Next Issue
Volume 14, December-1
Previous Issue
Volume 14, November-1
 
 
electronics-logo

Journal Browser

Journal Browser

Electronics, Volume 14, Issue 22 (November-2 2025) – 195 articles

Cover Story (view full-size image): This paper investigates energy optimization in automated industrial storage systems. We introduce an unsupervised learning methodology based on self-organizing maps (SOMs) to extract and characterize operational energy states from sensor data. By combining topological clustering with temporal state transition analysis, the method yields an interpretable taxonomy of energy efficiency levels and dynamic behaviors. This framework supports explainable monitoring and supports proactive energy management strategies in Industry 4.0 environments, offering both economic and environmental benefits. View this paper
  • Issues are regarded as officially published after their release is announced to the table of contents alert mailing list.
  • You may sign up for e-mail alerts to receive table of contents of newly released issues.
  • PDF is the official format for papers published in both, html and pdf forms. To view the papers in pdf format, click on the "PDF Full-text" link, and use the free Adobe Reader to open them.
Order results
Result details
Section
Select all
Export citation of selected articles as:
20 pages, 4800 KB  
Article
Semantic-Guided Mamba Fusion for Robust Object Detection of Tibetan Plateau Wildlife
by Ping Lan, Yukai Xian, Te Shen, Yurui Lee and Qijun Zhao
Electronics 2025, 14(22), 4549; https://doi.org/10.3390/electronics14224549 - 20 Nov 2025
Viewed by 354
Abstract
Accurate detection of wildlife on the Tibetan Plateau is particularly challenging due to complex natural environments, significant scale variations, and the limited availability of annotated data. To address these issues, we propose a semantic-guided multimodal feature fusion framework that incorporates visual semantics, structural [...] Read more.
Accurate detection of wildlife on the Tibetan Plateau is particularly challenging due to complex natural environments, significant scale variations, and the limited availability of annotated data. To address these issues, we propose a semantic-guided multimodal feature fusion framework that incorporates visual semantics, structural hierarchies, and contextual priors. Our model integrates CLIP and DINO tokenizers to extract both high-level semantic features and fine-grained structural representations, while a Spatial Pyramid Convolution (SPC) Adapter is employed to capture explicit multi-scale spatial cues. In addition, we introduce two state-space modules based on the Mamba architecture: the Focus Mamba Block (FMB), which strengthens the alignment between semantic and structural features, and the Bridge Mamba Block (BMB), which enables effective fusion across different scales. Furthermore, a text-guided semantic branch leverages knowledge from large language models to provide contextual information about species and environmental conditions, enhancing the consistency and robustness of detection. Experiments conducted on the Tibetan wildlife dataset demonstrate that our framework outperforms existing baseline methods, achieving 70.2% AP, 88.7% AP50, and 76.8% AP75. Notably, it achieves significant improvements in detecting small objects and fine-grained species. These results highlight the effectiveness of the proposed semantic-guided Mamba fusion approach in tackling the unique challenges of wildlife detection in the complex conditions of the Tibetan Plateau. Full article
Show Figures

Figure 1

17 pages, 5942 KB  
Article
Accurate Calculation of High-Frequency Transformer Leakage Inductance Based on Dowell’s Model and Analysis of Influencing Factors
by Yangyang Ma, Wenle Song, Junlei Zhao, Lei Wang, Shenghui Mu, Jing Wu, Hang Zhang and Peng Su
Electronics 2025, 14(22), 4548; https://doi.org/10.3390/electronics14224548 - 20 Nov 2025
Viewed by 332
Abstract
The leakage inductance of high-frequency transformers (HFTs) is a critical parameter affecting the performance of power electronic equipment, such as DC-DC converters. During the transformer design phase, by precisely calculating and retaining an appropriate amount of leakage inductance, the independent inductors in the [...] Read more.
The leakage inductance of high-frequency transformers (HFTs) is a critical parameter affecting the performance of power electronic equipment, such as DC-DC converters. During the transformer design phase, by precisely calculating and retaining an appropriate amount of leakage inductance, the independent inductors in the original topology can be replaced, thereby reducing the size of the converter. This paper derives the analytical expression for the magnetic field distribution in the core window, based on Dowell’s one-dimensional model system. A leakage inductance calculation model is established using the square integral of the magnetic field strength. The study investigates the effects of winding spatial distribution and operating frequency on leakage inductance. Finally, the model’s accuracy is verified through experimental measurements, with the results aligning closely with those obtained from the analytical method, and the error falling within a reasonable range. Full article
Show Figures

Figure 1

26 pages, 1947 KB  
Article
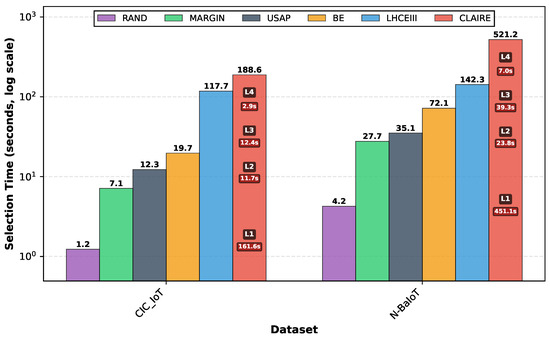
CLAIRE: A Four-Layer Active Learning Framework for Enhanced IoT Intrusion Detection
by Abdulmohsen Almalawi
Electronics 2025, 14(22), 4547; https://doi.org/10.3390/electronics14224547 - 20 Nov 2025
Viewed by 268
Abstract
The integration of the Internet of Things (IoT) has become essential in our daily lives. It plays a core role in operating our daily infrastructure from energy grids and water distribution systems to healthcare and household devices. However, the rapid growth of IoT [...] Read more.
The integration of the Internet of Things (IoT) has become essential in our daily lives. It plays a core role in operating our daily infrastructure from energy grids and water distribution systems to healthcare and household devices. However, the rapid growth of IoT connections exposes our world to various sophisticated cybersecurity threats. Responding to these potential threats, many security measures have been proposed. The IoT-based Intrusion Detection System is one of the salient components of the security layer and alerts security administrators to any suspicious behaviors. In fact, machine learning-based IDS shows promising results, especially supervised models, but such models require expensive labelling processes by domain experts. The active learning strategy reduces the annotation cost and directs experts to label a small set of carefully selected instances. This paper proposes a robust approach called Clustering-based Layered Active Instance REpresentation (CLAIRE). It involves selecting both representative and informative instances. The former is selected through three sequential clustering-based layers, while the latter is selected by the fourth layer that implements an ensemble-based uncertainty mechanism to identify the most informative instances. Comprehensive evaluation on two well-known IoT datasets, namely, N-BaIoT and CICIoT2023, demonstrates promising results in selecting a small set of instances that capture the various data distributions of the data even in imbalanced datasets. We compare the results of the proposed approach with state-of-the-art baselines that work in the same scope of traditional machine learning. Full article
(This article belongs to the Special Issue Applied Machine Learning in Data Science)
Show Figures

Figure 1

15 pages, 17519 KB  
Article
Electromagnetic Twin Space: When Digital Twins Meet the Electromagnetic Space
by Pan Zhen, Bowen Zhu, Ning Wang, Chuan Gu, Meng Wang and Daoxing Guo
Electronics 2025, 14(22), 4546; https://doi.org/10.3390/electronics14224546 - 20 Nov 2025
Viewed by 300
Abstract
With the escalating demand for electromagnetic spectrum resources in the 5G/6G era, efficient management of the electromagnetic space has become a critical challenge. This paper proposes the concept of an Electromagnetic Digital Twin (EDT) and an innovative framework for constructing Electromagnetic Twin Space [...] Read more.
With the escalating demand for electromagnetic spectrum resources in the 5G/6G era, efficient management of the electromagnetic space has become a critical challenge. This paper proposes the concept of an Electromagnetic Digital Twin (EDT) and an innovative framework for constructing Electromagnetic Twin Space (ETS) to achieve high-fidelity dynamic mapping and real-time optimization of the electromagnetic space through digital twin technology. We elaborate on the EDT concept, introducing a three-layer architecture comprising Physical Device Twin (PDT), Propagation Environment Twin (PET), and Electromagnetic Situation Twin (EST), thereby systematically integrating digital twin technology into the electromagnetic domain. Furthermore, we designed the ETS construction framework, clarifying the four key links between ETS construction and operation and their associated technologies. Through a case study, we demonstrate the effectiveness of a GAN-based EST, which achieves significantly better prediction accuracy than traditional methods. The findings show that incorporating building information and transmitter parameters substantially enhances the accuracy of EST, as evidenced by the RMSE metrics of the constructed electromagnetic situation. Moreover, the trained GAN model can generate electromagnetic situations under various building scenarios and transmitter locations, providing a valuable experimental platform for transmitter deployment. Full article
Show Figures

Figure 1

18 pages, 4766 KB  
Article
Cognitive Chain-Based Dual Fusion Framework for Multi-Document Summarization
by Chenyang Li, Long Zhang, Junshuai Zhang and Qiusheng Zheng
Electronics 2025, 14(22), 4545; https://doi.org/10.3390/electronics14224545 - 20 Nov 2025
Viewed by 330
Abstract
Multi-Document Summarization (MDS) is a critical task in natural language processing that aims to condense document clusters into concise and comprehensive summaries. However, existing approaches based on large language models (LLMs) often lack structured quality monitoring and depth refinement mechanisms. This opacity and [...] Read more.
Multi-Document Summarization (MDS) is a critical task in natural language processing that aims to condense document clusters into concise and comprehensive summaries. However, existing approaches based on large language models (LLMs) often lack structured quality monitoring and depth refinement mechanisms. This opacity and lack of self-correction can compromise the reliability, depth, and controllability of the resulting summaries. To address these limitations, this paper introduces the Self-Optimizing Multi-Path Fusion Framework (MFOG), a novel conceptual architecture for MDS. MFOG treats MDS as a collaborative process that optimizes both summary depth and breadth. The framework uses a dual-path architecture to balance summary depth and breadth. A depth-focused path, augmented by Retrieval-Augmented Generation (RAG), progressively enhances content depth and logical coherence. Concurrently, a breadth-first parallel path ensures comprehensive coverage. A final fusion module then performs a weighted integration of these outputs. We present an illustrative experimental study on benchmark datasets. On Multi-News, MFOG achieves ROUGE-1 and ROUGE-2 scores of 51.08 and 22.76, representing improvements of 1.23 and 1.11, respectively, over the strongest baselines.On DUC-2004, it achieves a ROUGE-1 score of 36.12 (a 1.30 improvement) and a BERTScore of 40.16 (a 1.14 improvement). This preliminary study validates the feasibility of the MFOG framework, demonstrating its potential to produce summaries that are both comprehensive and coherent. Full article
Show Figures

Figure 1

24 pages, 44361 KB  
Article
MIMAR-Net: Multiscale Inception-Based Manhattan Attention Residual Network and Its Application to Underwater Image Super-Resolution
by Nusrat Zahan, Sidike Paheding, Ashraf Saleem, Timothy C. Havens and Peter C. Esselman
Electronics 2025, 14(22), 4544; https://doi.org/10.3390/electronics14224544 - 20 Nov 2025
Viewed by 331
Abstract
In recent years, Single-Image Super-Resolution (SISR) has gained significant attention in the geoscience and remote sensing community for its potential to improve the resolution of low-quality underwater imagery. This paper introduces MIMAR-Net (Multiscale Inception-based Manhattan Attention Residual [...] Read more.
In recent years, Single-Image Super-Resolution (SISR) has gained significant attention in the geoscience and remote sensing community for its potential to improve the resolution of low-quality underwater imagery. This paper introduces MIMAR-Net (Multiscale Inception-based Manhattan Attention Residual Network), a new deep learning architecture designed to increase the spatial resolution of input color images. MIMAR-Net integrates a multiscale inception module, cascaded residue learning, and advanced attention mechanisms, such as the MaSA layer, to capture both local and global contextual information effectively. By utilizing multiscale processing and advanced attention strategies, MIMAR-Net allows us to handle the complexities of underwater environments with precision and robustness. We evaluate the model on three popular underwater image datasets, namely UFO-120, USR-248, and EUVP, and perform extensive comparisons against state-of-the-art methods. Experimental results demonstrate that MIMAR-Net consistently outperforms existing approaches, achieving superior qualitative and quantitative improvements in image quality, making it a reliable solution for underwater image enhancement in various challenging scenarios. Full article
Show Figures

Figure 1

26 pages, 4630 KB  
Article
Range Extension for Underwater Communication via Magnetic Induction Using Parametric Analysis of MI Coils in IoUT Networks
by Osama Mahfooz, Miguel-Angel Luque-Nieto, Muhammad Imran Majid and Pablo Otero
Electronics 2025, 14(22), 4543; https://doi.org/10.3390/electronics14224543 - 20 Nov 2025
Viewed by 453
Abstract
This paper discusses the method for extending the range of Magnetic Induction (MI) and its application in underwater networks for the Internet of Underwater Things (IoUT). In underwater communication, this technology would provide a wider frequency band than acoustic systems, shorter propagation delay, [...] Read more.
This paper discusses the method for extending the range of Magnetic Induction (MI) and its application in underwater networks for the Internet of Underwater Things (IoUT). In underwater communication, this technology would provide a wider frequency band than acoustic systems, shorter propagation delay, and increased conductivity, with the added benefit of underwater wireless power transfer. As a use case, we consider a system that allows energy to be transferred from one circuit to another without cables, as in an aerial environment. In this work, transmit and receive coils for underwater environments are designed and analyzed using ANSYS Maxwell v16.0 software. The results show an improvement in terms of underwater magnetic field propagation. We have conducted underwater experiments by applying a frequency range up to 100 kHz and 12 Volts with varied current, achieving a distance up to 80% greater than in air, as determined by parametric analysis. With an improved bit error rate, a delay of less than 2 microseconds, a packet delivery ratio near 100%, and a packet loss ratio less than 10%, the results show an improvement in magnetic field propagation underwater. This demonstrates that it is possible to conduct future research into other underwater applications by implementing MI for underwater communication. Full article
Show Figures

Figure 1

13 pages, 3557 KB  
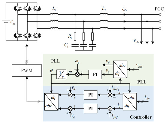
Article
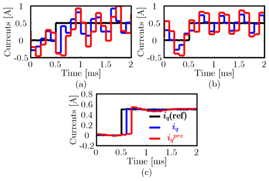
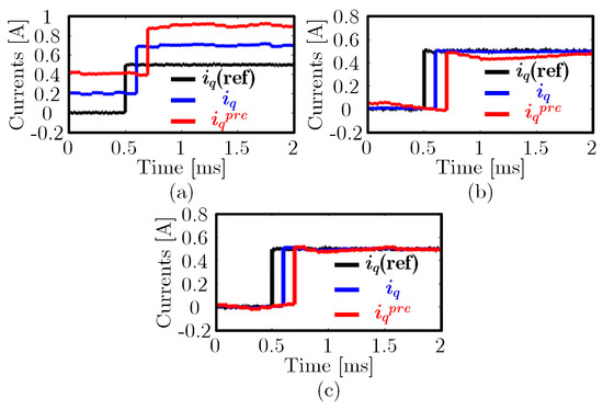
Model-Free Current Controller for PMSM Based on Super-Twisting Sliding Mode Observer
by Yining Wang and Junlei Chen
Electronics 2025, 14(22), 4542; https://doi.org/10.3390/electronics14224542 - 20 Nov 2025
Viewed by 331
Abstract
This paper proposes a super-twisting sliding mode observer-based model-free current controller (ST-MFCC) for permanent-magnet synchronous motor (PMSM). First, the mathematical model of the PMSM is established, and the model dependence of the deadbeat predictive current controller which serves as the foundation for the [...] Read more.
This paper proposes a super-twisting sliding mode observer-based model-free current controller (ST-MFCC) for permanent-magnet synchronous motor (PMSM). First, the mathematical model of the PMSM is established, and the model dependence of the deadbeat predictive current controller which serves as the foundation for the proposed ST-MFCC is analyzed, along with the stability impact of parameter variations on deadbeat predictive current control. Subsequently, the ST-MFCC is designed based on an ultralocal model and the super-twisting algorithm, eliminating dependence on the current model. Additionally, an adaptive method for tuning the key coefficients of the ultralocal model is introduced, enabling controller parameters to be rapidly optimized when deviations from actual system parameters occur. This approach reduces dependency on inductance parameters and aims to achieve high-performance PMSM current control with deadbeat characteristics. Finally, the effectiveness of the ST-MFCC is verified on a 400 W experimental platform. Full article
(This article belongs to the Special Issue Modeling and Control of Power Converters for Power Systems)
Show Figures

Figure 1

22 pages, 5242 KB  
Article
Experimentally-Based Circuit Modeling Validation of a DC-Electrified Railway System for Rail Voltage and Stray-Current Evaluation
by Carlo Olivieri, Lino Di Leonardo, Francesco de Paulis, Antonio Orlandi, Fabio Sbarra and Marco Camomilla
Electronics 2025, 14(22), 4541; https://doi.org/10.3390/electronics14224541 - 20 Nov 2025
Viewed by 261
Abstract
Despite advancements in mitigating stray current in railway systems, and their impact on nearby installations (i.e., pipelines), challenges remain, necessitating ongoing research and close collaboration between academia and the railway industry. This paper describes the relevant results of a joint industry–academia research project [...] Read more.
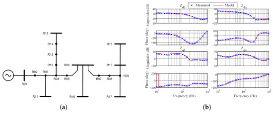
Despite advancements in mitigating stray current in railway systems, and their impact on nearby installations (i.e., pipelines), challenges remain, necessitating ongoing research and close collaboration between academia and the railway industry. This paper describes the relevant results of a joint industry–academia research project focused on the experimental validation of a reduced complexity circuit model to evaluate the rail potential and the associated stray current directly into the soil. It will be shown that the proposed circuit model is adaptable to various railway lines. Using a lumped parameter approach, the model simplifies spatial discretization without sacrificing accuracy; the relevant resistance and admittance parameters at the sub-stations and along the rail return path are identified, and their impact is studied for the subsequent experimental step. Two real scenarios involve two railway segments in southern and central Italy, which are also different in the geological profile of the terrain. The rail voltage along the two lines is measured and compared with the profile predicted by the lumped circuit model showing the latter’s accuracy. The circuit, validated by the experimental measurements, provides an indirect evaluation of the magnitude of the stray current flowing into the earth. Initially designed for uniform terrain, it can be expanded to include surrounding infrastructure and unintended stray current paths. This framework offers broad applicability and precision across diverse railway environments where nearby critical installations require the estimation of the stray current for the possible subsequent development of countermeasures for their reduction. Full article
Show Figures

Figure 1

17 pages, 56343 KB  
Article
A 16-GHz 6.56-mW Slew-Rate-Tolerant Integrating-Mode Phase Interpolator in 12-nm FinFET
by Liangwei Shao, Congyi Zhu and Jun Lin
Electronics 2025, 14(22), 4540; https://doi.org/10.3390/electronics14224540 - 20 Nov 2025
Viewed by 307
Abstract
This study presents a high-speed, 9-bit integrating-mode phase interpolator (IMPI) in a 12 nm FinFET process. The proposed slew-rate-tolerant design accepts bandwidth-limited inputs, relaxing the stringent need for high-slew-rate clocks found in prior research. This is primarily achieved through an optimized switch design [...] Read more.
This study presents a high-speed, 9-bit integrating-mode phase interpolator (IMPI) in a 12 nm FinFET process. The proposed slew-rate-tolerant design accepts bandwidth-limited inputs, relaxing the stringent need for high-slew-rate clocks found in prior research. This is primarily achieved through an optimized switch design that converts the sinusoidal voltage input into a quasi-square-wave current. A detailed theoretical model identifies asymmetrical clock feedthrough as the dominant nonlinearity, which is suppressed by a cancellation circuit. Furthermore, an adaptive biasing loop is employed to compensate for Process, Voltage, and Temperature (PVT)-induced P/N mismatch. This work is validated through comprehensive post-layout simulations; operating from a 0.8 V supply at 16 GHz, the PI achieves a peak-to-peak Integral Nonlinearity (INL) of 4.3 LSB (530 fs) while consuming 6.56 mW. Full article
(This article belongs to the Section Circuit and Signal Processing)
Show Figures

Figure 1

20 pages, 33817 KB  
Article
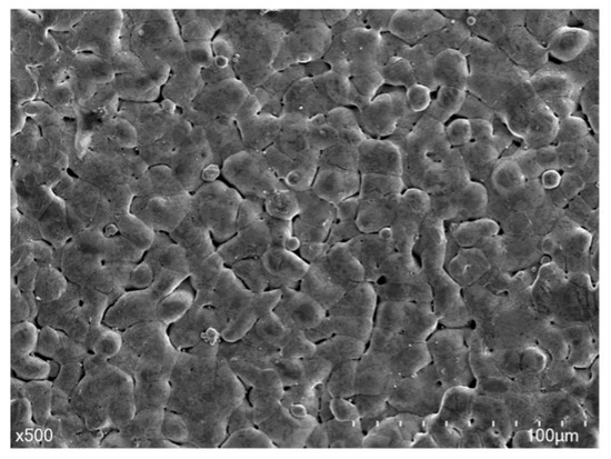
Development of Green Lignin–MWCNTs Hybrids for Sustainable Conductive Materials
by Sofia P. Makri, Stefania Koutsourea, Alexios Grigoropoulos, Kata Berkesi, Michalis Kartsinis, Ioanna Deligkiozi and Alexandros Zoikis-Karathanasis
Electronics 2025, 14(22), 4539; https://doi.org/10.3390/electronics14224539 - 20 Nov 2025
Viewed by 627
Abstract
The increasing environmental impact of electronic waste has intensified the pursuit of sustainable materials for manufacturing green electronics. This study presents the development of lignin-based hybrids with multi-walled carbon nanotubes (MWCNTs) via an environmentally friendly ultrasonication process in aqueous medium. Two hybrid materials [...] Read more.
The increasing environmental impact of electronic waste has intensified the pursuit of sustainable materials for manufacturing green electronics. This study presents the development of lignin-based hybrids with multi-walled carbon nanotubes (MWCNTs) via an environmentally friendly ultrasonication process in aqueous medium. Two hybrid materials containing 10 and 20 wt% MWCNTs were synthesized and thoroughly characterized. DLS analysis revealed better dispersion and colloidal stability due to strong physicochemical interactions between lignin and MWCNTs, while SEM and TEM images confirmed a continuous lignin matrix embedding an interconnected MWCNT network. Raman spectroscopy indicated structural ordering within the hybrids. The electrical conductivity of the hybrids reached 2–5 S/cm as evaluated by four-point probe measurements, despite the high lignin content (80–90 wt%). Electrochemical analysis suggested significantly enhanced redox activity and electron transfer kinetics, with measured electroactive surface areas increasing up to 21-fold larger compared with the unmodified electrode. The synergy between lignin and MWCNTs enabled the formation of a conductive network, highlighting these hybrids as promising, cost-effective, and sustainable materials for conductive and electrochemical applications in next-generation green electronics. Full article
(This article belongs to the Section Electronic Materials, Devices and Applications)
Show Figures

Figure 1

26 pages, 3916 KB  
Article
Multi-Length Prediction of the Drilling Rate of Penetration Based on TCN–Informer
by Jun Sun, Wendi Huang, Lin Du, Qianyu Yang, Bowen Deng and Xiqiao Chen
Electronics 2025, 14(22), 4538; https://doi.org/10.3390/electronics14224538 - 20 Nov 2025
Viewed by 287
Abstract
The Rate of Penetration (ROP) during drilling is nonstationary and exhibits coupled local fluctuations, which makes it challenging to model for accurate prediction. To address the challenge of modeling multi-scale temporal dependencies in drilling, this study introduces a hybrid TCN–Informer framework. It integrates [...] Read more.
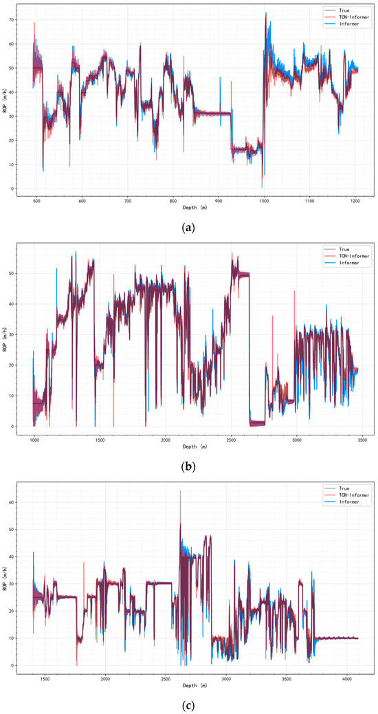
The Rate of Penetration (ROP) during drilling is nonstationary and exhibits coupled local fluctuations, which makes it challenging to model for accurate prediction. To address the challenge of modeling multi-scale temporal dependencies in drilling, this study introduces a hybrid TCN–Informer framework. It integrates the causal dilated Temporal Convolutional Network (TCN) for capturing short-term patterns with the Informer’s ProbSparse attention mechanism for modeling long-range dependencies. A comprehensive methodology is adopted, which includes a four-stage data preprocessing pipeline featuring per-well z-score standardization and label concatenation, a sliding-window training scheme to address cold-start issues, and an Optuna-based Bayesian search for hyperparameter optimization. The prediction performance of the models was evaluated across various input sequence lengths using the Mean Absolute Error (MAE), Root Mean Square Error (RMSE), and Coefficient of Determination (R2). The results show that the proposed TCN–Informer demonstrates superior performance compared to Informer, Long Short-Term Memory (LSTM), Gated Recurrent Unit (GRU), and Transformer. Furthermore, the predictions of the TCN–Informer respond more rapidly to abrupt changes in the ROP and yield smoother, more stable results during intervals of stable ROP, validating its effectiveness in capturing both local and global temporal patterns. Full article
(This article belongs to the Special Issue Digital Intelligence Technology and Applications, 2nd Edition)
Show Figures

Figure 1

26 pages, 952 KB  
Article
From Forecasting to Foresight: Building an Autonomous O&M Brain for the New Power System Based on a Cognitive Digital Twin
by Xufeng Wu, Zuowei Chen, Hefang Jiang, Shoukang Luo, Yi Zhao, Dongwei Zhao, Peiyao Dang, Jiajun Gao, Lin Lin and Hao Wang
Electronics 2025, 14(22), 4537; https://doi.org/10.3390/electronics14224537 - 20 Nov 2025
Cited by 1 | Viewed by 399
Abstract
Despite notable advances in load forecasting and fault detection, current power system operation and maintenance (O&M) technologies remain fragmented into independent and primarily reactive modules. Load forecasting estimates future demand, whereas fault detection identifies whether abnormal conditions exist in the present state. This [...] Read more.
Despite notable advances in load forecasting and fault detection, current power system operation and maintenance (O&M) technologies remain fragmented into independent and primarily reactive modules. Load forecasting estimates future demand, whereas fault detection identifies whether abnormal conditions exist in the present state. This paper proposes a unified and proactive Cognitive Digital Twin (CDT) system. Unlike traditional data-driven approaches, the CDT integrates Large Language Models (LLMs) and Knowledge Graphs (KGs) as cognitive cores to enable deeper reasoning and context-aware decision-making. The CDT system not only mirrors the physical grid but also acts as an intelligent O&M engine capable of understanding, reasoning, predicting, and self-diagnosing. The core innovation lies in prediction-based anomaly detection. The system first estimates the expected healthy state of the grid at future time steps and then compares real-time monitoring data against these predictions to identify incipient anomalies. This enables genuine foresight rather than simple reactive detection. By orchestrating advanced analytical modules, including CNN–LSTM hybrid models and optimization algorithms, the CDT supports autonomous O&M operations with transparent and explainable decision-making. These capabilities enhance grid resilience and improve the system’s capacity for self-healing. Full article
Show Figures

Figure 1

22 pages, 2830 KB  
Article
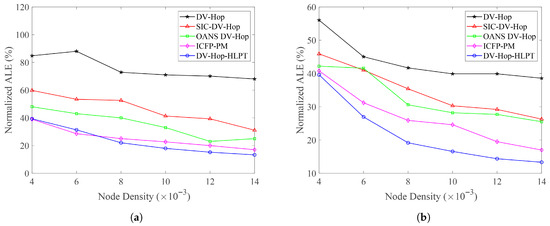
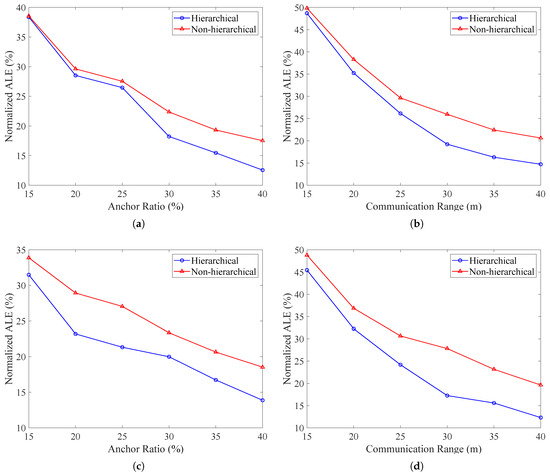
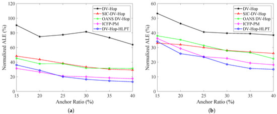
A Multi-Hop Localization Algorithm Based on Path Tortuosity Correction and Hierarchical Anchor Extension for Wireless Sensor Networks
by Liping Wang, Xing Liu and Dongyao Zou
Electronics 2025, 14(22), 4536; https://doi.org/10.3390/electronics14224536 - 20 Nov 2025
Viewed by 221
Abstract
In wireless sensor networks (WSNs), node localization technology serves as a critical foundation for Internet of Things (IoT) applications such as environmental monitoring and ecological protection. High-precision localization has long been a key challenge in IoT applications. However, traditional multi-hop localization algorithms suffer [...] Read more.
In wireless sensor networks (WSNs), node localization technology serves as a critical foundation for Internet of Things (IoT) applications such as environmental monitoring and ecological protection. High-precision localization has long been a key challenge in IoT applications. However, traditional multi-hop localization algorithms suffer from insufficient localization accuracy in complex environments due to path tortuosity and error accumulation. To address this issue, this paper proposes DV-Hop-HLPT, a multi-hop localization algorithm based on a tortuosity model and a hierarchical strategy for reliable anchor nodes. The algorithm employs a hierarchical localization strategy to expand the anchor node set, incorporating high-precision localized nodes into the anchor node collection through received signal strength indication (RSSI) calibration and evaluating their reliability. To address the multi-hop path tortuosity problem, the algorithm constructs a tortuosity weight model by analyzing path information between anchor nodes, enabling dynamic correction of multi-hop path lengths. Combined with an incremental shortest path first (ISPF) algorithm to limit search depth, the approach enhances adaptability to dynamic networks. Finally, utilizing the tortuosity model and anchor node reliability, the unknown node coordinates are solved through regularized weighted least squares method. Experimental results demonstrate that under square and C-shaped network topologies, DV-Hop-HLPT reduces average normalized localization error by 50.15% and 70.95%, respectively, compared with DV-Hop, and shows significant improvements over other enhanced algorithms, effectively addressing the localization accuracy degradation problem caused by sparse anchor nodes in complex environments. Full article
Show Figures

Figure 1

22 pages, 9641 KB  
Article
Additive Manufacturing as a Cost-Effective Solution for Stepped-Septum Polarizers
by Tayla Dahms, Bahare Mohamadzade, Ken W. Smart and Stephanie L. Smith
Electronics 2025, 14(22), 4535; https://doi.org/10.3390/electronics14224535 - 20 Nov 2025
Viewed by 385
Abstract
Additive manufacturing (AM) offers significant potential for producing complex, cost-effective, and high-performance components in the radio frequency and microwave industry. To significantly benefit from the manufacturing and design freedoms AM offers, AM-based microwave research must shift toward creating designs inherently optimized for AM. [...] Read more.
Additive manufacturing (AM) offers significant potential for producing complex, cost-effective, and high-performance components in the radio frequency and microwave industry. To significantly benefit from the manufacturing and design freedoms AM offers, AM-based microwave research must shift toward creating designs inherently optimized for AM. This study investigates various AM methods and materials for fabricating a polarizer operating in the K-band, a device widely used in microwave systems and well-suited for AM due to its intricate geometry. Four manufacturing approaches—machining and electroforming, stereolithography and electroless plating, bound metal deposition, and selective laser melting—were evaluated for accuracy, surface quality, and electrical performance. The polarizers were characterized through both single and back-to-back measurements and compared against CST Studio Suite simulations. To better understand discrepancies in performance, further analysis of material properties was conducted using conductivity measurements, skin depth calculations, optical microscopy, and scanning electron microscopy imaging. The results demonstrate that AM techniques can achieve good agreement with simulations and reveal the strengths and limitations of each method, guiding the selection of suitable AM processes for reliable and precise microwave component fabrication in the K-band. Full article
Show Figures

Figure 1

17 pages, 2119 KB  
Article
Nonverbal Interactions with Virtual Agents in a Virtual Reality Museum
by Chaerim Sung and Sanghun Nam
Electronics 2025, 14(22), 4534; https://doi.org/10.3390/electronics14224534 - 20 Nov 2025
Viewed by 463
Abstract
Virtual reality (VR) learning environments can provide enriched, effective educational experiences by heightening one’s sense of immersion. Consequently, virtual agents (VAs) capable of complementing or substituting human instructors are gaining research traction. However, researchers predominantly examine VAs in nonimmersive contexts, rarely investigating their [...] Read more.
Virtual reality (VR) learning environments can provide enriched, effective educational experiences by heightening one’s sense of immersion. Consequently, virtual agents (VAs) capable of complementing or substituting human instructors are gaining research traction. However, researchers predominantly examine VAs in nonimmersive contexts, rarely investigating their roles within immersive VR settings. Users’ sense of immersion and social presence in VR environments can fluctuate more significantly than in nonimmersive platforms, rendering the communicative attributes of VAs particularly consequential. This study investigates the effects of VAs’ nonverbal behaviors on user experience in a VR-based learning environment. A VR environment modeled after an art museum was developed, in which a virtual curator engaged participants through two distinct modes of interaction. Participants were randomly assigned to one of the two groups: a group with an agent applying both verbal and nonverbal behaviors or a group with an agent that only uses verbal communication. Findings demonstrated that the inclusion of nonverbal behaviors enhanced the participants’ sense of immersion, social presence, and engagement with the learning content. This study enriches the literature by identifying effective communication strategies for the design of VAs in VR environments and by offering implications for the development of more immersive and engaging VR experiences. Full article
(This article belongs to the Special Issue New Trends in User-Centered System Design and Development)
Show Figures

Figure 1

16 pages, 4211 KB  
Article
MambaDPF-Net: A Dual-Path Fusion Network with Selective State Space Modeling for Robust Low-Light Image Enhancement
by Zikang Zhang and Songfeng Yin
Electronics 2025, 14(22), 4533; https://doi.org/10.3390/electronics14224533 - 19 Nov 2025
Viewed by 359
Abstract
Low-light images commonly suffer from insufficient contrast, noise accumulation, and colour shifts, which impair human perception and subsequent visual tasks. We propose MambaDPF-Net—a dual-path fusion framework based on the retinal effect, adhering to a ‘decoupling–denoising–coupling’ paradigm while incorporating sharpening priors for texture stabilisation. [...] Read more.
Low-light images commonly suffer from insufficient contrast, noise accumulation, and colour shifts, which impair human perception and subsequent visual tasks. We propose MambaDPF-Net—a dual-path fusion framework based on the retinal effect, adhering to a ‘decoupling–denoising–coupling’ paradigm while incorporating sharpening priors for texture stabilisation. Specifically, the decoupling branch estimates illumination and reflectance through dual-scale feature aggregation with physically interpretable constraints; the denoising branch primarily performs noise reduction in the reflectance domain, employing an illumination-aware modulation mechanism to prevent excessive smoothing in low-SNR regions; the coupling branch utilises a selective state space module (Mamba) to adaptively fuse spatio-temporal representations, achieving non-local interactions and cross-region long-range dependency modelling with near-linear complexity. Extensive experiments on public datasets demonstrate that this method achieves state-of-the-art performance on metrics such as PSNR and SSIM, excels in non-reference evaluations, and produces natural colours with enhanced details. This validates the proposed approach’s effectiveness and robustness. Full article
(This article belongs to the Special Issue 2D/3D Industrial Visual Inspection and Intelligent Image Processing)
Show Figures

Figure 1

29 pages, 6088 KB  
Article
Lightweight AI for Sensor Fault Monitoring
by Bektas Talayoglu, Jerome Vande Velde and Bruno da Silva
Electronics 2025, 14(22), 4532; https://doi.org/10.3390/electronics14224532 - 19 Nov 2025
Viewed by 375
Abstract
Sensor faults can produce incorrect data and disrupt the operation of entire systems. In critical environments, such as healthcare, industrial automation, or autonomous platforms, these faults can lead to serious consequences if not detected early. This study explores how faults in MEMS microphones [...] Read more.
Sensor faults can produce incorrect data and disrupt the operation of entire systems. In critical environments, such as healthcare, industrial automation, or autonomous platforms, these faults can lead to serious consequences if not detected early. This study explores how faults in MEMS microphones can be classified using lightweight ML models suitable for devices with limited resources. A dataset was created for this work, including both real faults (normal, clipping, stuck, and spikes) caused by issues like acoustic overload and undervoltage, and synthetic faults (drift and bias). The goal was to simulate a range of fault behaviors, from clear malfunctions to more subtle signal changes. Convolutional Neural Networks (CNNs) and hybrid models that use CNNs for feature extraction with classifiers like Decision Trees, Random Forest, MLP, Extremely Randomized Trees, and XGBoost, were evaluated based on accuracy, F1-score, inference time, and model size towards real-time use in embedded systems. Experiments showed that using 2-s windows improved accuracy and F1-scores. These findings help design ML solutions for sensor fault classification in resource-limited embedded systems and IoT applications. Full article
Show Figures

Figure 1

13 pages, 2464 KB  
Article
Development and Validation of an Unobtrusive Automatic Sleep Quality Assessment Index (ASQI) for Elderly Individuals
by Zunyi Tang, Yoshinobu Murayama, Linlin Jiang and Wenxi Chen
Electronics 2025, 14(22), 4531; https://doi.org/10.3390/electronics14224531 - 19 Nov 2025
Viewed by 436
Abstract
This study presents the development and validation of an unobtrusive automatic sleep quality assessment index (ASQI) designed for elderly individuals. The proposed method utilizes features such as sleep duration, sleep latency, and sleep efficiency, calculated from physiological data—heart rate, respiratory rate, body movements, [...] Read more.
This study presents the development and validation of an unobtrusive automatic sleep quality assessment index (ASQI) designed for elderly individuals. The proposed method utilizes features such as sleep duration, sleep latency, and sleep efficiency, calculated from physiological data—heart rate, respiratory rate, body movements, and bed-exit behavior—captured by a non-contact bed sensor system installed in home environments. Based on these parameters, a six-component sleep quality index was constructed to objectively evaluate nightly sleep. To assess the reliability and validity of ASQI, sleep data were collected from eleven elderly participants over a one-year period. Results showed strong test–retest reliability (r=0.91, p<0.001) and moderate correlation with the widely used Pittsburgh Sleep Quality Index (PSQI) (r=0.52, p<0.05). Furthermore, ASQI successfully differentiated between self-reported good and poor sleepers, achieving a classification accuracy of 85.7%, with a sensitivity of 66.7% and specificity of 93.3%. These findings demonstrate that the ASQI system is a practical and scalable tool for continuous, home-based sleep monitoring in older populations. Its non-intrusive design and objective scoring make it well-suited for personalized sleep management and early detection of sleep-related issues. This work contributes to the growing field of unobtrusive health monitoring and highlights the potential of sensor-based systems in elderly care. Full article
(This article belongs to the Special Issue Wearable Sensors for Human Position, Attitude and Motion Tracking)
Show Figures

Figure 1

32 pages, 1726 KB  
Article
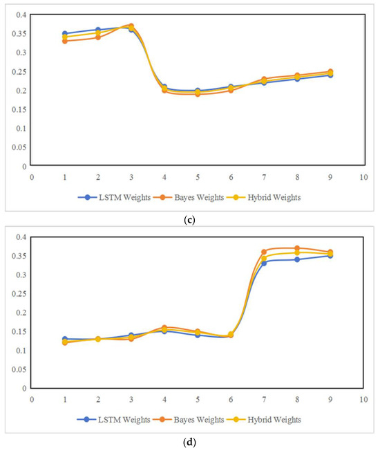
A Method for Evaluating the Capability Adaptability of Equipment Groups Considering Dynamic Weight Adjustment
by Mingjie Jiang, Tiejun Jiang, Lijun Guo and Shaohua Liu
Electronics 2025, 14(22), 4530; https://doi.org/10.3390/electronics14224530 - 19 Nov 2025
Viewed by 250
Abstract
To address the issues of incomplete indicator coverage and dynamic weights not aligning with changes in the external environment in the evaluation of equipment group capability adaptability—resulting in biased evaluation results and poor applicability—this study proposes an equipment group capability adaptability evaluation method [...] Read more.
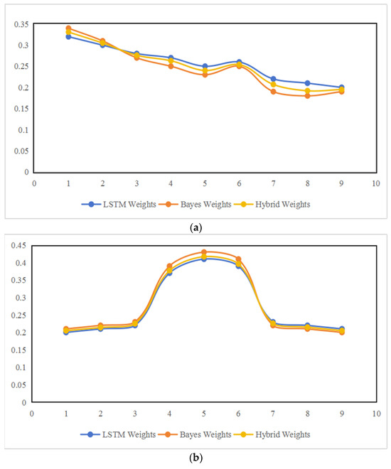
To address the issues of incomplete indicator coverage and dynamic weights not aligning with changes in the external environment in the evaluation of equipment group capability adaptability—resulting in biased evaluation results and poor applicability—this study proposes an equipment group capability adaptability evaluation method considering dynamic weight adjustment. Firstly, a four-dimensional indicator system encompassing capability requirement adaptability, equipment collaboration adaptability, external environment adaptability, and cycle support adaptability is constructed, and an association model for each indicator is designed. Secondly, an Long Short-Term Memory (LSTM)–Bayesian combined dynamic weight calculation method is proposed to compute the equipment group capability adaptability. Finally, case verification results show that the four-dimensional indicators match phase-specific requirements and the dynamic weights are accurately adjusted with phases, indicating that the method is reasonable and reliable. It can provide technical support for equipment group adaptability decision-making in dynamic scenarios. Full article
Show Figures

Figure 1

16 pages, 2891 KB  
Article
Design and Simulation of Low-Power Adiabatic PUF Circuit
by Jiaming Liu and Yasuhiro Takahashi
Electronics 2025, 14(22), 4529; https://doi.org/10.3390/electronics14224529 - 19 Nov 2025
Viewed by 262
Abstract
The rapid development of Internet of Things (IoT) devices has raised challenges in hardware security, as these devices often transmit sensitive data. Physically Unclonable Functions (PUFs) provide a promising approach to address such security concerns. However, high power consumption limits the efficiency of [...] Read more.
The rapid development of Internet of Things (IoT) devices has raised challenges in hardware security, as these devices often transmit sensitive data. Physically Unclonable Functions (PUFs) provide a promising approach to address such security concerns. However, high power consumption limits the efficiency of PUFs and reduces battery life in IoT devices, making low-power operation essential while generating secure keys. Adiabatic logic offers a method to reduce energy dissipation in CMOS circuits. By combining these concepts, adiabatic-based PUFs utilize both CMOS process variations and adiabatic logic principles to achieve low-power operation while maintaining high security. In this paper, a low-power 6-transistor (6T) adiabatic PUF circuit is designed and evaluated through simulation using 0.18 μm CMOS process. The simulation is performed under three body-bias conditions, where the PMOS transistor body is connected to Vdd, Vpc, or the source, and the results show that the proposed PUF achieves high key metrics including reliability and uniqueness close to their ideal values. In addition, it achieves an energy dissipation of 15.10 fJ/Cb-cycle per bit, reducing energy dissipation by over 60% compared to the conventional quasi-adiabatic design. Furthermore, by reducing the number of transistors compared to the conventional ultra-low-power design, the proposed circuit achieves a smaller implementation area. Full article
Show Figures

Figure 1

17 pages, 4862 KB  
Article
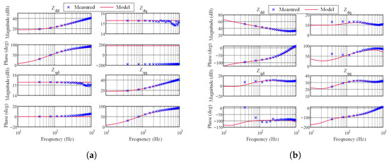
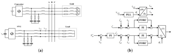
Multi-Functional Impedance Measurement by Means of Fractional-Order Harmonic Injection
by Zhiren Liu, Kai Chen, Xuan Zhao and Zhixiang Zou
Electronics 2025, 14(22), 4528; https://doi.org/10.3390/electronics14224528 - 19 Nov 2025
Viewed by 287
Abstract
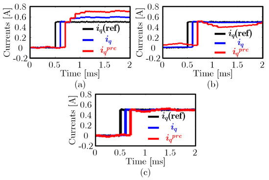
As power electronic converters increase in scale, impedance measurement has become critical for assessing system stability, detecting islanding, and performing other critical analyses. This paper derives the impedance from the voltage and current responses measured after controlled perturbations, employing d-q frame impedance matrices. [...] Read more.
As power electronic converters increase in scale, impedance measurement has become critical for assessing system stability, detecting islanding, and performing other critical analyses. This paper derives the impedance from the voltage and current responses measured after controlled perturbations, employing d-q frame impedance matrices. A static var generator (SVG) with redundant capacity is employed as the perturbation source, and a fractional-order repetitive control (FORC) strategy is introduced to inject the multi-frequency signal efficiently, eliminating the need for additional hardware. By optimizing the perturbation design and suppressing the dynamic error of the phase-locked loop, the method achieves both convergence and accuracy. Comprehensive simulations and experiments validate the approach. Full article
(This article belongs to the Special Issue Power System Driven Power Electronics)
Show Figures

Figure 1

22 pages, 2067 KB  
Article
MixMambaNet: Hybrid Perception Encoder and Non-Local Mamba Aggregation for IRSTD
by Zikang Zhang and Songfeng Yin
Electronics 2025, 14(22), 4527; https://doi.org/10.3390/electronics14224527 - 19 Nov 2025
Viewed by 340
Abstract
Infrared small target detection (IRSTD) is hindered by low signal-to-noise ratios, minute object scales, and strong target–background similarity. Although long-range skip fusion is exploited in SCTransNet, the global context is insufficiently captured by its convolutional encoder, and the fusion block remains vulnerable to [...] Read more.
Infrared small target detection (IRSTD) is hindered by low signal-to-noise ratios, minute object scales, and strong target–background similarity. Although long-range skip fusion is exploited in SCTransNet, the global context is insufficiently captured by its convolutional encoder, and the fusion block remains vulnerable to structured clutter. To address these issues, a Mamba-enhanced framework, MixMambaNet, is proposed with three mutually reinforcing components. First, ResBlocks are replaced by a perception-aware hybrid encoder, in which local perceptual attention is coupled with mixed pixel–channel attention along multi-branch paths to emphasize weak target cues while modeling image-wide context. Second, at the bottleneck, dense pre-enhancement is integrated with a selective-scan 2D (SS2D) state-space (Mamba) core and a lightweight hybrid-attention tail, enabling linear-complexity long-range reasoning that is better suited to faint signals than quadratic self-attention. Third, the baseline fusion is substituted with a non-local Mamba aggregation module, where DASI-inspired multi-scale integration, SS2D-driven scanning, and adaptive non-local enhancement are employed to align cross-scale semantics and suppress structured noise. The resulting U-shaped network with deep supervision achieves higher accuracy and fewer false alarms at a competitive cost. Extensive evaluations on NUDT-SIRST, NUAA-SIRST, and IRSTD-1k demonstrate consistent improvements over prevailing IRSTD approaches, including SCTransNet. Full article
Show Figures

Figure 1

22 pages, 36002 KB  
Article
An Improved YOLOv11-Based Method for Defect Detection in Lyophilized Vial
by Dengbiao Jiang, Kelong Zhu, Nian Tao and Xingwei Ren
Electronics 2025, 14(22), 4526; https://doi.org/10.3390/electronics14224526 - 19 Nov 2025
Viewed by 506
Abstract
Lyophilized Vial is the primary packaging form for injectable pharmaceuticals. However, conventional vision-based inspection methods have shown limited effectiveness in detecting Lyophilized Vial defects. Because the defect regions in Lyophilized Vials are typically small and exhibit weak feature responses, while YOLOv11 employs convolutional [...] Read more.
Lyophilized Vial is the primary packaging form for injectable pharmaceuticals. However, conventional vision-based inspection methods have shown limited effectiveness in detecting Lyophilized Vial defects. Because the defect regions in Lyophilized Vials are typically small and exhibit weak feature responses, while YOLOv11 employs convolutional layers with a fixed structure, resulting in a limited receptive field and insufficient cross-scale feature interaction. Thisdiminishes the model’s ability to perceive fine-grained textures and large-scale structural features in Lyophilized Vial defect detection. To address this issue, we propose a defect detection network—SAF-YOLO (Spectrum and Attention Fusion YOLO)—built upon YOLOv11 and enhanced from the perspectives of spectrum perception and attention mechanisms. For spectrum perception, we introduce the Wavelet-C3K2 (WTC3K2) module into the backbone network. Leveraging wavelet-based spectral perception, this module enables the network to capture multi-spectral features, thereby expanding the receptive field without compromising the extraction of small-object features. For attention enhancement, we design two modules. First, the Global Context Feature Refine (GCFR) module is added between the backbone and neck networks, where spatial adaptive pooling and attention mechanisms improve the network’s capacity to model contextual information. Second, within the neck network, we deploy the Multi-Scale Attention Fusion Module (MSAFM), which integrates multi-branch convolutions with a dual-channel attention mechanism to further strengthen feature perception. Experimental results demonstrate that, across various typical Lyophilized Vial defect categories, the proposed algorithm achieves a 2.6% improvement in mAP@50 compared to the baseline YOLOv11, validating the effectiveness of the proposed approach. Full article
Show Figures

Figure 1

22 pages, 1529 KB  
Article
Maskable PPO-Based Topology Control for Reverse Power Flow Mitigation in PV-Rich Distribution Networks
by Tu Lan, Ruisheng Diao, Wangjie Xu, Jiehua Ju, Xuanchen Xiang and Kunqi Jia
Electronics 2025, 14(22), 4525; https://doi.org/10.3390/electronics14224525 - 19 Nov 2025
Viewed by 331
Abstract
The rapid proliferation of photovoltaic (PV) generation has transformed conventional distribution systems, resulting in frequent reverse power flow (RPF) and associated overvoltage issues. This paper presents a deep reinforcement learning (DRL)-based topology control method to autonomously mitigate RPF and voltage violations. A novel [...] Read more.
The rapid proliferation of photovoltaic (PV) generation has transformed conventional distribution systems, resulting in frequent reverse power flow (RPF) and associated overvoltage issues. This paper presents a deep reinforcement learning (DRL)-based topology control method to autonomously mitigate RPF and voltage violations. A novel multi-discrete Maskable Proximal Policy Optimization (MPPO) algorithm is proposed, combining topology-aware action masking with a multi-discrete action representation to ensure constraint satisfaction and enhance training stability. The approach efficiently explores the feasible switching space while maintaining network radiality, load connectivity, and power flow solvability. Extensive case studies based on one year of operational data from a practical distribution system show that the proposed agent achieves an average RPF reduction of 24.3% across the test cases and restores normal voltage conditions in about 65% of scenarios, while satisfying other operational constraints. The results confirm that the proposed method provides a scalable, data-driven solution for topology reconfiguration in PV-rich distribution networks. Full article
(This article belongs to the Special Issue AI-Driven Solutions for Operation and Control of Future Smart Grids)
Show Figures

Figure 1

25 pages, 2227 KB  
Article
Offline Metrics vs. Online Performance in SDN: A Performance Reversal Study of MLP and GraphSAGE
by Mi Young Jo and Kee Cheon Kim
Electronics 2025, 14(22), 4524; https://doi.org/10.3390/electronics14224524 - 19 Nov 2025
Viewed by 306
Abstract
Software-Defined Networking (SDN) provides centralized control over routing paths through a logically centralized controller. Although Graph Neural Networks (GNNs) such as GraphSAGE have shown strong potential for network topology analysis, their superiority over simpler models like the Multi-Layer Perceptron (MLP) in dynamic SDN [...] Read more.
Software-Defined Networking (SDN) provides centralized control over routing paths through a logically centralized controller. Although Graph Neural Networks (GNNs) such as GraphSAGE have shown strong potential for network topology analysis, their superiority over simpler models like the Multi-Layer Perceptron (MLP) in dynamic SDN control remains unclear. In this study, we compare MLP and GraphSAGE using three training data volumes (70, 100, and 140) and spatio-temporal features that integrate spatial and temporal characteristics of each node. Experimental results reveal a distinct discrepancy between offline classification metrics and online SDN performance. Offline evaluation showed that MLP achieved a slightly higher F1-score (0.62) than GraphSAGE (0.59). However, when deployed in a SDN controller, GraphSAGE reduced latency by 17%, increased throughput by 8%, and improved jitter by 31%. These results demonstrate that higher offline accuracy does not necessarily translate into better real-time control performance, since offline metrics fail to capture topology-aware routing, congestion recovery, and dynamic adaptation effects. The findings provide a practical guideline for SDN-oriented AI model evaluation, emphasizing end-to-end system performance over isolated offline metrics. Full article
Show Figures

Figure 1

16 pages, 3547 KB  
Article
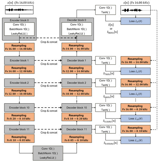
Frequency-Aware Multi-Rate Resampling with Multi-Band Deep Supervision for Modular Speech Denoising
by Seon Man Kim
Electronics 2025, 14(22), 4523; https://doi.org/10.3390/electronics14224523 - 19 Nov 2025
Viewed by 432
Abstract
Conventional waveform-based speech enhancement models prioritize temporal modeling, often neglecting the irreversible spectral information loss triggered by standard downsampling. Consequently, this study introduces a novel frequency-aware framework. The proposed approach incorporates a modular, multi-rate resampling module with principled anti-aliasing to precisely control each [...] Read more.
Conventional waveform-based speech enhancement models prioritize temporal modeling, often neglecting the irreversible spectral information loss triggered by standard downsampling. Consequently, this study introduces a novel frequency-aware framework. The proposed approach incorporates a modular, multi-rate resampling module with principled anti-aliasing to precisely control each layer’s effective frequency band, complemented by a multi-band loss function for deep supervision. Integrating this module into a standard Wave-U-Net and an attention-enhanced variant confirmed its effectiveness. The findings show a significant improvement over the baseline, yielding an average Perceptual Evaluation of Speech Quality gain of 0.40, with further benefits when paired with an advanced temporal model at a permissible increase in computational complexity. Furthermore, tests on novel noise types validate the generalizability of the proposed principles, establishing structured frequency band allocation as a fundamental, modular design strategy for improving end-to-end models. Full article
(This article belongs to the Special Issue Intelligent Signal Processing and Its Applications)
Show Figures

Figure 1

22 pages, 83077 KB  
Article
Comparative Analysis of SiC-Based Isolated Bidirectional DC/DC Converters for a Modularized Off-Board EV Charging System with a Bipolar DC Link
by Kaushik Naresh Kumar, Rafał Miśkiewicz, Przemysław Trochimiuk, Jacek Rąbkowski and Dimosthenis Peftitsis
Electronics 2025, 14(22), 4522; https://doi.org/10.3390/electronics14224522 - 19 Nov 2025
Viewed by 554
Abstract
The choice of a suitable isolated and bidirectional DC/DC converter (IBDC) topology is an important step in the design of a bidirectional electric vehicle (EV) charging system. In this context, six 10 kW rated silicon carbide (SiC) metal–oxide–semiconductor field-effect transistor (MOSFET)-based dual-active bridge [...] Read more.
The choice of a suitable isolated and bidirectional DC/DC converter (IBDC) topology is an important step in the design of a bidirectional electric vehicle (EV) charging system. In this context, six 10 kW rated silicon carbide (SiC) metal–oxide–semiconductor field-effect transistor (MOSFET)-based dual-active bridge (DAB) converter topologies, supplied by a +750/0/−750 V bipolar DC link, are analyzed and compared in this article. The evaluation criteria include the required volt-ampere semiconductor ratings, loss distribution, efficiency, and thermal considerations of the considered converter configurations. The IBDC topologies are compared based on the observations and results obtained from theoretical analysis, electro-thermal simulations, and experiments, considering the same voltage and power conditions. The advantages and disadvantages of the topologies, in terms of the considered evaluation criteria, are discussed. It is shown that the series-resonant (SR) input-series output-parallel (ISOP) full-bridge (FB) DAB converter configuration is the most suitable design choice for the considered EV charging application based on the chosen operating conditions and evaluation criteria. Full article
(This article belongs to the Special Issue DC–DC Power Converter Technologies for Energy Storage Integration)
Show Figures

Figure 1

17 pages, 2350 KB  
Article
Enhanced Knowledge Graph Completion Based on Structure-Aware and Semantic Fusion Driven by Large Language Models
by Jing Hu, Hishammuddin Asmuni, Kun Wang and Yingying Li
Electronics 2025, 14(22), 4521; https://doi.org/10.3390/electronics14224521 - 19 Nov 2025
Viewed by 514
Abstract
Knowledge graphs (KGs) have emerged as fundamental infrastructures for organizing structured information across a wide range of AI applications. Practically, KGs are often incomplete, which limits their effectiveness. Knowledge Graph Completion (KGC) has become a critical research problem. Existing methods of KGC primarily [...] Read more.
Knowledge graphs (KGs) have emerged as fundamental infrastructures for organizing structured information across a wide range of AI applications. Practically, KGs are often incomplete, which limits their effectiveness. Knowledge Graph Completion (KGC) has become a critical research problem. Existing methods of KGC primarily rely on graph structure or textual descriptions independently, often failing to capture the complex interplay between structural topology and rich semantic context. Recent advances in Large Language Models (LLMs) offer promising capabilities in understanding and generating human-like semantic representations. However, effectively integrating such models with structured graph information remains a challenging and underexplored area. In this work, we propose an enhanced KGC framework that leverages a structure-aware and semantic fusion mechanisms driven by the representational power of LLMs. Our method jointly encodes the topological structure of the graph and the textual semantics of entities and relations, allowing for more informed and context-rich KGC. The experimental results of benchmark datasets demonstrate that our approach outperforms existing baselines, particularly in scenarios with sparse graph connectivity or limited textual information. In particular, on the WN18RR dataset, the model demonstrates a 12.4% increase in Hits@3 and an 11.7% increase in Hits@10. Full article
Show Figures

Figure 1

26 pages, 27683 KB  
Article
A 0.9 V, Ultra-Low-Power OTA with Low NEF and High CMRR for Batteryless Biomedical Front-Ends
by Md. Zubair Alam Emon, Rifatuzzaman Apu and Mohamed B. Elamien
Electronics 2025, 14(22), 4520; https://doi.org/10.3390/electronics14224520 - 19 Nov 2025
Viewed by 538
Abstract
This paper presents a new operational transconductance amplifier (OTA) design for batteryless biomedical front-ends. The proposed OTA operates in the subthreshold region and utilizes self-cascode devices to achieve ultra-low power, low noise, and a high common-mode rejection ratio (CMRR [...] Read more.
This paper presents a new operational transconductance amplifier (OTA) design for batteryless biomedical front-ends. The proposed OTA operates in the subthreshold region and utilizes self-cascode devices to achieve ultra-low power, low noise, and a high common-mode rejection ratio (CMRR). Post-layout simulations in Cadence, using 45 nm CMOS technology with 0.9 V supply voltage, show a power consumption of 49.3 nW, a CMRR of 144.9 dB, an input-referred noise of 4.51 μVrms integrated over 0.5–208 Hz, and a noise efficiency factor of 1.023 with a core silicon area of 0.00138 mm2. Using the proposed OTA, we implemented a 10-channel neural recording amplifier for Local Field Potentials (LFPs) based on a capacitively coupled, capacitive-feedback (CC-CF) topology with a body-driven pseudo-resistor high-pass path. The system achieves a total CMRR ≥ 70 dB and an estimated power of 494.2 nW for 10 channels. Compared with prior art, the proposed OTA offers competitive noise efficiency and common-mode rejection at lower power, making it a viable building block for batteryless neural and biomedical sensing front-ends. Full article
Show Figures

Figure 1

Previous Issue
Back to TopTop