- Article
Coordinated Development of Water–Energy–Food–Ecosystem Nexus in the Yellow River Basin: A Comprehensive Assessment Based on Multi-Method Integration
- Jingwei Yao,
- Kiril Manevski,
- Finn Plauborg,
- Yangbo Sun,
- Lingling Wang,
- Wenmin Zhang and
- Julio Berbel
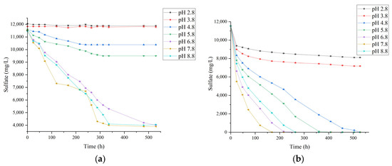
The Yellow River Basin serves as a critical ecological barrier and economic corridor in China, playing a pivotal role in national ecological security and sustainable development. This study develops a comprehensive evaluation framework grounded in th...

