Online Cell-by-Cell Calibration Method to Enhance the Kalman-Filter-Based State-of-Charge Estimation
Abstract
1. Introduction
- Impact of cell aging on the KF estimator has been investigated.
- Online calibration framework adjusting the EKF parameters dynamically has been introduced to enhance the accuracy of SOC estimation against the aging process.
- Various DL algorithms with different training dataset size have been considered for SOH estimation to optimize the proposed algorithm.
2. Impact of Aging and Cell Inconsistency on the KF Estimator
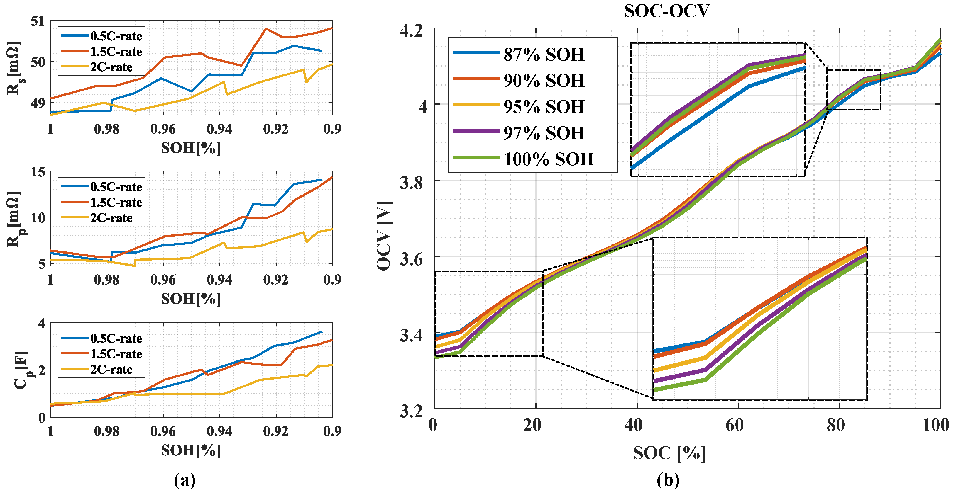
2.1. Consideration of the Cell’s Aging Effect
- Prediction (time update)State estimation:The error covariance:
- Correction (measurement update)Kalman gain:State variable:The error covariance:
2.2. Consideration of the Cell Inconsistency Effect
3. Online Calibration for the KF Estimator
3.1. Proposed Calibration Framework
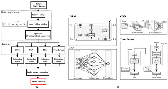
3.2. Implementation of DL-Based SOH Estimation
3.3. Implementation of Historical Parameter Lookup Table
4. Performance Verification
4.1. SOH Estimation Performance
4.2. SOC Estimation Performance
5. Conclusions
Author Contributions
Funding
Data Availability Statement
Conflicts of Interest
References
- European Commission. A Roadmap for Moving to a Competitive Low Carbon Economy in 2050; COM (2011)112 final; European Commission: Brussels, Belgium, 2011. [Google Scholar]
- International Energy Agency. Global EV Outlook 2024. 2024. Available online: https://www.iea.org/reports/global-ev-outlook-2024 (accessed on 1 December 2024).
- BloombergNEF. Lithium-Ion Battery Pack Prices Hit Record Low of $139/kWh. BloombergNEF, 26 November 2023. [Google Scholar]
- See, K.W.; Wang, G.; Zhang, Y.; Wang, Y.; Meng, L.; Gu, X.; Zhang, N.; Lim, K.C.; Zhao, L.; Xie, B. Critical review and functional safety of a battery management system for large-scale lithium-ion battery pack technologies. Int. J. Coal Sci. Technol. 2022, 9, 36. [Google Scholar] [CrossRef]
- Lu, L.; Han, X.; Li, J.; Hua, J.; Ouyang, M. A review on the key issues for lithium-ion battery management in electric vehicles. J. Power Sources 2013, 226, 272–288. [Google Scholar] [CrossRef]
- Lipu, M.S.H.; Mamun, A.A.; Ansari, S.; Miah, M.S.; Hasan, K.; Meraj, S.T.; Abdolrasol, M.G.; Rahman, T.; Maruf, M.H.; Sarker, M.R.; et al. Battery Management, Key Technologies, Methods, Issues, and Future Trends of Electric Vehicles: A Pathway toward Achieving Sustainable Development Goals. Batteries 2022, 8, 119. [Google Scholar] [CrossRef]
- La, P.H.; Nguyen, N.A.; Choi, S.J. Average Model of Switched-Energy-Tank Battery Equalizer for Accelerated Performance Assessment. Energies 2024, 17, 631. [Google Scholar] [CrossRef]
- Girijaprasanna, T.; Dhanamjayulu, C. A Review on Different State of Battery Charge Estimation Techniques and Management Systems for EV Applications. Electronics 2022, 11, 1795. [Google Scholar] [CrossRef]
- Hansen, T.; Wang, C.J. Support vector based battery state of charge estimator. J. Power Sources 2005, 141, 351–358. [Google Scholar] [CrossRef]
- Rivera-Barrera, J.P.; Muñoz-Galeano, N.; Sarmiento-Maldonado, H.O. SoC Estimation for Lithium-ion Batteries: Review and Future Challenges. Electronics 2017, 6, 102. [Google Scholar] [CrossRef]
- Kim, J.; Cho, B. Screening process-based modeling of the multi-cell battery string in series and parallel connections for high accuracy state-of-charge estimation. Energy 2013, 57, 581–599. [Google Scholar] [CrossRef]
- Zhang, C.; Jiang, Y.; Jiang, J.; Cheng, G.; Diao, W.; Zhang, W. Study on battery pack consistency evolutions and equilibrium diagnosis for serial-connected lithium-ion batteries. Appl. Energy 2017, 207, 510–519. [Google Scholar] [CrossRef]
- Schuster, S.F.; Bach, T.; Fleder, E.; Müller, J.; Brand, M.; Sextl, G.; Jossen, A. Nonlinear aging characteristics of lithium-ion cells under different operational conditions. J. Energy Storage 2015, 1, 44–53. [Google Scholar] [CrossRef]
- Gong, X.; Xiong, R.; Mi, C.C. Study of the characteristics of battery packs in electric vehicles with parallel-connected lithium-ion battery cells. IEEE Trans. Ind. Appl. 2014, 51, 1872–1879. [Google Scholar] [CrossRef]
- Zheng, Y.; Ouyang, M.; Lu, L.; Li, J. Understanding aging mechanisms in lithium-ion battery packs: From cell capacity loss to pack capacity evolution. J. Power Sources 2015, 278, 287–295. [Google Scholar] [CrossRef]
- Park, S.; Ahn, J.; Kang, T.; Park, S.; Kim, Y.; Cho, I.; Kim, J. Review of state-of-the-art battery state estimation technologies for battery management systems of stationary energy storage systems. J. Power Electron. 2020, 20, 1526–1540. [Google Scholar] [CrossRef]
- Zhang, Z.; Jiang, L.; Zhang, L.; Huang, C. State-of-charge estimation of lithium-ion battery pack by using an adaptive extended Kalman filter for electric vehicles. J. Energy Storage 2021, 37, 102457. [Google Scholar] [CrossRef]
- Ng, K.S.; Moo, C.S.; Chen, Y.P.; Hsieh, Y.C. Enhanced coulomb counting method for estimating state-of-charge and state-of-health of lithium-ion batteries. Appl. Energy 2009, 86, 1506–1511. [Google Scholar] [CrossRef]
- Zhao, L.; Lin, M.; Chen, Y. Least-squares based coulomb counting method and its application for state-of-charge (SOC) estimation in electric vehicles. Int. J. Energy Res. 2016, 40, 1389–1399. [Google Scholar] [CrossRef]
- Plett, G.L. Extended Kalman filtering for battery management systems of LiPB-based HEV battery packs: Part 3. State and parameter estimation. J. Power Sources 2004, 134, 277–292. [Google Scholar] [CrossRef]
- Pulavarthi, C.; Kalpana, R.; Parthiban, P. State of Charge estimation in Lithium-Ion Battery using model based method in conjunction with Extended and Unscented Kalman Filter. In Proceedings of the 2020 International Conference on Power Electronics and Renewable Energy Applications (PEREA), Kannur, India, 27–28 November 2020; IEEE: Piscataway, NJ, USA, 2020; pp. 1–6. [Google Scholar]
- Jokić, I.; Zečević, Ž.; Krstajić, B. State-of-charge estimation of lithium-ion batteries using extended Kalman filter and unscented Kalman filter. In Proceedings of the 2018 23rd International Scientific-Professional Conference on Information Technology (IT), Zabljak, Montenegro, 19–24 February 2018; IEEE: Piscataway, NJ, USA, 2018; pp. 1–4. [Google Scholar]
- Khanum, F.; Louback, E.; Duperly, F.; Jenkins, C.; Kollmeyer, P.J.; Emadi, A. A Kalman filter based battery state of charge estimation MATLAB function. In Proceedings of the 2021 IEEE Transportation Electrification Conference & Expo (ITEC), Chicago, IL, USA, 21–25 June 2021; IEEE: Piscataway, NJ, USA, 2021; pp. 484–489. [Google Scholar]
- Chu, Y.; Li, J.; Gu, J.; Qiang, Y. Parameter identification and SOC estimation of lithium-ion batteries based on AGCOA-ASRCKF. J. Power Electron. 2023, 23, 308–319. [Google Scholar] [CrossRef]
- Rothenberg, T. State Space Models and the Kalman Filter; University of California: Oakland, CA, USA, 2007; Available online: https://eml.berkeley.edu/~rothenbe/Fall2007/kalman.pdf (accessed on 20 June 2022).
- QuantStart. State Space Models and the Kalman Filter. Available online: https://www.quantstart.com/articles/State-Space-Models-and-the-Kalman-Filter/ (accessed on 23 June 2022).
- Shen, W.; Chan, C.; Lo, E.; Chau, K. A new battery available capacity indicator for electric vehicles using neural network. Energy Convers. Manag. 2002, 43, 817–826. [Google Scholar] [CrossRef]
- Salkind, A.J.; Fennie, C.; Singh, P.; Atwater, T.; Reisner, D.E. Determination of state-of-charge and state-of-health of batteries by fuzzy logic methodology. J. Power Sources 1999, 80, 293–300. [Google Scholar] [CrossRef]
- Vidal, C.; Malysz, P.; Kollmeyer, P.; Emadi, A. Machine learning applied to electrified vehicle battery state of charge and state of health estimation: State-of-the-art. IEEE Access 2020, 8, 52796–52814. [Google Scholar] [CrossRef]
- Yao, F.; Meng, D.; Wu, Y.; Wan, Y.; Ding, F. Online health estimation strategy with transfer learning for operating lithium-ion batteries. J. Power Electron. 2023, 23, 993–1003. [Google Scholar] [CrossRef]
- Huang, S.; Li, J.; Wu, L.; Zhang, W. Data quality augmentation and parallel network modeling for residual life prediction of lithium-ion batteries. J. Power Electron. 2024, 24, 955–963. [Google Scholar] [CrossRef]
- Cui, Z.; Dai, J.; Sun, J.; Li, D.; Wang, L.; Wang, K. Hybrid methods using neural network and Kalman filter for the state of charge estimation of lithium-ion battery. Math. Probl. Eng. 2022, 2022, 9616124. [Google Scholar] [CrossRef]
- Shu, X.; Li, G.; Zhang, Y.; Shen, S.; Chen, Z.; Liu, Y. Stage of charge estimation of lithium-ion battery packs based on improved cubature Kalman filter with long short-term memory model. IEEE Trans. Transp. Electrif. 2020, 7, 1271–1284. [Google Scholar] [CrossRef]
- Yu, Z.; Liu, J.; Lu, Y.; Feng, C.; Li, L.; Wu, Q. Combined EKF–LSTM algorithm-based enhanced state-of-charge estimation for energy storage container cells. J. Power Electron. 2024, 24, 1329–1339. [Google Scholar] [CrossRef]
- Kim, M.; Kim, K.; Kim, J.; Yu, J.; Han, S. State of charge estimation for lithium Ion battery based on reinforcement learning. IFAC-PapersOnLine 2018, 51, 404–408. [Google Scholar] [CrossRef]
- Li, M.; Zhang, Y.; Hu, Z.; Zhang, Y.; Zhang, J. A battery SOC estimation method based on AFFRLS-EKF. Sensors 2021, 21, 5698. [Google Scholar] [CrossRef] [PubMed]
- Jiani, D.; Zhitao, L.; Can, C.; Youyi, W. Li-ion battery SOC estimation using EKF based on a model proposed by extreme learning machine. In Proceedings of the 2012 7th IEEE Conference on Industrial Electronics and Applications (ICIEA), Singapore, 18–20 July 2012; IEEE: Piscataway, NJ, USA, 2012; pp. 1651–1656. [Google Scholar]
- Sharifi-Asl, S.; Taylor, M.L.; Lu, Z.; Engelhardt, G.R.; Kursten, B.; Macdonald, D.D. Modeling of the electrochemical impedance spectroscopic behavior of passive iron using a genetic algorithm approach. Electrochim. Acta 2013, 102, 161–173. [Google Scholar] [CrossRef]
- Seaman, A.; Dao, T.S.; McPhee, J. A survey of mathematics-based equivalent-circuit and electrochemical battery models for hybrid and electric vehicle simulation. J. Power Sources 2014, 256, 410–423. [Google Scholar] [CrossRef]
- Chui, C.K.; Chen, G. Extended Kalman filter and system identification. In Kalman Filtering; Springer: Berlin/Heidelberg, Germany, 2017; pp. 115–137. [Google Scholar]
- Süzen, A.A.; Duman, B.; Şen, B. Benchmark analysis of jetson tx2, jetson nano and raspberry pi using deep-cnn. In Proceedings of the 2020 International Congress on Human-Computer Interaction, Optimization and Robotic Applications (HORA), Ankara, Turkey, 26–27 June 2020; IEEE: Piscataway, NJ, USA, 2020; pp. 1–5. [Google Scholar]
- Guirguis, J.; Ahmed, R. Transformer-Based Deep Learning Models for State of Charge and State of Health Estimation of Li-Ion Batteries: A Survey Study. Energies 2024, 17, 3502. [Google Scholar] [CrossRef]
- Oji, T.; Zhou, Y.; Ci, S.; Kang, F.; Chen, X.; Liu, X. Data-driven methods for battery soh estimation: Survey and a critical analysis. IEEE Access 2021, 9, 126903–126916. [Google Scholar] [CrossRef]
- Choi, Y.; Ryu, S.; Park, K.; Kim, H. Machine learning-based lithium-ion battery capacity estimation exploiting multi-channel charging profiles. IEEE Access 2019, 7, 75143–75152. [Google Scholar] [CrossRef]
- Saha, B. Battery Data Set. In NASA AMES Progmostics Data Repository; NASA Ames Research Center: Moffett Field, CA, USA, 2007. [Google Scholar]
- Abadi, M.; Barham, P.; Chen, J.; Chen, Z.; Davis, A.; Dean, J.; Devin, M.; Ghemawat, S.; Irving, G.; Isard, M.; et al. TensorFlow: A system for Large-Scale machine learning. In Proceedings of the 12th USENIX Symposium on Operating Systems Design and Implementation (OSDI 16), Savannah, GA, USA, 2–4 November 2016; pp. 265–283. [Google Scholar]











| Method | Performance | ||||
|---|---|---|---|---|---|
| Parameters | Storage Size [KB] | [%] | [%] | [%] | |
| LSTM | 11,053 | 64 | 0.85 | 0.60 | 1.87 |
| CNN | 289,457 | 1170 | 1.41 | 3.42 | 6.68 |
| FNN | 353 | 21 | 0.90 | 1.50 | 2.94 |
| Transformer | 36,425 | 206 | 0.77 | 0.36 | 0.58 |
| Cell | Actual SOH [%] | Estimated SOH [%] | Error [%] |
|---|---|---|---|
| Cell #1 | 95.13 | 94.63 | −0.526 |
| Cell #2 | 92.47 | 92.02 | −0.487 |
| Cell #3 | 89.38 | 89.53 | 0.168 |
| Cell #4 | 87.42 | 88.58 | 1.327 |
Disclaimer/Publisher’s Note: The statements, opinions and data contained in all publications are solely those of the individual author(s) and contributor(s) and not of MDPI and/or the editor(s). MDPI and/or the editor(s) disclaim responsibility for any injury to people or property resulting from any ideas, methods, instructions or products referred to in the content. |
© 2025 by the authors. Licensee MDPI, Basel, Switzerland. This article is an open access article distributed under the terms and conditions of the Creative Commons Attribution (CC BY) license (https://creativecommons.org/licenses/by/4.0/).
Share and Cite
Pham, N.-T.; La, P.-H.; Kwon, S.; Choi, S.-J. Online Cell-by-Cell Calibration Method to Enhance the Kalman-Filter-Based State-of-Charge Estimation. Batteries 2025, 11, 58. https://doi.org/10.3390/batteries11020058
Pham N-T, La P-H, Kwon S, Choi S-J. Online Cell-by-Cell Calibration Method to Enhance the Kalman-Filter-Based State-of-Charge Estimation. Batteries. 2025; 11(2):58. https://doi.org/10.3390/batteries11020058
Chicago/Turabian StylePham, Ngoc-Thao, Phuong-Ha La, Sungoh Kwon, and Sung-Jin Choi. 2025. "Online Cell-by-Cell Calibration Method to Enhance the Kalman-Filter-Based State-of-Charge Estimation" Batteries 11, no. 2: 58. https://doi.org/10.3390/batteries11020058
APA StylePham, N.-T., La, P.-H., Kwon, S., & Choi, S.-J. (2025). Online Cell-by-Cell Calibration Method to Enhance the Kalman-Filter-Based State-of-Charge Estimation. Batteries, 11(2), 58. https://doi.org/10.3390/batteries11020058

