Lightweight AI for Sensor Fault Monitoring
Abstract
1. Introduction
- A labeled fault dataset was created using MEMS microphone sensors, which, to the best of our knowledge, does not exist in the current literature. It includes both real faults, generated through acoustic overload and undervoltage conditions such as clipping, spike, stuck, and normal, and synthetic faults such as bias and drift.
- A sensor fault classification pipeline was developed using both deep learning and classical ML models. The impact of different window sizes (1 s and 2 s) on model performance, including accuracy, F1-score, inference time, and model size, was evaluated.
- A detailed experimental analysis was provided to support model selection for resource-constrained devices. The study also investigated how different sound categories, such as rain, alarms, and rivers, influence the ability to classify sensor faults.
2. Related Work
2.1. Previous Works
2.2. Public Datasets
- Intel Berkeley Research Lab Dataset: Several studies have adapted the Intel Berkeley Research Lab dataset [21] for their research. The original dataset consists of data from 54 sensors, including timestamped measurements of humidity, temperature, light, and voltage, collected every 31 s. It contains approximately 2.3 million samples. The original dataset is not labeled and does not include any fault types.
- Labeled Wireless Sensor Network Data Repository (LWSNDR): Suthaharan et al. [12] implemented a single-hop and multi-hop sensor network dataset using TelosB motes. The dataset consists of humidity and temperature measurements collected over a 6-h period at intervals of 5 s. This dataset is labeled as faulty or non-faulty. Several studies used this dataset by injecting different fault types.
2.3. Limitations and Research Gaps
3. Methodology
3.1. Experimental Setup
3.2. Sensor Faults
3.2.1. Bias/Offset Fault
3.2.2. Drift Fault
3.2.3. Stuck Fault
3.2.4. Spike Fault
3.2.5. Saturation/Clipping Fault
3.3. Data Acquisition
3.3.1. Chirp-Based Fault Characterization
3.3.2. Acoustic Overload Test
3.3.3. Undervoltage Test
3.3.4. Analysis of Chirp-Based Tests
3.3.5. Fault Data Collection
3.4. Synthetic Fault Injection
| Algorithm 1 Drift Fault Injection |
Input: Clean signal S of length N Output: Drifted signal
|
| Algorithm 2 Bias Fault Injection |
Input: Clean Signal S of length N, number of segments K, duration range Output: Biased signal
|
3.5. Dataset Preprocessing
3.6. Fault Classification
Training and Evaluation Setup
3.7. Evaluation Metrics
3.7.1. Accuracy
3.7.2. F1 Score
3.7.3. Inference Time
3.7.4. Model Size
4. Results
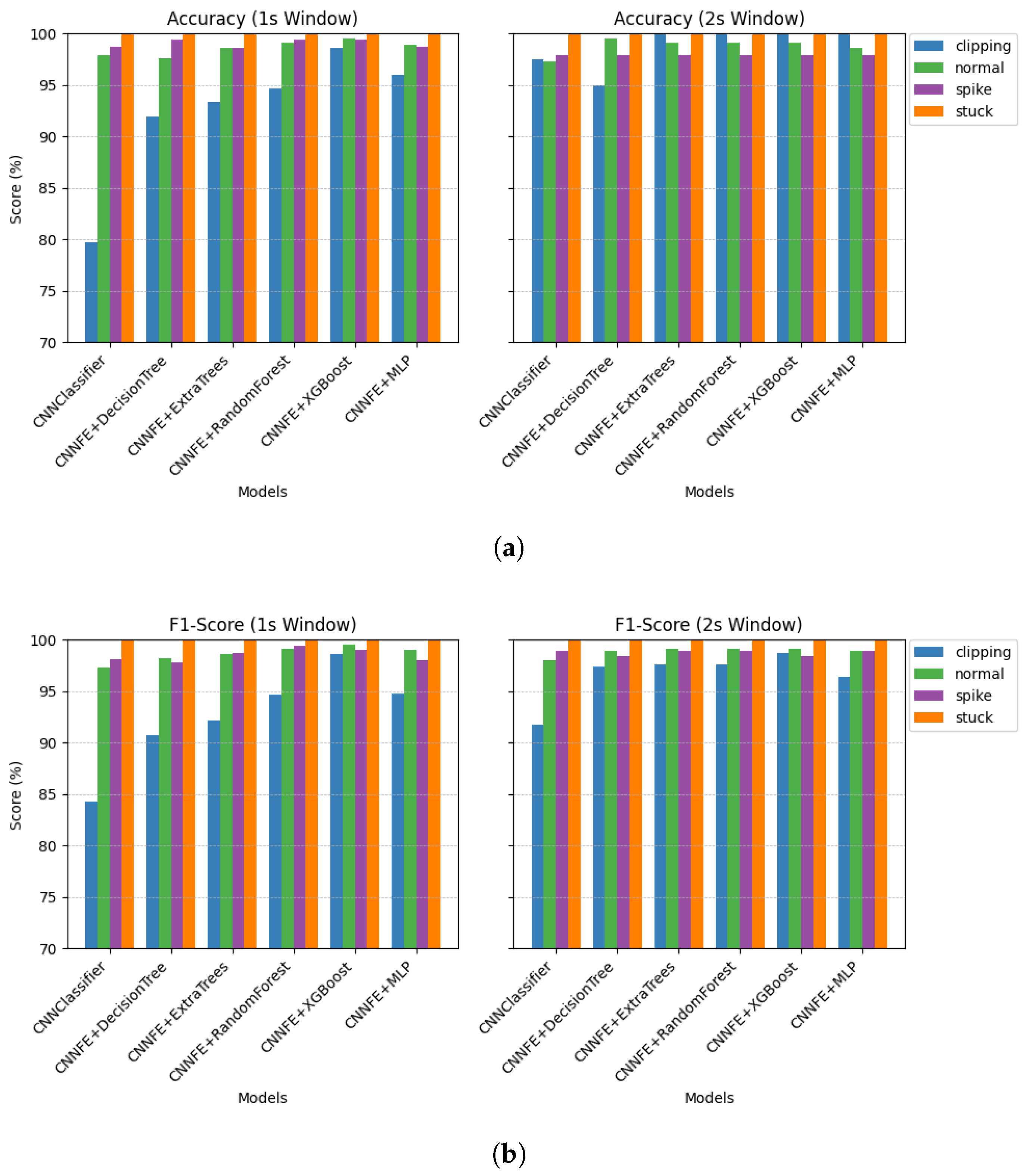
4.1. Experiment 1: Evaluation of Classifiers with Varying Window Sizes on Real Fault Data
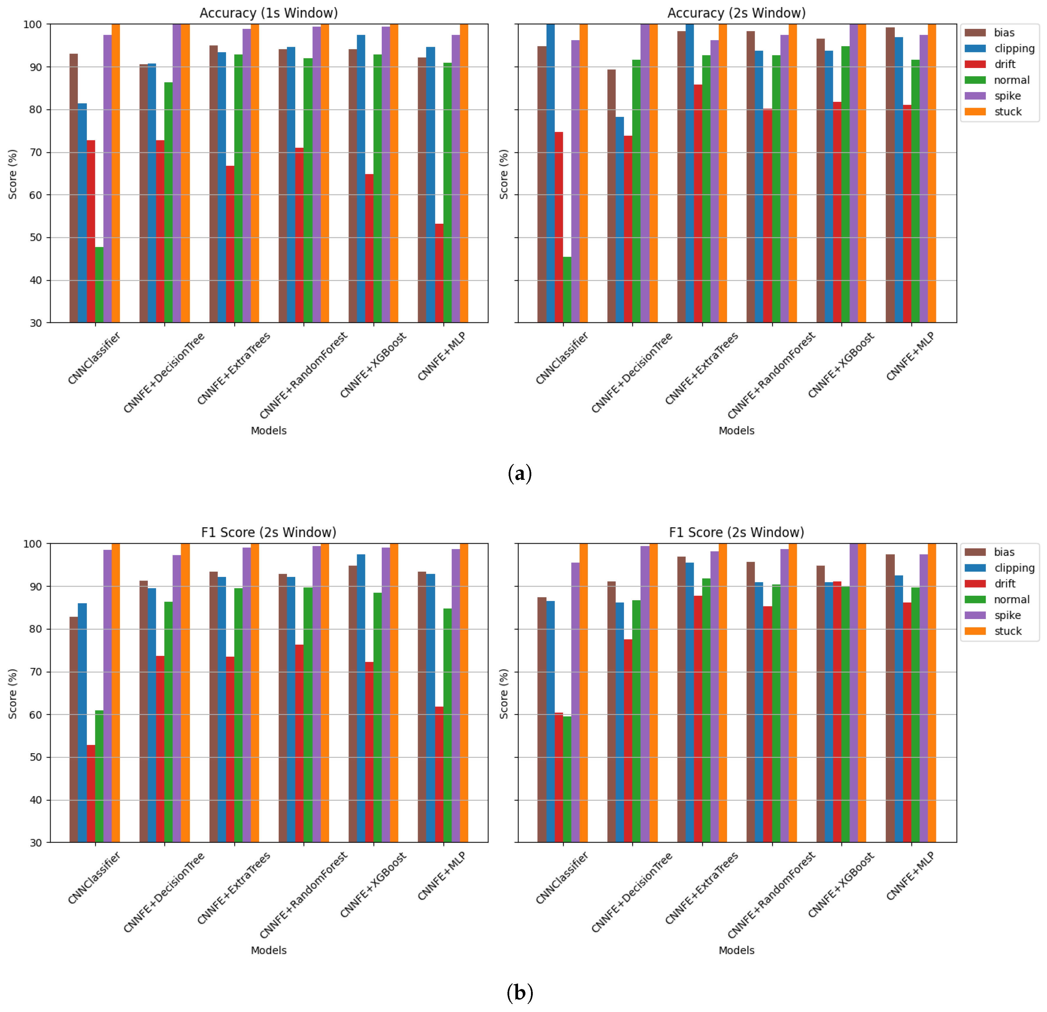
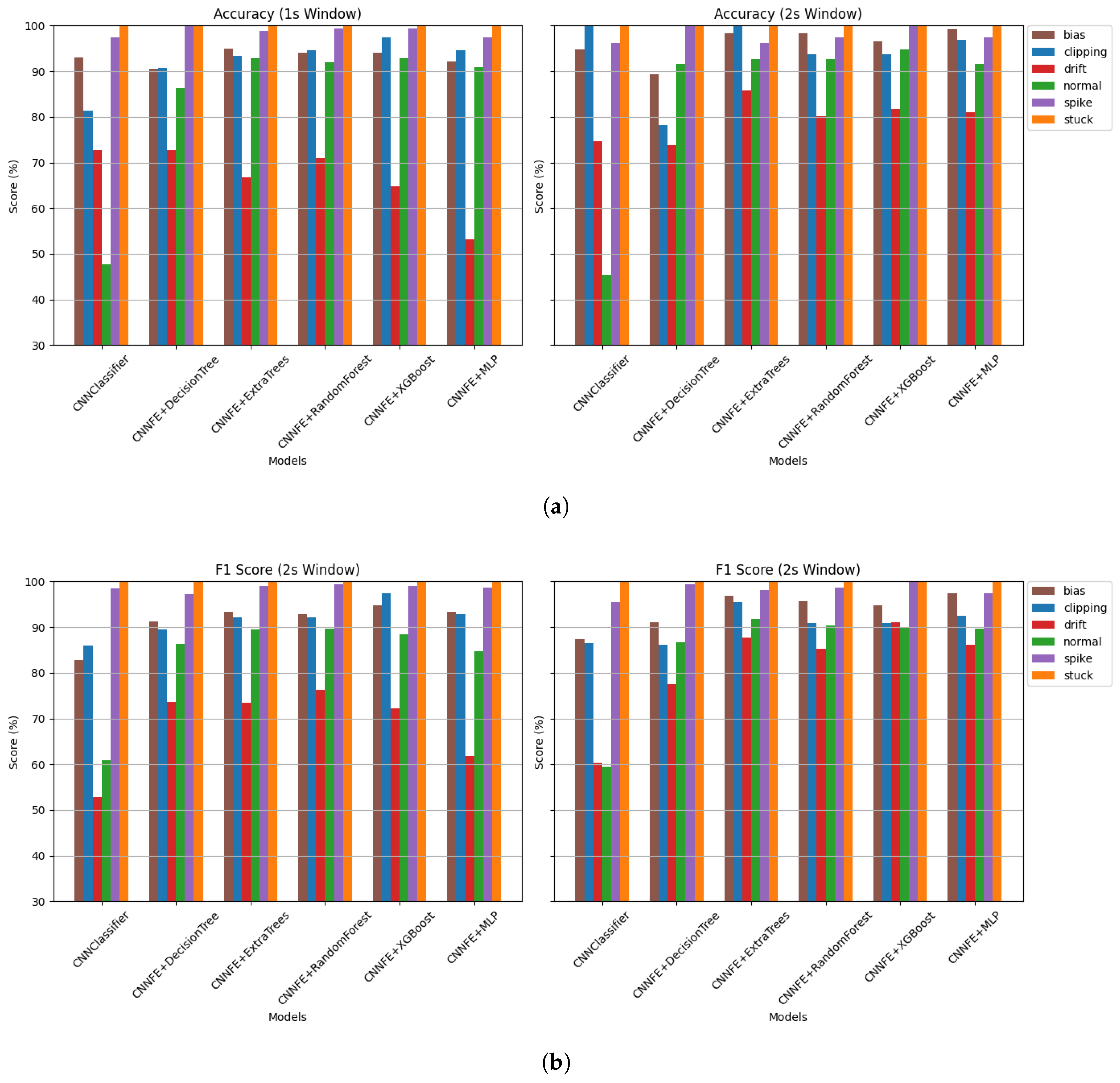
4.2. Experiment 2: Evaluation of Classifiers with Varying Window Sizes on Combined Real and Synthetic Fault Data
4.3. Experiment 3: Performance Evaluation Across Audio Categories
4.4. Discussion
5. Conclusions
Author Contributions
Funding
Data Availability Statement
Conflicts of Interest
References
- Seba, A.M.; Gemeda, K.A.; Ramulu, P.J. Prediction and classification of IoT sensor faults using hybrid deep learning model. Discov. Appl. Sci. 2024, 6, 9. [Google Scholar] [CrossRef]
- Anik, M.T.H.; Fadaeinia, B.; Moradi, A.; Karimi, N. On the impact of aging on power analysis attacks targeting power-equalized cryptographic circuits. In Proceedings of the 26th Asia and South Pacific Design Automation Conference, Tokyo Japan, 18–21 January 2021; pp. 414–420. [Google Scholar]
- Agarwal, A.; Sinha, A.; Das, D. FauDigPro: A Machine Learning based Fault Diagnosis and Prognosis System for Electrocardiogram Sensors. In Proceedings of the 2022 International Conference on Maintenance and Intelligent Asset Management (ICMIAM), Anand, India, 12–15 December 2022; pp. 1–6. [Google Scholar]
- Hasan, M.N.; Jan, S.U.; Koo, I. Sensor Fault Detection and Classification Using Multi-Step-Ahead Prediction with an Long Short-Term Memory (LSTM) Autoencoder. Appl. Sci. 2024, 14, 7717. [Google Scholar] [CrossRef]
- Saeed, U.; Lee, Y.D.; Jan, S.U.; Koo, I. CAFD: Context-aware fault diagnostic scheme towards sensor faults utilizing machine learning. Sensors 2021, 21, 617. [Google Scholar] [CrossRef]
- Saeed, U.; Jan, S.U.; Lee, Y.D.; Koo, I. Fault diagnosis based on extremely randomized trees in wireless sensor networks. Reliab. Eng. Syst. Saf. 2021, 205, 107284. [Google Scholar] [CrossRef]
- Min, H.; Fang, Y.; Wu, X.; Lei, X.; Chen, S.; Teixeira, R.; Zhu, B.; Zhao, X.; Xu, Z. A fault diagnosis framework for autonomous vehicles with sensor self-diagnosis. Expert Syst. Appl. 2023, 224, 120002. [Google Scholar] [CrossRef]
- Zidi, S.; Moulahi, T.; Alaya, B. Fault detection in wireless sensor networks through SVM classifier. IEEE Sensors J. 2017, 18, 340–347. [Google Scholar] [CrossRef]
- Sinha, A.; Das, D. XAI-LCS: Explainable AI-Based Fault Diagnosis of Low-Cost Sensors. IEEE Sensors Lett. 2023, 7, 1–4. [Google Scholar] [CrossRef]
- Novak, A.; Honzík, P. Measurement of nonlinear distortion of MEMS microphones. Appl. Acoust. 2021, 175, 107802. [Google Scholar] [CrossRef]
- Saeed, U.; Jan, S.U.; Lee, Y.D.; Koo, I. Machine learning-based real-time sensor drift fault detection using Raspberry PI. In Proceedings of the 2020 International Conference on Electronics, Information, and Communication (ICEIC), Barcelona, Spain, 19–22 January 2020; pp. 1–7. [Google Scholar]
- Suthaharan, S.; Alzahrani, M.; Rajasegarar, S.; Leckie, C.; Palaniswami, M. Labelled data collection for anomaly detection in wireless sensor networks. In Proceedings of the 2010 Sixth International Conference on Intelligent Sensors, Sensor Networks and Information Processing, Brisbane, QLD, Australia, 7–10 December 2010; pp. 269–274. [Google Scholar]
- Biddle, L.; Fallah, S. A Novel Fault Detection, Identification and Prediction Approach for Autonomous Vehicle Controllers Using SVM. Automot. Innov. 2021, 4, 301–314. [Google Scholar] [CrossRef]
- Noshad, Z.; Javaid, N.; Saba, T.; Wadud, Z.; Saleem, M.Q.; Alzahrani, M.E.; Sheta, O.E. Fault detection in wireless sensor networks through the random forest classifier. Sensors 2019, 19, 1568. [Google Scholar] [CrossRef]
- Jan, S.U.; Lee, Y.D.; Shin, J.; Koo, I. Sensor fault classification based on support vector machine and statistical time-domain features. IEEE Access 2017, 5, 8682–8690. [Google Scholar] [CrossRef]
- Warriach, E.U.; Tei, K. Fault detection in wireless sensor networks: A machine learning approach. In Proceedings of the 2013 IEEE 16th International Conference on Computational Science and Engineering, Sydney, NSW, Australia, 3–5 December 2013; pp. 758–765. [Google Scholar]
- Zhu, M.; Li, J.; Wang, W.; Chen, D. Self-Detection and Self-Diagnosis Methods for Sensors in Intelligent Integrated Sensing System. IEEE Sensors J. 2021, 21, 19247–19254. [Google Scholar] [CrossRef]
- Robinson Luque, C.E. Edge AI for Real-Time Anomaly Classification in Solar Photovoltaic Systems. 2023. Available online: https://scholar.google.com/scholar?hl=es&as_sdt=0%2C5&q=Edge+AI+for+real-time+anomaly+classification+in+solar+photovoltaic+systems&btnG=% (accessed on 26 October 2025).
- Lin, T.H.; Zhang, X.R.; Chen, C.P.; Chen, J.H.; Chen, H.H. Learning to identify malfunctioning sensors in a large-scale sensor network. IEEE Sensors J. 2021, 22, 2582–2590. [Google Scholar] [CrossRef]
- Sinha, A.; Das, D. An explainable deep learning approach for detection and isolation of sensor and machine faults in predictive maintenance paradigm. Meas. Sci. Technol. 2023, 35, 015122. [Google Scholar] [CrossRef]
- Group, M.D. MIT Computer Science and Artificial Intelligence Laboratory (CSAIL) Sensor Data. 2024. Available online: http://db.csail.mit.edu/labdata/labdata.html (accessed on 28 May 2025).
- De Bruijn, B.; Nguyen, T.A.; Bucur, D.; Tei, K. Benchmark datasets for fault detection and classification in sensor data. In Proceedings of the 5th International Confererence on Sensor Networks, Rome, Italy, 19–21 February 2016; pp. 185–195. Available online: https://research.rug.nl/files/128994363/SENSORNETS_2016_14.pdf (accessed on 26 October 2025).
- Poornima, I.G.A.; Paramasivan, B. Anomaly detection in wireless sensor network using machine learning algorithm. Comput. Commun. 2020, 151, 331–337. [Google Scholar] [CrossRef]
- Azzouz, I.; Boussaid, B.; Zouinkhi, A.; Abdelkrim, M.N. Multi-faults classification in WSN: A deep learning approach. In Proceedings of the 2020 20th International Conference on Sciences and Techniques of Automatic Control and Computer Engineering (STA), Sfax, Tunisia, 20–22 December 2020; pp. 343–348. [Google Scholar]
- Jan, S.U.; Lee, Y.D.; Koo, I.S. A distributed sensor-fault detection and diagnosis framework using machine learning. Inf. Sci. 2021, 547, 777–796. [Google Scholar] [CrossRef]
- Bountourakis, V.; Vrysis, L.; Papanikolaou, G. Machine Learning Algorithms for Environmental Sound Recognition: Towards Soundscape Semantics. In Proceedings of the Audio Mostly 2015 on Interaction With Sound, Thessaloniki, Greece, 7–9 October 2015; pp. 1–7. [Google Scholar]
- Bountourakis, V.; Vrysis, L.; Konstantoudakis, K.; Vryzas, N. An Enhanced Temporal Feature Integration Method for Environmental Sound Recognition. Acoustics 2019, 1, 410–422. [Google Scholar] [CrossRef]
- Chang, E. Sensor Failure Detection. 2023. Available online: https://github.com/ethanchang34/sensor-failure-detection (accessed on 15 May 2025).
- Jana, D.; Patil, J.; Herkal, S.; Nagarajaiah, S.; Duenas-Osorio, L. CNN and Convolutional Autoencoder (CAE) based real-time sensor fault detection, localization, and correction. Mech. Syst. Signal Process. 2022, 169, 108723. [Google Scholar] [CrossRef]
- Vandendriessche, J.; Wouters, N.; da Silva, B.; Lamrini, M.; Chkouri, M.Y.; Touhafi, A. Environmental sound recognition on embedded systems: From FPGAs to TPUs. Electronics 2021, 10, 2622. [Google Scholar] [CrossRef]
- Al-Libawy, H. Efficient implementation of a tiny deep learning classifier based on vibration-related fault detection using limited resources. J. Univ. Babylon Eng. Sci. 2025, 88–105. Available online: https://journalofbabylon.com/index.php/JUBES/article/view/5622?articlesBySimilarityPage=3 (accessed on 26 October 2025).
- Abd Elaziz, M.; Fares, I.A.; Aseeri, A.O. Ckan: Convolutional kolmogorov—Arnold networks model for intrusion detection in IoT environment. IEEE Access 2024, 12, 134837–134851. [Google Scholar] [CrossRef]
- Li, X.; Xi, W.; Lin, J. Randomnet: Clustering time series using untrained deep neural networks. Data Min. Knowl. Discov. 2024, 38, 3473–3502. [Google Scholar] [CrossRef]
- Tong, Z.; Tanaka, G. Reservoir computing with untrained convolutional neural networks for image recognition. In Proceedings of the 2018 24th International Conference on Pattern Recognition (ICPR), Beijing, China, 20–24 August 2018; pp. 1289–1294. [Google Scholar]
- Mazibuco, V.A.; Nhung, N.P.; Linh, N.T. Fault detection in wireless sensor networks with deep neural networks. J. Mil. Sci. Technol. 2023, 27–36. [Google Scholar] [CrossRef]
- Lhoest, L.; Lamrini, M.; Vandendriessche, J.; Wouters, N.; da Silva, B.; Chkouri, M.Y.; Touhafi, A. MosAIc: A classical machine learning multi-classifier based approach against deep learning classifiers for embedded sound classification. Appl. Sci. 2021, 11, 8394. [Google Scholar] [CrossRef]
















| Dataset | Paper | Year | AI Type | Category | Features | Sensor Type | Evaluation Metrics |
|---|---|---|---|---|---|---|---|
| Intel Lab | [1] | 2024 | CNN–LSTM CNN–MLP | No Fault Random Drift Bias Poly Drift | CNN as feature extractor | Temperature | MAE 2.09 RMSE 2.10 Acc 96.11–99.33% Prec, Rec, F1 99.33% |
| [22] | 2016 | Not mentioned | Clean Random Malfunction Bias Drift Poly Drift | Not mentioned | Temperature, Light | Not mentioned | |
| [23] | 2020 | Online Linear Weighted Projection Regression (OLWPR) | Not mentioned | Not mentioned | Temperature, Humidity, Light | Acc 91% Prec 85% Rec 86% F1 86% | |
| LWSNDR | [14] | 2019 | Random Forest | Offset Gain Stuck Out of bounds Spike Data loss | Raw temperature and humidity data | Temperature, Humidity | Acc 78–92% F1 77–88% |
| [5,6] | 2021 | Extremely Randomized Trees | Hard-over Drift Spike Erratic Data loss Random Stuck | Raw temperature and humidity data | Temperature, Humidity | Acc 81.2% F1 81.9% | |
| [24] | 2020 | LSTM Classifier | Offset Gain Stuck Spike | Raw temperature data | Temperature | Acc 80–90% | |
| [4] | 2024 | LSTM-AE + ML (RF, XGB, SVM, KNN, LGBM) | Bias Drift Stuck | Maximum Minimum Mean | Temperature | RF: Acc 97.4% Prec 97.43% Rec 97.41% F1 97.42% | |
| [8] | 2017 | SVM | Offset Gain Stuck Out of bounds | Raw temperature and humidity data | Temperature, Humidity | Acc 99% |
| Fault Type | Voltage (V) | SPL (dB) |
|---|---|---|
| Stuck | 1.60 | 90.00 |
| Spike | 1.71 | 90.00 |
| Normal | 3.00 | 90.00 |
| Clipping | 3.00 | 129.40 |
| Layer | Output Shape | Parameters |
|---|---|---|
| Input | 1 × 48,000 | 0 |
| Conv1D (1 → 16, k = 3, p = 1) | 16 × 48,000 | 64 |
| ReLU | 16 × 48,000 | 0 |
| MaxPooling1D (k = 2) | 16 × 24,000 | 0 |
| Conv1D (16 → 32, k = 3, p = 1) | 32 × 24,000 | 1568 |
| ReLU | 32 × 24,000 | 0 |
| MaxPooling1D (k = 2) | 32 × 12,000 | 0 |
| AdaptiveAvgPool1D (1) | 32 × 1 | 0 |
| Flatten | 32 | 0 |
| Linear (32 → 64) | 64 | 2112 |
| ReLU | 64 | 0 |
| Dropout (p = 0.5) | 64 | 0 |
| Linear (64 → 6) | 6 | 390 |
| Total Parameters | — | 4134 |
| Layer | Output Shape | Parameters |
|---|---|---|
| Input | 1 × 48,000 | 0 |
| Conv1D (1 → 16, k = 3, p = 1) | 16 × 48,000 | 64 |
| ReLU | 16 × 48,000 | 0 |
| MaxPooling1D (k = 2) | 16 × 24,000 | 0 |
| Conv1D (16 → 32, k = 3, p = 1) | 32 × 24,000 | 1568 |
| ReLU | 32 × 24,000 | 0 |
| MaxPooling1D (k = 2) | 32 × 12,000 | 0 |
| AdaptiveAvgPool1D (1) | 32 × 1 | 0 |
| Flatten | 32 | 0 |
| Total Parameters | — | 1632 |
| Classifier Model | Hyperparameter | Value |
|---|---|---|
| Decision Tree | max_depth | 30 |
| min_samples_split | 2 | |
| Random Forest | n_estimators | 30 |
| min_samples_split | 2 | |
| Extra Trees | n_estimators | 30 |
| min_samples_split | 2 | |
| XGBoost | objective | ‘multi:softprob’ |
| n_estimators | 30 | |
| MLP | hidden_layer_sizes | (100) |
| activation | ‘relu’ | |
| solver | ‘bfgs’ | |
| max_iter | 1000 |
| Class | Train | Validation | Test |
|---|---|---|---|
| (a) 1-s window | |||
| Clipping | 525 | 150 | 75 |
| Normal | 4020 | 1148 | 576 |
| Spike | 1114 | 318 | 160 |
| Stuck | 1889 | 540 | 271 |
| Total | 7548 | 2156 | 1082 |
| (b) 2-s window | |||
| Clipping | 273 | 78 | 40 |
| Normal | 1578 | 451 | 226 |
| Spike | 662 | 189 | 95 |
| Stuck | 882 | 252 | 126 |
| Total | 3395 | 970 | 487 |
| Class | Train | Validation | Test |
|---|---|---|---|
| (a) 1-s window | |||
| Bias | 1402 | 400 | 201 |
| Clipping | 525 | 150 | 75 |
| Drift | 1966 | 562 | 282 |
| Normal | 4020 | 1148 | 576 |
| Spike | 1114 | 318 | 160 |
| Stuck | 1889 | 540 | 271 |
| Total | 10,916 | 3118 | 1565 |
| (b) 2-s window | |||
| Bias | 782 | 223 | 113 |
| Clipping | 219 | 62 | 32 |
| Drift | 872 | 249 | 126 |
| Normal | 1316 | 376 | 189 |
| Spike | 541 | 154 | 78 |
| Stuck | 722 | 206 | 104 |
| Total | 4452 | 1270 | 642 |
| Sound Category | ||||||||||
|---|---|---|---|---|---|---|---|---|---|---|
| Class | Airplane | Alarms | Applause | Birds | Dogs | Motorcycles | Rain | Rivers | Seawaves | Thunders |
| (a) 1-s window | ||||||||||
| normal | 488 | 466 | 486 | 621 | 553 | 598 | 680 | 667 | 623 | 562 |
| drift | 278 | 277 | 278 | 283 | 275 | 283 | 288 | 286 | 286 | 276 |
| stuck | 270 | 270 | 270 | 270 | 270 | 270 | 270 | 270 | 270 | 270 |
| spike | 238 | 201 | 146 | 130 | 109 | 146 | 159 | 152 | 162 | 149 |
| bias | 196 | 208 | 203 | 214 | 210 | 197 | 195 | 196 | 186 | 198 |
| clipping | 69 | 120 | 167 | 32 | 136 | 85 | 12 | 38 | 34 | 57 |
| Total | 1539 | 1542 | 1550 | 1550 | 1553 | 1579 | 1604 | 1609 | 1561 | 1512 |
| (b) 2-s window | ||||||||||
| normal | 195 | 180 | 186 | 244 | 221 | 231 | 270 | 269 | 239 | 220 |
| drift | 124 | 123 | 124 | 126 | 122 | 126 | 126 | 126 | 126 | 124 |
| stuck | 126 | 126 | 126 | 126 | 126 | 126 | 126 | 126 | 126 | 126 |
| spike | 120 | 114 | 90 | 83 | 71 | 91 | 98 | 89 | 100 | 90 |
| bias | 108 | 116 | 109 | 121 | 112 | 111 | 112 | 113 | 106 | 110 |
| clipping | 38 | 55 | 76 | 21 | 65 | 49 | 9 | 23 | 23 | 32 |
| Total | 711 | 714 | 711 | 721 | 717 | 734 | 741 | 746 | 720 | 702 |
Disclaimer/Publisher’s Note: The statements, opinions and data contained in all publications are solely those of the individual author(s) and contributor(s) and not of MDPI and/or the editor(s). MDPI and/or the editor(s) disclaim responsibility for any injury to people or property resulting from any ideas, methods, instructions or products referred to in the content. |
© 2025 by the authors. Licensee MDPI, Basel, Switzerland. This article is an open access article distributed under the terms and conditions of the Creative Commons Attribution (CC BY) license (https://creativecommons.org/licenses/by/4.0/).
Share and Cite
Talayoglu, B.; Vande Velde, J.; da Silva, B. Lightweight AI for Sensor Fault Monitoring. Electronics 2025, 14, 4532. https://doi.org/10.3390/electronics14224532
Talayoglu B, Vande Velde J, da Silva B. Lightweight AI for Sensor Fault Monitoring. Electronics. 2025; 14(22):4532. https://doi.org/10.3390/electronics14224532
Chicago/Turabian StyleTalayoglu, Bektas, Jerome Vande Velde, and Bruno da Silva. 2025. "Lightweight AI for Sensor Fault Monitoring" Electronics 14, no. 22: 4532. https://doi.org/10.3390/electronics14224532
APA StyleTalayoglu, B., Vande Velde, J., & da Silva, B. (2025). Lightweight AI for Sensor Fault Monitoring. Electronics, 14(22), 4532. https://doi.org/10.3390/electronics14224532

