more likely from a marine water-influenced water table. Alternatively, it may have resulted from the weathering concentration of sulfur from the Marco Furado ferricretes overlying Santa Marta sandstone. This is, so far, the only testimony of the enormous temporal discontinuity that occurred during the taphonomic history of an ammonite, with a final preservation in the form of a cast made of gypsum, the most didactic example of this type of fossilization ever found in Portugal.
Full article
(This article belongs to the Special Issue Continuities and Discontinuities of the Fossil Record)
►▼
Show Figures

Figure 1
Open AccessArticle
The Patagonian Mara Dolichotis patagonum (Zimmermann, 1780) (Rodentia, Caviomorpha, Caviidae) in the Late Pleistocene of Northern Uruguay: Body Mass, Paleoenvironmental and Biogeographical Connotations
by
Martín Ubilla, Martín Ghizzoni and Andrés Rinderknecht
Foss. Stud. 2025, 3(2), 7; https://doi.org/10.3390/fossils3020007 - 24 May 2025
Abstract
►▼
Show Figures
The extant Patagonian mara Dolichotis patagonum (Zimmermann, 1780) is a cursorial herbivorous rodent that is hare-like in appearance. Nowadays, it occurs in some ecoregions of Argentina (28 °S–50 °S) in lowland habitats, in semi-arid thorn-scrub, in open grasslands and in shrub–land steppe. In
[...] Read more.
The extant Patagonian mara Dolichotis patagonum (Zimmermann, 1780) is a cursorial herbivorous rodent that is hare-like in appearance. Nowadays, it occurs in some ecoregions of Argentina (28 °S–50 °S) in lowland habitats, in semi-arid thorn-scrub, in open grasslands and in shrub–land steppe. In this research, we have studied a partially preserved skull (FCDPV-2758), referred to D. patagonum, from the Late Pleistocene (Sopas Formation) in northern Uruguay (Arapey Grande River, Salto Department). Body mass estimates and morphological analyses were performed including contemporary specimens of D. patagonum, the Chaco mara Dolichotis salinicola, and extinct dolichotine species. The body mass estimate using the regression method and geometric similarity suggested a 6–8 kg range for the studied specimen, which is consistent with D. patagonum (7–8 kg) and notably greater than D. salinicola (1–2.3 kg). A comparative analysis, including the extinct D. platycephala and material previously referred to D. major from southwestern Uruguay, suggests that the studied specimen falls within the variation of D. patagonum, differing in part from D. chapalmalense and more clearly from D. salinicola, the extinct D. minor and Prodolichotis prisca. The implications of the wider geographic distributions of the living Patagonian mara at these latitudes in the Late Pleistocene in South America, and the paleoenvironmental significance are discussed.
Full article

Figure 1
Open AccessReview
Reconciling Divergent Ages for the Oldest Recorded Air-Breathing Land Animal, the Millipede, Pneumodesmus newmani Wilson & Anderson, 2004: A Review of the Geology and Ages of the Basal Old Red Sandstone Stonehaven Group (Silurian–Early Devonian), Aberdeenshire, Scotland
by
Michael E. Brookfield, Elizabeth J. Catlos and Hector K. Garza
Foss. Stud. 2025, 3(2), 6; https://doi.org/10.3390/fossils3020006 - 26 Apr 2025
Abstract
►▼
Show Figures
Divergent mid-Silurian (late Wenlock) and latest Silurian–earliest Devonian (Pridoli–Lochkovian) ages have been proposed for the strata bearing the millipede Pneumodesmus newmani, the oldest known undoubted air-breathing land animal, marking a significant event in the evolution of the first land biota. The late
[...] Read more.
Divergent mid-Silurian (late Wenlock) and latest Silurian–earliest Devonian (Pridoli–Lochkovian) ages have been proposed for the strata bearing the millipede Pneumodesmus newmani, the oldest known undoubted air-breathing land animal, marking a significant event in the evolution of the first land biota. The late Wenlock age is based on physically correlating a non-marine section dated with spores and detrital zircon dates, across a fault, with a distinctly different non-marine section bearing the millipede. The Pridoli–Lochkovian ages are based on vertebrate fossils and detrital zircon dates from this latter section. A review of the available lithostratigraphic, petrological, and biostratigraphic data, plus detrital zircon dating of the basal Old Red Sandstone around Stonehaven, shows that the two dated sections have strata that are of different depositional environments, sources, and ages and that the totality of the evidence firmly dates the millipede-bearing strata as Pridoli–Lochkovian.
Full article

Graphical abstract
Open AccessFeature PaperArticle
New Ornithopod Remains from the Upper Barremian (Lower Cretaceous) of Vadillos-1 (Cuenca, Spain)
by
Mélani Berrocal-Casero, Fernando Barroso-Barcenilla, Pedro Miguel Callapez, Ricardo Pimentel, María Rosario Alcalde-Fuentes and Irene Prieto
Foss. Stud. 2025, 3(1), 5; https://doi.org/10.3390/fossils3010005 - 13 Mar 2025
Cited by 2
Abstract
►▼
Show Figures
New ornithopod remains have recently been discovered at the Vadillos-1 paleontological site, in Cuenca Province, Central Spain. These remains were collected in sandy and clayey deposits within “Wealden” alluvial facies, which correspond to an upper Barremian (Lower Cretaceous) alluvial-palustrine muddy floodplain paleoenvironment. The
[...] Read more.
New ornithopod remains have recently been discovered at the Vadillos-1 paleontological site, in Cuenca Province, Central Spain. These remains were collected in sandy and clayey deposits within “Wealden” alluvial facies, which correspond to an upper Barremian (Lower Cretaceous) alluvial-palustrine muddy floodplain paleoenvironment. The remains correspond to a part of a sacrum, including three fused sacral vertebral centra with sacral ribs and part of the sacral yoke, together with an isolated unfused sacral vertebra. An incomplete ischium has also been identified, likely belonging to the same individual. The sacral block exhibits a broad sulcus that begins at the most anterior sacral vertebra, continues through the middle vertebra, and ends in the area where the middle and the most posterior vertebrae are fused. The non fused sacral vertebra also displays a ventral sulcus. The incomplete ischium has a curved shaft with a triangular cross section towards the distal end. The combination of the morphological features of the sacrum and ischium allow its attribution to Iguanodon cf. bernissartensis. This species is identified in the area for the first time, adding new valuable data about the dinosaur assemblages from the Lower Cretaceous of Spain.
Full article

Figure 1
Open AccessArticle
Giant Bird Tracks (Family Gastornithidae) from the Paleogene Chuckanut Formation, Northwest Washington, USA, with a Review of Gastornis Distribution
by
George E. Mustoe
Foss. Stud. 2025, 3(1), 4; https://doi.org/10.3390/fossils3010004 - 27 Feb 2025
Abstract
Giant Paleogene groundbirds named Gastornis have long been known from Europe, with similar fossils from North America being placed in the genus Diatryma. A more recent discovery in China is evidence that these birds had wide geographic distribution. The name Gastornis is
[...] Read more.
Giant Paleogene groundbirds named Gastornis have long been known from Europe, with similar fossils from North America being placed in the genus Diatryma. A more recent discovery in China is evidence that these birds had wide geographic distribution. The name Gastornis is now generally considered to be the name that has historical precedence. Historically, Gastornis has been interpreted as being a fierce predator, but anatomical and isotopic evidence suggests that the giant birds were herbivores. Gastornithid tracks preserved in Lower Eocene fluvial sediments of the Chuckanut Formation in northwest Washington State, USA, support the herbivore interpretation. These tridactyl footprints preserve broad triangular toenails rather than talons. The Chuckanut Formation gastornithid tracks have been given the ichnotaxonomic name Rivavipes giganteus Mustoe et al. (2012). In 2024, two important new discoveries were made. These are a trackway that preserves three adult tracks, and two tracks left by a gastornithid chick.The adult bird trackway has stride and pace distances that are consistent with the short lower limb bones (tarsometatarsals) observed in Gastornis skeletal remains. The reproductive strategies of gastornithids remain enigmatic; the evidence consists of numerous egg shell fragments found at sites in France and the newly discovered Chuckanut tracks.
Full article
(This article belongs to the Special Issue Advances in Palaeontology—Feature Papers to Celebrate the Inaugural Issue of Fossil Studies)
►▼
Show Figures

Figure 1
Open AccessBook Review
Book Review: Laurin, M. The Advent of PhyloCode: The Continuing Evolution of Biological Nomenclature; CRC Press: Boca Raton, FL, USA; Abingdon, UK, 2024; ISBN: 978-0-367-55288-6 (hbk), 978-0-367-55210-7 (pbk), 978-1-003-09282-7 (ebk)
by
Sandra J. Carlson
Foss. Stud. 2025, 3(1), 3; https://doi.org/10.3390/fossils3010003 - 18 Feb 2025
Abstract
Birds are dinosaurs! Elementary school children will eagerly share this exciting bit of news with us these days [...]
Full article
Open AccessCommunication
Bioerosion Structures on Dinosaur Bones Probably Made by Multituberculate Mammals and Dermestid Beetles (Guichón Formation, Late Cretaceous of Uruguay)
by
Daniel Perea, Mariano Verde, Valeria Mesa, Matías Soto and Felipe Montenegro
Foss. Stud. 2025, 3(1), 2; https://doi.org/10.3390/fossils3010002 - 20 Jan 2025
Cited by 2
Abstract
►▼
Show Figures
We describe the first fossil traces from the skeletal remains of dinosaurs from Uruguay, from the Upper Cretaceous Guichón Formation. We describe the first biting/gnawing fossil traces reported for Uruguay, Machichnus bohemicus Mikulás et al., 2006, probably made by small tetrapods, such as multituberculate
[...] Read more.
We describe the first fossil traces from the skeletal remains of dinosaurs from Uruguay, from the Upper Cretaceous Guichón Formation. We describe the first biting/gnawing fossil traces reported for Uruguay, Machichnus bohemicus Mikulás et al., 2006, probably made by small tetrapods, such as multituberculate mammals. Moreover, traces likely made by sarcosaprophagous beetles, namely Cubiculum Roberts et al., 2007, cf. Cubiculum, and cf. Osteocallis Roberts et al., 2007, are described. The presence of Cubiculum and Osteocallis supports previously proposed depositional conditions in a warm and arid to semi-arid continental environment for the referred stratigraphical unit. All traces would indicate a certain period of subaerial exposure before the definitive burial of the bones.
Full article

Figure 1
Open AccessFeature PaperArticle
The Largest Mesosaurs Ever Known: Evidence from Scanty Records
by
Graciela Piñeiro, Pablo Núñez Demarco and Michel Laurin
Foss. Stud. 2025, 3(1), 1; https://doi.org/10.3390/fossils3010001 - 25 Dec 2024
Abstract
Mesosaurs have long been considered to be small to mid-sized aquatic to semiaquatic amniotes that lived in Gondwana during the Early Permian or Late Carboniferous, according to recent research that showed their ghost range extending back to the Pennsylvanian. Previous morphometric analyses based
[...] Read more.
Mesosaurs have long been considered to be small to mid-sized aquatic to semiaquatic amniotes that lived in Gondwana during the Early Permian or Late Carboniferous, according to recent research that showed their ghost range extending back to the Pennsylvanian. Previous morphometric analyses based on several hundred mesosaur specimens, including materials from Uruguay, Brazil, South Africa, Namibia, and the Paris National History Museum, provided a comprehensive understanding of mesosaur ontogeny, documented from fetus to adults. As a result, it was possible to determine the approximate size of any individual, measuring just one isolated limb bone, vertebrae, or even cranial elements. Herein, we describe large, poorly preserved and incomplete skulls, as well as axial and appendicular bones, from the Mangrullo Formation Konservat-Lagerstätte of Uruguay that suggest the existence of gigantism in mature mesosaurs reaching more than twice the size of previously described adults and type specimens. The sporadic occurrence of these giant individuals contrasts sharply with the abundant remains of young mesosaurs and, in general, with what is commonly found in the fossil record of vertebrates. The poor preservation of the mature individuals and their presence in coastal areas of the basin is consistent with the hypothesis that older mesosaurs have spent more time near the coast. An alternative hypothesis suggesting pelagic lifestyles is less supported by the available data. Given the preservation of unborn and hatchlings, as well as early juvenile, mature and very mature individuals, the mesosaur record is considered exceptional among early amniotes.
Full article
(This article belongs to the Special Issue Advances in Palaeontology—Feature Papers to Celebrate the Inaugural Issue of Fossil Studies)
►▼
Show Figures

Graphical abstract
Open AccessFeature PaperArticle
An Equus-Dominated Middle Pleistocene (Irvingtonian) Vertebrate Fauna from Northcentral Florida, USA
by
Richard C. Hulbert, Jr., Rachel E. Narducci, Robert W. Sinibaldi and Joseph R. Branin
Foss. Stud. 2024, 2(4), 294-339; https://doi.org/10.3390/fossils2040014 - 15 Nov 2024
Cited by 1
Abstract
►▼
Show Figures
A newly discovered deposit on the bed of the Steinhatchee River produced a moderately diverse assemblage of 15 vertebrate taxa herein designated the Steinhatchee River 2A (STR 2A) local fauna. Mammalian taxa isotopically shown from other sites to be either grazers or grazing-dominated
[...] Read more.
A newly discovered deposit on the bed of the Steinhatchee River produced a moderately diverse assemblage of 15 vertebrate taxa herein designated the Steinhatchee River 2A (STR 2A) local fauna. Mammalian taxa isotopically shown from other sites to be either grazers or grazing-dominated mixed-feeders numerically dominate the fauna, especially a species of Equus. About 75% of the 552 identifiable fossils from STR 2A, representing a minimum of nine individuals, are referred to the informally named Equus (Equus) sp. A. The site produced the first known examples of associated upper and lower cheekteeth and lower incisors for this species, and also one of just two records outside of central and southern peninsular Florida. Like most Pleistocene sites in Florida, xenarthrans are diverse, with two cingulates, Dasypus and Holmesina, and two pilosans, Paramylodon and Megalonyx. An astragalus and several metatarsals of Holmesina are within the size range of H. septentrionalis, but also have some characteristics found in the older species H. floridanus. These finds corroborate that an evolutionary transition between these two species occurred in Florida during the Irvingtonian. The age of STR 2A is most likely middle Irvingtonian, ca. 0.5–0.7 Ma, an interval poorly known in Florida and the rest of the southeastern USA.
Full article

Figure 1
Highly Accessed Articles
Latest Books
E-Mail Alert
News
Topics
Special Issues
Special Issue in
Fossil Studies
New Directions in the Study of Vertebrate Trace Fossils
Guest Editors: Adrian P. Hunt, Spencer G. Lucas, Lida XingDeadline: 28 February 2026



