Temperature-Dependent FTIRS Study of Manganese Oxide Spinel Obtained by Solution Combustion Synthesis (SCS) for Supercapacitor Applications
Abstract
1. Introduction
2. Materials and Methods
2.1. Synthesis of Mn Oxides
2.2. Physicochemical Characterization of Manganese Oxides
2.3. Electrochemical Measurements
2.3.1. Ink Preparation
2.3.2. Ink Deposition on Glassy Carbon Rod
2.3.3. Three-Electrode Cell Set-Up
3. Results
3.1. Mechanism of Conventional Nitrate–Glycine Synthesis
3.1.1. FTIR and TGA Analysis of Decomposition Processes
3.1.2. Mn(II) Nitrate
3.1.3. Glycine
3.1.4. Nitrate–Glycine Dried Solid Mixture (φ = 1)
3.2. Analysis of the Products of SCS with Nitrate–Glycine Mixture
- MnO2: ambient to t °C < 461 °C;
- Mn2O3: 461 °C < t °C < 755 °C;
- Mn3O4: 755 °C < t °C < 1292 °C;
- MnO: above 1292 °C.
3.3. SCS Synthesis with Ammonium Citrate: Nitrate–Citrate, Nitrate–Citrate–Glycine, and Nitrate–Citrate–Urea
3.3.1. Thermal Stability Studies with Nitrate–Citrate, Nitrate–Citrate–Glycine, and Nitrate–Citrate–Urea SCS Mixtures
3.3.2. Solution Combustion Synthesis with Ammonium Citrate
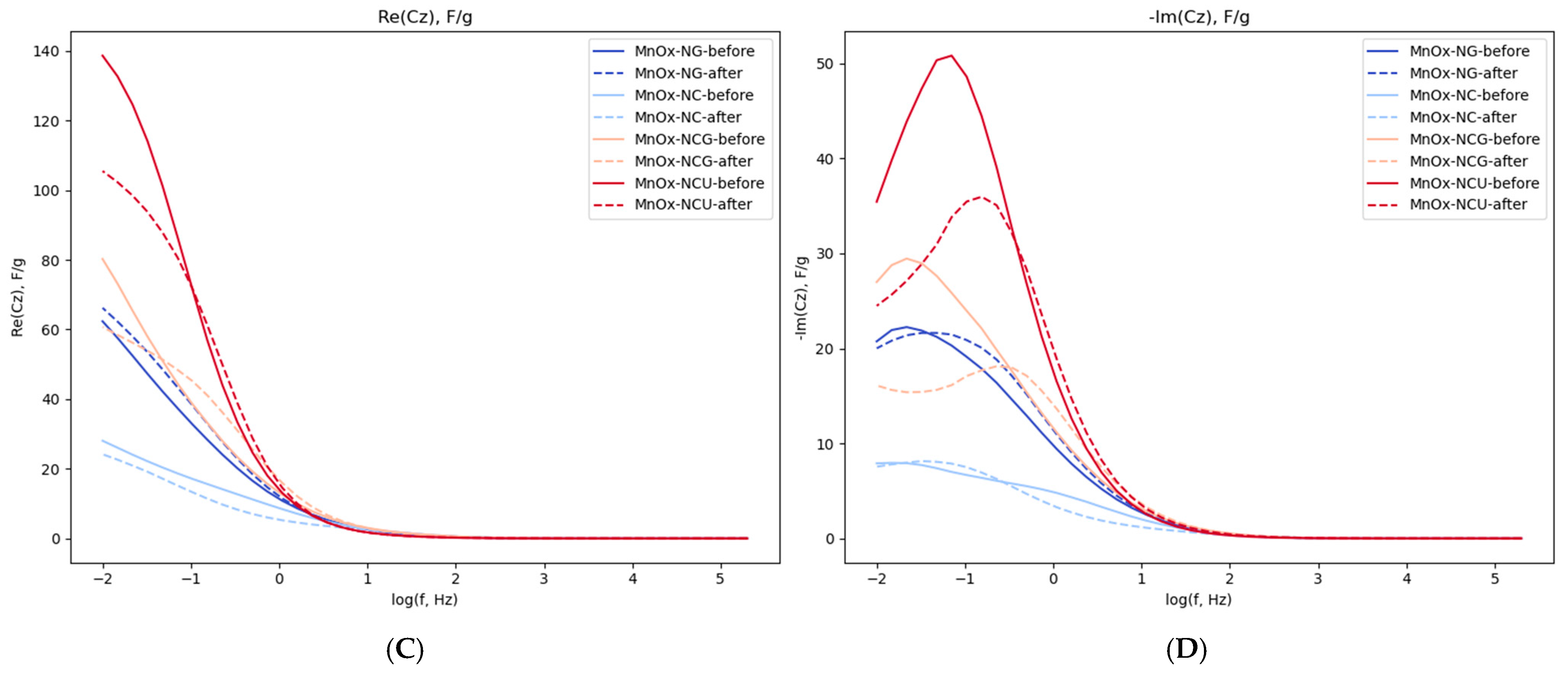
3.4. Electrochemical Properties of Mn Oxides Prepared by SCS
4. Discussion
4.1. Nitrate–Glycine Synthesis
- During slow evaporation of the solvent from the nitrate and glycine mixed solution, the glycine complex of Mn(II) is formed, either [Mn(gly)(H2O)2](NO3)2 or [Mn(gly)(H2O)4](NO3)2. Formation of this complex ensures fine and uniform mixing of the components of the SCS mixture.
- The glycine complexes of Mn(II) are thermodynamically less stable than complexes of other transition metals [31,32] and easily decompose upon heating [18]. The decomposition of this complex follows up its partial dehydration, and occurs at a temperature of 160–170 °C, which is below the decomposition of pure glycine (220 °C). It has been previously reported that decomposition of a dried Mn nitrate–glycine mixture also occurs at a lower temperature compared with pure glycine under an inert atmosphere [26].
- In comparison with a decomposition of pure nitrate and glycine, the first step of the decomposition of the dried mixture is fast, and results in the formation of a large number of gas products. One may assume the “autocatalytic” mechanism of glycine/nitrate decomposition with the formation of the glycine complex of Mn(II) as a catalytic intermediate. The fast kinetics of glycine–nitrate decomposition may be an indication of the lowering of activation energy of this reaction, which is otherwise relatively high for both nitrate (210 kJ/mol) and glycine (155 kJ/mol) decompositions.
4.2. Analysis of the Products of SCS with Nitrate–Glycine Mixture
- The formation of a mixture of oxides can be attributed to the partial reduction of Mn3O4 to MnO, indicating a high temperature generated during the SCS decomposition reaction: at p(O2) = 1 bar, MnO formation is detected only above 820 °C (Figure 1B). MnO remains a minor product due to the effective evacuation of generated heat by the formed gaseous products. However, if Mn2O3 or Mn3O4 oxide reduction to MnO is the main source of this oxide, one would expect its systematically higher content formed with a higher φ value (due to a higher reaction temperature), which was not experimentally observed.
- The alternative explanation of the formation of MnO as an SCS product is the precipitation of Mn(OH)2 hydroxide due to the hydrolysis of Mn(II) nitrate during the solution evaporation. The pH of the solution of Mn(II) nitrate is slightly acidic (pH = 4.6), both in the absence and in the presence of glycine, and thus no precipitation of Mn(OH)2 (pKb = 12.7) is expected from the nitrate solution. However, Mn(II) hydroxide may be precipitated during the evaporation of the solvent due its much lower solubility compared with nitrate (0.34 mg/100 mL and 118 g/100 mL, respectively). The precipitated Mn(OH)2 hydroxide is then decomposed during the SCS reaction to MnO. The latter is not oxidized to higher oxides due to the oxygen-lean atmosphere within the SCS reaction.
4.3. SCS Synthesis with Ammonium Citrate: Nitrate–Citrate, Nitrate–Citrate–Glycine, and Nitrate–Citrate–Urea Mixtures
- In all three cases (Mn nitrate–citrate, nitrate–citrate–glycine, and nitrate–citrate–urea) only one crystalline oxide phase was detected, despite slower kinetics of decomposition and less uniform conditions of reaction propagation, compared with nitrate–glycine synthesis. This observation supports the assumption that the main source of inhomogeneity in the final products of SCS is the formation of various forms of Mn precursors, such as metal complexes, dried salt, and hydroxide, during the slow step of solvent evaporation. In the presence of citrate in the solution, Mn forms a strong and stable complex with citrate ligands, which uniformly precipitates after solvent evaporation.
- In the case of ammonium citrate being the only fuel of the SCS process, the only product of the reaction is Mn2O3 (Figure 6A), while, in the presence of glycine and urea in the mixture, only Mn3O4 is formed. It can be argued that the presence of glycine or urea allows a higher temperature to be reached during the SCS reaction; alternatively, the decomposition of the intermediates of glycine or urea decomposition consumes oxygen, resulting in a lower local partial pressure, p(O2). Both factors favor the formation of a more reduced oxide, namely Mn3O4.
- XRD estimation of crystallite size, measurements of specific surface area, and SEM images point to a smaller particle size in the case of nitrate–citrate–urea compared with the nitrate–citrate–glycine mixture. We attribute this effect to faster kinetics of the second step of decomposition of the nitrate–citrate–urea mixture, in which case the formation of a larger number of smaller particles is favored, while particles are less sintered due to a shorter reaction time. In both nitrate–citrate–glycine and nitrate–citrate–urea synthesis, the particles are more sintered than in the case of nitrate–glycine synthesis, due to much faster reaction propagation and heat dissipation in the latter case.
4.4. Electrochemical Properties of Mn Oxides Prepared by SCS
- The MnOx-NG sample consists of relatively large (ca. 20 nm) particles, which are not strongly sintered because of the explosive character of the SCS reaction. The explosive character of the SCS process is related to the formation of a weak complex between Mn(II) nitrate and glycine, which is easily decomposed upon heating and provides a significant exothermic effect for instantaneous self-propagation of the reaction. The final oxide product contains ca. 20%mol. of MnO and 80% of Mn3O4, and the presence of MnO is related to the hydrolysis of Mn nitrate during the slow evaporation of solvent before the SCS reaction. The MnOx-NG electrode shows moderate charge capacitance (70 F/g at 2 A/g discharge) and a very stable performance. MnO oxide is not stable in 1 M NaOH and forms hydroxide, which does not contribute to the charge capacitance; however, its presence allows the prevention of dissolution of Mn3O4 oxide upon reduction in the form of Mn hydroxide, which is the main mechanism of this material degradation. The capacitance can be further significantly improved by forming a composite with carbon materials, as it is demonstrated in previous studies [8].
- The MnOx-NC sample consists of Mn2O3 oxide particles of ca. 20 nm, slightly sintered. Citrate forms a stronger complex with Mn(II), and its decomposition is not sufficiently exothermic to generate a temperature sufficient for Mn3O4 formation, which requires ca. 950 °C at p(O2) = 0.3 bar. MnOx-NC oxide demonstrates a low charge capacitance in 1 M NaOH (initially 22 F/g at 2 A/g), which is fast degrading upon galvanostatic cycling. The degradation cannot be explained only by possible dissolution of Mn oxide, but suggests changes in surface structure or composition, which may result in a strong increase in contact interparticle resistance.
- Addition of an equimolar amount of a fuel, either glycine (MnOx-NCG) or urea (MnOx-NCU), to the Mn(II) nitrate–ammonium citrate mixture allows an increase in the exothermic effect of the reaction and Mn3O4 oxide nanoparticles to be obtained. Formation of MnO is suppressed by the presence of citrate. The SCS reaction in these cases is slower than in the case of MnOx-NG, and takes a few seconds. The reaction is slower in the case of the nitrate–citrate–glycine mixture in comparison with the nitrate–citrate–urea mixture, which is explained by possible interactions between the intermediates of citrate and glycine decomposition. The slower rate of reaction results in more sintered particles in comparison with MnOx-NG synthesis. Nevertheless, MnOx-NCU oxide demonstrates the highest charge capacitance due to strong and fast pseudocapacitance phenomena (130 F/g at 2 A/g). The high capacitance of this oxide can be explained by its relatively high SSA, providing a fast charging rate and moderate sintering of particles, decreasing the interparticle contact resistance. Upon cycling, the capacitance of both MnOx-NCG and MnOx-NCU, after the initial increase within the first 100 cycles, slowly decays, resulting from the dissolution of Mn3O4 upon reduction in the form of Mn(II) hydroxide. Further study of the mechanism of dissolution of Mn3O4 particles upon their electrochemical performance is needed to develop the strategy to avoid their degradation.
5. Conclusions
Supplementary Materials
Author Contributions
Funding
Data Availability Statement
Acknowledgments
Conflicts of Interest
References
- Tarascon, J.M.; Armand, M. Issues and Challenges Facing Rechargeable Lithium Batteries. Nature 2001, 414, 359–367. [Google Scholar] [CrossRef] [PubMed]
- Poizot, P.; Laruelle, S.; Grugeon, S.; Dupont, L.; Tarascon, J.M. Nano-Sized Transition-Metal Oxides as Negative-Electrode Materials for Lithium-Ion Batteries. Nature 2000, 407, 496–499. [Google Scholar] [CrossRef] [PubMed]
- Lin, Z.; Goikolea, E.; Balducci, A.; Naoi, K.; Taberna, P.L.; Salanne, M.; Yushin, G.; Simon, P. Materials for Supercapacitors: When Li-Ion Battery Power Is Not Enough. Mater. Today 2018, 21, 419–436. [Google Scholar] [CrossRef]
- Thackeray, M.M. Manganese Oxides for Lithium Batteries. Prog. Solid State Chem. 1997, 25, 1–71. [Google Scholar] [CrossRef]
- Thackeray, M.M. Exploiting the Spinel Structure for Li-Ion Battery Applications: A Tribute to John B. Goodenough. Adv. Energy Mater. 2021, 11, 2001117. [Google Scholar] [CrossRef]
- Shah, H.U.; Wang, F.; Toufiq, A.M.; Khattak, A.M.; Iqbal, A.; Ghazi, Z.A.; Ali, S.; Li, X.; Wang, Z. Electrochemical Properties of Single-Crystalline Mn3O4 Nanostructures and Their Capacitive Performance in Basic Electrolyte. Int. J. Electrochem. Sci. 2016, 11, 8155–8162. [Google Scholar] [CrossRef]
- Shah, H.U.; Wang, F.; Toufiq, A.M.; Ali, S.; Khan, Z.U.H.; Li, Y.; Hu, J.; He, K. Electrochemical Properties of Controlled Size Mn3O4 Nanoparticles for Supercapacitor Applications. J. Nanosci. Nanotechnol. 2018, 18, 719–724. [Google Scholar] [CrossRef]
- Kerangueven, G.; Faye, J.; Royer, S.; Pronkin, S.N. Electrochemical Properties and Capacitance of Hausmannite Mn3O4—Carbon Composite Synthesized by in Situ Autocombustion Method. Electrochim. Acta 2016, 222, 755–764. [Google Scholar] [CrossRef]
- Wang, J.-G.; Jin, D.; Zhou, R.; Li, X.; Liu, X.; Shen, C.; Xie, K.; Li, B.; Kang, F.; Wei, B. Highly Flexible Graphene/Mn3O4 Nanocomposite Membrane as Advanced Anodes for Li-Ion Batteries. ACS Nano 2016, 10, 6227–6234. [Google Scholar] [CrossRef]
- Wang, H.; Cui, L.-F.; Yang, Y.; Sanchez Casalongue, H.; Robinson, J.T.; Liang, Y.; Cui, Y.; Dai, H. Mn3O4−Graphene Hybrid as a High-Capacity Anode Material for Lithium Ion Batteries. J. Am. Chem. Soc. 2010, 132, 13978–13980. [Google Scholar] [CrossRef]
- Dosaev, K.A.; Istomin, S.Y.; Strebkov, D.A.; Tsirlina, G.A.; Antipov, E.V.; Savinova, E.R. AMn2O4 Spinels (A-Li, Mg, Mn, Cd) as ORR Catalysts: The Role of Mn Coordination and Oxidation State in the Catalytic Activity and Their Propensity to Degradation. Electrochim. Acta 2022, 428, 140923. [Google Scholar] [CrossRef]
- Patil, K.C.; Aruna, S.T.; Mimani, T. Combustion Synthesis: An Update. Curr. Opin. Solid State Mater. Sci. 2002, 6, 507–512. [Google Scholar] [CrossRef]
- Chick, L.A.; Pederson, L.R.; Maupin, G.D.; Bates, J.L.; Thomas, L.E.; Exarhos, G.J. Glycine-Nitrate Combustion Synthesis of Oxide Ceramic Powders. Mater. Lett. 1990, 10, 6–12. [Google Scholar] [CrossRef]
- Kingsley, J.J.; Suresh, K.; Patil, K.C. Combustion Synthesis of Fine-Particle Metal Aluminates. J. Mater. Sci. 1990, 25, 1305–1312. [Google Scholar] [CrossRef]
- Manoharan, S.S.; Patil, K.C. Combustion Synthesis of Metal Chromite Powders. J. Am. Ceram. Soc. 1992, 75, 1012–1015. [Google Scholar] [CrossRef]
- Arul Dhas, N.; Patil, K.C. Combustion Synthesis and Properties of Fine Particle Spinel Manganites. J. Solid State Chem. 1993, 102, 440–445. [Google Scholar] [CrossRef]
- Varma, A.; Mukasyan, A.S.; Rogachev, A.S.; Manukyan, K.V. Solution Combustion Synthesis of Nanoscale Materials. Chem. Rev. 2016, 116, 14493–14586. [Google Scholar] [CrossRef]
- Mrozek, R.; Rz, Z. Thermal Analysis of Manganese(II) Complexes With Glycine. J. Therm. Anal. Calorim. 2001, 63, 839–846. [Google Scholar] [CrossRef]
- Khaliullin, S.M.; Zhuravlev, V.D.; Bamburov, V.G. Solution-Combustion Synthesis of Oxide Nanoparticles from Nitrate Solutions Containing Glycine and Urea: Thermodynamic Aspects. Int. J. Self-Propag. High-Temp. Synth. 2016, 25, 139–148. [Google Scholar] [CrossRef]
- Vratny, F. Infrared Spectra of Metal Nitrates. Appl. Spectrosc. 1959, 13, 59–70. [Google Scholar] [CrossRef]
- Laulicht, I.; Pinchas, S.; Samuel, D.; Wasserman, I. The Infrared Absorption Spectrum of Oxygen-18-Labeled Glycine. J. Phys. Chem. 1966, 70, 2719–2725. [Google Scholar] [CrossRef] [PubMed]
- Kumar, S.; Rai, A.K.; Singh, V.B.; Rai, S.B. Vibrational Spectrum of Glycine Molecule. Spectrochim. Acta Part A Mol. Biomol. Spectrosc. 2005, 61, 2741–2746. [Google Scholar] [CrossRef] [PubMed]
- Popov, D.; Herak, R.; Prelesnik, B.; Ribar, B. The Crystal Structure of Manganese Nitrate Tetrahydrate Mn(NO3)2 · 4H2O. Z. Für Krist. Cryst. Mater. 1973, 137, 280–289. [Google Scholar] [CrossRef]
- Nakamoto, K. Applications in Coordination Chemistry. In Infrared and Raman Spectra of Inorganic and Coordination Compounds; John Wiley & Sons, Ltd.: Hoboken, NJ, USA, 2008; pp. 1–273. ISBN 978-0-470-40588-8. [Google Scholar]
- Devereux, M.; Jackman, M.; McCann, M.; Casey, M. Preparation and Catalase-Type Activity of Manganese(II) Amino Acid Complexes. Polyhedron 1998, 17, 153–158. [Google Scholar] [CrossRef]
- Komova, O.V.; Mukha, S.A.; Ozerova, A.M.; Odegova, G.V.; Simagina, V.I.; Bulavchenko, O.A.; Ishchenko, A.V.; Netskina, O.V. The Formation of Perovskite during the Combustion of an Energy-Rich Glycine–Nitrate Precursor. Materials 2020, 13, 5091. [Google Scholar] [CrossRef]
- Hegedüs, A.J.; Horkay, K.; Székely, M.; Stefániay, W. Thermogravimetrische Untersuchung der Mangan(II)-oxid-Pyrolyse. Mikrochim. Acta 1966, 54, 853–864. [Google Scholar] [CrossRef]
- Greenberg, J.; Hallgren, L.J. Infrared Absorption Spectra of Alkali Metal Nitrates and Nitrites above and below the Melting Point. J. Chem. Phys. 1960, 33, 900–902. [Google Scholar] [CrossRef]
- Gallagher, P.K.; Schrey, F.; Prescott, B. The Thermal Decomposition of Aqueous Manganese (II) Nitrate Solution. Thermochim. Acta 1971, 2, 405–412. [Google Scholar] [CrossRef]
- Huang, M.; Lv, S.; Zhou, C. Thermal Decomposition Kinetics of Glycine in Nitrogen Atmosphere. Thermochim. Acta 2013, 552, 60–64. [Google Scholar] [CrossRef]
- Casale, A.; De Robertis, A.; De Stefano, C.; Gianguzza, A.; Patanè, G.; Rigano, C.; Sammartano, S. Thermodynamic Parameters for the Formation of Glycine Complexes with Magnesium(II), Calcium(II), Lead(II), Manganese(II), Cobalt(II), Nickel(II), Zinc(II) and Cadmium(II) at Different Temperatures and Ionic Strengths, with Particular Reference to Natural Fluid Conditions. Thermochim. Acta 1995, 255, 109–141. [Google Scholar] [CrossRef]
- Yamashita, H.; Nozaki, T.; Fukuda, Y.; Kabata, T. A Polarographic Study of the Glycine Complexes of Copper(II), Lead(II), Cadmium(II), and Manganese(II). Bull. Chem. Soc. Jpn. 1991, 64, 697–698. [Google Scholar] [CrossRef]
- Wen, W.; Wu, J.-M. Nanomaterials via Solution Combustion Synthesis: A Step Nearer to Controllability. RSC Adv. 2014, 4, 58090–58100. [Google Scholar] [CrossRef]
- Fritsch, S.; Navrotsky, A. Thermodynamic Properties of Manganese Oxides. J. Am. Ceram. Soc. 1996, 79, 1761–1768. [Google Scholar] [CrossRef]
- Matzapetakis, M.; Karligiano, N.; Bino, A.; Dakanali, M.; Raptopoulou, C.P.; Tangoulis, V.; Terzis, A.; Giapintzakis, J.; Salifoglou, A. Manganese Citrate Chemistry: Syntheses, Spectroscopic Studies, and Structural Characterizations of Novel Mononuclear, Water-Soluble Manganese Citrate Complexes. Inorg. Chem. 2000, 39, 4044–4051. [Google Scholar] [CrossRef]
- Deng, Y.F.; Zhou, Z.H. Manganese Citrate Complexes: Syntheses, Crystal Structures and Thermal Properties. J. Coord. Chem. 2009, 62, 778–788. [Google Scholar] [CrossRef]
- Strouse, J.; Layten, S.W.; Strouse, C.E. Structural Studies of Transition Metal Complexes of Triionized and Tetraionized Citrate. Models for the Coordination of the Citrate Ion to Transition Metal Ions in Solution and at the Active Site of Aconitase. J. Am. Chem. Soc. 1977, 99, 562–572. [Google Scholar] [CrossRef]
- Wang, W.; Zhang, X.; Chen, F.; Ma, C.; Chen, C.; Liu, Q.; Liao, D.; Li, L. Homo- and Hetero-Metallic Manganese Citrate Complexes: Syntheses, Crystal Structures and Magnetic Properties. Polyhedron 2005, 24, 1656–1668. [Google Scholar] [CrossRef]
- Feick, G.; Hainer, R.M. On the Thermal Decomposition of Ammonium Nitrate. Temperatures and Reaction Rate. J. Am. Chem. Soc. 1954, 698, 5860–5863. [Google Scholar] [CrossRef]
- Chaturvedi, S.; Dave, P.N. Review on Thermal Decomposition of Ammonium Nitrate. J. Energetic Mater. 2013, 31, 1–26. [Google Scholar] [CrossRef]
- Babrauskas, V.; Leggett, D. Thermal Decomposition of Ammonium Nitrate. Fire Mater. 2019, 44, 1–19. [Google Scholar] [CrossRef]
- Grzybowski, A.K.; Tate, S.S.; Datta, S.P. Magnesium and Manganese Complexes of Citric and Isocitric Acids. J. Chem. Soc. A 1970, 241–245. [Google Scholar] [CrossRef]
- Wheatley, A.M.; Kaduk, J.A. Crystal Structures of Ammonium Citrates. Powder Diffr. 2019, 34, 35–43. [Google Scholar] [CrossRef]
- Barbooti, M.M.; Dhoaib, A.-S.A. Thermal Decomposition of Citric Acid. Thermochim. Acta 1986, 98, 119–126. [Google Scholar] [CrossRef]
- Wyrzykowski, D.; Hebanowska, E.; Nowak-Wiczk, G.; Makowski, M.; Chmurzyński, L. Thermal Behaviour of Citric Acid and Isomeric Aconitic Acids. J. Therm. Anal. Calorim. 2011, 104, 731–735. [Google Scholar] [CrossRef]
- Valletta, R.M.; Pliskin, W.A. Preparation and Characterization of Manganese Oxide Thin Films. J. Electrochem. Soc. 1967, 114, 944–947. [Google Scholar] [CrossRef]
- Paleckiene, R.; Sviklas, A.; Slinksiene, R. Reaction of Urea with Citric Acid. Russ. J. Appl. Chem. 2005, 78, 1651–1655. [Google Scholar] [CrossRef]
- Schaber, P.M.; Colson, J.; Higgins, S.; Thielen, D.; Anspach, B.; Brauer, J. Thermal Decomposition (Pyrolysis) of Urea in an Open Reaction Vessel. Thermochim. Acta 2004, 424, 131–142. [Google Scholar] [CrossRef]
- Fleischmann, S.; Mitchell, J.B.; Wang, R.; Zhan, C.; Jiang, D.; Presser, V.; Augustyn, V. Pseudocapacitance: From Fundamental Understanding to High Power Energy Storage Materials. Chem. Rev. 2020, 120, 6738–6782. [Google Scholar] [CrossRef]
- Ryabova, A.S.; Napolskiy, F.S.; Poux, T.; Istomin, S.Y.; Bonnefont, A.; Antipin, D.M.; Baranchikov, A.Y.; Levin, E.E.; Abakumov, A.M.; Kéranguéven, G.; et al. Rationalizing the Influence of the Mn(IV)/Mn(III) Red-Ox Transition on the Electrocatalytic Activity of Manganese Oxides in the Oxygen Reduction Reaction. Electrochim. Acta 2016, 187, 161–172. [Google Scholar] [CrossRef]
- Garcês Gonçalves, P.R.; De Abreu, H.A.; Duarte, H.A. Stability, Structural, and Electronic Properties of Hausmannite (Mn3O4) Surfaces and Their Interaction with Water. J. Phys. Chem. C 2018, 122, 20841–20849. [Google Scholar] [CrossRef]
- Zhu, J.; Wu, Q.; Li, J. Review And Prospect of Mn3O4-Based Composite Materials For Supercapacitor Electrodes. ChemistrySelect 2020, 5, 10407–10423. [Google Scholar] [CrossRef]
- Jang, J.H.; Oh, S.M. Complex Capacitance Analysis of Porous Carbon Electrodes for Electric Double-Layer Capacitors. J. Electrochem. Soc. 2004, 151, A571. [Google Scholar] [CrossRef]
- Yu, P.; Zhang, X.; Chen, Y.; Ma, Y. Solution-Combustion Synthesis of ε-MnO2 for Supercapacitors. Mater. Lett. 2010, 64, 61–64. [Google Scholar] [CrossRef]
- Piumetti, M.; Fino, D.; Russo, N. Mesoporous Manganese Oxides Prepared by Solution Combustion Synthesis as Catalysts for the Total Oxidation of VOCs. Appl. Catal. B Environ. 2015, 163, 277–287. [Google Scholar] [CrossRef]










| Name | Fuel | XRD Attribution | Properties |
|---|---|---|---|
| MnOx-NG-0.5 | Glycine, φ = 0.50 | Mn2O3 + [Mn3O4] 1 | 23–26 nm 2, 17 m2/g |
| MnOx-NG-0.75 | Glycine, φ = 0.75 | Mn2O3 + Mn3O4 | 18–27 nm, 4 m2/g |
| MnOx-NG-1.0 | Glycine, φ = 1.00 | Mn3O4 + [MnO] | 19–22 nm, 40 m2/g |
| MnOx-NG-1.25 | Glycine, φ = 1.25 | Mn3O4 + [MnO] | 19–20 nm, 18 m2/g |
| MnOx-NG-1.5 | Glycine, φ = 1.50 | Mn3O4 + [MnO] | 20–22 nm, 14 m2/g |
| MnOx-NC-1.0 | (NH4)3Cit | Mn2O3 | 20–22 nm, 14 m2/g |
| MnOx-NCG-1.0 | (NH4)3Cit + Glycine | Mn3O4 | 11.3 nm, 24 m2/g |
| MnOx-NCU-1.0 | (NH4)3Cit + Urea | Mn3O4 | 9.3 nm, 35 m2/g |
| Precursor | IR Band (Position cm−1, Observation) 1 | Attribution |
|---|---|---|
| Mn(NO3)2·4H2O | 3430, st.br. | ν(OH) |
| 3185, s. | ||
| 2736, m. | ||
| 2147, m. | ||
| 1762, st., s. | ν1 + ν4 | |
| 1601, st., s. | 2 ν2 | |
| 1435, sh. | ν3 (NO3−) | |
| 1367, st. | ν3 (NO3−) | |
| 1055, st. | ν1 (NO3−) | |
| 826, st. | ν2 (NO3−) | |
| Glycine, NH2CH2COOH | 3165, w, sh. | νa (NH3+) |
| 2820, w | νs (CH) | |
| 2610, | νs (NH3+) | |
| 2120, m | νa (COO−) + τ (NH3+) | |
| 1604 | νa (COO−) | |
| 1510 | δs (NH3+) | |
| 1412 | νs (COO−) | |
| 1330 | δ (CH2) + δ (NH2) | |
| 1110 | ρ (NH3+) | |
| 1030 | tw. (NH2) | |
| 890 | δ (NH2) + δ (CH2) | |
| 690 | ρ (COO−) | |
| 610 | ω (COO−) |
Disclaimer/Publisher’s Note: The statements, opinions and data contained in all publications are solely those of the individual author(s) and contributor(s) and not of MDPI and/or the editor(s). MDPI and/or the editor(s) disclaim responsibility for any injury to people or property resulting from any ideas, methods, instructions or products referred to in the content. |
© 2025 by the authors. Licensee MDPI, Basel, Switzerland. This article is an open access article distributed under the terms and conditions of the Creative Commons Attribution (CC BY) license (https://creativecommons.org/licenses/by/4.0/).
Share and Cite
Karakoç, T.; Sall, S.; Pronkin, S.N. Temperature-Dependent FTIRS Study of Manganese Oxide Spinel Obtained by Solution Combustion Synthesis (SCS) for Supercapacitor Applications. Batteries 2025, 11, 39. https://doi.org/10.3390/batteries11020039
Karakoç T, Sall S, Pronkin SN. Temperature-Dependent FTIRS Study of Manganese Oxide Spinel Obtained by Solution Combustion Synthesis (SCS) for Supercapacitor Applications. Batteries. 2025; 11(2):39. https://doi.org/10.3390/batteries11020039
Chicago/Turabian StyleKarakoç, Taylan, Sécou Sall, and Sergey N. Pronkin. 2025. "Temperature-Dependent FTIRS Study of Manganese Oxide Spinel Obtained by Solution Combustion Synthesis (SCS) for Supercapacitor Applications" Batteries 11, no. 2: 39. https://doi.org/10.3390/batteries11020039
APA StyleKarakoç, T., Sall, S., & Pronkin, S. N. (2025). Temperature-Dependent FTIRS Study of Manganese Oxide Spinel Obtained by Solution Combustion Synthesis (SCS) for Supercapacitor Applications. Batteries, 11(2), 39. https://doi.org/10.3390/batteries11020039

