- Review
Advancements in Vibration Testing: Effects on Thermal Performance and Degradation of Modern Batteries
- Khursheed Sabeel,
- Maher Al-Greer and
- Imran Bashir
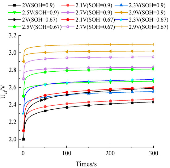
Lithium-ion cells are increasingly being used as central power storage systems for modern applications, i.e., e-bikes, electric vehicles (EVs), satellites, and spacecraft, and they face significant and constant vibrations. This review examines how th...

