-
Impacts of Climatic Phenomena and Terrain on December 2021 Extreme Rainfall over Peninsular Malaysia -
Machine Learning in Climate Downscaling: A Critical Review of Methodologies, Physical Consistency, and Operational Applications -
Long-Term VOC Transport in a Thick Heterogeneous Vadose Zone and Perched Aquifers: Jerusalem Mountains Industrial Site -
Leakage Modelling in Water Distribution Networks: A Novel Framework for Embedding FAVAD Formulation into EPANET 2.2 -
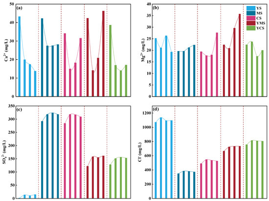
Distributive Disturbances: Examining Community Exposure to Drinking Water Contaminants Amidst the Jackson, Mississippi (USA) Water Crisis
Journal Description
Water
Water
is a peer-reviewed, open access journal on water science and technology, including the ecology and management of water resources, published semimonthly online by MDPI. Water collaborates with the Stockholm International Water Institute (SIWI). In addition, the American Institute of Hydrology (AIH), Polish Limnological Society (PLS) and Japanese Society of Physical Hydrology (JSPH) are affiliated with Water and their members receive a discount on the article processing charges.
- Open Access— free for readers, with article processing charges (APC) paid by authors or their institutions.
- High Visibility: indexed within Scopus, SCIE (Web of Science), Ei Compendex, GEOBASE, GeoRef, PubAg, AGRIS, CAPlus / SciFinder, Inspec, and other databases.
- Journal Rank: JCR - Q2 (Water Resources) / CiteScore - Q1 (Aquatic Science)
- Rapid Publication: manuscripts are peer-reviewed and a first decision is provided to authors approximately 18.9 days after submission; acceptance to publication is undertaken in 2.7 days (median values for papers published in this journal in the second half of 2025).
- Recognition of Reviewers: reviewers who provide timely, thorough peer-review reports receive vouchers entitling them to a discount on the APC of their next publication in any MDPI journal, in appreciation of the work done.
- Companion journals for Water include: Hydropower and Freshwater.
- Journal Clusters of Water Resources: Water, Journal of Marine Science and Engineering, Hydrology, Resources, Oceans, Limnological Review, Coasts.
Impact Factor:
3.0 (2024);
5-Year Impact Factor:
3.3 (2024)
Latest Articles
Accuracy of the Digital Terrain Model and Its Impact on the Results of Hydraulic Modelling in Floodplains
Water 2026, 18(11), 1312; https://doi.org/10.3390/w18111312 (registering DOI) - 29 May 2026
Abstract
The most important input for modelling the water flow in an inundation area is the Digital Terrain Model (DTM). The significance of DTM accuracy increases with activities related to the re-opening of floodplains to rivers, according to the Biodiversity Strategy 2030 issued by
[...] Read more.
The most important input for modelling the water flow in an inundation area is the Digital Terrain Model (DTM). The significance of DTM accuracy increases with activities related to the re-opening of floodplains to rivers, according to the Biodiversity Strategy 2030 issued by the European Committee in 2022. In this study, three Digital Terrain Models were compared: two DTMs (fourth and fifth versions) generated as Czech standards by the State Administration of Land Surveying and Cadastre, and a purpose-built DTM created by the CzechGlobe institute, CAS. A series of hydraulic calculations were carried out combining the three DTMs with the set of discharges corresponding to return periods of 1, 5, 20, and 100 years. The “typical” inundation area on the right bank of the Morava River was chosen to compare the modelling results. DTM inaccuracy affected the hydraulic modelling results primarily when smaller discharges passed the inundation area, mostly due to DTM inaccuracies in local open channels and water-collecting ditches, which are poorly and erroneously depicted when using the less-accurate fourth- and fifth-version DTMs. This study also shows that there was no direct correlation between the locations of DTM inaccuracies and differences in water levels obtained via hydraulic modelling, which dropped with increasing flood discharge. The error in the calculated water level exceeded approximately 0.75 m for Q1 and approximately 0.33 m for Q100. The error depends on the morphology and segmentation of the floodplain, the configuration of the hydraulic model, local changes and human interventions in the area, and the type of DTM, the technology used, and its accuracy and resolution. This study contributes to assessment of the accuracy of hydraulic modelling in flood inundation areas and indicates how DTM accuracy affects hydraulic modelling outcomes.
Full article
(This article belongs to the Special Issue River Channel Hydraulics, Fluvial Dynamics and Re-Opening Floodplains)
►
Show Figures
Open AccessArticle
Statistical Optimization of Eggshell-Derived Bioflocculants for the Harvesting of Chlorella spp. and Nutrient Mitigation in Agricultural Wastewater
by
Katherine Guzmán, Andrés Izquierdo and Milton Quinga
Water 2026, 18(11), 1311; https://doi.org/10.3390/w18111311 (registering DOI) - 29 May 2026
Abstract
This study explores the application of a bioflocculant derived from poultry eggshell waste for the removal of Chlorella spp. and related contaminants from agricultural wastewater using a statistically guided experimental design. In accordance with circular bioeconomy principles, eggshell residues were repurposed as a
[...] Read more.
This study explores the application of a bioflocculant derived from poultry eggshell waste for the removal of Chlorella spp. and related contaminants from agricultural wastewater using a statistically guided experimental design. In accordance with circular bioeconomy principles, eggshell residues were repurposed as a low-cost and sustainable biomaterial for water treatment. Chlorella spp. was selected as the target microalga due to its rapid proliferation, tolerance to eutrophic environments, and frequent presence in agricultural effluents. A two-level factorial design with center points was applied to evaluate the individual and interactive effects of key operational parameters, including pH, temperature, initial biomass concentration, and bioflocculant dosage. The highest biomass removal efficiency (94%) was achieved at pH 10, a temperature of 18.5 °C, a bioflocculant dose of 100 mg L−1, and an initial biomass concentration of approximately 3.76 × 107 cells mL−1, with a contact time of 360 min. Under these optimized conditions, notable reductions were also observed in chemical oxygen demand (78%), nitrates (87%), phosphates (21%), and coliform bacteria (99.6%). The developed regression model exhibited strong predictive capability (R2 = 0.97), indicating high reproducibility within the investigated experimental conditions. Overall, the findings suggest that eggshell-derived bioflocculants may represent a promising alternative to conventional chemical flocculants for agricultural wastewater treatment. High removal efficiency was achieved at relatively low dosages under operational conditions, supporting the potential of this approach for improving microalgae harvesting and the wastewater treatment processes.
Full article
(This article belongs to the Section Wastewater Treatment and Reuse)
►▼
Show Figures

Figure 1
Open AccessArticle
Channel Reshaping and Adaptive Management of Inland Tail-End Deltas Under River–Lake Interaction: Model Experiments and Empirical Evidence from the Comprehensive Regulation of the Ganjiang Tail-End Delta
by
Qiuqin Wu, Bin Chen, Sufen Zhou, Jun Zou, Zhiwen Huang and Nan Yang
Water 2026, 18(11), 1310; https://doi.org/10.3390/w18111310 (registering DOI) - 28 May 2026
Abstract
Intensive human activities are reshaping inland tail-end deltas. Based on hydrological and sediment data from 1950 to 2023 and physical model experiments, this study examines the Ganjiang tail-end delta to analyze channel evolution, driving mechanisms, and management pathways. Results indicate that the Wan’an
[...] Read more.
Intensive human activities are reshaping inland tail-end deltas. Based on hydrological and sediment data from 1950 to 2023 and physical model experiments, this study examines the Ganjiang tail-end delta to analyze channel evolution, driving mechanisms, and management pathways. Results indicate that the Wan’an Reservoir and large-scale sand mining are the dominant drivers of flow-sediment regime shifts and channel reshaping. Sand mining has caused severe riverbed incision, with a local maximum depth of 16.5 m. During the dry season, the flow diversion ratio of the West Branch exceeds 90%, fundamentally altering the flow distribution pattern. Although riverbed incision has enhanced local flood conveyance, the overall flood discharge capacity of the tail-end delta remains limited due to backwater from Poyang Lake, introducing new flood risks. Reduced sediment supply and hydrological changes have exacerbated wetland shrinkage and eutrophication. Physical model experiments show that the comprehensive regulation project can raise dry-season water levels by approximately 5 m through sluice operation, optimize flow diversion, and increase wetland surface water area by 56%. This project integrates flood control, ecological protection, and water resource utilization, representing a proactive exploration of adaptive management for deltas and providing scientific references for understanding evolution and guiding management in similar inland tail-end deltas.
Full article
(This article belongs to the Special Issue Impact Mechanisms and Regulation Technologies of Hydraulic Engineering on Aquatic Environments)
►▼
Show Figures

Figure 1
Open AccessArticle
Quantifying Non-Fickian Pollutant Transport in Layered Heterogeneous Media Under Non-Uniform Flow Field: Bimodal Transport and Sub-Diffusion
by
Dongbao Zhou, Xiheng Ma, Shanglei Pan and Xi Chen
Water 2026, 18(11), 1309; https://doi.org/10.3390/w18111309 (registering DOI) - 28 May 2026
Abstract
Characterizing pollutant transport in heterogeneous layered media, such as structured surface soils and layered aquifers, is crucial for predicting and managing environmental pollution. However, the characterization of the coupled bimodal transport and sub-diffusion dynamics of contaminants in layered porous media under a non-uniform
[...] Read more.
Characterizing pollutant transport in heterogeneous layered media, such as structured surface soils and layered aquifers, is crucial for predicting and managing environmental pollution. However, the characterization of the coupled bimodal transport and sub-diffusion dynamics of contaminants in layered porous media under a non-uniform flow field remains challenging. In this paper, we develop a 2D-fractional multi-peak (2D-FMP) model to systematically investigate the complicated non-Fickian pollutant transport in the layered media systems. The model analysis reveals the effects of hydrological properties and media heterogeneity on bimodal transport and sub-diffusion behavior. The results show that: (1) The two-peak pollutant transport behavior becomes more apparent as the contrast in media porosity increases. Furthermore, an increase in dispersivity within the slow region (region 1) decreases the concentration value of the second peak in the entire region, indicating that discrepancies in media properties are critical factors influencing multi-peak transport. (2) A smaller time index in region 1 ( ) results in a lower concentration value for the second peak across the entire region, and the power-law late-time tails become heavier as decreases. This indicates that discrepancies in media heterogeneity between region 1 and region 2 also significantly influence anomalous bimodal transport. The model’s application further validates the ability of the 2D-FMP framework to capture coupled bimodal transport and sub-diffusion in natural layered media. The 2D-FMP model developed in this study sheds light on the quantification of non-Fickian transport in layered media systems.
Full article
(This article belongs to the Special Issue Fate and Transport of Contaminants in Soil and Water)
►▼
Show Figures

Figure 1
Open AccessArticle
A Soil Moisture Prediction Model Based on GCN-LSTM Network Incorporating Channel and Temporal Attention
by
Jing Wang, Bojia Liu, Xiaohe Han, Yuheng Ji and Qingliang Li
Water 2026, 18(11), 1308; https://doi.org/10.3390/w18111308 (registering DOI) - 28 May 2026
Abstract
Getting soil moisture right matters for fighting drought and stopping land from turning into desert. Aiming at the problems of insufficient spatiotemporal modeling and redundant attention mechanisms in global soil moisture prediction, we built a new deep learning model called CTA-GraphConvLSTM to better
[...] Read more.
Getting soil moisture right matters for fighting drought and stopping land from turning into desert. Aiming at the problems of insufficient spatiotemporal modeling and redundant attention mechanisms in global soil moisture prediction, we built a new deep learning model called CTA-GraphConvLSTM to better capture how soil moisture changes across both space and time, and provide technical support for drought early warning, precision agriculture and water resource management. It combines graph convolutional networks to map geographic relationships and uses a 3D-SENet attention mechanism to pull out key temporal patterns. Using the LandBench dataset, we compared the proposed model with LSTM, GraphLSTM, and ConvLSTM across multiple lead times and drought levels. Performance was evaluated using root mean square error (RMSE) and R . The CTA-GraphConvLSTM achieved the highest predictive accuracy (R = 0.555 for 1-day lead), outperforming ConvLSTM (R = 0.444), LSTM (R = 0.430), and GraphLSTM (R = 0.088). This value reveals that the model can hardly explain the variance in the data and presents extremely poor prediction performance, performing just slightly better than a simple mean predictor. The comparison results fully verify that the proposed model has higher prediction accuracy. These results demonstrate the effectiveness of graph-scale spatiotemporal modeling for soil moisture prediction. Our research has direct practical applications: it can support precision agriculture by optimizing irrigation schedules, enhance water resource management through improved reservoir operation, and strengthen drought early warning systems, thereby contributing to sustainable land use and food security.
Full article
(This article belongs to the Special Issue Data Assimilation and Modeling for Sustainable Soil–Water Systems)
Open AccessReview
Applicability of Urban Water Simulation Models for Estimating Urban Water Balance of Kabul City: A Review
by
Fazli Rahim Shinwari, Ulrich Dittmer and Ali Haghighi
Water 2026, 18(11), 1307; https://doi.org/10.3390/w18111307 - 28 May 2026
Abstract
Computational models have gained recognition as effective tools for estimation of urban water balance. Beyond personal skills, the selection of an appropriate model requires an understanding of the city’s water system, the capabilities of the model and data requirements. Kabul represents a rapidly
[...] Read more.
Computational models have gained recognition as effective tools for estimation of urban water balance. Beyond personal skills, the selection of an appropriate model requires an understanding of the city’s water system, the capabilities of the model and data requirements. Kabul represents a rapidly urbanizing city with limited water and sanitation infrastructure. To analyze the urban water balance of Kabul, ten prominent open-source and commercial hydrological models were evaluated. The characteristics of the models along with their data requirements, calibration parameters, and applications are assessed through a review of previous studies and user manuals. The study demonstrates that assessing Kabul’s urban water balance requires explicit consideration of processes such as snowmelt, groundwater abstraction, surface water–groundwater interaction and irrigation. The urban water balance of Kabul and cities with similar conditions can be effectively modeled using tools such as MIKE SHE, SWAT, and WEAP. The flexibility of the MIKE SHE model and its ability to use time-varying raster data make it a viable option for analyzing water balance under changing land cover and climatic conditions. Lumped models account for limited spatial variability and rely on empirical fitting. In contrast, physically based models reduce reliance on empirical calibration. However, they are more data-intensive and complex than simpler conceptual models.
Full article
(This article belongs to the Section Urban Water Management)
►▼
Show Figures

Figure 1
Open AccessArticle
Coupling Heavy Metal Removal and Biodiesel Production in Chlorella vulgaris: Metal-Specific Regulation of Lipogenic Enzymes and Carbon Allocation
by
Bing Bai, Qun Wei and Xiangmeng Ma
Water 2026, 18(11), 1306; https://doi.org/10.3390/w18111306 - 28 May 2026
Abstract
Heavy metal pollution poses a serious threat to aquatic ecosystems. Microalgae have attracted considerable attention due to their dual potential for heavy metal removal and lipid recovery. However, studies that simultaneously achieve both heavy metal removal and lipid accumulation remain very limited. The
[...] Read more.
Heavy metal pollution poses a serious threat to aquatic ecosystems. Microalgae have attracted considerable attention due to their dual potential for heavy metal removal and lipid recovery. However, studies that simultaneously achieve both heavy metal removal and lipid accumulation remain very limited. The short-term (3 h) and long-term (3 days) effects of single and mixed Cu2+, Zn2+, and Pb2+ stress on Chlorella vulgaris FACHB-8 were investigated for heavy metal removal and lipid recovery. Removal rates varied with metal species, concentration, and single vs. mixed systems. At 3 h, the order was Pb2+ > Cu2+ > Zn2+; at 3 days, Pb2+ ≈ Zn2+ > Cu2+. The Zn2++Pb2+ combination maintained >90% removal across all concentrations, whereas Cu2+ removal was impeded (65–85%). Long-term stress maximized lipid content at 30% under 1 mg/L Cu2+ or 0.5 mg/L Cu2++Zn2+, while Pb2+ restricted it to ≤12.85%. Cu2+ (1 mg/L) produced the highest saturated fatty acids (69.95%, dominated by C16:0 and C18:0), favorable for biodiesel. Highly toxic Pb2+ impaired cellular integrity and suppressed carbon allocation to lipids, whereas moderate Cu2+ or Cu2++Zn2+ stress induced synergistic lipid and SFA accumulation. This metabolic shift was associated with upregulated superoxide dismutase (SOD) and acetyl-CoA carboxylase (ACC) activities, mitigating oxidative damage and redirecting carbon flux toward lipid biosynthesis as a defense strategy.
Full article
(This article belongs to the Section Wastewater Treatment and Reuse)
►▼
Show Figures

Figure 1
Open AccessArticle
Development of an Electronic Tongue-Based Taste Index for Process Monitoring and Anomaly Detection in Drinking Water Treatment
by
Juwon Lee, Sook-Hyun Nam, Eunju Kim, Jae-Wuk Koo, Jeongbeen Park, Intae Shim and Tae-Mun Hwang
Water 2026, 18(11), 1305; https://doi.org/10.3390/w18111305 - 28 May 2026
Abstract
Taste is a critical yet under-monitored parameter influencing consumer trust in drinking water. Despite its importance, conventional systems rarely quantify taste objectively for operational management. This study introduces a novel sensor-based Taste Index (TI), developed using a potentiometric electronic tongue (E-tongue) with seven
[...] Read more.
Taste is a critical yet under-monitored parameter influencing consumer trust in drinking water. Despite its importance, conventional systems rarely quantify taste objectively for operational management. This study introduces a novel sensor-based Taste Index (TI), developed using a potentiometric electronic tongue (E-tongue) with seven ion-selective electrodes, to enable continuous, quantitative evaluation of taste stability across treatment and distribution systems. Multivariate analyses, including principal component analysis and partial least squares discriminant analysis, characterized treatment-dependent variations and spatial heterogeneity. The TI was defined as the normalized Euclidean distance from the final treated water reference (TI = 0.00). Results showed raw water at TI = 1.00, while a temporary increase to TI = 0.38 post-ozonation indicated the formation of taste-active byproducts. Notably, distribution samples with TI > 0.4 precisely corresponded to areas with documented aesthetic complaints. This research presents the first application of a sensor-derived TI for proactive taste monitoring. By enabling early anomaly detection and process tracking, the TI supports data-driven, consumer-centered water management. Its scalability and real-time applicability position it as a practical tool for smart water infrastructure and enhanced operational control.
Full article
(This article belongs to the Special Issue Advanced Data Analytics for Water Quality and Public Health)
►▼
Show Figures

Figure 1
Open AccessArticle
Analysis of Flow and Structural Characteristics of Y-Shaped Bifurcated Pipe with Crescent Rib Under Hydraulic Short-Circuit Mode
by
Ming Xia, Shang Zhu, Wanqin Ding, Zhe Kang, Jing Yang and Zhengwei Wang
Water 2026, 18(11), 1304; https://doi.org/10.3390/w18111304 - 28 May 2026
Abstract
Hydraulic short-circuit (HSC) has gained widespread attention as a novel approach to enhancing the flexibility of pumped-storage power plants (PSPPs). This paper investigates the flow and structural characteristics of bifurcated pipes in PSPPs, conducting numerical simulations under multiple operating conditions under pumping, generating,
[...] Read more.
Hydraulic short-circuit (HSC) has gained widespread attention as a novel approach to enhancing the flexibility of pumped-storage power plants (PSPPs). This paper investigates the flow and structural characteristics of bifurcated pipes in PSPPs, conducting numerical simulations under multiple operating conditions under pumping, generating, and HSC modes. Computational fluid dynamics (CFD) simulations indicate that the flow pattern deteriorates significantly under the HSC mode, with energy loss increasing notably as the flow split ratio (FSR) rises, though peaking at only 1.2% of total energy. Driven by secondary flow, a pair of counter-rotating Dean vortices develops from the upstream main pipe to the generating branch as the FSR increases. The entropy production rate reveals the energy dissipation mechanisms in the main flow region, namely, the shear interaction between high-velocity outflow and low-velocity vortex flow, along with the viscous dissipation within the Dean vortices. Furthermore, fluid–structure interaction (FSI) simulation results confirm that the structural reliability of the bifurcated pipe is ensured under the HSC mode, as the dominant load stems from the high static pressure of the upstream reservoir, with fluid impact loads playing a relatively insignificant role. This study provides a theoretical foundation for the practical operation of hydraulic short-circuit with respect to the performance and safety of a bifurcated pipe.
Full article
(This article belongs to the Topic Hydropower Flexibility: Theory, Optimization, and Applications)
►▼
Show Figures

Figure 1
Open AccessArticle
Snow Trends in the Aconcagua River Basin Based on Remote Sensing and Reanalysis Data
by
Valentina Carrasco-Aguilera, Cristian Mattar and Rodrigo Fuster
Water 2026, 18(11), 1303; https://doi.org/10.3390/w18111303 - 28 May 2026
Abstract
The Aconcagua River Basin is one of the most important basins in Chile, supporting a large percentage of economic activities such as intensive agriculture, mining, agroindustry, manufacturing, and hydropower generation. This basin is highly sensitive to climate change because it relies primarily on
[...] Read more.
The Aconcagua River Basin is one of the most important basins in Chile, supporting a large percentage of economic activities such as intensive agriculture, mining, agroindustry, manufacturing, and hydropower generation. This basin is highly sensitive to climate change because it relies primarily on snowmelt and glacier contributions for water availability. In recent decades, a water deficit has been reported affecting water supply for the entire basin. This study focuses on changes in snow cover in the headwater catchment of the Aconcagua Basin and their relationship with meteorological conditions. The databases rely on satellite remote sensing and climate reanalysis data, using Landsat and MODIS collections for Snow Cover Area (SCA) data and ERA5 reanalysis for meteorological data, respectively. SCA, albedo, air temperature and relative humidity, in addition to snowfall, were assessed using Sen’s slope and Mann–Kendall non-parametric test to estimate trends and their significance. The results showed a decrease in SCA of about 99.1 and 138.2 km2 per decade for MODIS and Landsat, respectively. Reanalysis datasets are related to the increase in warming trends, which accelerate the snow melting process and reduce water availability for the summer season. Hence, these results suggest the need to increase the ground-based snow monitoring stations to validate satellite data. Finally, the results can be used for new insights into water management at the basin scale in order to promote water use efficiency.
Full article
(This article belongs to the Section Water and Climate Change)
►▼
Show Figures

Figure 1
Open AccessArticle
Laboratory Modeling of Soil Responses and Water Quality Changes Induced by Shallow Periodic Water Coverage
by
Benjámin Pálffy, Karolina Solymos, István Fekete, László Makó, Gábor Gubucz, Balázs Turuczki and Károly Barta
Water 2026, 18(11), 1302; https://doi.org/10.3390/w18111302 - 27 May 2026
Abstract
Inland water management is increasingly important under climate change due to the need for landscape-scale water retention, but in situ studies are limited by fluctuating, shallow, and intermittent water cover. This study simulated prolonged waterlogging under controlled laboratory conditions. Four agricultural soils (Calcisol,
[...] Read more.
Inland water management is increasingly important under climate change due to the need for landscape-scale water retention, but in situ studies are limited by fluctuating, shallow, and intermittent water cover. This study simulated prolonged waterlogging under controlled laboratory conditions. Four agricultural soils (Calcisol, Arenosol, Chernozem, and Solonetz) were flooded for 40 days using identical 1:5 soil-to-water ratios at two temperature regimes, at 4 and 22 °C. Given that periodic water cover may conflict with agricultural production, particular attention was paid to crop-relevant indicators, including pH, water-soluble salts, and N, P, K. The laboratory simulation revealed significant differences among soil types and between temperature treatments. Elevated Mg concentrations limited the irrigation suitability of leachate derived from Calcisol, with Mg% values ranging from 57 to 64%, exceeding the 50% guideline threshold. Soil buffering capacity controlled phosphorus and potassium dynamics, resulting in stable or slightly increasing AL-soluble nutrient levels, except in low-buffering sandy soils where up to 3–4-fold variability was observed. Reductive conditions developed early in the Calcisol samples, supported by dissolved oxygen saturation values below 20% during the first days of the experiment. Oxygen saturation increased later, only exceeding 60% twice in the cooled Calcisol treatment, while nitrate–ammonium dynamics reflected changing redox conditions. Temperature significantly affected solubility and nutrient mobility, partly through its influence on microbial activity. These findings improve our understanding of inland water–soil interactions and support the development of sustainable, water-retentive land management strategies.
Full article
(This article belongs to the Section Soil and Water)
Open AccessArticle
Application of Clay–Polymer Nanocomposites for the Removal of Toxic Cyanobacteria and Other Phytoplankton from Water—A Laboratory Scale Study
by
Giora Rytwo, Yehezkel Tsveher, Yehudith Viner-Mozzini and Assaf Sukenik
Water 2026, 18(11), 1301; https://doi.org/10.3390/w18111301 - 27 May 2026
Abstract
The increasing global frequency of harmful cyanobacterial blooms (CyanoHABs), driven by nutrient enrichment and climate change, poses a severe threat to aquatic ecosystems and public health. This study evaluates the effectiveness of novel clay–polymer nanocomposites (CPCs) that combine the charge-neutralizing capabilities of polydiallyldimethylammonium
[...] Read more.
The increasing global frequency of harmful cyanobacterial blooms (CyanoHABs), driven by nutrient enrichment and climate change, poses a severe threat to aquatic ecosystems and public health. This study evaluates the effectiveness of novel clay–polymer nanocomposites (CPCs) that combine the charge-neutralizing capabilities of polydiallyldimethylammonium chloride (polyDADMAC) with the high clay mineral density (kaolinite and sepiolite) for rapid removal of toxic cyanobacteria from water. Laboratory experiments were performed using Microcystis aeruginosa, Aphanizomenon ovalisporum, and Chlorella sp., with treatment doses determined by particle charge detector (PCD) measurements to identify the “nominal dose” required for full charge neutralization. Results show that clay–polymer nanocomposites achieve over 95% removal of turbidity and chlorophyll in M. aeruginosa at doses significantly lower (15–20%) than the calculated nominal dose, likely due to specific physical bridging interactions with the cyanobacteria’s external exopolysaccharide fibers. In contrast, A. ovalisporum and Chlorella sp. required doses closer to full charge neutralization for optimal removal. Among the materials tested, kaolinite-based nanocomposites (DKG24) showed slightly superior, more stable performance than sepiolite-based nanocomposites. Notably, application at or above the nominal dose was associated with increased soluble microcystin levels, suggesting that excessive polymer concentrations may compromise cell integrity and lead to toxin leakage. These findings suggest that engineered nanocomposites offer highly efficient, scalable technology for CyanoHAB management, provided that operational doses are carefully optimized to maximize biomass removal while minimizing toxin release.
Full article
(This article belongs to the Special Issue Management and Sustainable Control of Harmful Algal Blooms)
Open AccessReview
Assessing Three Decades of Groundwater Modelling Applications in Greece: An Overview of Progress, Tools and Future Challenges
by
Christos Pouliaris
Water 2026, 18(11), 1300; https://doi.org/10.3390/w18111300 - 27 May 2026
Abstract
Water resource management in a growing world has arisen as one of the major pillars of future development, economic stability, and environmental sustainability. Within this framework, groundwater plays a key role in providing the necessary water for urban, industrial, and, most importantly, agricultural
[...] Read more.
Water resource management in a growing world has arisen as one of the major pillars of future development, economic stability, and environmental sustainability. Within this framework, groundwater plays a key role in providing the necessary water for urban, industrial, and, most importantly, agricultural uses. One of the tools used for managing water resources and planning future developments is groundwater models; the use of this resource has expanded since the 1990s. In Greece, the application of groundwater models has spanned for almost three decades, with a variety of applications developed for many of the geologically complex areas around the country. The present study aims to fill a gap in present scholarship by presenting an exhaustive review of case studies identified in the literature by collecting and reviewing the available research that involves the development of groundwater models, highlighting their primary foci, the numerical tools used, and their expected implications for future developments. This review shows that most applications focus on seawater intrusion processes in coastal areas, where agricultural activities have added significant stress on local groundwater resources. Additionally, many studies also involve pumping optimization methodologies, aiming for the sustainable management of coastal aquifers. Groundwater models can provide answers to these questions and assist in the sustainable management of water resources.
Full article
(This article belongs to the Special Issue Optimization–Simulation Modeling of Sustainable Water Resource, 2nd Edition)
►▼
Show Figures

Figure 1
Open AccessReview
Water Pollution and Its Impact on the Cardiovascular System in the Context of Current Data on These Pollutants in Poland and Uzbekistan—Preliminary Reports
by
Janusz Sielski, Małgorzata A. Jóźwiak, Marek Jóźwiak, Rashid Kulmatov, Zafarjon Jabbarov, Atabek Alimov, Ulugbek Mirkhodjaev and Karol Kaziród-Wolski
Water 2026, 18(11), 1299; https://doi.org/10.3390/w18111299 - 27 May 2026
Abstract
The exposome concept combines classic risk factors for cardiovascular disease with new, non-classical factors. One of the main non-classical factors is environmental pollution, including water pollution. This pollution is widespread worldwide. Based on government reports on water pollution in Poland and Uzbekistan and
[...] Read more.
The exposome concept combines classic risk factors for cardiovascular disease with new, non-classical factors. One of the main non-classical factors is environmental pollution, including water pollution. This pollution is widespread worldwide. Based on government reports on water pollution in Poland and Uzbekistan and the available literature, the authors point to health problems affecting residents of both countries. The presented tabulation of cardiovascular disease incidence rates indicates an upward trend. It was found that the components of water pollution and the mechanisms by which this pollution affects the cardiovascular system are similar in both countries. These include heavy metals, arsenic, cadmium, lead, mercury, as well as nitrogen compounds from soil and microplastics. This article is an observational report and represents an important step towards understanding the relationship between water pollution and the cardiovascular system. Due to the lack of comprehensive knowledge, particularly regarding the impact of microplastics, nitrates, and nitrites found in water on the cardiovascular system, further research in this area is necessary.
Full article
(This article belongs to the Section Water and One Health)
►▼
Show Figures

Graphical abstract
Open AccessReview
Small Agglomerations, Big Challenges: Impact of the Urban Waste Water Treatment Directive (2024/3019) Recast for Wastewater Management in Poland
by
Joanna Boguniewicz-Zabłocka, Ewelina Łukasiewicz and Andrea G. Capodaglio
Water 2026, 18(11), 1298; https://doi.org/10.3390/w18111298 - 27 May 2026
Abstract
The foreseen implementation of the recast European Union Urban Wastewater Treatment Directive (EU) 2024/3019 will extend the previous regulation’s purpose to cover agglomerations from 1000 population equivalent upwards, and impose more stringent requirements on larger plants. Member States’ local authorities will be responsible
[...] Read more.
The foreseen implementation of the recast European Union Urban Wastewater Treatment Directive (EU) 2024/3019 will extend the previous regulation’s purpose to cover agglomerations from 1000 population equivalent upwards, and impose more stringent requirements on larger plants. Member States’ local authorities will be responsible for carrying out a range of organizational and infrastructural tasks, including the expansion of sewerage networks and the construction/modernization of wastewater treatment plants. This study presents an analysis aimed at assessing the readiness of small and medium-sized wastewater treatment plants in Poland to meet the new forthcoming requirements. The study examines the extent to which the present performance of small and medium-sized treatment plants in Poland complies with current regulations, and their readiness to comply with future environmental standards set by the new Directive. The structure of the national sewerage system is taken into account with the case study analysis of the present situation in the Opolskie Voivodeship. The novelty and methodological contribution of the study lies in bridging the regulatory analysis with local-scale operational data from selected facilities, as well as statistical data on the national wastewater treatment system published by Statistics Poland (GUS), linking local-scale WWTP performance with broader systemic conditions at the national level.
Full article
(This article belongs to the Special Issue Advances in Innovative Development of Wastewater Treatment Technology)
►▼
Show Figures

Figure 1
Open AccessArticle
Environmental Regulation, Industrial Agglomeration and Water Environmental Governance: A Province-Based Analysis in China
by
Junyuan Liu, Jingjun Li, Hui Miao, Xiujuan Guo, Guojun Hao and Changxin Xu
Water 2026, 18(11), 1297; https://doi.org/10.3390/w18111297 - 27 May 2026
Abstract
Against the background of increasing pressure on water environmental protection and regional industrial transformation, water environmental governance (WEG) is jointly shaped by environmental regulation and industrial agglomeration. However, the mechanisms underlying this relationship remain insufficiently examined. Based on provincial-level data from China, this
[...] Read more.
Against the background of increasing pressure on water environmental protection and regional industrial transformation, water environmental governance (WEG) is jointly shaped by environmental regulation and industrial agglomeration. However, the mechanisms underlying this relationship remain insufficiently examined. Based on provincial-level data from China, this study uses fixed-effects models and spatial econometric models to examine the effects of environmental regulation on WEG. The results show a clear threshold pattern. When the environmental regulation index exceeds 0.3, its positive association with WEG begins to emerge. Basin-location analysis indicates that downstream regions may require stronger environmental regulation to improve WEG. Spatial analysis reveals positive spillover effects under both the contiguity weight matrix and the basin-adjacency weight matrix. Mechanism analysis further shows that environmental regulation is negatively associated with WEG through the specialized agglomeration of pollution-intensive industries. It is also positively associated with WEG through upstream and downstream linkage agglomeration in the clean industrial chain. Future research could further explore micro-level mechanisms and cross-regional linkages to provide deeper evidence for improving WEG.
Full article
(This article belongs to the Special Issue Water Resources, Economic Development and Environment Carrying Capacity, 2nd Edition)
►▼
Show Figures

Figure 1
Open AccessCommunication
Peptidyl Resins as Efficient Adsorbents for Ag+ and Cd2+ Removal from Aqueous Solutions
by
Rayssa Piton Rijo Costa, Lorenza Eivazian Brandão, Bianca Bueno Nogueira, Rafael Shoiti Souza Yokoo, Matheus Marchetti Melo, Lara Fábia Magalhães Oliveira, Weida Rodrigues Silva, João Flávio da Silveira Petruci and Eduardo Festozo Vicente
Water 2026, 18(11), 1296; https://doi.org/10.3390/w18111296 - 27 May 2026
Abstract
Heavy metal contamination of water by cadmium (Cd2+) and silver (Ag+) represents a significant environmental concern due to their toxicity and persistence. In this study, peptide-functionalized resins were evaluated as bio-inspired adsorbent materials for metal removal from aqueous solutions.
[...] Read more.
Heavy metal contamination of water by cadmium (Cd2+) and silver (Ag+) represents a significant environmental concern due to their toxicity and persistence. In this study, peptide-functionalized resins were evaluated as bio-inspired adsorbent materials for metal removal from aqueous solutions. Glycine-based and histidine-containing peptide sequences were synthesized via solid-phase peptide synthesis and immobilized onto Wang and Rink amide resins, with and without N-terminal acetylation. Adsorption capacity (Q, mg g−1) was determined for each material. The results showed that adsorption performance strongly depends on both peptide structure and metal type. Higher adsorption capacities were consistently observed for Cd2+ (up to 7.9 mg g−1) compared to Ag+ (up to 2.4 mg g−1). Interestingly, histidine-containing resins exhibited superior performance, likely due to the presence of imidazole groups that enhance metal coordination. In contrast, the influence of resin type and N-terminal acetylation was less consistent, suggesting a secondary role of these factors. Overall, the findings provide an initial screening or proof-of-concept for peptide-functionalized resins and highlight the potential of these peptidyl resins as effective adsorbent materials for the removal of heavy metals from aqueous environments.
Full article
(This article belongs to the Special Issue Novel Sorbents for Water Treatment)
►▼
Show Figures

Graphical abstract
Open AccessArticle
Process-Specific Molecular Transformation and Toxicity Evolution of Dissolved Organic Matter in Algae-Laden Source Water Under Coagulation, Ozonation, and Adsorption
by
Jun Hu, Shaozhe Cheng, Xiwei Dai, Shouchun Li and Xuezhi Zhang
Water 2026, 18(11), 1295; https://doi.org/10.3390/w18111295 - 27 May 2026
Abstract
Dissolved organic matter (DOM) in algae-laden micro-polluted source water is highly complex, posing major challenges to drinking water treatment and risk control. However, the molecular fate of DOM and its associated toxicity consequences under different treatment processes remains insufficiently understood. In this study,
[...] Read more.
Dissolved organic matter (DOM) in algae-laden micro-polluted source water is highly complex, posing major challenges to drinking water treatment and risk control. However, the molecular fate of DOM and its associated toxicity consequences under different treatment processes remains insufficiently understood. In this study, a multi-scale characterization approach combined with toxicity prediction was used to systematically compare the effects of coagulation, ozonation, and adsorption on the molecular transformation and toxicity evolution of DOM. FT-ICR MS analysis assigned 1092 DOM molecular formulae in the raw water, while 741 and 800 assigned formulae remained after coagulation and adsorption, respectively. Both processes showed distinct molecular selectivity: saturated molecules were preferentially removed by both treatments, whereas coagulation showed a stronger preference for oxidized molecules. By comparison, ozonation achieved limited CODMn and DOC reduction but markedly reduced UV254 and increased the number of assigned molecular formulae to 1500. The ozonated effluent was characterized by diverse transformation products, especially oxidized saturated small molecules, accompanied by enhanced bio-origin fluorescence signals and more prominent low-molecular-weight neutral and biopolymer fractions. In addition, ozonation increased the numbers of highly acute and highly chronic toxic molecules by 53.60% and 42.25%, respectively, whereas coagulation and adsorption reduced these high-risk molecules. These findings reveal the process-specific molecular transformation and toxicity evolution of DOM under three classical water treatment processes, providing a theoretical basis for process optimization and ecological risk control.
Full article
(This article belongs to the Topic Sustainable Technologies for Water Purification, 2nd Edition)
►▼
Show Figures

Figure 1
Open AccessArticle
Synergistic Adsorption and Degradation of Florfenicol for Water Remediation by Double-Layer Core–Shell Fe0/Fe3C-Based Biochar Without External Oxidants
by
Cuiting Su, Xingyao Ye, Xiaojun Niu, Dongqing Zhang, Ling Li, Ye Zheng, Chen Wang, Xintai Su and Qunying Wang
Water 2026, 18(11), 1294; https://doi.org/10.3390/w18111294 - 27 May 2026
Abstract
Zero-valent iron-supported biochar (Fe0@BC) integrates multiple functions, including adsorption, complexation, and reduction, exhibiting promising application prospects for the removal and degradation of organic pollutants. However, it still faces challenges such as complex preparation processes and the irreversible deactivation of iron centers.
[...] Read more.
Zero-valent iron-supported biochar (Fe0@BC) integrates multiple functions, including adsorption, complexation, and reduction, exhibiting promising application prospects for the removal and degradation of organic pollutants. However, it still faces challenges such as complex preparation processes and the irreversible deactivation of iron centers. Herein, a double-layer core–shell iron-based biochar composite (Fe0/Fe3C@BC) featuring a “zero-valent iron (Fe0) core–iron carbide (Fe3C) interlayer–graphitized carbon shell” structure was successfully synthesized via a one-step carbothermal reduction method. Furthermore, its synergistic adsorption and degradation mechanism toward florfenicol (FLO) in the absence of external oxidants was systematically investigated. The 4% FeBC-800 composite (0.5 g·L−1) demonstrated a rapid removal efficiency, eliminating 99.89% of FLO (100 mg·L−1) within 30 min, and exhibited exceptional durability by maintaining approximately 90% of its removal efficiency after four consecutive regeneration cycles. The adsorption behavior of FLO by 4% FeBC-800 fitted well with the pseudo-second-order kinetic model (R2 = 0.999) and the Langmuir isotherm model (R2 = 0.958). The primary adsorption mechanisms included pore filling, hydrogen bonding, surface complexation, and π-π electron donor–acceptor interactions. Interfacial electron transfer played a dominant role in the FLO degradation process. The degradation mechanism primarily involved reductive dechlorination and oxidative degradation via reactive oxygen species (ROS) generated from the activation of dissolved oxygen. This study provides a novel strategy for the development of advanced iron-based biochar materials for the highly efficient removal of persistent organic pollutants.
Full article
(This article belongs to the Section Wastewater Treatment and Reuse)
►▼
Show Figures

Figure 1
Open AccessArticle
Eco-Socioeconomic Coordination and Driving Mechanisms in an Inland River Basin Under a Major Water Transfer Project: A Case Study of the Shiyang River Basin
by
Mi Zhang, Zengchuan Dong, Daoli Wang, Yizhou Jiang, Jitao Zhang and Wenzhuo Wang
Water 2026, 18(11), 1293; https://doi.org/10.3390/w18111293 - 26 May 2026
Abstract
Arid inland river basins are constrained by severe water scarcity and fragile ecosystems. Although large-scale water transfer projects are critical interventions, studies of their comprehensive impacts on eco-socioeconomic systems remain limited. To address this gap, this study proposes an integrated assessment framework. A
[...] Read more.
Arid inland river basins are constrained by severe water scarcity and fragile ecosystems. Although large-scale water transfer projects are critical interventions, studies of their comprehensive impacts on eco-socioeconomic systems remain limited. To address this gap, this study proposes an integrated assessment framework. A global Remote Sensing Ecological Index (gRSEI) was developed by incorporating a salinity indicator, employing optimal indicator selection, and utilizing a full-period global normalization strategy. A Gridded Socioeconomic Index (GSEI) was constructed by integrating nighttime light (NTL), population (POP), and gross domestic product (GDP) data. The coupling coordination degree (CCD) model, spatial autocorrelation analysis, and the optimal parameters-based geographical detector (OPGD) were applied to analyze spatial patterns across subregions. Focusing on the Shiyang River Basin (SYRB), this study analyzed the spatiotemporal responses and coupling coordination of the eco-socioeconomic system to the 2001 Jingdian Phase II Water Transfer Project. Results indicate that ecological quality improved significantly after the water transfer, with gRSEI increasing from 0.225 to 0.334. Socioeconomic development also improved overall. The eco-socioeconomic system exhibited high coupling but moderate coordination. The coupling degree (C) and coordination degree (D) increased from 0.824 and 0.370 to 0.852 and 0.442, respectively, with clear regional heterogeneity. The water transfer project shifted the dominant driver of coordinated development from water-related factors to land cover. This study provides a practical framework for assessing ecological and socioeconomic dynamics and their interactions in arid basins under major water transfer project interventions.
Full article
(This article belongs to the Special Issue Advancing Sustainable Hydrological Modelling and Smart Water Resource Management)
►▼
Show Figures

Figure 1
Journal Menu
► ▼ Journal Menu-
- Water Home
- Aims & Scope
- Editorial Board
- Reviewer Board
- Topical Advisory Panel
- Early Career Editorial Board
- Instructions for Authors
- Special Issues
- Topics
- Sections
- Article Processing Charge
- Indexing & Archiving
- Editor’s Choice Articles
- Most Cited & Viewed
- Journal Statistics
- Journal History
- Journal Awards
- Society Collaborations
- Conferences
- Editorial Office
Journal Browser
► ▼ Journal BrowserHighly Accessed Articles
Latest Books
E-Mail Alert
News
Topics
Topic in
Applied Sciences, Toxics, Water, ChemEngineering, Processes
Environmental Remediation: Research Advances Towards a Comprehensive Sustainability Approach
Topic Editors: Rongkui Su, Giovanni Vinti, Franco Hernan Gomez, Lei HuangDeadline: 31 May 2026
Topic in
Environments, Hydrology, Sustainability, Water
Critical Issues in Groundwater Pollution Monitoring and Risk Warning
Topic Editors: Wenjing Zhang, Wenxia Wei, Huan Huan, Zhi Dou, Yuanzheng ZhaiDeadline: 30 June 2026
Topic in
Algorithms, Data, Earth, Geosciences, Mathematics, Land, Water, IJGI
Applications of Algorithms in Risk Assessment and Evaluation
Topic Editors: Yiding Bao, Qiang WeiDeadline: 31 July 2026
Topic in
Applied Sciences, Clean Technol., Energies, Membranes, Polymers, Sustainability, Water
New Advances in Membrane Technology and Its Contribution to Sustainability
Topic Editors: Patricia Luis Alconero, Bart Van der BruggenDeadline: 12 September 2026
Conferences
Special Issues
Special Issue in
Water
Recent Advances in Photocatalysis in Water and Wastewater Treatment
Guest Editors: Monica Brienza, Laura ScranoDeadline: 30 May 2026
Special Issue in
Water
Advances in the Application of Environmental Tracer Technology in Agricultural Water and Soil Management
Guest Editors: Kashif Akhtar, Misbah NazDeadline: 31 May 2026
Special Issue in
Water
Research on Wetland Ecohydrology
Guest Editors: Qiang Liu, Yanfeng WuDeadline: 31 May 2026
Special Issue in
Water
Water Quality, Wastewater Treatment and Water Recycling, 2nd Edition
Guest Editor: Memory TekereDeadline: 10 June 2026






