Next Issue
Volume 9, December
Previous Issue
Volume 9, October
 
 

J. Manuf. Mater. Process., Volume 9, Issue 11 (November 2025) – 37 articles

Cover Story (view full-size image): Metal binder jetting (MBJ) is an additive manufacturing technology of increasing interest due to its potential competitiveness in medium- and large-scale production in a sustainability perspective. However, challenges in controlling the product accuracy and precision significantly limit the widespread adoption of this technology. This work investigates the achievable accuracy, precision, and spatial repeatability of parts produced using the MBJ process, identifying the causes of inaccuracy and proposing countermeasures to improve the product quality. Based on a huge experimental campaign, this study reveals the challenges in compensating for accuracy losses originating from both the printing and sintering stages, also providing novel insights into improving MBJ process precision, and supporting wider adoption of this technology within the manufacturing industry. View this paper
  • Issues are regarded as officially published after their release is announced to the table of contents alert mailing list.
  • You may sign up for e-mail alerts to receive table of contents of newly released issues.
  • PDF is the official format for papers published in both, html and pdf forms. To view the papers in pdf format, click on the "PDF Full-text" link, and use the free Adobe Reader to open them.
Order results
Result details
Select all
Export citation of selected articles as:
26 pages, 9708 KB  
Article
Heat Treatment and Fracture Behavior of Aluminum/Steel FSW Joints: A Comprehensive Analysis of a Curved Interface
by Tiago Oliveira Gonçalves Teixeira, Reza Beygi, Masih Bolhasani Hesari, Ricardo João Camilo Carbas, Eduardo Andre Sousa Marques, Mohammad Mehdi Kasaei and Lucas Filipe Martins da Silva
J. Manuf. Mater. Process. 2025, 9(11), 381; https://doi.org/10.3390/jmmp9110381 - 20 Nov 2025
Viewed by 441
Abstract
Joining dissimilar metals, such as aluminum and steel, presents an attractive option for creating lightweight yet durable structures. However, challenges arise from the formation of brittle intermetallic compounds (IMCs) at the interface of dissimilar joints, which significantly impact joint strength under load and [...] Read more.
Joining dissimilar metals, such as aluminum and steel, presents an attractive option for creating lightweight yet durable structures. However, challenges arise from the formation of brittle intermetallic compounds (IMCs) at the interface of dissimilar joints, which significantly impact joint strength under load and often lead to brittle failure. This research elaborates on how an S-shaped Al/Steel interface made by a modified friction stir welding (FSW) process mitigates the detrimental effect of IMC thickening on joint strength. This study aims to explore the effects of various post-weld heat treatments on steel and aluminum joints produced through FSW (100–400 °C for 30–90 min). Al/steel FSW joints were characterized by SEM/EDS for interface microstructure and composition, microhardness mapping, tensile testing, and fractography. Any post-weld heat treatment above the temperature of 100 °C caused a drop in joint strength from 2400 N to 1800 N due to the elimination of protrusions in the IMC layer. Further post-weld heat treatment had a negligible effect on the joint strength due to an S-shaped interface. A finite element simulation using a cohesive model for the joint interface is used to study the fracture mechanism of the joint. Both experimental observations and simulation results suggest that the portion of the S-shaped interface perpendicular to the loading direction acts as an initiation site of fracture and fails in a brittle manner. The top and bottom of the interface, which are inclined to the loading direction, fail in a ductile manner with noticeable plastic deformation in the steel adjacent to the interface. The proposed method for FSW of aluminum to steel significantly improves joint durability at elevated temperatures, particularly up to 400 °C. Full article
(This article belongs to the Special Issue Innovative Approaches in Metal Forming and Joining Technologies)
Show Figures

Figure 1

22 pages, 5902 KB  
Article
Features of Structural–Phase Changes and Tribological Behavior of Tool Steel After Vacuum and Plasma Electrolytic Nitriding
by Marina A. Volosova, Sergei A. Kusmanov, Tatiana L. Mukhacheva, Ivan V. Tambovskiy, Artem O. Komarov, Andrey E. Smirnov, Svetlana F. Katerzhina, Igor V. Suminov and Sergey N. Grigoriev
J. Manuf. Mater. Process. 2025, 9(11), 380; https://doi.org/10.3390/jmmp9110380 - 19 Nov 2025
Viewed by 420
Abstract
Nitriding is one of the technologies used to improve the performance properties of tool steels. In addition to traditional gas nitriding, technologies aimed at increasing the productivity and/or efficiency of processing have found application in industry. This paper presents the results of using [...] Read more.
Nitriding is one of the technologies used to improve the performance properties of tool steels. In addition to traditional gas nitriding, technologies aimed at increasing the productivity and/or efficiency of processing have found application in industry. This paper presents the results of using vacuum and plasma electrolytic nitriding to improve the wear resistance of M2 high-speed steel, as well as prospects for further development of these technologies. XRD and SEM methods were used to study the structural and phase changes in the surface layers, showing the formation of layers of connections hardened to 1200–1300 HV. Tribological tests were carried out under dry friction conditions according to the shaft-shoe scheme with varying sliding speed. The mechanism of contact interaction during the friction of nitrided steel was established. It is shown that plastic deformations are the prevailing type of deformation. The mechanism of destruction of the surface layer is fatigue wear during dry friction without lubrication. This provides an increase in wear resistance by 6–29 times. Full article
Show Figures

Figure 1

18 pages, 7469 KB  
Article
Microstructure, Processability, and Strength of SiC-Reinforced AlSi9Mg Composite After Laser Surface Remelting and Post-Heat Treatment
by Abhishek Ghosh, Esmaeil Pourkhorshid, Paul Rometsch and X.-Grant Chen
J. Manuf. Mater. Process. 2025, 9(11), 379; https://doi.org/10.3390/jmmp9110379 - 19 Nov 2025
Viewed by 379
Abstract
The present study investigated the microstructure, processability, and mechanical strength of an AlSi9Mg-20vol.%SiC composite to assess its processing and mechanical performance during the laser powder bed fusion process. A simple laser surface remelting approach was adopted to simulate laser-based rapid solidification. The results [...] Read more.
The present study investigated the microstructure, processability, and mechanical strength of an AlSi9Mg-20vol.%SiC composite to assess its processing and mechanical performance during the laser powder bed fusion process. A simple laser surface remelting approach was adopted to simulate laser-based rapid solidification. The results revealed that this composite generally exhibited good laser processability, and the samples with the highest laser energy density and lowest scan speed possessed the best processability owing to the elimination of microcracks and pores. After laser processing, all the samples displayed a fine Al-Si cellular structure accompanied by in-situ formed fine needle-shaped Al4SiC4 particles. Increasing laser energy density considerably increased the area fraction of the Al4SiC4. The T5 aging treatment preserved the fine cellular structure and promoted the precipitation of a large number of Si nanoparticles and MgSi precipitates. During T6 solid solution treatment, the Si networks were broken down into coarse Si particles, disintegrating the cellular structure and reducing the strength. The T5 treatment was identified as the most suitable post-heat treatment for enhancing the microhardness and strength of the composite. Compared to conventionally laser-processed AlSi10Mg alloys, the AlSi9Mg-20vol.%SiC composite exhibited a significant increase in microhardness and yield strength. Full article
Show Figures

Figure 1

12 pages, 31467 KB  
Article
Effect of Hot Isostatic Pressing and Sequenced Heat Treatment on the Mechanical Properties of Hybrid Additive Manufactured Inconel 718 Components
by David Sommer, Ben Truetsch, Cemal Esen and Ralf Hellmann
J. Manuf. Mater. Process. 2025, 9(11), 378; https://doi.org/10.3390/jmmp9110378 - 19 Nov 2025
Viewed by 387
Abstract
We report on the effect of hot isostatic pressing combined with solution and ageing treatment in different sequences on the mechanical properties of Inconel 718 specimens, which in turn have been fabricated by a hybrid additive manufacturing approach. The latter combines conventional laser [...] Read more.
We report on the effect of hot isostatic pressing combined with solution and ageing treatment in different sequences on the mechanical properties of Inconel 718 specimens, which in turn have been fabricated by a hybrid additive manufacturing approach. The latter combines conventional laser powder bed fusion and in-situ high speed milling, yielding superior surface quality as being quantified by Ra about 1 μm. In a comparative study between hybrid additively manufactured parts and those built without milling, we find that, in general, any combination of heat treatment leads to a higher ultimate tensile strength and an improved endurance limit, while, however, hot isostatic pressing affects these figures of merit most. In addition, metallographic analysis reveals increased density and hardness for hot isostatic pressed parts due to precipitation hardening. These improvements of the mechanical properties are found to be even more pronounced when the printed parts are manufactured by the hybrid additive approach, i.e., for parts with improved surface conditions. Full article
(This article belongs to the Special Issue Advances in Hybrid Manufacturing)
Show Figures

Figure 1

25 pages, 22359 KB  
Article
Hybrid GTAW–FCAW of 316L Stainless Steel Pipes: Influence of Oxygen Content in Baking Gas and Surface Preparation on Oxide Characteristics and Corrosion Behavior
by Mohammad Maroufkhani, Alireza Khodabandeh, Iulian Radu and Mohammad Jahazi
J. Manuf. Mater. Process. 2025, 9(11), 377; https://doi.org/10.3390/jmmp9110377 - 16 Nov 2025
Viewed by 558
Abstract
This study investigates the combined effects of oxygen content in the purging gas and pre-weld surface finish on the discoloration and corrosion resistance of AISI 316L pipe joints, with relevance to pipe welding where internal cleaning is constrained. The hybrid GTAW–FCAW process was [...] Read more.
This study investigates the combined effects of oxygen content in the purging gas and pre-weld surface finish on the discoloration and corrosion resistance of AISI 316L pipe joints, with relevance to pipe welding where internal cleaning is constrained. The hybrid GTAW–FCAW process was used. Welds were produced at two oxygen levels (500 and 5000 ppm) and two finishes (40- vs. 60-grit). Discoloration and oxide morphology were examined by SEM/EDS, and corrosion behavior was evaluated without oxide removal using cyclic polarization and electrochemical impedance spectroscopy. The results reveal that higher oxygen levels in the purging gas produced more porous, less protective oxide layers, along with intensified oxidation around surface defects such as micro-holes. Surface roughness was also found to influence corrosion behavior: rougher surfaces exhibited higher resistance to pit initiation, whereas smoother surfaces were more susceptible to initiation but offered greater resistance to pit propagation. The corresponding governing mechanisms were identified and discussed in terms of how surface preparation affects crystallographic texture, heterogeneities and recrystallization. Taken together, the results link oxide morphology and near-surface microstructure to electrochemical response and offer practical guidance for pipe welding when internal cleaning is constrained, balancing purging control with surface preparation to preserve corrosion performance. The findings further highlight the critical roles of both purging-gas composition and surface preparation in the corrosion performance of stainless steel welded pipes. Full article
Show Figures

Figure 1

14 pages, 4953 KB  
Article
Micro- and Nano-Integration in the Production of GaAs and Ga2O3 Nanowire Arrays by Top-Down Design
by Elena I. Monaico, Eduard V. Monaico, Veaceslav V. Ursaki and Ion M. Tiginyanu
J. Manuf. Mater. Process. 2025, 9(11), 376; https://doi.org/10.3390/jmmp9110376 - 16 Nov 2025
Viewed by 463
Abstract
In this paper, a strategy is proposed based on the microstructuring of GaAs substrates by photolithography combined with nanostructuring by electrochemical etching for the purposes of obtaining GaAs nanowire domains in selected regions of the substrate. The micropatterning is based on previously obtained [...] Read more.
In this paper, a strategy is proposed based on the microstructuring of GaAs substrates by photolithography combined with nanostructuring by electrochemical etching for the purposes of obtaining GaAs nanowire domains in selected regions of the substrate. The micropatterning is based on previously obtained knowledge about the mechanisms of pore growth in GaAs substrates during anodization. According to previous findings, crystallographically oriented pores, or “crysto pores,” grow along specific crystallographic directions within the GaAs substrates, with preferential propagation along the <111>B direction. Taking advantage of this feature, it is proposed to pattern the (111)B surface by photolithography and to, subsequently, apply anodization in an HNO3 electrolyte. It is shown that the areas of the GaAs substrate under the photoresist mask are protected against porosification due to the growth of pores perpendicular to the surface of the substrates in such a configuration. Pores overlapping under adjusted electrochemical etching conditions results in the formation of GaAs nanowire arrays in the substrate regions not covered by photoresist. Thermal annealing conditions in an argon atmosphere with a low oxygen concentration were developed for the selective oxidation of GaAs nanowires, thus producing a wide-bandgap Ga2O3 nanowire pattern on the GaAs substrate. It is shown that the morphology of nanowires can be controlled by adjusting the electrochemical parameters. Smooth-walled nanowire arrays were obtained under specific conditions, while perforated and wall-modulated nanowires were formed when crystallographic pores intersected at a higher applied anodizing potential. Full article
Show Figures

Figure 1

17 pages, 4080 KB  
Article
Green Mechanochemical Synthesis of Binary and Ternary Cadmium Chalcogenides with Tunable Band Gaps
by Matjaž Kristl, Neža Zanjkovič, Jona Kunej, Sašo Gyergyek and Janja Stergar
J. Manuf. Mater. Process. 2025, 9(11), 375; https://doi.org/10.3390/jmmp9110375 - 15 Nov 2025
Viewed by 339
Abstract
In this work, we report on the mechanochemical preparation and characterization of binary (CdS, CdSe, and CdTe) and ternary (CdS0.5Se0.5, CdS0.5Te0.5, and CdSe0.5Te0.5) cadmium chalcogenides. The compounds were synthesized in a [...] Read more.
In this work, we report on the mechanochemical preparation and characterization of binary (CdS, CdSe, and CdTe) and ternary (CdS0.5Se0.5, CdS0.5Te0.5, and CdSe0.5Te0.5) cadmium chalcogenides. The compounds were synthesized in a planetary micro mill using a zirconia grinding bowl and zirconia grinding balls. The products were examined by powder X-ray diffraction (pXRD), transmission electron microscopy (TEM), energy-dispersive X-ray spectroscopy (EDX), dynamic light scattering (DLS), UV–Vis spectroscopy, and differential scanning calorimetry (DSC). Interestingly, CdO formed as a by-product only during milling of Cd+S and Cd+Se in air, while it was absent in the Cd+Te and all ternary systems. The materials were obtained in the form of irregularly shaped aggregates measuring up to several hundred nanometers, composed of nearly spherical primary nanoparticles with diameters in the 10–20 nm range. The band gap energies calculated using Tauc plots for CdS0.5Se0.5, CdS0.5Te0.5, and CdSe0.5Te0.5 were 2.01 eV, 1.72 eV, and 1.53 eV, respectively. These results demonstrate the expected tunability of band gaps in ternary cadmium chalcogenides and attest to the potential of such materials for semiconducting applications, particularly in solar cells. The mechanochemical approach is once again shown to be a simple and effective method for the preparation of both binary and ternary chalcogenides, avoiding the use of solvents, toxic precursors, and energy-consuming reaction conditions. Full article
Show Figures

Figure 1

17 pages, 2619 KB  
Article
Analysis of Porosity in Aluminum Alloy (AlSi10Mg) Using Tomographic Image Processing
by Edwin G. Castro Rodas, Juan C. Buitrago Diaz, Carolina Ortega-Portilla, Arturo Gómez-Ortega, Jeferson Fernando Piamba, Daniel Salazar and Manuel G. Forero
J. Manuf. Mater. Process. 2025, 9(11), 374; https://doi.org/10.3390/jmmp9110374 - 14 Nov 2025
Viewed by 498
Abstract
Porosity characterization in metallic alloys is a fundamental aspect of materials engineering due to its influence on mechanical and structural properties. This study presents a method based on digital image processing for detecting and analyzing porosity in the AlSi10Mg aluminum alloy, additively manufactured [...] Read more.
Porosity characterization in metallic alloys is a fundamental aspect of materials engineering due to its influence on mechanical and structural properties. This study presents a method based on digital image processing for detecting and analyzing porosity in the AlSi10Mg aluminum alloy, additively manufactured using laser powder bed fusion (L-PBF). X-ray computed tomography, segmentation algorithms and filtering techniques were employed to identify and quantify the porosity present in the material’s microstructure. The research demonstrates that combining numerical methods with qualitative analysis provides a comprehensive understanding of porosity characteristics. Notably, the effectiveness of the proposed image processing methods was validated by comparing the results with actual material density measurements. However, challenges such as the need for proper calibration and potential imaging artifacts affecting accuracy were identified. This study represents a significant advancement in materials engineering, offering a detailed methodology for porosity analysis in aluminum alloys that not only enhances quality control and process optimization, but also improves segmentation accuracy and facilitates the reliable detection of small and interconnected pores in complex additively manufactured geometries. Full article
Show Figures

Figure 1

15 pages, 2945 KB  
Article
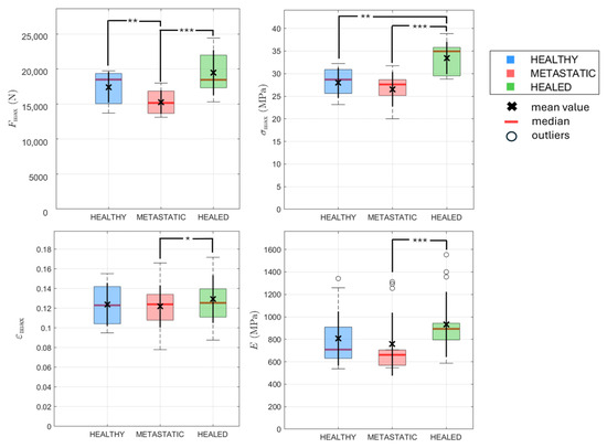
Development and Mechanical Testing of Synthetic 3D-Printed Models of Healthy and Metastatic Vertebrae
by Daniela Bruno, Riccardo Forni, Marco Palanca, Luca Cristofolini and Paolo Gargiulo
J. Manuf. Mater. Process. 2025, 9(11), 373; https://doi.org/10.3390/jmmp9110373 - 13 Nov 2025
Viewed by 381
Abstract
Experimental characterisation of ex vivo specimens is limited by specimen availability and high costs, whereas 3D printing provides a cost-effective alternative for producing multiple replicas. This study aimed to develop a methodology for evaluating the individual and combined effects of material composition and [...] Read more.
Experimental characterisation of ex vivo specimens is limited by specimen availability and high costs, whereas 3D printing provides a cost-effective alternative for producing multiple replicas. This study aimed to develop a methodology for evaluating the individual and combined effects of material composition and geometry on the biomechanical performance of 3D-printed vertebrae. CT scans of healthy human vertebrae and with lytic metastases were segmented to fabricate synthetic models through Digital Anatomy Printing. Three types of 3D-printed models were produced: Healthy vertebrae, Metastatic vertebrae, and Healed vertebrae (metastatic geometry filled with healthy material). All models were tested under axial compression to measure the strength, stiffness, and strain. Repeatability across replicas was assessed as well as comparison of mechanical properties among the different vertebral types. Results showed excellent repeatability, with coefficients of variation below 5% for strength and stiffness-related parameters. The Metastatic models exhibited significant reductions in strength compared to Healthy ones, while stiffness remained similar, consistent with ex vivo data trends. Healed models highlighted the role of material composition in driving mechanical behaviour, independently of geometry. This work provides the first quantitative assessment of 3D-printed vertebrae with metastatic lesions, supporting their future potential as standardised alternatives to cadaveric testing. Full article
Show Figures

Figure 1

37 pages, 10182 KB  
Review
Three-Dimensionally Printed Catalytic Structures
by Margarita A. Marchenkova, Jamal K. Gadzhiev, Alexander A. Guda, Alexander V. Soldatov and Sergei V. Chapek
J. Manuf. Mater. Process. 2025, 9(11), 372; https://doi.org/10.3390/jmmp9110372 - 12 Nov 2025
Viewed by 640
Abstract
Three-dimensionally (3D)-printed catalytic structures are revolutionizing catalysis and chemical engineering. Unlike traditional supports, modern triply periodic minimal surfaces (TPMS), lattices, and fractals actively influence mass and heat transfer and flow distribution. This review summarizes advancements in the classification, design, fabrication, and application of [...] Read more.
Three-dimensionally (3D)-printed catalytic structures are revolutionizing catalysis and chemical engineering. Unlike traditional supports, modern triply periodic minimal surfaces (TPMS), lattices, and fractals actively influence mass and heat transfer and flow distribution. This review summarizes advancements in the classification, design, fabrication, and application of 3D-printed catalysts over the past decade. The article covers various constructive types (supports, integrated phases, multifunctional reactors) and materials (polymers, ceramics, metals, hybrids), along with fabrication techniques compliant with ISO/ASTM standards (FDM, SLA, DIW, SLM, EBM). It emphasizes post-processing and functionalization strategies (impregnation, calcination, sulfonation) and characterization tools (SAXS, CT, synchrotron-based techniques). A critical comparison highlights advantages, including tunable geometry, improved hydrodynamics, lower pressure drop, enhanced durability, and reproducibility. Three-dimensionally printed catalysts are an interdisciplinary platform combining materials science, chemical engineering, and digital manufacturing. They hold promise for sustainable chemistry, modular production, CO2 utilization, photocatalysis, and biocatalysis, making them a key innovation for future catalytic reactors. Full article
Show Figures

Figure 1

29 pages, 5981 KB  
Article
Determination of Annealing Temperature of Thin-Walled Samples from Al-Mn-Mg-Ti-Zr Alloys for Mechanical Properties Restoration of Defective Parts After SLM
by Nikita Nikitin, Roman Khmyrov, Pavel A. Podrabinnik, Nestor Washington Solis Pinargote, Anton Smirnov, Idarmachev Idarmach, Tatiana V. Tarasova and Sergey N. Grigoriev
J. Manuf. Mater. Process. 2025, 9(11), 371; https://doi.org/10.3390/jmmp9110371 - 12 Nov 2025
Viewed by 461
Abstract
The aim of this work is to investigate the effect of annealing (at temperatures ranging from 260 °C to 530 °C) of thin-walled Al-Mn-Mg-Ti-Zr samples manufactured by selective laser melting (SLM) on their tensile mechanical properties, hardness, and surface roughness. The results of [...] Read more.
The aim of this work is to investigate the effect of annealing (at temperatures ranging from 260 °C to 530 °C) of thin-walled Al-Mn-Mg-Ti-Zr samples manufactured by selective laser melting (SLM) on their tensile mechanical properties, hardness, and surface roughness. The results of this study may contribute to the development of post-processing modes for thin-walled products made of corrosion-resistant aluminum alloys with increased strength, manufactured using SLM technology. Hierarchical clustering methods allowed us to identify three groups of thin-walled samples with different strain-hardening mechanisms depending on the annealing temperature. The greatest hardening is achieved in the first group of samples annealed at 530 °C. Metallographic analysis showed that at this heat treatment temperature, there are practically no micropores (macrodefects) and microcracks. X-ray phase analysis showed the precipitation of Ti and Zr, as well as the formation of an intermetallic phase with a composition of Mg8Al16. At lower heat treatment temperatures, from 260 °C to 500 °C, the observed hardening is statistically significantly lower than at 530 °C. This phenomenon, combined with the formation of intermetallic phases and the precipitation of titanium/zirconium, contributes to the hardening of thin-walled Al-Mn-Mg-Ti-Zr alloy samples manufactured by SLM. The main results of this study show that the optimal strain hardening of thin-walled Al-Mn-Mg-Ti-Zr alloy samples manufactured by SLM is achieved by heat treatment at 530 °C for 1 h. The strengthening mechanism has two characteristics: (1) dispersion strengthening due to the formation of precipitates and (2) reduction in macrodefects at high temperatures. Full article
Show Figures

Figure 1

16 pages, 3748 KB  
Article
Manufacturing of Diamond Tool Segments via Microwave–Hybrid Sintering
by Fernando A. Costa Oliveira, Pedro F. Borges, Adriano Coelho, Pedro M. Amaral and Jorge Cruz Fernandes
J. Manuf. Mater. Process. 2025, 9(11), 370; https://doi.org/10.3390/jmmp9110370 - 12 Nov 2025
Viewed by 409
Abstract
Microwave (MW) sintering offers a promising alternative to conventional heating in powder metallurgy, providing faster processing, lower energy consumption, and improved microstructural control. In the diamond tool industry—where cost-efficiency and competitiveness are critical—MW–hybrid sintering shows strong potential for producing segments designed for cutting [...] Read more.
Microwave (MW) sintering offers a promising alternative to conventional heating in powder metallurgy, providing faster processing, lower energy consumption, and improved microstructural control. In the diamond tool industry—where cost-efficiency and competitiveness are critical—MW–hybrid sintering shows strong potential for producing segments designed for cutting and polishing natural stone and construction materials. This study investigates the effects of sintering temperature, dwell time, and green density on the densification and mechanical properties of metal matrix composite (MMC) segments containing diamond particles. MW sintering reduced the optimum sintering temperature by 90–170 °C when compared to conventional free sintering. Under optimal conditions (57% green density, 820 °C, 5 min dwell), segments achieved ~95% densification and mechanical properties comparable to hot-pressed (HP) samples. Although MW–hybrid sintered matrices exhibited slightly lower Young’s modulus (~15%) and Vickers hardness (~20%), their flexural strength and fracture toughness remained comparable to HP counterparts. Overall, MW hybrid sintering provides a cost-effective, energy-efficient, and scalable route for fabricating high-performance diamond tool segments, supporting both economic viability and sustainable, competitive manufacturing. Full article
Show Figures

Figure 1

20 pages, 7051 KB  
Article
Using Coatings Based on the ZrN System to Improve the Corrosion Resistance of Stainless Steel Products
by Sergey Grigoriev, Marina Volosova, Valery Zhylinski, Catherine Sotova, Filipp Milovich, Alexander Kalinichenko, Abdelhafed Taleb, Elena Eganova, Tatyana Borovik and Alexey Vereschaka
J. Manuf. Mater. Process. 2025, 9(11), 369; https://doi.org/10.3390/jmmp9110369 - 10 Nov 2025
Viewed by 572
Abstract
This article investigates the anticorrosive properties of Zr-ZrN coatings, including Zr-(Zr,Hf)N, Zr-(Zr,Ti)N, Zr,Hf-(Zr,Hf,Nb)N, and Zr,Nb-(Zr,Nb)N, deposited on AISI 321 stainless steel substrates. The hardness and elasticity modulus of these coatings, as well as their scratch test strength, were measured. Corrosion current densities were [...] Read more.
This article investigates the anticorrosive properties of Zr-ZrN coatings, including Zr-(Zr,Hf)N, Zr-(Zr,Ti)N, Zr,Hf-(Zr,Hf,Nb)N, and Zr,Nb-(Zr,Nb)N, deposited on AISI 321 stainless steel substrates. The hardness and elasticity modulus of these coatings, as well as their scratch test strength, were measured. Corrosion current densities were calculated using the polarisation resistance method and by extrapolating the linear sections of the cathodic and anodic curves under electrode polarisation. The structure and composition of the sample surfaces were analysed by transmission electron microscopy. Notably, the nitride coatings reduced the corrosion current density in a 3% aqueous NaCl solution at 25 °C by more than 10 times, from 6.96 for the uncoated substrate to 0.17 μA/cm2 for the Zr-(Zr,Ti)N-coated sample. The addition of Ti nitride to Zr-ZrN led to the most significant decrease in the corrosion current density. However, the introduction of Nb caused an increase in the corrosion rate and a decrease in the polarisation resistance, and Hf did not affect the corrosion-protective properties of the studied nitride coatings. Full article
Show Figures

Figure 1

24 pages, 5052 KB  
Review
Enhancing Wire EDM Performance Through Ultrasonic Vibration: A Review
by Nestor Washington Solís Pinargote, Alexandra Yu. Kurmysheva, Alexander Mozhaev, Alexander Malakhinsky, Pavel A. Podrabinnik, Alexander S. Metel and Sergey N. Grigoriev
J. Manuf. Mater. Process. 2025, 9(11), 368; https://doi.org/10.3390/jmmp9110368 - 9 Nov 2025
Viewed by 568
Abstract
Wire Electrical Discharge Machining (WEDM) is a technology for processing electrically conductive materials that enables localized material removal through high-temperature plasma generated by continuous spark discharges between the tool electrode and the workpiece electrode. In recent years, researchers have focused particularly on enhancing [...] Read more.
Wire Electrical Discharge Machining (WEDM) is a technology for processing electrically conductive materials that enables localized material removal through high-temperature plasma generated by continuous spark discharges between the tool electrode and the workpiece electrode. In recent years, researchers have focused particularly on enhancing the productivity of WEDM processes. Unlike other intensification methods, vibrational assistance represents a universal and technologically efficient solution. This review systematizes studies on WEDM involving the application of vibration, whether exerted on the wire electrode or the workpiece. It has been demonstrated that vibration significantly improves machining productivity and quality. The key mechanisms include enhanced dielectric fluid circulation and more efficient debris removal, often facilitated by cavitation effects that prevent material resolidification. This ensures discharge stability, reduces short circuits and wire breakage, and promotes a more uniform distribution of discharge points. As a result, the material removal rate (MRR) is increased, while surface roughness (Ra) is substantially reduced. Additionally, geometric accuracy is improved, residual stresses are minimized, and workpiece burning is prevented. Thus, vibration-assisted WEDM presents a promising solution for enhancing the efficiency and quality of machining difficult-to-cut materials. Full article
Show Figures

Figure 1

23 pages, 3094 KB  
Article
A Tiered Occupational Risk Assessment for Ceramic LDM: On-Site Exposure, Particle Morphology and Toxicity of Kaolin and Zeolite Feedstocks
by Stratos Saliakas, Vasiliki Glynou, Danai E. Prokopiou, Aikaterini Argyrou, Vaia Tsiokou, Spyridon Damilos, Anna Karatza and Elias P. Koumoulos
J. Manuf. Mater. Process. 2025, 9(11), 367; https://doi.org/10.3390/jmmp9110367 - 7 Nov 2025
Viewed by 451
Abstract
A tiered approach is presented for evaluating occupational risks during liquid deposition modelling (LDM) using ceramic materials for manufacturing complex geometries in construction. The ceramic paste is comprised of kaolin/zeolite powders mixed with deionised water at a specific ratio. The tiered occupational risk [...] Read more.
A tiered approach is presented for evaluating occupational risks during liquid deposition modelling (LDM) using ceramic materials for manufacturing complex geometries in construction. The ceramic paste is comprised of kaolin/zeolite powders mixed with deionised water at a specific ratio. The tiered occupational risk analysis covered (i) the material evaluation and information gathering, (ii) on-site exposure measurements to ultrafine and micro-size particles, and (iii) morphological and toxicological analyses of raw and collected air samples. Results indicated an increase in PM4 (particle diameter < 4 μm) concentrations during powder preparation, reaching up to 1 mg/m3 during powder preparation, although below the corresponding substance-specific and general dust occupational exposure limit and with no increased exposure to ultrafine particles, as supported by morphological analysis. In toxicity assessment, reactive oxygen species production (ROS) reached approximately 300% for 50 μg/mL raw kaolin powder, while inducing high upregulation of TNF-α and IL-6 mRNA expression genes, indicating activation of pro-inflammatory pathways. Airborne samples resulted in cell viability reduction by ~50% at 40 μg/mL, showing significance (p-value < 0.001). Translating these findings to human risk remains difficult, yet the findings highlight an urgent requirement for continuous exposure surveillance, tailored toxicity evaluations, and robust protective strategies throughout ceramic manufacturing. Full article
Show Figures

Figure 1

21 pages, 4790 KB  
Article
Influence of Manufacturing Parameters on Mechanical Properties and Porosity of Additive-Manufactured and TIG-Welded AlSi10Mg Components
by Lukas Schulze, Tamás Tóth, Jasmin Beverförden, Karl Hilbig, Thomas Vietor and Klaus Dilger
J. Manuf. Mater. Process. 2025, 9(11), 366; https://doi.org/10.3390/jmmp9110366 - 5 Nov 2025
Viewed by 527
Abstract
Additive manufacturing (AM), particularly laser-based powder bed fusion (PBF-LB), enables the production of high-strength, lightweight components made of aluminum alloys such as AlSi10Mg. However, joining these parts via welding remains a significant challenge due to weld seam porosity caused by hydrogen entrapment. This [...] Read more.
Additive manufacturing (AM), particularly laser-based powder bed fusion (PBF-LB), enables the production of high-strength, lightweight components made of aluminum alloys such as AlSi10Mg. However, joining these parts via welding remains a significant challenge due to weld seam porosity caused by hydrogen entrapment. This study investigated the influence of the PBF-LB process parameters, tungsten inert gas (TIG) welding settings, filler material, and post-weld T6 heat treatment on the tensile strength and porosity of welded AlSi10Mg components. Using two different layer heights (30 µm and 60 µm), plate thicknesses (3 mm and 5 mm), and varying welding conditions, a series of 10 TIG-welded sample groups were fabricated and analyzed. Microstructural, hardness, porosity, and tensile tests revealed that porosity was high across all samples (11–19%). A subsequent T6 heat treatment improved the tensile strength. Higher layer heights and thinner plates led to a higher tensile strength of the weld seam, while the addition of a filler material showed limited benefits. No other influencing factors or interactions could be found. The results emphasize the need to optimize hydrogen control in the processes, melt pool dynamics, and weld seam geometry to receive reliable joints in lightweight manufacturing of PBF-LB AlSi10Mg parts. Full article
Show Figures

Figure 1

22 pages, 3196 KB  
Article
Effects of Printing Angle, Infill Density and Cryogenic Pre-Treatment on the Tensile and Flexural Properties of FFF-Printed PLA
by Jozef Jaroslav Fekiač, Lucia Kakošová, Michal Krbata, Marcel Kohutiar, Zbynek Studeny, Pavol Mikuš, Jindřich Viliš and Alena Breznická
J. Manuf. Mater. Process. 2025, 9(11), 365; https://doi.org/10.3390/jmmp9110365 - 5 Nov 2025
Viewed by 505
Abstract
Additive manufacturing of polymer materials, also known as 3D printing, is becoming a key technology for the production of functional parts with the ability to customize the structure and properties according to the application requirements. Polylactide (PLA) is one of the most commonly [...] Read more.
Additive manufacturing of polymer materials, also known as 3D printing, is becoming a key technology for the production of functional parts with the ability to customize the structure and properties according to the application requirements. Polylactide (PLA) is one of the most commonly used materials in this field due to its biodegradability, ease of processing, and adequate strength for lightweight functional components. An important factor that affects the resulting properties of parts is not only the filler structure and density but also the angle at which the material is deposited during the printing process. This article focuses on investigating the influence of the printing angle (0°, 30°, 60° and 90°) and the bulk density of the filler (20%, 40%, 60% and 80%) on the mechanical properties of PLA samples. Two series of samples were prepared—the first was subjected to direct mechanical tests, and the second series was first exposed to freezing conditions and then tested to evaluate the effect of freezing on the material behavior. The samples were tested for tensile strength according to ASTM D638 and for bending strength according to ASTM D790. The results showed that the highest values were achieved in tensile strength in the 60°/80% configuration with a strength of 39.27 MPa, which represents more than a twofold improvement over the weakest configuration (0°/20%–19.58 MPa). In the bending test, the best results were achieved by the 90°/80% sample with a strength of 58.89 MPa, approximately 18% higher than 0°/20%. Cryogenic treatment caused a deterioration of all monitored parameters, especially at low infill densities and at an angle of 0°, where the decrease in strength reached up to 10–13%. These results confirm that the combination of a higher printing angle and a higher infill density is key to optimizing the mechanical properties of PLA parts, while cryogenic treatment has a negative impact on their behavior. Full article
Show Figures

Figure 1

22 pages, 9513 KB  
Article
Hindering Effect of Solid-Solutioning on Intermetallic Growth in Aluminum–Matrix Composite Reinforced with Mechanically Alloyed Ni-Cu Particles
by Masih Bolhasani Hesari, Reza Beygi, Ali Bayrami, Mohammad Mehdi Kasaei, Majid Zarezade Mehrizi, Eduardo A. S. Marques and Lucas F. M. da Silva
J. Manuf. Mater. Process. 2025, 9(11), 364; https://doi.org/10.3390/jmmp9110364 - 4 Nov 2025
Viewed by 475
Abstract
In the present study, aluminum matrix composites (AMCs) were fabricated by friction stir processing (FSP) using Ni-Cu particles. Ni-Cu particles were added to the Al matrix in two ways. First, without any treatment and in the form of a mixture of as-received powders. [...] Read more.
In the present study, aluminum matrix composites (AMCs) were fabricated by friction stir processing (FSP) using Ni-Cu particles. Ni-Cu particles were added to the Al matrix in two ways. First, without any treatment and in the form of a mixture of as-received powders. Second, treated through mechanical alloying to form Monel solid-solution particles. The particles were added to a groove to be processed by the FSP tool to produce a local AMC. To investigate the kinetics of intermetallic compounds (IMCs) growth in reinforcement particles, the produced AMCs were annealed at 500 °C for 2 h. To characterize the reinforcing particles, several analyses were performed on the samples. Field-emission scanning electron microscopy (FE-SEM) was used to study the size, morphology, and IMC thickness. TEM was performed to characterize the IMCs through high-resolution chemical analyses. Tensile testing was used to understand the mechanical properties and fracture behavior of AMCs. Tensile testing revealed a noticeable improvement in strength for the as-mixed sample, with a UTS of 90.3 MPa, approximately 22% higher than that of the base aluminum. In contrast, the mechanical alloying sample with annealing heat treatment exhibited a severe drop in ductility, with elongation decreasing from 17.98% in the as-mixed sample to 1.52%. The results showed that heat treatment thickened the IMC layer around the reinforcing particles formed during the FSP process with as-mixed particles. In the AMC reinforced with mechanically alloyed Ni-Cu powders, IMC formation during FSP was significantly suppressed compared to that of as-mixed particles, despite the finer size resulting from milling. Additionally, the heat treatment resulted in only a slight increase in IMC thickness. The IMC layer thickness after heat treatment in both the mechanically alloyed sample and the as-mixed sample was approximately 2 µm and 20–40 µm, respectively. The reason behind this difference and its effect on the fracture behavior of the composite were elaborated in this study, giving insights into metal-matrix production with controlled reaction. Full article
(This article belongs to the Special Issue Innovative Approaches in Metal Forming and Joining Technologies)
Show Figures

Figure 1

22 pages, 9108 KB  
Article
Assessment of Causes of Precision and Accuracy Loss in Metal Binder Jetting Additive Manufacturing Technology
by Marco Zago, Giacomo Segata, Matteo Perina and Ilaria Cristofolini
J. Manuf. Mater. Process. 2025, 9(11), 363; https://doi.org/10.3390/jmmp9110363 - 4 Nov 2025
Viewed by 537
Abstract
Metal binder jetting (MBJ) is an additive manufacturing technology of increasing interest due to its potential competitiveness in medium- and large-scale production, especially from a sustainability perspective. However, challenges in controlling the product accuracy and precision significantly limit the widespread adoption of this [...] Read more.
Metal binder jetting (MBJ) is an additive manufacturing technology of increasing interest due to its potential competitiveness in medium- and large-scale production, especially from a sustainability perspective. However, challenges in controlling the product accuracy and precision significantly limit the widespread adoption of this technology. This work investigates the achievable accuracy, precision, and spatial repeatability of parts produced using the MBJ process. Additionally, the paper aims to identify the causes of inaccuracy and suggest countermeasures to improve the product quality. The study was conducted experimentally by designing a benchmark geometry with various basic features. This geometry was scaled to three sizes—10–20 mm (small), 20–30 mm (intermediate), and 30–50 mm (large)—and produced using two different stainless-steel powders: AISI 316L and 17-4PH. In the green state, the dimensional tolerances ranged from IT8 to IT12 for features parallel to the build direction (heights) and from IT9 to IT13 for features parallel to the build plane (lengths). In the sintered state, the tolerances ranged from IT10 to IT16. This study reveals the challenges in scaling geometries to compensate for accuracy loss originating from the printing and sintering stages. In the green state, accuracy issues are likely due to non-uniform binder application and drying operations. In the sintered state, the accuracy loss is related to variable shrinkage based on the feature size, anisotropic shrinkage depending on the print direction, and differing densification mechanisms influenced by the material type. This study offers novel insights for improving MBJ process precision, supporting wider adoption in the manufacturing industry. Full article
(This article belongs to the Special Issue Large-Scale Metal Additive Manufacturing)
Show Figures

Figure 1

11 pages, 1861 KB  
Article
Effect of Strain Rate on Aluminum–Polymer Friction Stir Joints Mechanical Performance
by Rodrigo J. Coelho, Beatriz Silva, Arménio N. Correia, Ricardo Batista, Pedro M. G. P. Moreira, Virgínia Infante and Daniel F. O. Braga
J. Manuf. Mater. Process. 2025, 9(11), 362; https://doi.org/10.3390/jmmp9110362 - 4 Nov 2025
Viewed by 396
Abstract
Friction stir-based joining techniques offer a promising route for the integration of highly dissimilar materials into single structures, with potential applications in safety-critical sectors such as hydrogen storage and lightweight mobility systems. Ensuring structural integrity under dynamic loading is crucial for their industrial [...] Read more.
Friction stir-based joining techniques offer a promising route for the integration of highly dissimilar materials into single structures, with potential applications in safety-critical sectors such as hydrogen storage and lightweight mobility systems. Ensuring structural integrity under dynamic loading is crucial for their industrial adoption, particularly given the strong inhomogeneity of metal–polymer interfaces. This study investigates the strain rate sensitivity of lap joints between an AA6082-T6 aluminum alloy, and a glass-fiber-reinforced polymer (Noryl™ GFN2) produced using a friction stir process. Quasi-static and intermediate strain rate (≈3 s−1) tensile tests were performed on the joints, while both base materials were additionally characterized at quasi-static, and intermediate strain rate conditions using a custom accelerated electromechanical testing device. Digital image correlation was employed to monitor deformation. The results reveal that the joints exhibit clear strain rate sensitivity, with ultimate remote stress and bending angle stiffness increasing by approximately 30% and 23%, respectively, from quasi-static to intermediate strain rate loading. Fracture consistently initiated in the polymer, indicating that the joints mechanical performance is limited by the polymeric constituent, although the polymer strain rate hardening impacts the peel/shear mix in the loading scenario of intermediate strain rate loading. Overall, the findings highlight that while friction stir metal–polymer joints benefit from strain rate hardening, their performance envelope remains governed by the polymer base material. Full article
Show Figures

Graphical abstract

31 pages, 5647 KB  
Article
Experimental Study on Sandwich Composites with Carbon Fiber Fabric Skin and 3D-Printed Carbon Fiber-Reinforced Polyamide Core
by Sotiria Dimitrellou, Isidoros Iakovidis, Gerasimos Stratos and Dimitrios-Nikolaos Pagonis
J. Manuf. Mater. Process. 2025, 9(11), 361; https://doi.org/10.3390/jmmp9110361 - 4 Nov 2025
Viewed by 792
Abstract
Material extrusion is a widely employed additive manufacturing technique with the functional capability of fabricating solid objects or cellular structures by depositing molten thermoplastic material in successive layers according to the designed path of deposition beads. Carbon fiber sandwich composites are advanced structures, [...] Read more.
Material extrusion is a widely employed additive manufacturing technique with the functional capability of fabricating solid objects or cellular structures by depositing molten thermoplastic material in successive layers according to the designed path of deposition beads. Carbon fiber sandwich composites are advanced structures, ideal in applications that require high strength and stiffness, and low weight. In the present work, sandwich composites consisting of a carbon fiber-reinforced polyamide core—3D printed with a cubic pattern at 50% infill density—and carbon fiber fabric (CFF) skin, were fabricated using the hand lay-up method and experimentally investigated. The results showed that the tensile, flexural and impact strength of the sandwich composites increased by 64.5%, 24.5% and 69.0%, respectively, compared to unreinforced 3D printed specimens with 50% infill density, and by 24.3%, 18.8% and 56.3%, respectively, compared to unreinforced 3D printed specimens with 100% infill density. In addition, a reduction in the water absorption and the density of the sandwich composites was observed. Similar results were obtained for sandwich composites with one additional internal CFF layer. This work demonstrates that this specific combination of materials and manufacturing processes can be successfully employed for lightweight, water-resistant carbon fiber sandwich structures with improved mechanical strength. Full article
Show Figures

Figure 1

12 pages, 1396 KB  
Article
Optimizing Roller Burnishing of Aluminum Alloy 6061-T6: Comparative Analysis of Dry and Lubricated Conditions for Enhanced Surface Quality and Mechanical Properties
by Avinash Somatkar, Prashant Anerao, Atul Kulkarni, Abhijeet Deshpande and Jozsef Kertesz
J. Manuf. Mater. Process. 2025, 9(11), 360; https://doi.org/10.3390/jmmp9110360 - 3 Nov 2025
Viewed by 560
Abstract
The present study demonstrates the roller burnishing process of aluminum alloy 6061-T6 by using a combination of aluminum oxide and vegetable oil as a lubricant. Machining parameters were explored, varying speed (v) (range 100–300 rpm), feed (f) (range 0.1–0.3 mm), and number of [...] Read more.
The present study demonstrates the roller burnishing process of aluminum alloy 6061-T6 by using a combination of aluminum oxide and vegetable oil as a lubricant. Machining parameters were explored, varying speed (v) (range 100–300 rpm), feed (f) (range 0.1–0.3 mm), and number of passes (nop) (range 1 to 3). However, performance was measured in terms of surface roughness, microhardness, and roundness. According to the results obtained from experiments, it was found that lubrication had a significant impact on performance in terms of surface roughness, mmicrohardness and roundness. Under lubricated conditions, surface roughness ranged from 0.012 µm to 1.7 µm. However, an increase in mimicrohardnessrom 92 HV to 96 HV and an improvement in roundness from 0.07 mm up to 0.05 mm were observed. Additionally, the findings indicated that high speeds with low feed rates yielded the best results: for instance, at a feed of 0.1 mm/rev, speed (v) of 300 rpm, and number of passes of three, a surface roughness of about 0.8 µm, microhardness of approximately 94 HV, and roundness of about 0.02 mm were recorded when applying lubrication. This study demonstrates how minimal lubrication techniques can be used to improve the roller burnishing process, thereby achieving better mechanical properties and surface finishes while extending the lifespan of the burnishing tool. The study has brought about a conclusion that optimizing v and f during burnishing while including relevant lubricant helps manufacturers to realize significant product quality improvements and enhance production efficiency. Full article
Show Figures

Graphical abstract

11 pages, 962 KB  
Article
A Universal Method for the Evaluation of In Situ Process Monitoring Systems in the Laser Powder Bed Fusion Process
by Peter Nils Johannes Lindecke, Juan Miguel Diaz del Castillo and Hussein Tarhini
J. Manuf. Mater. Process. 2025, 9(11), 359; https://doi.org/10.3390/jmmp9110359 - 1 Nov 2025
Viewed by 766
Abstract
In situ process monitoring systems (IPMSs) are rapidly gaining importance in quality assurance of laser powder bed fusion (L-PBF) parts, yet standardized methods for their objective evaluation are lacking. This study introduces a novel, system-independent assessment method for IPMSs based on a specially [...] Read more.
In situ process monitoring systems (IPMSs) are rapidly gaining importance in quality assurance of laser powder bed fusion (L-PBF) parts, yet standardized methods for their objective evaluation are lacking. This study introduces a novel, system-independent assessment method for IPMSs based on a specially designed Energy Step Cube (ESC) test specimen. The ESC enables systematic variation in volumetric energy density (VED) by adjusting laser scan speed, without disclosing complete process parameters. Two industrially relevant IPMSs—PrintRite3D by Divergent and Trumpf’s integrated system—were evaluated using the ESC approach with AlSi10Mg as the test material. System performance was assessed based on sensitivity to VED changes and correlation with actual porosity, determined by metallographic analysis. Results revealed significant differences in sensitivity and effective observation windows between the systems. PrintRite3D demonstrated higher sensitivity to small VED changes, while the Trumpf system showed a broader stable observation range. The study highlights the challenges in establishing relationships between IPMS signals and resulting part properties, currently restricting their standalone use for quality assurance. This work establishes a foundation for standardized IPMS evaluation in additive manufacturing, offering valuable insights for technology advancement and enabling objective comparisons between various IPMSs, thereby promoting innovation in this field. Full article
Show Figures

Figure 1

15 pages, 2626 KB  
Article
Improving Prediction Accuracy and Robustness in Injection Mechanism Based on Simplified Pareto and Updated Training Set Hybrid Metamodel
by Dongdong You, Shiwen Zheng, Fenglei Li and Xiao Luo
J. Manuf. Mater. Process. 2025, 9(11), 358; https://doi.org/10.3390/jmmp9110358 - 31 Oct 2025
Viewed by 442
Abstract
In squeeze casting, the injection parameters including fit clearance, speed, temperature, and their uncertainties significantly impact the forming quality. Robust optimization can improve the design reliability and reduce the influence of uncertainty while using a suitable metamodel is beneficial for prediction accuracy and [...] Read more.
In squeeze casting, the injection parameters including fit clearance, speed, temperature, and their uncertainties significantly impact the forming quality. Robust optimization can improve the design reliability and reduce the influence of uncertainty while using a suitable metamodel is beneficial for prediction accuracy and efficiency. This paper proposes a robust optimization method based on a hybrid metamodel with Simplified Pareto and Updated Training Set (SPUTS) to improve the prediction accuracy along the Pareto front and in the whole design space. After the first round of robust optimization based on a general metamodel, the training set is updated by simplifying the Pareto solution set. A finite element simulation is performed to construct a high-precision metamodel that combines the kriging and radial basis function (RBF) models to run a new robust optimization. The proposed method was validated by application to the robust optimization of an injection mechanism with a large inner diameter. The results indicated that the SPUTS hybrid metamodel greatly reduced the prediction errors in the test set. The optimized design showed better reliability and robustness and had a greater clearance ratio than the initial design. Full article
Show Figures

Figure 1

20 pages, 6442 KB  
Review
Enhancing the Performance of Metal Additive Manufacturing Parts: A Review of Post-Treatment Processes for Extrusion and Sinter-Based Technology
by Alessandro Pellegrini, Maria Grazia Guerra, Roberto Spina and Fulvio Lavecchia
J. Manuf. Mater. Process. 2025, 9(11), 357; https://doi.org/10.3390/jmmp9110357 - 31 Oct 2025
Viewed by 824
Abstract
Material Extrusion for Metals (MEX/M) has emerged as a cost-effective and versatile Additive Manufacturing technology (AM) for producing complex metal components. Despite its potential, parts realized via MEX/M suffer from significant limitations, primarily poor surface quality due to the intrinsic layer-wise effect from [...] Read more.
Material Extrusion for Metals (MEX/M) has emerged as a cost-effective and versatile Additive Manufacturing technology (AM) for producing complex metal components. Despite its potential, parts realized via MEX/M suffer from significant limitations, primarily poor surface quality due to the intrinsic layer-wise effect from the printing deposition and selected printing conditions. Furthermore, the multi-step nature of the MEX/M process, particularly the sintering stage, can exacerbate roughness along with the printing orientation, thereby affecting part performance and limiting potential applications. In addition to surface defects, MEX parts are characterized by a high content of porosity when compared to other metal AM technologies like Powder Bed Fusion laser-based (PBF-LB) and Directed Energy Deposition laser-based (DED-LB). These defects, both on the surface and within the parts, can compromise the mechanical properties and overall quality of the final parts. In this context, the scientific community has increasingly recognized post-treatment processes as essential for simultaneously improving surface quality and enhancing bulk material properties. This review according to the PRISMA 2020 guidelines provides a comprehensive analysis of the most critical post-treatment processes applied to MEX/M parts. By critically reviewing the state of the art, this paper discusses how these treatments can effectively mitigate outer and inner defects, reduce porosity, and significantly improve mechanical performance, ultimately enabling the broader industrial adoption of MEX/M technology. Full article
Show Figures

Figure 1

27 pages, 9712 KB  
Article
Enhancing Micro-Milling Performance of Ti6Al4V: An Experimental Analysis of Ultrasonic Vibration Effects on Forces, Surface Topography, and Burr Formation
by Asmaa Wadee, Mohamed G. A. Nassef, Florian Pape and Ibrahem Maher
J. Manuf. Mater. Process. 2025, 9(11), 356; https://doi.org/10.3390/jmmp9110356 - 30 Oct 2025
Viewed by 724
Abstract
The current study focuses on axial ultrasonic vibration-assisted micro-milling as an advanced technique to improve the machining performance of Ti6Al4V, a material whose difficult-to-cut properties present a significant barrier to manufacturing the high-quality micro-components essential for aerospace and biomedical applications. A full factorial [...] Read more.
The current study focuses on axial ultrasonic vibration-assisted micro-milling as an advanced technique to improve the machining performance of Ti6Al4V, a material whose difficult-to-cut properties present a significant barrier to manufacturing the high-quality micro-components essential for aerospace and biomedical applications. A full factorial design was employed to evaluate the influence of feed-per-tooth (fz), axial depth-of-cut (ap), and ultrasonic vibration on cutting forces, surface roughness, burr formation, and tool wear. Experimental results demonstrate that ultrasonic assistance significantly reduces cutting forces by 20.09% and tool wear by promoting periodic tool–workpiece separation and improving chip evacuation. However, it increases surface roughness due to the formation of uniform micro-dimples, which may enhance tribological properties. Burr dimensions were primarily governed by feed-per-tooth, with higher feeds minimizing burr size. The study provides actionable insights into optimizing machining parameters for cutting Ti6Al4V, highlighting the trade-offs between force reduction, surface texture, and burr control. These findings contribute to advancing ultrasonic-assisted micro-milling for industrial applications, namely aerospace and biomedical applications requiring high precision and extended tool life. Full article
(This article belongs to the Special Issue Advances in Micro Machining Technology)
Show Figures

Figure 1

19 pages, 7538 KB  
Article
Study on the Layered Structure of Ceramic-Side Bonding Area and the Mechanical Property of Al2O3–Kovar Brazed Joint with Ag-Cu-Ti Filler
by Junjie Qi, Dong Du, Dongqi Zhang, Shuai Xue, Jiaming Zhang, Jiamin Yi, Haifei You and Baohua Chang
J. Manuf. Mater. Process. 2025, 9(11), 355; https://doi.org/10.3390/jmmp9110355 - 29 Oct 2025
Viewed by 449
Abstract
During active brazing of alumina ceramics, active elements react with the ceramic to form a reaction layer, which has significant influence on the mechanical property of the brazed joint. However, the composition and formation mechanism of this layer remain unclear among researchers. To [...] Read more.
During active brazing of alumina ceramics, active elements react with the ceramic to form a reaction layer, which has significant influence on the mechanical property of the brazed joint. However, the composition and formation mechanism of this layer remain unclear among researchers. To fill this gap, different brazing temperatures (900–1100 °C) and heating rates (2.5 °C/min and 10 °C/min) were used to braze 95% Al2O3 ceramics and a Kovar 4J34 alloy using a Ag-Cu-2Ti active brazing filler, and the microstructure and mechanical properties of the joints were investigated. The results show that the joint could be divided into five layers: Al2O3, ceramic-side reaction layer, filler layer, Kovar-side reaction layer, and Kovar. The ceramic-side reaction layer could be further divided into a Ti-O-rich layer and an intermetallics (IMC)-rich layer, and the Kovar-side reaction layer consists of TiFe2 particles, Ag-Cu eutectic, and the remaining Kovar. A belt-like TiFe2+TiNi3 IMC could be found in the filler layer. Increasing the brazing temperature enlarged the belt-like TiFe2+TiNi3 IMC in the filler layer and increased the thickness of the IMC-rich layer in the ceramic-side reaction layer, but had no significant effect on the thickness of the Ti-O-rich layer in the ceramic-side reaction layer. A lower heating rate (2.5 °C/min) was found to suppress the formation of the IMC-rich layer and shift the fracture location in shear tests from the ceramic-side reaction layer to the filler layer, indicating that the strength of the ceramic-side reaction layer was enhanced by controlling the formation of the IMC-rich layer. A maximum shear strength of 170 ± 61 MPa was obtained at a heating rate of 2.5 °C/min and a brazing temperature of 940 °C. Full article
(This article belongs to the Special Issue Advances in Welding Technology: 2nd Edition)
Show Figures

Figure 1

22 pages, 5066 KB  
Article
Optimization and Evaluation of Mechanical Properties in Lattice Structures Fabricated by Stereolithography
by Mauricio Leonel Paz González, Jorge Limon-Romero, Yolanda Baez-Lopez, Diego Tlapa Mendoza, Juan Antonio Ruiz Ochoa, Juan Antonio Paz González and Armando Perez-Sanchez
J. Manuf. Mater. Process. 2025, 9(11), 354; https://doi.org/10.3390/jmmp9110354 - 29 Oct 2025
Viewed by 930
Abstract
Additive manufacturing via stereolithography (SLA) enables the fabrication of highly customized lattice structures, yet the interplay between geometry and graded density in defining mechanical behavior remains underexplored. This research investigates the mechanical behavior and failure mechanisms of cylindrical lattice structures considering uniform, linear, [...] Read more.
Additive manufacturing via stereolithography (SLA) enables the fabrication of highly customized lattice structures, yet the interplay between geometry and graded density in defining mechanical behavior remains underexplored. This research investigates the mechanical behavior and failure mechanisms of cylindrical lattice structures considering uniform, linear, and quadratic density variations. Various configurations, including IsoTruss, face-centered cubic (FCC)-type cells, Kelvin structures, and Tet oct vertex centroid, were examined under a complete factorial design that allowed a thorough exploration of the interactions between lattice geometry and density variation. A 3D printer working with SLA was used to fabricate the models. For the analysis, a universal testing machine, following ASTM D638-22 Type I and ASTM D1621-16 standards, was used for tension and compression tests. For microstructural analysis and surface inspection, a scanning electron microscope and a digital microscope were used, respectively. Results indicate that the IsoTruss configuration with linear density excelled remarkably, achieving an impressive energy absorption of approximately 15 MJ/m3 before a 44% strain, in addition to presenting the most outstanding mechanical properties, with a modulus of elasticity of 613.97 MPa, a yield stress of 22.646 MPa, and a maximum stress of 49.193 MPa. On the other hand, the FCC configuration exhibited the lowest properties, indicating lower stiffness and mechanical strength in compression, with an average modulus of elasticity of 156.42 MPa, a yield stress of 5.991 MPa, and the lowest maximum stress of 14.476 MPa. The failure modes, which vary significantly among configurations, demonstrate the substantial influence of the lattice structure and density distribution on structural integrity, ranging from localized bending in IsoTruss to spalling in FCC and shear patterns in Kelvin. This study emphasizes the importance of selecting fabrication parameters and structural design accurately. This not only optimizes the mechanical properties of additively manufactured parts but also provides essential insights for the development of new advanced materials. Overall, the study demonstrates that both lattice geometry and density distribution play a crucial role in determining the structural integrity of additively manufactured materials. Full article
Show Figures

Graphical abstract

22 pages, 5120 KB  
Article
Auxetic Systems Fabricated Using Mycelia-Based Composites
by Claudia Cadinu, Ruben Gatt, Renald Blundell, Joseph N. Grima and Pierre-Sandre Farrugia
J. Manuf. Mater. Process. 2025, 9(11), 353; https://doi.org/10.3390/jmmp9110353 - 28 Oct 2025
Viewed by 634
Abstract
In an era of increasingly problematic global waste management, innovative materials can hold the key to a circular economy. Within such a context, this work aimed at manufacturing, potentially for the first time, auxetic material (i.e., materials with a negative Poisson’s ratio) using [...] Read more.
In an era of increasingly problematic global waste management, innovative materials can hold the key to a circular economy. Within such a context, this work aimed at manufacturing, potentially for the first time, auxetic material (i.e., materials with a negative Poisson’s ratio) using mycelia-based composites (i.e., materials made by growing fungi on a biodegradable substrate). The fabrication of the auxetic biomaterials was undertaken using both direct growth methods in purposely designed molds and through subtractive manufacturing of commercially available mycelia panels. In the former case, various substrates were employed, differing in sawdust granulation and nutrient content. Furthermore, enhancements in the form of scaffolds and hay were considered with the aim of improving the cohesion and elastic properties of the end product. Mechanical testing of the samples produced showed that both manufacturing methods can produce structures capable of exhibiting a negative Poisson’s ratio. At the same time, the intrinsic brittle nature of mycelia-based composites limits the compactness and cohesion of the end products. In this context, the different methodologies employed to improve these properties yielded some promising results. Thus, while this work showed that indeed auxetic biomaterials can be fabricated, the manufacturing methods still require further improvement to produce better-performing specimens. Full article
Show Figures

Graphical abstract

11 pages, 10135 KB  
Article
Optimization of Direct Bonding Process for Lotus-Type Porous Copper to Alumina Substrates
by Sang-Gyu Choi, Sangwook Kim, Jinkwan Lee, Keun-Soo Kim and Soongkeun Hyun
J. Manuf. Mater. Process. 2025, 9(11), 352; https://doi.org/10.3390/jmmp9110352 - 27 Oct 2025
Viewed by 450
Abstract
The effects of processing conditions and holding time on the direct bonding (DBC) of lotus-type porous copper to alumina substrates were systematically investigated. The evolution of copper morphology and the resulting shear strength were evaluated under varying pressures (0.3–0.6 Torr) and bonding durations [...] Read more.
The effects of processing conditions and holding time on the direct bonding (DBC) of lotus-type porous copper to alumina substrates were systematically investigated. The evolution of copper morphology and the resulting shear strength were evaluated under varying pressures (0.3–0.6 Torr) and bonding durations (5–160 min) at a fixed bonding temperature. It was found that pressure within the tested range exerted a negligible influence on joint quality, as direct bonding occurred consistently. In contrast, holding time was found to be a critical factor: a duration of 10 min yielded optimal bonding with high shear strength while preserving the porous structure, whereas shorter times led to incomplete bonding, and longer times caused structural collapse due to liquid-phase flow. The oxidation behavior, governed by parabolic growth kinetics, was identified as the primary mechanism controlling morphological evolution. These findings provide practical guidance for optimizing DBC bonding of porous copper in power semiconductor applications, balancing joint strength and structural integrity. Full article
(This article belongs to the Special Issue Innovative Approaches in Metal Forming and Joining Technologies)
Show Figures

Figure 1

Previous Issue
Next Issue
Back to TopTop