Next Article in Journal
Study on the Layered Structure of Ceramic-Side Bonding Area and the Mechanical Property of Al2O3–Kovar Brazed Joint with Ag-Cu-Ti Filler
Next Article in Special Issue
A Universal Method for the Evaluation of In Situ Process Monitoring Systems in the Laser Powder Bed Fusion Process
Previous Article in Journal
Auxetic Systems Fabricated Using Mycelia-Based Composites
Previous Article in Special Issue
Fracture Characteristics of 3D-Printed Polymer Parts: Role of Manufacturing Process
 
 
Font Type:
Arial Georgia Verdana
Font Size:
Aa Aa Aa
Line Spacing:
Column Width:
Background:
Article

Optimization and Evaluation of Mechanical Properties in Lattice Structures Fabricated by Stereolithography

by
Mauricio Leonel Paz González
1,†,
Jorge Limon-Romero
2,
Yolanda Baez-Lopez
2,
Diego Tlapa Mendoza
2,
Juan Antonio Ruiz Ochoa
1,
Juan Antonio Paz González
1 and
Armando Perez-Sanchez
1,*
1
Facultad de Ciencias de la Ingeniería y Tecnología, Universidad Autónoma de Baja California, Tijuana 22260, Mexico
2
Facultad de Ingeniería, Arquitectura y Diseño, Universidad Autónoma de Baja California, Ensenada 22860, Mexico
*
Author to whom correspondence should be addressed.
This article is a posthumous publication.
J. Manuf. Mater. Process. 2025, 9(11), 354; https://doi.org/10.3390/jmmp9110354
Submission received: 26 September 2025 / Revised: 22 October 2025 / Accepted: 24 October 2025 / Published: 29 October 2025

Abstract

Additive manufacturing via stereolithography (SLA) enables the fabrication of highly customized lattice structures, yet the interplay between geometry and graded density in defining mechanical behavior remains underexplored. This research investigates the mechanical behavior and failure mechanisms of cylindrical lattice structures considering uniform, linear, and quadratic density variations. Various configurations, including IsoTruss, face-centered cubic (FCC)-type cells, Kelvin structures, and Tet oct vertex centroid, were examined under a complete factorial design that allowed a thorough exploration of the interactions between lattice geometry and density variation. A 3D printer working with SLA was used to fabricate the models. For the analysis, a universal testing machine, following ASTM D638-22 Type I and ASTM D1621-16 standards, was used for tension and compression tests. For microstructural analysis and surface inspection, a scanning electron microscope and a digital microscope were used, respectively. Results indicate that the IsoTruss configuration with linear density excelled remarkably, achieving an impressive energy absorption of approximately 15 MJ/m3 before a 44% strain, in addition to presenting the most outstanding mechanical properties, with a modulus of elasticity of 613.97 MPa, a yield stress of 22.646 MPa, and a maximum stress of 49.193 MPa. On the other hand, the FCC configuration exhibited the lowest properties, indicating lower stiffness and mechanical strength in compression, with an average modulus of elasticity of 156.42 MPa, a yield stress of 5.991 MPa, and the lowest maximum stress of 14.476 MPa. The failure modes, which vary significantly among configurations, demonstrate the substantial influence of the lattice structure and density distribution on structural integrity, ranging from localized bending in IsoTruss to spalling in FCC and shear patterns in Kelvin. This study emphasizes the importance of selecting fabrication parameters and structural design accurately. This not only optimizes the mechanical properties of additively manufactured parts but also provides essential insights for the development of new advanced materials. Overall, the study demonstrates that both lattice geometry and density distribution play a crucial role in determining the structural integrity of additively manufactured materials.

Graphical Abstract

1. Introduction

Advances in additive manufacturing have driven interest in functional gradient steel lattice structures, whose mechanical efficiency is affected by the fabrication parameters and their design. Research indicates a strong relationship between these parameters, the shape of the structures, and their performance, highlighting the impact of geometric configuration and deformation on their mechanical properties [1]. Selective laser melting manufacturing (SLM) stands out as a critical technique, facing challenges such as precision and surface defects; however, it has potential applications in the aeronautics, automotive, and defense industries [2]. Biologically inspired designs have been explored, and through 3D printing, structures with improved stiffness and energy absorption have been offered, opening possibilities for lightweight and multifunctional materials [3]. Studies on lattice cell designs and comparisons between different types of lattice arrays reveal significant variations in their mechanical properties [4,5]. Numerical modeling has improved the prediction of mechanical behavior, including actual manufacturing defects, while designs with heterogeneous density and circular designs have shown improvements in strength and energy absorption [6,7]. Moreover, structures with step changes in density and design modifications have proven to be effective in optimizing mechanical efficiency. This approach preserves essential properties such as stiffness and structural stability, ensuring functionality and load resistance, without compromising their physical integrity [8,9]. Design optimization and evaluation of 316 L stainless steel structures using SLM have enriched the knowledge for the development of high-performance structures in industrial applications [10,11]. In this regard, the potential of new lattice cell geometries, as indicated by ongoing research and performance comparisons, is a source of hope for the future of structural engineering, showing the superiority of specific structures in terms of mechanical and energy absorption [12,13,14].
The integration of structural volumetric arrangements by triple periodic minimal surfaces (TPMS) through additive manufacturing has brought about significant changes in materials engineering and structural design, offering applications ranging from mechanical optimization to fabric engineering and thermal management. An equivalent entity (EE) modeling approach simplifies the simulation of these structures, optimizing the design and evaluation process [15]. In tissue engineering, 3D-printed gyroid-like geometries show promise for bone regeneration, replicating the structure of trabecular bone with high biocompatibility [16]. The selection of the correct TPMS geometry is crucial for maximizing mechanical performance, which is essential in sectors such as aerospace and automotive [17]. Studies on compression and resilience are currently vital to the development of innovative damping materials [18]. Research on the thermal conductivity of TPMS structures fabricated by laser powder melting reveals that thermal conductivity primarily depends on the material composition and quantity, and to a lesser extent, on the cell geometry. This enables the development of lighter and thermally efficient components, with potential applications in electronic devices [19]. Strategies for graded and hybrid TPMS structures promote applications in medical implants, while a hybrid approach called Meta Grain Structure (MGS) improves design and mechanical properties, offering customized solutions for various applications [20].
Additive manufacturing has transformed the production of complex structures, especially in polymers and composites, by optimizing lattice cell designs, adjusting printing parameters, and using novel materials. Notably, developing hybrid nylon lattice cell structures with BCC and N-type geometries by Laser Powder Bed Fusion (LPBF) significantly improves mechanical properties [21]. Further research indicates that filler density, layer thickness, and build orientation affect energy absorption in materials such as ABS and FPU, providing directions for the fabrication of devices with specific requirements [22]. The study of thermoplastic polyurethane (TPU) cubic structures reveals that configurations featuring sinusoidal columns and honeycomb structures optimize both strength and energy absorption [23]. Another study evaluates how various printing factors affect the mechanical properties of nutshell and PLA composites using the filament printing technique, identifying that extruder temperature and layer height are critical to optimizing strength and dimensional accuracy. These results support the use of sustainable materials in additive manufacturing for industrial applications [24]. In addition, research on the design and processing of polymeric lattice structures by digital light processing (DLP) highlights the importance of topology and exposure time adjustments to modify mechanical properties [25]. The addition of glass powder, nozzle size, and filler density in PLA is analyzed to optimize the mechanical strength while also considering economic and environmental aspects [26,27]. These studies highlight the importance of additive manufacturing in enhancing the mechanical and energy absorption properties of advanced materials.
The stereolithography 3D fabrication technique has shown that graded TPMS structures exhibit optimal deformation behavior for mechanical shock absorption [28,29]. Optimization of resin formulation and printing parameters in DLP and liquid crystal display (LCD) technologies is crucial to improve material performance [30]. Similarly, carbon fiber- and graphene oxide-reinforced composites have improved the mechanical properties of lattice structures by SLA [31], while adjustments in UV laser power and layer thickness have influenced the mechanical properties of components fabricated with acrylic resins and zirconia lattice structures [32,33].
On the other hand, the potential of bidirectional gradient lattice structures has been explored by LPBF, showing improvements in properties such as compressive modulus and energy absorption capacity, with applications in lightweight and multifunctional design [34]. In another case, gradient lattice structures generated in NiTi shape memory alloys, designed by topological optimization and fabricated by LPBF, stand out for their exceptional energy absorption capability [35]. These studies, like others, demonstrate how additive manufacturing opens up new avenues for developing advanced materials and structures, thereby promoting innovative applications across various sectors.
The present research explores lattice cell designs and cylindrical structures with graded density and printing parameters to enhance mechanical properties. These innovations open avenues for the customization and efficient design of parts in various applications, marking a promising future for the mechanical characterization of additively manufactured structures with applications requiring specific mechanical properties while retaining strength and energy absorption [1,35,36,37].
The novelty of this study lies in the systematic evaluation of the effect of density variations, specifically uniform, linear, and quadratic, on the mechanical behavior and failure modes of cylindrical lattice structures fabricated through stereolithography (SLA). A full factorial design was employed to analyze the interactions between cell geometry and density distribution comprehensively. The results revealed that the IsoTruss configuration with linear density exhibited superior mechanical performance and high energy absorption capacity, providing valuable insights for the design and optimization of additively manufactured structures with enhanced mechanical properties [38,39,40].

2. Materials and Methods

Design of Lattice Cells with Gradual Density

In the field of materials engineering, the design of experiments is an essential tool to understand how different variables affect the mechanical properties of structural components. For this purpose, an experimental study is conducted to investigate the behavior of cylinders with lattice cells fabricated by stereolithography, whose density varies from the center to the outer diameter. The main objective is to evaluate how different lattice configurations and density changes influence the compressive strength and energy absorption of the cylinders. This will allow optimizing designs for specific applications where these properties are critical. The study considers two variables: The Grid Configuration (Variable A), in which four different grid configurations, including IsoTruss, FCC, Kelvin, and Tet oct vertex centroid, are studied in order to understand how the geometry of the grid impacts the mechanical properties of the cylinder, and density change (Variable B), which considers the density of a cylinder varying in three different ways from the center to the outer diameter. For variable B, three patterns of density change are specified: (a) Uniform: where the density is constant throughout the cylinder with a value of 1.5 mm; (b) Linear: where the density increases linearly from the center with a value of 1.0 mm towards the outer diameter with a value of 2.0 mm, and (c) Quadratic: where the density follows a quadratic progression from the center with a value of 1.0 mm towards the outer diameter with a value of 2.0 mm.
Table 1 shows the experimental matrix detailing the 12 different configurations of cylinders with lattice cells. Each of these 12 configurations had five replicates, which indicates that they performed a total of 60 tests in the experimental study. This arrangement allows for obtaining more robust data and confirming the reproducibility of the results for each type of reticle configuration and density change pattern; thus, allowing us to examine how the mass distribution within the material affects its behavior under load.
A complete factorial design was employed because it comprehensively explores the possible combinations of the two independent variables. This design is suitable for identifying the main effects of each variable and their interactions, which are especially important in materials with lattice structures. Cylinders with different lattice configurations and densities were synthesized using a stereolithography printer, which has a cover that protects the resin from exposure to dust and other external contaminants, maintains a controlled temperature, and avoids direct exposure to ambient ultraviolet light, which could prematurely cure the resin. The 3D printer used for the manufacture of the parts was an Anycubic Photon M3 Max, a resin 3D printer with a 13.6-inch 7 K monochrome screen, large printing volume (298 × 164 × 300 298 × 164 × 300 mm), and high speed (up to 60 mm/h). Its main features include an Anycubic LighTurbo Matrix light system, an automatic resin feeding system, a laser-engraved printing platform to improve adhesion, and a high-precision ball screw on the Z axis [41]. Each configuration was subjected to standardized compression tests, and the respective data were obtained on the behavior of the maximum stresses supported, along with their corresponding deformation, allowing for plotting and thus defining the energy absorbed up to the point of failure.
Figure 1 organizes the geometric configurations in four rows and four columns, showing different types of lattice cells and how the lattice arrangements are applied within cylindrical bodies. The first row presents the unit cell of each type of 3D lattice structure. The second row shows the top view of each type of structure, providing a perspective of how the lattice is organized at the top level. The third row (uniform density) depicts cylinders formed by each type of lattice cell with a uniform density along the entire cylinder. The fourth row (linear gradual density) shows cylinders with linearly changing density. The fifth row (quadratic gradual density) shows cylinders with a density change that follows a quadratic pattern, indicating that the density increases radially from the center to the outer diameter of the cylinder. Rows 3, 4 and 5 represent a different way of varying the density of the lattice structure within the cylinder.
The mechanical evaluation of polymeric materials by tensile testing is essential for the comprehensive understanding of their mechanical properties and validating their applicability in engineering. To ensure reproducibility and comparability of data, the study characterized resin specimens manufactured by stereolithography, following ASTM International (2022), Standard Test Method for Tensile Properties of Plastics (ASTM D638-22) and ASTM International (2016), Standard Test Method for Compressive Properties of Rigid Cellular Plastics (ASTM D1621-16) [38,42,43] Type I standards, which specify the dimensions and shape of specimens for tensile testing of plastics. The specimens were fabricated using the same batch of resin to minimize intrinsic material variations. Printing parameters, including build orientation, UV light energy, and post-cure conditions, were rigorously controlled to ensure specimen homogeneity. Tensile tests for all specimens were performed under the same temperature and humidity conditions, and thus, fundamental properties, such as Young’s modulus, stress at break, and strain to fracture, were determined. Analysis of the results allowed a relationship to be established between the processing conditions and the resulting mechanical properties, thus providing a solid basis for the design and optimization of components manufactured by stereolithography for specific applications.
Figure 2 shows a technical drawing of a typical specimen used for destructive tensile testing; according to the ASTM D638 Type I standard, the specimen is clamped in a universal mechanical stress machine, namely, a Shi-madzu AG-IC 100 kN, by means of the respective grips. The specimen has a narrow middle cross-section and two wider ends to facilitate gripping during the test. The narrow middle cross-section is the one that is subjected to tensile stress during the test, promoting failure in the test. ASTM D638 suggests testing at least five specimens to obtain a representative average of the mechanical properties of the tensile type. With this, the fundamental principles of statistics and materials science are considered: inherent material variability, statistical precision, elimination of outliers, confidence in the results, and regulatory requirements.
The manufacturing process for both the flat samples and the lattice structures was a standard additive manufacturing printing process: printing, washing, and curing. The same Anycubic Photon M3 Max printer and the same Anycubic ABS-like resin material were used [44]. The parameters used in both cases were: layer thickness of 0.050 mm for high resolution and a normal exposure time of 2.5 s, increasing to 20 s for the five bottom layers, ensuring a solid base. The interrupted time between layers is 0.5 s, and a level of anti-aliasing is used to improve surface quality. A Z-lift distance of 8 mm and lift and retract speeds of 2 and 3 mm/s, respectively, were configured, balancing resolution with printing efficiency. The ABS-like resin printed parts were washed using isopropyl alcohol and cured layer by layer with UV laser using Anycubic Wash & Cure 3. Each layer is 50 microns thick, allowing for high detail accuracy and a smoother surface. The 50-micron layers contribute to a high-quality surface finish, as the thinner the layer, the smoother and more detailed the final result [45,46,47]. The laser curing technique ensures the solidity and consistency of both the cylinder walls and the layer joints, which are fundamental aspects of the structural applications for which these geometries may be intended. Figure 3, on the left side in Figure 3a, shows the geometry of the five flat specimens defined by ASTM D638 Type I. Specimens were marked with lines that delimit the calibrated zone. Figure 3b shows the clamping of the specimen in a universal mechanical stress machine, namely, a Shimadzu AG-IC 100 kN universal testing machine.

3. Results and Discussion

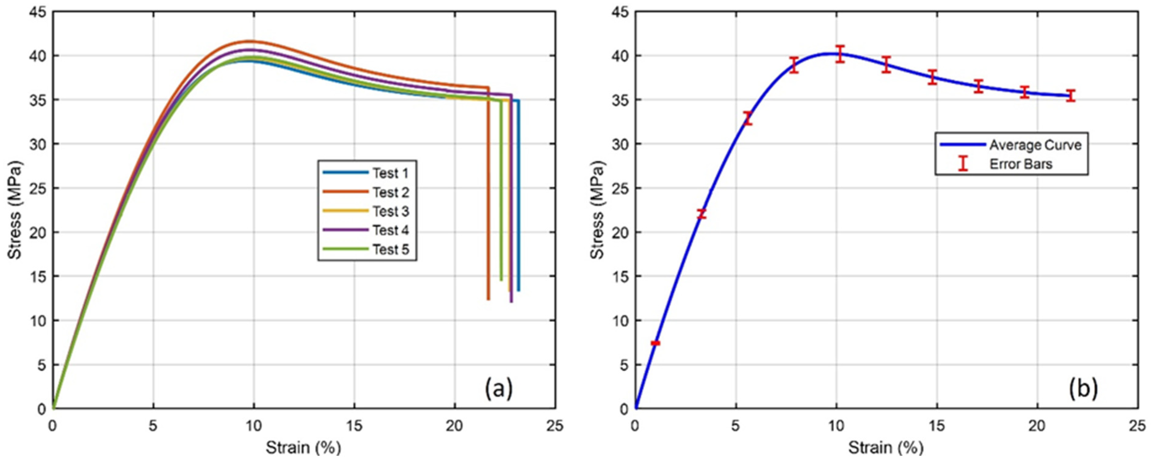
Figure 4a shows the graph of the mechanical behavior of the tensile test performed at a speed of 3 mm/s on the five specimens tested. The ordinate axis indicates the stress in megapascals (MPa), and the abscissa axis shows the strain in percent (%). The curve starts at the origin and rises to approximately 38 MPa of stress for a strain of about 9%, indicating the elastic behavior of the material. After this point, the behavior ceases to be linear, implying that the material has reached its elastic limit and begins to exhibit elastoplastic behavior with permanent deformation without further increase in strain. The five curves correspond to five different specimens labeled 1 to 5. The negatively sloped part of the curves indicates the ductility property of the polymers, resulting in flow behavior with plastic deformation. In all five curves, similar behaviors are observed in both the elastic and plastic stages, indicating consistency in the material’s processing during printing. Finally, there is an abrupt drop in stress, indicating fracture or breakage of the material. The fracture occurs at approximately 22.5% of the strain for all specimens, although the curve of specimen two fractures earlier than the others. Figure 4b presents the average stress–strain curve derived from these individual tests, along with error bars that provide a visual indication of the variability between tests. The elastic modulus (E) of the material was determined to be 664.400 MPa, with a standard deviation of 12.992 MPa. This value represents the stiffness of the material in the elastic region of the curve, where the deformation is reversible and proportional to the applied stress. In addition, the maximum stress reached, corresponding to the highest point of the stress–strain curve before the material’s creep, is 40.220 MPa with a standard deviation of 0.889 MPa. This value is an indicator of the maximum tensile strength of the material. The small value in standard deviation suggests that the behavior of the material is reasonably uniform in terms of its ultimate tensile strength. The variation between specimen results in the elastoplastic region could be the result of several factors, such as minor inconsistencies in material composition and differences in specimen fabrication or preparation during testing.
Figure 5 shows the top views of the lattice cells for each configuration, obtained using a digital microscope at 40× magnification. Despite the high precision inherent in the manufacturing process, significant geometric differences persist between the ideal design and the manufactured structure, which inevitably compromise the material’s mechanical properties, stiffness, strength, and toughness [48,49,50]. These defects manifest themselves through surface roughness, the step effect, porosity, or geometric deviations such as node displacement, variations in bar thickness, and misalignment of the bar axis [47,49].
Table 2 compares the masses obtained with the CAD model with the results obtained after fabrication for the different types of structures. The IsoTruss structures have relative errors ranging from 2.863% to 4.584%, suggesting that the manufacturing accuracy is quite good. However, there is more variation in the quadratic density than in the linear or uniform, on the other hand, this configuration has the highest average mass of 18.194 g with a standard deviation of ±0.048 g for the linear density. For the Tet oct vertex centroid type structures, the relative error varies between 3.300% and 4.080%, also indicating good manufacturing accuracy, with a mass of 17.966 g (±0.060 g) for the linear density configuration. The Cubic Center Face structures show similar relative errors, around 3%, which is also a good indication of fabrication quality; this configuration presents a lower mass, with a mean value of 13.409 g and a standard deviation of ±0.103 g, for the configuration with linear density. Kelvin structures present an average mass of 12.481 g and a standard deviation of ±0.039 g for the linear density configuration, with a higher variation in the relative error when comparing the masses of the manufactured part with the designed part, especially for the quadratic density one, with a value of 4.731%, which may indicate a higher difficulty in the control of the manufacturing process for this type of structure.
In Figure 6, photographs of the specimens under compressive loading are observed during the initial phase, from 0% to 10% deformation. All specimens exhibit an elastic response, where any deformation is reversible. As the load increases and reaches 10–20% strain, it is observed that the Face-centered cubic and Kelvin specimens begin to exhibit local buckling, indicating a transition from elastic to plastic behavior; this deformation is permanent. When approaching 20–30% of the deformation, buckling becomes more evident and generalized for all specimens, evidencing plastic deformation and the onset of structural collapse. Beyond 30%, the lattice cells experience global buckling and progressive collapse, severely compromising the structural integrity of the specimen. In the last column, at 40% strain, it is observed that all specimens fail structurally, modifying the original shape and functionality.
Figure 7 illustrates the mechanical behavior of the specimens through the stress–strain curves for the four different structural configurations, each subjected to density variations designated as L for linear, C for quadratic, and U for uniform. Specifically, the curves corresponding to the IsoTruss configuration in compression testing reveal distinct characteristics of each density type. The curve labeled “IsoTruss C” in Figure 7 is notable for its gradually increasing quadratic density profile; it starts smoothly and exhibits a steep increase, reaching a peak strength near 32 MPa at 34% strain before dropping slightly. In the red curve, “IsoTruss L”, linear gradual density begins with a steady increase and rises steeply to over 48 MPa at 42% strain, then drops significantly, indicating possible structural failure. Finally, the blue curve, “Iso Truss U”, with uniform density, increases moderately to a maximum of approximately 36 MPa near 44% strain and then decreases exponentially; all curves show error bars reflecting the variability in the experimental data. The results of compression tests on parts with the Cubic center phase configuration with different lattice densities are: the black curve “Cubic Center Face C” shows the behavior with quadratic density and presents a progressive increase to a peak of 9 MPa at 23% strain, followed by a decline; the red colored curve “Cubic Center Face L” of linear density rises to a peak of over 13 MPa at 25% strain before a significant drop, suggesting structural failure; and the blue “Cubic Center Face U” of uniform density rises smoothly to a peak near 14 MPa at 50% strain, then declines rapidly, with all curves exhibiting error bars denoting measurement variability.
Figure 7 also presents the three curves for the parts with Kelvin lattice structures: the “Kelvin C” curve in black, representing a quadratic density, rises steeply to about 11 MPa before stabilizing and then decreasing slightly past 22% strain; the “Kelvin L” curve in red, symbolizing a linear density, shows a rapid increase to exceed 12 MPa near 5% strain, then rises to a value of 18 MPa with a percentage for strain of 28%, then experiences an abrupt decrease, which could indicate failure after the maximum load; finally, the “Kelvin U” curve in blue, reflecting uniform density, gradually rises to 6 MPa and remains relatively flat before dropping after 25% strain. The error bars present on all the curves indicate the variability in the test measurements. From the tests for the “Tet oct vertex centroid” specimens, it is observed that for the “C” specimen, in black, there is an increase of stress in the elastic stage up to 17.5 MPa; then, in the plastic stage, there is a maximum increase of 19 MPa, with a maximum deformation percentage of 25%. For the sample type “L” in red, the elastic behavior is observed up to 17 MPa, after which it exhibits plastic behavior up to a maximum value of 25 MPa, accompanied by a plastic deformation of 30%. In the sample type “U” in blue, the stress increases steadily up to 11 MPa, followed by a second stage (plastic) up to 18 MPa, also with a deformation of 30%. The curves show the error bars, denoting the variability in the experimental data and reflecting differences in strength and structural stability between the different lattice density configurations. On the other hand, Table 3 shows the mechanical behavior of the factorial combinations analyzed. According to these data, it can be seen that the “IsoTruss” type specimen with a gradually linearly varying density in radial direction stands out in several categories: the highest modulus of elasticity of 613.97 MPa (±43.162 MPa) and the highest compressive strength with a yield stress of 22.646 MPa (±0.812 MPa). It also has the highest maximum stress with an average of 49.193 MPa (±1.134 MPa). These results suggest that the “IsoTruss” configuration is superior in terms of weight, stiffness, and compressive strength.
Thus, with the information presented in Figure 8, it can be concluded that the FCC configuration presents the lowest properties; this configuration has a modulus of elasticity with an average value of 156.42 MPa (±3.603 MPa) and a yield stress of 5.991 MPa (±0.500 MPa). It also records the lowest maximum stress with an average of 14.476 MPa (±1.661 MPa). This indicates that it has the lowest strength in terms of stiffness and mechanical strength in compression. The “Kelvin” configuration under the linear variation configuration shows intermediate characteristics in terms of mechanical properties; its modulus of elasticity is moderate at 366.67 MPa (±45.784 MPa). As for creep, it is 12.706 MPa (±0.402 MPa) and a maximum compressive stress of 18.846 MPa (±1.511 MPa), values that, although not the lowest, are not the highest among the tested configurations. On the other hand, the “Tet oct vertex centroid” configuration under a linear density variation exhibits a remarkably high modulus of elasticity of 456.09 MPa (±16.519 MPa), indicating good structural stiffness. This configuration also shows good mechanical strength with a yield stress of 16.697 MPa (±0.646 MPa) and a maximum stress of 25.348 MPa (±0.935 MPa), which places it among the best-performing configurations in tensile and compressive strength of those presented in Table 3.
Figure 9 also shows graphically the behavior of the cumulative absorbed energy as a function of the percentage deformation. The graph shows that the energy absorption of “Iso Truss” specimens with different lattice densities behaves as follows: “IsoTruss C” (black) increases quadratically, reaching about 8 MJ/m3 at 36% strain; ‘IsoTruss L’ (red) exhibits the highest absorption, with a steeper slope reaching about 15 MJ/m3 before reaching 44% strain; and ‘IsoTruss U’ (blue) also increases linearly to about 9 MJ/m3 at 46% strain. The error bars indicate variability in the measurements, with the “L” curve standing out for its absorptive capacity and “U” showing a steady increase with deformation. The graph behaviors for energy absorption in specimens with Cubic Face Center lattice structures are: “Cubic Center Face C” (black) shows an almost linear energy absorption behavior, reaching about 2.6 MJ/m3 at 30% deformation; “Cubic Center Face L” (red) presents a similar growth initially, but with a steeper slope, reaching almost 4. 0 MJ/m3 at 55% strain, indicating higher energy absorption efficiency; and “Cubic Center Face U” (blue) follows a quadratic pattern, with its energy absorption reaching 4.7 MJ/m3 toward 57% strain, demonstrating a significant increase in absorption capacity as strain increases. The error bars reflect variability in the data, and the “L” curve stands out for its superior energy absorption capacity, while the “U” curve reveals an improvement in absorption at higher strain.
Figure 9 compares the energy absorption per unit volume in specimens with lattice structures. “Kelvin C” (black) has a linear growth and reaches 2.5 MJ/m3 at 25% deformation, while “Kelvin L” (red) shows higher efficiency with a rapid increase up to about 5. 5 MJ/m3 at 37% strain, and “Kelvin U” (blue) starts linear but improves its absorption after 15% strain, reaching 2.5 MJ/m3 at 37% strain; the error bars indicate variations in the measurements, with the “L” curve excelling in absorption capacity and “U” showing potential for resistance at higher strains. Finally, the energy absorption plots of “Tet oct vertex centroid C” (black) specimens show a linear increase reaching 4.4 MJ/m3 at 27% strain, “Tet oct vertex centroid L” (red) exhibits the highest efficiency with a steeper increase up to 6. 7 MJ/m3 at 34% strain, and “Tet oct vertex centroid U” (blue) starts similar to “C” but improves past 15% strain, reaching 5 MJ/m3 at 33% strain; the error bars indicate some variability in the measurements, with “L” excelling in energy absorption and “U” showing increasing potential with strain. Figure 10 presents the images of the specimens that failed after the compression test. In the case of the specimen with IsoTruss structure geometry, compression resulted in a deformation simulating a barrel, which is indicative of a localized barreling phenomenon. The observed vertical fractures are consistent with a non-uniform stress distribution. The FCC sample exhibited a detachment failure in the peripheral region, indicating a stress concentration and potential weakness in the three-dimensional network connections at the ends. This same image clearly shows the detachment of the material, which, in turn, allows us to deduce the areas of greatest vulnerability and load transfer in the lattice structure under study.
In the Kelvin-type structure, diagonal deformation—a characteristic of a shear pattern at approximately 45 degrees relative to the compression axis—was observed. The test image reveals how this deformation is uniformly distributed, which is indicative of a strength similar to the isotropic behavior of the material and the effectiveness of the Kelvin lattice design in distributing the stresses, the visualization of the failure, which shows four radial fracture lines, provides evidence for the hypothesis of stress concentrations at the junction points of the lattice structure. The Tet Oct Vertex Centroid specimen evidenced failure at a 60-degree angle, which could correspond to a fracture pattern under axial loading combined with a torsional effect. The symmetry of the fracture at four points around the cylinder indicates a homogeneous structural response and an equal distribution of internal stresses. The image demonstrates the effectiveness of the design in absorbing and distributing compressive forces.
Detailed analysis by scanning electron microscopy (SEM) has revealed distinctive features in the fracture surfaces of specimens with post-compression lattice configurations. The SEM analysis was performed using a Tescan® VEGA3 scanning electron microscope (Tescan, Brno, Czech Republic). The operational voltage for all images is the same SEM HV: 12.0 kV. The SEM images, characterized by their high resolution and depth of field, show the specific morphology of the fracture surfaces and the texture inherent to the 3D printing process used to fabricate the specimens. In Figure 11a,b, the level of finish is observed at 37× and 52× magnification, respectively, showing the typical roughness of the stereolithographic growth process, with failure patterns that suggest fragility in the cross-section of each of the posts of the material, due to the type of flat cut. In Figure 11c,d, the morphology of the relief attributed to the quality of the 3D printing is observed in greater detail. The configuration for the images included (a) View Field: 5.0 mm, SEM MAO: 27×, WD: 20.31 mm; (b) View Field: 4.0 mm, SEM MAO: 52×, WD: 18.94 mm; (c) View Field: 500 μm, SEM MAO: 415×, WD: 18.41 mm; (d) View Field: 151 μm, SEM MAO: 1.38k×, WD: 18.54 mm. The grayscale of the images denotes electron scattering, with lighter shades indicating areas of higher density and darker shades indicating lower scattering.
The center section of the image in Figure 11b shows visible fracture patterns and rough textures at the rupture surfaces. Fracture lines are noted as internal stress patterns, suggesting failure propagation from the edges towards the center, and material displacements indicating variations in structural strength along the cross-section. Figure 11c at 415× magnification allows detailed visualization of the abrupt fracture and stress patterns, while Figure 11d at 1.38k× magnification provides a high-resolution view of the surface morphology and individual layers of the impression, allowing visualization of the orientation of the layers; it is also observed that at the root of each impression layer, there is an initiation of fracture patterns, indicating that stress concentrations occur in this region. These detailed observations are fundamental to understanding the mechanical behavior of the material under compressive loading and the influence of the fabrication process on the strength and failure mode of 3D printed structures with the stereolithography technique.

4. Discussion

While this study demonstrates the feasibility and benefits of lattice cell structures, it also opens the way for future research in design optimization, improvement of fabrication processes, and exploration of new applications. Specifically, it raises the need to investigate further the relationship between structural configurations, fabrication conditions, and final mechanical behavior.
The stress–strain behavior of the lattice structures under compression for four different configurations and three density variation patterns: linear (L), quadratic (C), and uniform (U). The IsoTruss configuration exhibits the most distinct response among all tested geometries, demonstrating a clear correlation between density gradient and mechanical performance. Specifically, the “IsoTruss L” curve exhibits a steady increase in stress, followed by a sharp rise, reaching a maximum compressive strength of over 48 MPa at approximately 42% strain. The subsequent abrupt stress drop indicates the onset of structural instability and localized failure, likely due to buckling of the central struts.
In contrast, the “IsoTruss C” specimen, characterized by a quadratic density gradient, exhibits a more progressive load bearing response, attaining a peak strength of 32 MPa at 34% strain before a gradual decline. This suggests a more distributed failure mechanism, potentially involving sequential collapse of regions with lower density. The uniform density “IsoTruss U” configuration reaches a slightly higher maximum stress of 36 MPa at 44% strain, but the curve shows a smoother post peak decay, indicating a relatively ductile failure mode. These results imply that linear density gradation enhances stiffness and load capacity, whereas uniform and quadratic profiles promote more stable energy absorption under compression.
For the face-centered cubic (FCC) configurations, the stress–strain curves reveal considerably lower compressive strengths across all density variations, reflecting their intrinsically lower stiffness. The “Cubic Center Face L” specimen achieved a maximum of approximately 13 MPa at 25% strain, while the “Cubic Center Face C” and “Cubic Center Face U” reached peaks of about 9 MPa and 14 MPa, respectively. The early stress drops in the linear and quadratic configurations suggest premature instability due to stress concentration at nodal junctions. The uniform density FCC specimen, however, maintained load-bearing capacity up to 50% strain, implying better deformation tolerance despite its lower strength.
Overall, these findings highlight that the IsoTruss configuration with a linear density distribution exhibits superior mechanical behavior, achieving nearly five times the compressive strength of the weakest FCC configuration. The distinct trends observed across the density profiles emphasize the strong dependence of mechanical performance on both geometric design and density distribution. These results are consistent with previous studies that have demonstrated the benefits of graded density and hierarchical geometries in optimizing stiffness to weight ratios and improving energy absorption efficiency in additively manufactured lattices.
Failure can also be studied in a specimen with a reticulated configuration designed to be subjected to compression, which can be used to iteratively improve the design by adjusting the lattice geometry, material, or fabrication parameters in future tests.
However, important differences across studies deserve attention: base material and fabrication route: mechanical properties strongly depend on the material used (SLA resins vs. extrusion polymers or LPBF metals) and on manufacturing defects; scale and cell size: mechanical response changes with the relative cell size compared to overall specimen dimensions and with printer resolution; gradient patterns: while some works report clear benefits of linear concentric gradients in concentrating mass where needed, others find that advantages depend on loading regime and targeted metric (peak strength vs. energy absorption). For failure modes, the literature documents various failure mechanisms, including local buckling in slender elements, brittle fracture in stiff resins, and shear/delamination in lattices with weak nodal connections [51,52].
Methodologically, this study contributes by employing a full factorial design, enabling detection of interactions between cell geometry and density distribution that single-factor studies may miss. To extend and generalize these findings, future work should include: (i) finite element analysis calibrated with experimental data to broaden predictive capability; (ii) sensitivity studies on printing parameters and material properties; (iii) fractographic and SEM-mechanical correlation to elucidate initiation and propagation mechanisms; and (iv) testing in metallic or composite materials to assess the transferability of trends observed in SLA resins [53].
On the other hand, a detailed analysis of SEM images and their subsequent correlation with mechanical test data, according to the compression process, is a promising line of research. This research could provide a deeper understanding of the interactions at the microstructural level during load application. As a result, optimization strategies for 3D printing designs and parameters could be developed, with the goal of significantly improving structural integrity in various additive manufacturing applications.
Finally, exploring the results obtained in lattice structures in metallic or composite materials is highly relevant, given the current increase in the use of the stereolithographic growth process.

5. Conclusions

The 3D printing additive manufacturing technique, specifically stereolithography, has proven effective for creating complex structures based on lattice cells. This represents a significant contribution to determining the capabilities that this technique offers in additive manufacturing. Reticle cell structures offer the possibility of adjusting their mechanical properties, such as stiffness and strength, by varying the dimensions of the unit cells. This modification capability allows the optimization of materials for specific applications, maximizing efficiency in energy absorption and weight reduction.
Lattice structures manufactured using additive manufacturing present a wide range of emerging applications and research avenues to explore. For example, the systematic review “Lattice Structures in Additive Manufacturing for Biomedical Applications” highlights the significant opportunity these architectures offer for customized implants, regenerative bone scaffolds, and multifunctional biomedical devices. Similarly, the review “Additive Manufacturing and Influencing Factors of Lattice Structures: A Review” identifies key challenges, such as optimizing unitary topologies, designing with functional density gradients, and integrating multiple morphological modes, which pave the way for structurally efficient devices with adaptive mechanical responses. Therefore, a promising direction lies in the transition to hybrid structures or controlled density gradients, which allow for optimizing not only stiffness or energy absorption, but also damping, thermal response, and sensor integration. These structures could be applied in the aerospace sector (lightweight fatigue-resistant structures) or in automotive (impact-absorbing components), biomedical (implants with a modulus equivalent to bone) and energy systems (lightweight heat exchangers with high thermal conductivity).
In this work, we explored the configuration of various lattice structures, including IsoTruss, face-centered cubic (FCC)-type cells, Kelvin structures, and Tet oct vertex centroid, demonstrating that different geometries offer varied mechanical responses under load. This underscores the importance of selecting the right design to meet specific performance requirements.
The results of the study indicate that lattice cell-based structures have potential in various fields, such as biomedical engineering, lightweight construction, and the manufacture of advanced structural materials. This is due to their mechanical strength and efficiency in energy absorption and weight reduction, properties valued in sectors such as aerospace, automotive, and defense.
The research highlights the potential of lattice cell structures manufactured by stereolithography, offering a valuable alternative to the design, manufacture, and applicability in improving efficiency in energy absorption and weight reduction in advanced materials. The study showed, as a result, that the best structure was ¨IsoTruss¨ with density in a linear form, which presented the highest maximum stress with an average of 49.193 MPa, followed in second place by ¨IsoTruss¨ with density in a uniform form with a maximum stress of 36.485 MPa and in third place by ¨IsoTruss¨ with density in a quadratic form; the lowest maximum stress was found for Kelvin with density in a uniform form, obtaining a value of 8.669 MPa. These results suggest that the “IsoTruss” configuration is superior in terms of weight, stiffness, and compressive strength, with results up to 5 times higher than the minimum strength obtained in the present study.

Author Contributions

Substantial contributions to the conception of the experiments were carried out by M.L.P.G. and A.P.-S.; the methodology and statistical experimental design were mostly conceptualized by J.L.-R. and Y.B.-L.; project administration, J.A.R.O.; the analysis corresponding to the desirability function and optimization were performed by J.A.P.G. and D.T.M. All authors have read and agreed to the published version of the manuscript.

Funding

This research received no external funding.

Data Availability Statement

Data is contained within the article.

Acknowledgments

The authors thank the Science and Technology Secretariat of Science, Humanities, Technology, and Innovation, and the Autonomous University of Baja California for their support in the development of this study.

Conflicts of Interest

The authors declare no conflicts of interest.

Abbreviations

The following abbreviations are used in this manuscript:
SLMSelective Laser Melting
3DThree-Dimensional
TPMSTriple Periodic Minimal Surfaces
EEEquivalent Entity
MGSMeta Grain Structure
LPBFLaser Powder Bed Fusion
ABSAcrylonitrile Butadiene Styrene
FPUFlexible Polyurethane
TPUThermoplastic Polyurethane
PLAPolylactic Acid
DLPDigital Light Processing
LCDLiquid Crystal Display
SLAStereolithography
UVUltraviolet
FCCFace-Centered Cubic
SEMScanning Electron Microscopy
ASTMAmerican Society for Testing and Materials
MPaMegapascal
MJ/m3Megajoule per cubic meter

References

  1. Caiazzo, F.; Alfieri, V.; Campanelli, S.L.; Errico, V. Additive manufacturing and mechanical testing of functionally-graded steel strut-based lattice structures. J. Manuf. Process. 2022, 83, 717–728. [Google Scholar] [CrossRef]
  2. Korkmaz, M.E.; Gupta, M.K.; Robak, G.; Moj, K.; Krolczyk, G.M.; Kuntoğlu, M. Development of lattice structure with selective laser melting process: A state of the art on properties, future trends and challenges. J. Manuf. Process. 2022, 81, 1040–1063. [Google Scholar] [CrossRef]
  3. Wang, M.; Zhang, J.; Wang, W.; Gao, L. Compression behaviors of the bio-inspired hierarchical lattice structure with improved mechanical properties and energy absorption capacity. J. Mater. Res. Technol. 2022, 17, 2755–2771. [Google Scholar] [CrossRef]
  4. Traxel, K.D.; Groden, C.; Valladares, J.; Bandyopadhyay, A.; Keck, W.M. Mechanical properties of additively manufactured variable lattice structures of Ti6Al4V. Mater. Sci. Eng. A 2021, 809, 140925. [Google Scholar] [CrossRef]
  5. Wang, Y.J.; Feng, C.X.; Zhang, Z.J.; Qian, D.; Song, Z.X. Compressive Property of Additively-Manufactured Micro-Architectures with X-Type Lattice Unit Cell. Materials 2022, 15, 3815. [Google Scholar] [CrossRef]
  6. Park, M.; Venter, M.P.; Plessis, A.D. Simulation of the Compression Testing of Additively Manufactured Lattice Structures Using Inputs from Microcomputed Tomography. Mater. Des. Process. Commun. 2023, 2023, 8000727. [Google Scholar] [CrossRef]
  7. Wang, M.; Zhang, J.; Wang, W. Compression and Deformation Behaviors of Hierarchical Circular-Cell Lattice Structure with Enhanced Mechanical Properties and Energy Absorption Capacity. Aerospace 2022, 9, 786. [Google Scholar] [CrossRef]
  8. Ma, X.; Zhang, N.; Tian, X. A novel hybrid lattice structure for improving compression mechanical properties. Mech. Adv. Mater. Struct. 2023, 31, 5805–5822. [Google Scholar] [CrossRef]
  9. Arshad, A.B.; Nazir, A.; Jeng, J.Y. The effect of fillets and crossbars on mechanical properties of lattice structures fabricated using additive manufacturing. Int. J. Adv. Manuf. Technol. 2020, 111, 931–943. [Google Scholar] [CrossRef]
  10. Park, K.M.; Min, K.S.; Roh, Y.S. Design Optimization of Lattice Structures under Compression: Study of Unit Cell Types and Cell Arrangements. Materials 2021, 15, 97. [Google Scholar] [CrossRef]
  11. Xu, Y.; Han, G.; Huang, G.; Li, T.; Xia, J.; Guo, D. Properties Evaluations of Topology Optimized Functionally Graded Lattice Structures Fabricated by Selective Laser Melting. Materials 2023, 16, 1700. [Google Scholar] [CrossRef]
  12. Guo, S.; Ma, Y.; Liu, P.; Chen, Y. Mechanical Properties of Lattice Structures with a Central Cube: Experiments and Simulations. Materials 2024, 17, 1329. [Google Scholar] [CrossRef]
  13. Wei, Y.-P.; Yang, H.; Cheng, J.-C.; Gao, P.; Shi, J.; Lin, F.; Yu, B. Compression behavior of 316L lattice structures produced by indirect additive manufacturing. China Foundry 2023, 20, 83–88. [Google Scholar] [CrossRef]
  14. Teng, F.; Sun, Y.; Guo, S.; Gao, B.; Yu, G. Topological and Mechanical Properties of Different Lattice Structures Based on Additive Manufacturing. Micromachines 2022, 13, 1017. [Google Scholar] [CrossRef] [PubMed]
  15. Jin, M.; Feng, Q.; Fan, X.; Luo, Z.; Tang, Q.; Song, J.; Ma, S.; Nie, Y.; Jin, P.; Zhao, M. Investigation on the mechanical properties of TPMS porous structures fabricated by laser powder bed fusion. J. Manuf. Process. 2022, 76, 559–574. [Google Scholar] [CrossRef]
  16. Tripathi, Y.; Shukla, M.; Bhatt, A.D. Idealization through interactive modeling and experimental assessment of 3D-printed gyroid for trabecular bone scaffold. Proc. Inst. Mech. Eng. Part H 2021, 235, 1025–1034. [Google Scholar] [CrossRef] [PubMed]
  17. Kladovasilakis, N.; Tsongas, K.; Kostavelis, I.; Tzovaras, D.; Tzetzis, D. Effective mechanical properties of additive manufactured triply periodic minimal surfaces: Experimental and finite element study. Int. J. Adv. Manuf. Technol. 2022, 121, 7169–7189. [Google Scholar] [CrossRef]
  18. Liu, W.; Sang, L.; Zhang, Z.; Ju, S.; Wang, F.; Zhao, Y. Compression and resilient behavior of graded triply periodic minimal surface structures with soft materials fabricated by fused filament fabrication. J. Manuf. Process. 2023, 105, 1–13. [Google Scholar] [CrossRef]
  19. Catchpole-Smith, S.; Sélo, R.R.J.; Davis, A.W.; Ashcroft, I.A.; Tuck, C.J.; Clare, A. Thermal conductivity of TPMS lattice structures manufactured via laser powder bed fusion. Addit. Manuf. 2019, 30, 100846. [Google Scholar] [CrossRef]
  20. Kim, K.; Kim, G.H.; Kim, H.G.; Kim, H.J.; Kim, N. Customizing the mechanical properties of additively manufactured metallic meta grain structure with sheet-based gyroid architecture. Sci. Rep. 2022, 12, 19897. [Google Scholar] [CrossRef]
  21. Yang, X.; Gong, Y.; Zhao, L.; Zhang, J.; Hu, N. Compressive mechanical properties of layer hybrid lattice structures fabricated by laser powder bed fusion technique. J. Mater. Res. Technol. 2022, 22, 1800–1811. [Google Scholar] [CrossRef]
  22. Dave, H.K.; Karumuri, R.T.; Prajapati, A.R.; Rajpurohit, S.R. Specific energy absorption during compression testing of ABS and FPU parts fabricated using LCD-SLA based 3D printer. Rapid Prototyp. J. 2022, 28, 1530–1540. [Google Scholar] [CrossRef]
  23. Zhang, C.; Li, T.; Deng, Q.; Li, X. Compression Behavior of 3D Printed Polymer TPU Cubic Lattice Structure. Mater. Res. 2022, 25, e20220060. [Google Scholar] [CrossRef]
  24. Mathiazhagan, N.; Sivakumar, N.K.; Palaniyappan, S.; Rahaman, M. Influence of printing-based factors on the mechanical properties of hexagonal lattice-structured 3D printed novel walnut shell/polylactic acid composite. J. Thermoplast. Compos. Mater. 2023, 37, 713–742. [Google Scholar] [CrossRef]
  25. Egan, P.F.; Khatri, N.R.; Parab, M.A.; Arefin, A.M.E. Mechanics of 3D-Printed Polymer Lattices with Varied Design and Processing Strategies. Polymers 2022, 14, 5515. [Google Scholar] [CrossRef]
  26. Castanon-Jano, L.; Palomera-Obregon, P.; Blanco-Fernandez, E.; Indacoechea-Vega, I. Analysis of manufacturing and material parameters in 3D-printed polylactic acid (PLA) parts filled with glass powder: Mechanical, economic, and environmental assessment. Int. J. Adv. Manuf. Technol. 2023, 128, 1965–1979. [Google Scholar] [CrossRef]
  27. Bruson, D.; Galati, M.; Calignano, F.; Iuliano, L. Mechanical Characterisation and Simulation of the Tensile Behaviour of Polymeric Additively Manufactured Lattice Structures. Exp. Mech. 2023, 63, 1117–1133. [Google Scholar] [CrossRef]
  28. Hassan, I.M.; Enab, T.A.; Fouda, N.; Eldesouky, I. Design, fabrication, and evaluation of functionally graded triply periodic minimal surface structures fabricated by 3D printing. J. Braz. Soc. Mech. Sci. Eng. 2023, 45, 66. [Google Scholar] [CrossRef]
  29. Kalossaka, L.M.; Mohammed, A.A.; Sena, G.; Barter, L.; Myant, C. 3D printing nanocomposite hydrogels with lattice vascular networks using stereolithography. J. Mater. Res. 2021, 36, 4249–4261. [Google Scholar] [CrossRef]
  30. Schittecatte, L.; Geertsen, V.; Bonamy, D.; Nguyen, T.; Guenoun, P. From resin formulation and process parameters to the final mechanical properties of 3D printed acrylate materials. MRS Commun. 2023, 13, 357–377. [Google Scholar] [CrossRef]
  31. Xiao, R.; Ding, M.; Wang, Y.; Gao, L.; Fan, R.; Lu, Y. Stereolithography (SLA) 3D printing of carbon fiber-graphene oxide (CF-GO) reinforced polymer lattices. Nanotechnology 2021, 32, 235702. [Google Scholar] [CrossRef]
  32. Zeng, Y.S.; Hsueh, M.H.; Hsiao, T.C. Effect of ultraviolet post-curing, laser power, and layer thickness on the mechanical properties of acrylate used in stereolithography 3D printing. Mater. Res. Express 2023, 10, 025303. [Google Scholar] [CrossRef]
  33. Zhao, W.; Wang, C.; Xing, B.; Shen, M.; Zhao, Z. Mechanical properties of zirconia octet truss structures fabricated by DLP 3D printing. Mater. Res. Express 2020, 7, 085201. [Google Scholar] [CrossRef]
  34. Yang, J.; Chen, X.; Sun, Y.; Zhang, J.; Feng, C.; Wang, Y.; Wang, K.; Bai, L. Compressive properties of bidirectionally graded lattice structures. Mater. Des. 2022, 218, 110683. [Google Scholar] [CrossRef]
  35. Chen, W.; Gu, D.; Yang, J.; Yang, Q.; Chen, J.; Shen, X. Compressive mechanical properties and shape memory effect of NiTi gradient lattice structures fabricated by laser powder bed fusion. Int. J. Extrem. Manuf. 2022, 4, 045002. [Google Scholar] [CrossRef]
  36. Jiménez, A.I.H.; Herrera, J.D.J.K.; Macías, R.Y.; Valdez, A.E.G. Design and performance of 3D printed hybrid polymers exhibiting shape memory and self-healing via acrylate–epoxy–thiol–ene chemistry. Polymers 2025, 17, 2594. [Google Scholar] [CrossRef]
  37. Sanaka, R.; Sahu, S.K.; Sreekanth, P.S.R.; Giri, J.; Mohammad, F.; Al-Lohedan, H.A.; Saharudin, M.S.; Ma, Q. Heat responsive PLA/PU/MXene shape memory polymer blend nanocomposite: Mechanical, thermal, and shape memory properties. Polymers 2025, 17, 338. [Google Scholar] [CrossRef]
  38. Lin, Y.; Shi, W.; Li, J.; Liu, Y.; Liu, S.; Li, J. Evaluation of mechanical properties of Ti–6Al–4V BCC lattice structure with different density gradient variations prepared by L-PBF. Mater. Sci. Eng. A 2023, 872, 144986. [Google Scholar] [CrossRef]
  39. Almesmari, A.; Sheikh-Ahmad, J.; Jarrar, F.; Bojanampati, S. Optimizing the specific mechanical properties of lattice structures fabricated by material extrusion additive manufacturing. J. Mater. Res. Technol. 2023, 22, 1821–1838. [Google Scholar]
  40. Sun, J.; Gu, H.; Zhang, J.; Dai, G.; Li, B.; Sun, Z.; Liang, Z. Compressive Mechanical Properties of Lattice Structures with Varied Structural Parameters Prepared by Stereolithography. Materials 2025, 18, 3898. [Google Scholar] [CrossRef]
  41. Anycubic, “Photon M3 Max,” Anycubic Official Website. 2025. Available online: https://www.anycubic.es/products/photon-m3-max (accessed on 18 October 2025).
  42. ASTM D638-22; Standard Test Method for Tensile Properties of Plastics. ASTM International: West Conshohocken, PA, USA, 2022.
  43. ASTM D1621-16; Standard Test Method for Compressive Properties of Rigid Cellular Plastics. ASTM International: West Conshohocken, PA, USA, 2016.
  44. Anycubic Resinas. Available online: https://www.anycubic.es/collections/uv-resin?_sasdk=dMTk5Zjg4MDc5MWYxNWM1LTAzNDg1NzE2ZDM2NmU0NC0yNjA2MTk1MS0xMzI3MTA0LTE5OWY4ODA3OTIwMTAxOQ (accessed on 17 October 2025).
  45. Gonçalves, V.P.D.; Vieira, C.M.F.; Simonassi, N.T.; Lopes, F.P.D.; Youssef, G. Evaluation of Mechanical Properties of ABS-like Resin for Stereolithography Versus ABS for Fused Deposition Modeling in Three-Dimensional Printing Applications for Odontology. Polymers 2024, 16, 2921. [Google Scholar] [CrossRef]
  46. Iftekar, S.F.; Aabid, A.; Amir, A.; Baig, M. Advancements and Limitations in 3D Printing Materials: A Review of Current Trends. Polymers 2023, 15, 2519. [Google Scholar] [CrossRef] [PubMed]
  47. Golhin, A.P.; Tonello, R.; Frisvad, J.R.; Grammatikos, S.; Strandlie, A. Surface Roughness of As-Printed Polymers: A Comprehensive Review. Int. J. Adv. Manuf. Technol. 2023, 127, 987–1043. [Google Scholar] [CrossRef]
  48. Song, K.; Li, D.; Liu, T.; Zhang, C.; Xie, Y.M.; Liao, W. Crystal-twinning inspired lattice metamaterial for high stiffness, strength, and toughness. Mater. Des. Mater. Des. 2022, 221, 110916. [Google Scholar] [CrossRef]
  49. Yang, H.; Cao, X.; Zhang, Y.; Li, Y. 3D-printed bioinspired cage lattices with defect-tolerant mechanical properties. Addit. Manuf. 2024, 82, 104036. [Google Scholar] [CrossRef]
  50. Zhang, T.; Cao, X.; Niu, H.; Du, X.; Guan, Y.; He, C.; Yang, H.; Zhu, R.; Li, Y. Metallic plate-lattice and epoxy interpenetrating phase composites for superior behavioral characteristics. Compos. Struct. 2025, 363, 119122. [Google Scholar] [CrossRef]
  51. Novak, M. A systematic review of design for additive manufacturing of aerospace lattice structures: Trends, applications, and future directions. Addit. Manuf. Lett. 2024, 7, 100–115. [Google Scholar]
  52. Amaechi, E.; Singh, S.; Boakye, A.T. Scientometric review for research patterns on additive manufacturing of lattice structures. J. Manuf. Process. 2022, 80, 5323. [Google Scholar] [CrossRef]
  53. Zuo, Z.; Liu, H.; Zhao, Y. Reliability study of additively manufactured lattice structures: Correlation between geometry defects, fatigue life, and failure rates. Addit. Manuf. 2021, 47, 102310. [Google Scholar]
Figure 1. Configuration of lattice cell geometries.
Figure 1. Configuration of lattice cell geometries.
Jmmp 09 00354 g001
Figure 2. ASTM D638 type I test sample.
Figure 2. ASTM D638 type I test sample.
Jmmp 09 00354 g002
Figure 3. (a) Printed test specimens; (b) Test specimen placed in tensile testing equipment.
Figure 3. (a) Printed test specimens; (b) Test specimen placed in tensile testing equipment.
Jmmp 09 00354 g003
Figure 4. (a) Stress–strain plot, (b) Stress–strain plot of the average of the five samples with error bars.
Figure 4. (a) Stress–strain plot, (b) Stress–strain plot of the average of the five samples with error bars.
Jmmp 09 00354 g004
Figure 5. Top images represent views of the lattice cells captured with a digital microscope at 40× magnification, while the bottom images display isometric views of the fabricated parts corresponding to the different structural configurations.
Figure 5. Top images represent views of the lattice cells captured with a digital microscope at 40× magnification, while the bottom images display isometric views of the fabricated parts corresponding to the different structural configurations.
Jmmp 09 00354 g005
Figure 6. Deformation behavior at various compression percentages.
Figure 6. Deformation behavior at various compression percentages.
Jmmp 09 00354 g006
Figure 7. Stress–strain behavior for the different configurations.
Figure 7. Stress–strain behavior for the different configurations.
Jmmp 09 00354 g007
Figure 8. The upper image displays the stress graph for each piece, and the lower image shows the modulus of elasticity.
Figure 8. The upper image displays the stress graph for each piece, and the lower image shows the modulus of elasticity.
Jmmp 09 00354 g008
Figure 9. Energy of absorption—deformation for the different configurations.
Figure 9. Energy of absorption—deformation for the different configurations.
Jmmp 09 00354 g009
Figure 10. Failure behavior for different configurations.
Figure 10. Failure behavior for different configurations.
Jmmp 09 00354 g010
Figure 11. Scanning Electron Microscopy images showing the different morphologies in the fault zones at different magnifications: (a) 37×; (b) 52×; (c) 415×; (d) 1.38k×.
Figure 11. Scanning Electron Microscopy images showing the different morphologies in the fault zones at different magnifications: (a) 37×; (b) 52×; (c) 415×; (d) 1.38k×.
Jmmp 09 00354 g011
Table 1. Factorial runs of the experimental study.
Table 1. Factorial runs of the experimental study.
Number of ConfigurationReticule Configuration (Variable A)Density Change (Variable B)Density
[mm]
1IsoTrussUniform1.5
2IsoTrussLinear1.0–2.0
3IsoTrussQuadratic1.0–2.0
4Face Center CubicUniform1.5
5Face Center CubicLinear1.0–2.0
6Face Center CubicQuadratic1.0–2.0
7KelvinUniform1.5
8KelvinLinear1.0–2.0
9KelvinQuadratic1.0–2.0
10Tet oct vertex centroidUniform1.5
11Tet oct vertex centroidLinear1.0–2.0
12Tet oct vertex centroidQuadratic1.0–2.0
Table 2. Comparison of designed masses with manufactured masses.
Table 2. Comparison of designed masses with manufactured masses.
TypeDensityDesign Mass [g]Real Mass [g]Relative Error [%]
IsoTrussUniform15.42615.966 ± 0.0593.563
IsoTrussLinear17.67318.194 ± 0.0482.863
IsoTrussQuadratic15.31916.049 ± 0.1124.548
Tet oct vertex centroidUniform15.09915.628 ± 0.0753.384
Tet oct vertex centroidLinear17.37317.966 ± 0.0603.300
Tet oct vertex centroidQuadratic15.04515.685 ± 0.0274.080
Cubic Center FaceUniform11.08711.444 ± 0.0183.119
Cubic Center FaceLinear13.02013.409 ± 0.1032.901
Cubic Center FaceQuadratic11.15111.532 ± 0.0223.015
KelvinUniform10.37310.763 ±0.0493.623
KelvinLinear12.07612.480 ± 0.0393.244
KelvinQuadratic10.369310.884 ± 0.0654.731
Table 3. Mechanical resistance behavior.
Table 3. Mechanical resistance behavior.
TypeDensityE [MPa]Yield Stress [MPa]Maximum Stress [MPa]
IsoTrussUniform368.778 ± 19.07210.270 ± 0.63336.485 ± 0.490
IsoTrussLinear613.970 ± 43.16222.646 ± 0.81249.193 ± 1.134
IsoTrussQuadratic528.890 ± 5.50718.975 ± 0.22032.452 ± 0.5194
Tet oct vertex centroidUniform320.344 ± 45.18012.614 ± 0.22819.131 ± 0.6234
Tet oct vertex centroidLinear456.096 ± 16.51916.697 ± 0.64625.348 ± 0.935
Tet oct vertex centroidQuadratic476.736 ± 18.30317.90 1± 0.69019.831 ± 0.854
Cubic Center FaceUniform156.420 ± 3.6035.991 ± 0.50014.476 ± 1.667
Cubic Center FaceLinear313.228 ± 13.15412.991 ± 0.45716.188 ± 0.927
Cubic Center FaceQuadratic241.290 ± 13.8029.347 ± 0.13510.600 ± 0.211
KelvinUniform212.504 ± 9.2166.387 ± 0.3698.669 ± 0.345
KelvinLinear366.674 ± 5.78412.706 ± 0.40218.846 ± 1.511
KelvinQuadratic319.454 ± 5.46911.075 ± 0.09211.447 ± 0.252
Disclaimer/Publisher’s Note: The statements, opinions and data contained in all publications are solely those of the individual author(s) and contributor(s) and not of MDPI and/or the editor(s). MDPI and/or the editor(s) disclaim responsibility for any injury to people or property resulting from any ideas, methods, instructions or products referred to in the content.

Share and Cite

MDPI and ACS Style

Paz González, M.L.; Limon-Romero, J.; Baez-Lopez, Y.; Tlapa Mendoza, D.; Ruiz Ochoa, J.A.; Paz González, J.A.; Perez-Sanchez, A. Optimization and Evaluation of Mechanical Properties in Lattice Structures Fabricated by Stereolithography. J. Manuf. Mater. Process. 2025, 9, 354. https://doi.org/10.3390/jmmp9110354

AMA Style

Paz González ML, Limon-Romero J, Baez-Lopez Y, Tlapa Mendoza D, Ruiz Ochoa JA, Paz González JA, Perez-Sanchez A. Optimization and Evaluation of Mechanical Properties in Lattice Structures Fabricated by Stereolithography. Journal of Manufacturing and Materials Processing. 2025; 9(11):354. https://doi.org/10.3390/jmmp9110354

Chicago/Turabian Style

Paz González, Mauricio Leonel, Jorge Limon-Romero, Yolanda Baez-Lopez, Diego Tlapa Mendoza, Juan Antonio Ruiz Ochoa, Juan Antonio Paz González, and Armando Perez-Sanchez. 2025. "Optimization and Evaluation of Mechanical Properties in Lattice Structures Fabricated by Stereolithography" Journal of Manufacturing and Materials Processing 9, no. 11: 354. https://doi.org/10.3390/jmmp9110354

APA Style

Paz González, M. L., Limon-Romero, J., Baez-Lopez, Y., Tlapa Mendoza, D., Ruiz Ochoa, J. A., Paz González, J. A., & Perez-Sanchez, A. (2025). Optimization and Evaluation of Mechanical Properties in Lattice Structures Fabricated by Stereolithography. Journal of Manufacturing and Materials Processing, 9(11), 354. https://doi.org/10.3390/jmmp9110354

Article Metrics

Back to TopTop