A Multi-Hop Localization Algorithm Based on Path Tortuosity Correction and Hierarchical Anchor Extension for Wireless Sensor Networks
Abstract
1. Introduction
- A hierarchical anchor extension strategy is proposed to enhance network coverage and localization stability in sparse-anchor scenarios.
- A path tortuosity weighting model is developed to dynamically correct multi-hop distances and mitigate the impact of irregular propagation paths.
- An incremental shortest path first (ISPF) algorithm is introduced to limit hop propagation depth and improve adaptability to dynamic network structures.
- A regularized weighted least-squares method is employed to integrate tortuosity correction and anchor reliability for achieving stable and high-precision localization.
2. Related Work
3. Proposed Work on Algorithm Based on Hierarchical Localization Strategies and Path Tortuosity Correction
3.1. Hierarchical Localization Strategy
3.2. Path Database Construction and Tortuosity Model Correction
3.3. ISPF Algorithm and Search Depth Limit
3.3.1. Search Depth Limit
3.3.2. ISPF Algorithm
3.4. Solving Node Coordinates Based on Regularized Least Squares Method
4. Experimental Simulation and Result Analysis
4.1. Effect of Search Depth Limitation and the Parameter on the Algorithm Localization Performance
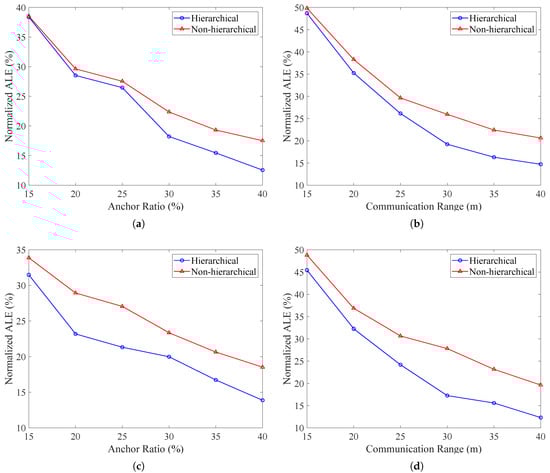
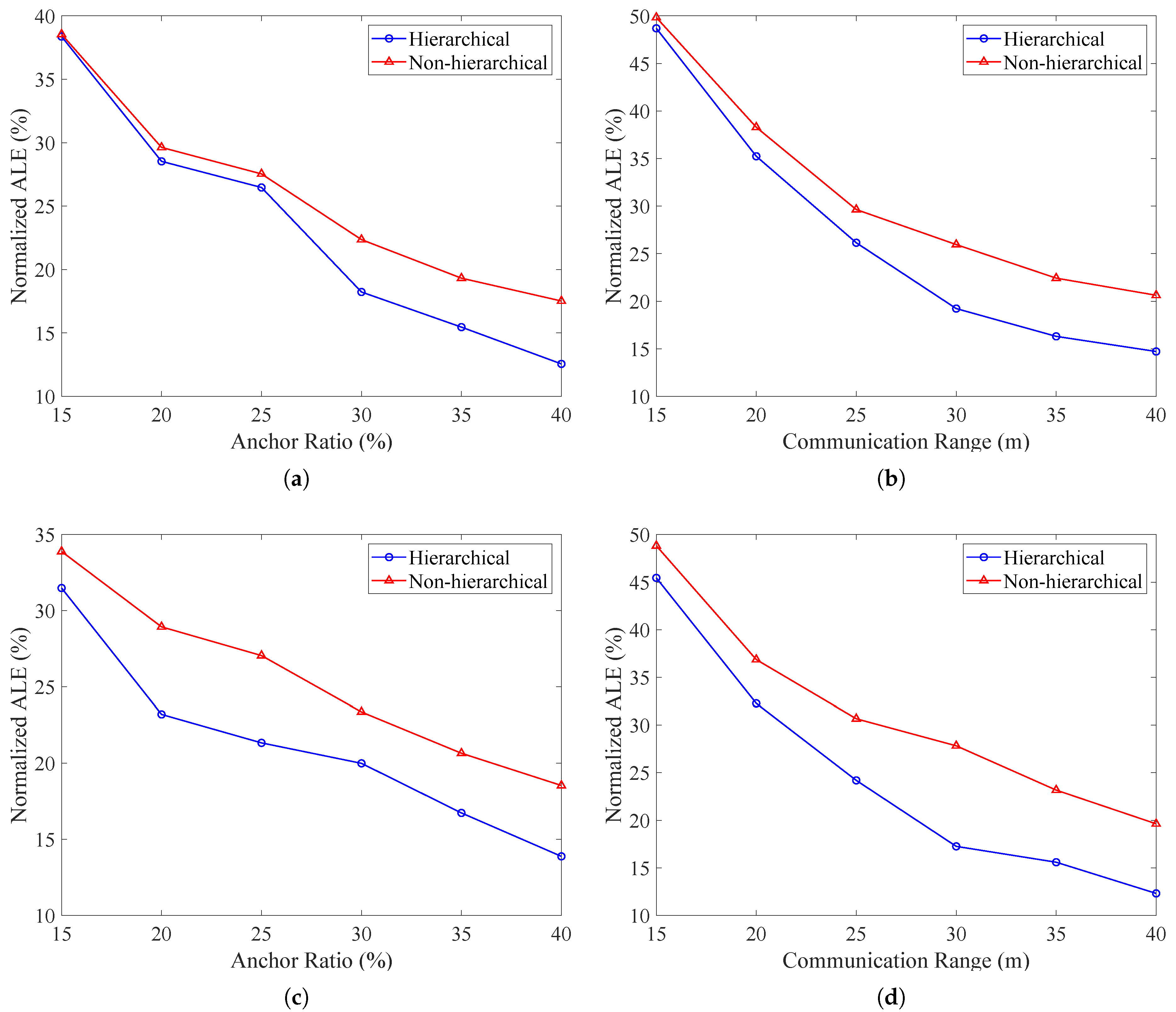
4.2. Effect of Hierarchical Localization on Inter-Node Localization Error
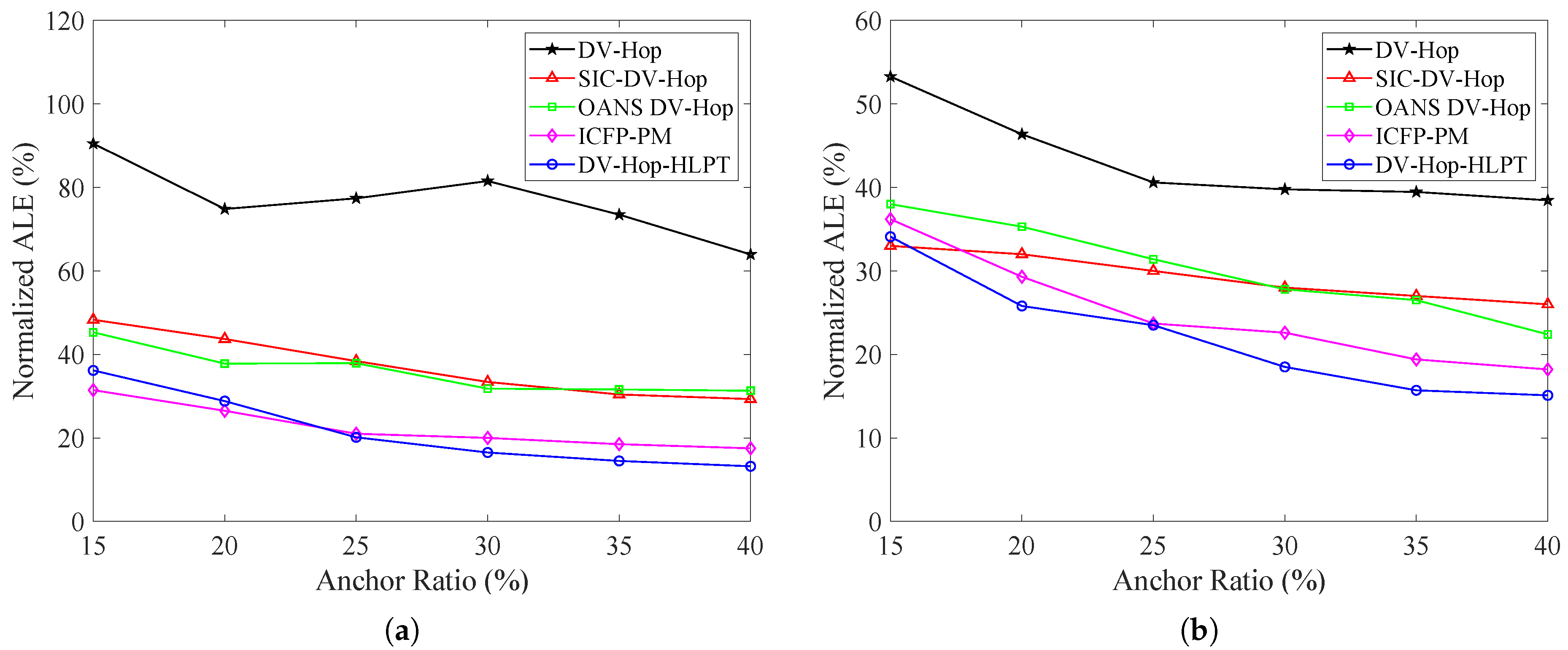
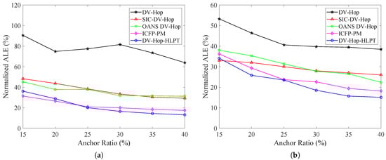
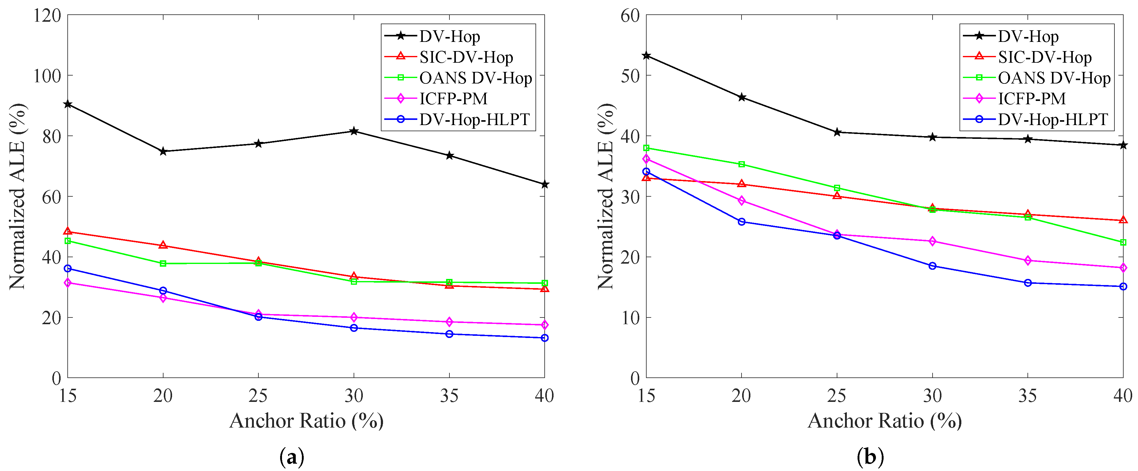
4.3. Effect of Anchor Node Ratio on Localization Error Among Nodes
4.4. Effect of Communication Radius on Localization Error Between Nodes
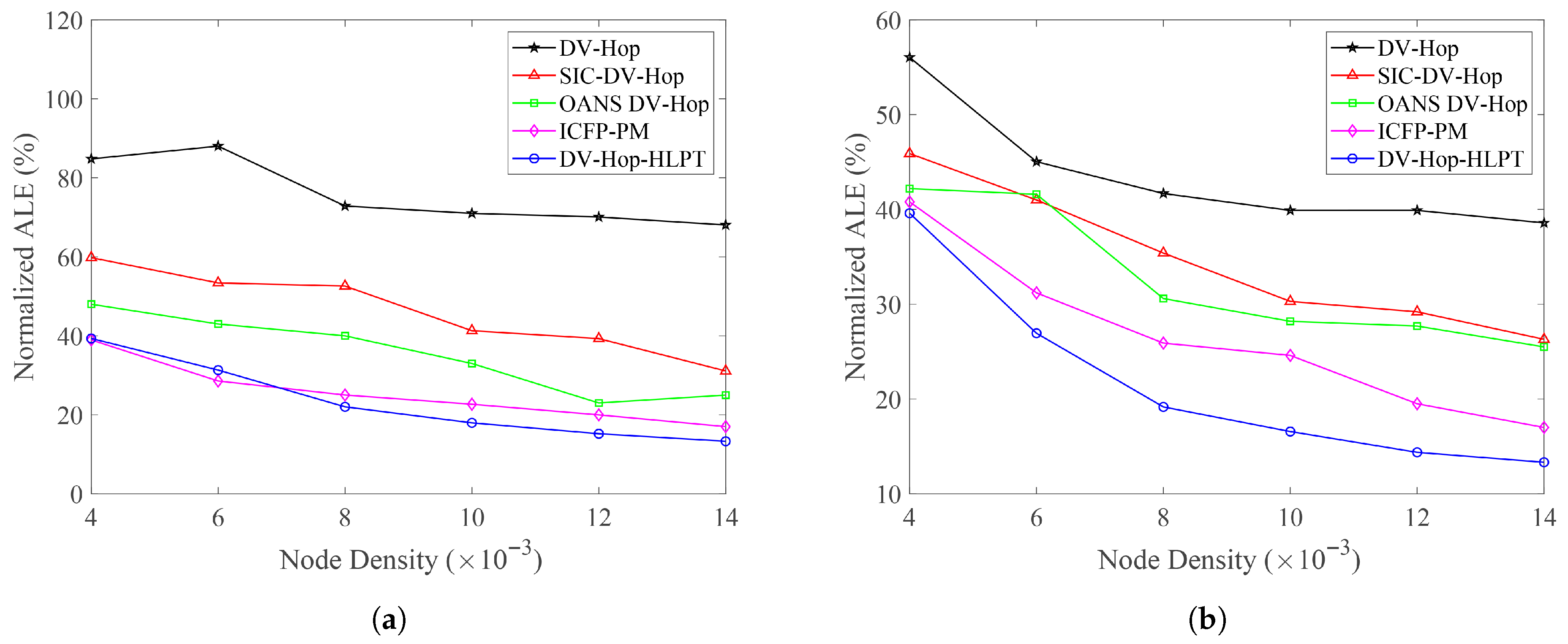
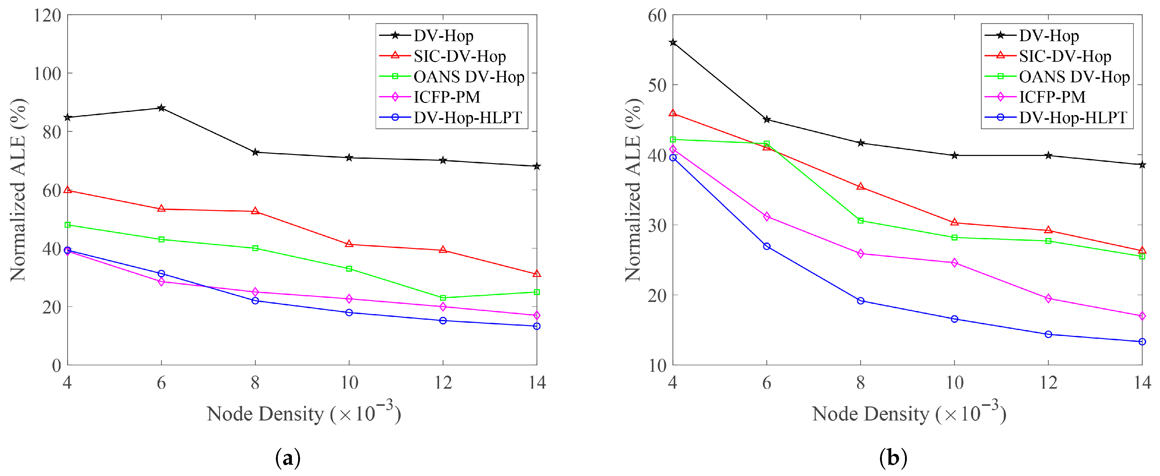
4.5. Effect of Node Density on Localization Error Between Nodes
4.6. Algorithm Stability Analysis
5. Summary
Author Contributions
Funding
Institutional Review Board Statement
Informed Consent Statement
Data Availability Statement
Conflicts of Interest
References
- Wu, S.; Liu, J.; He, B.; Lin, C.; Yang, J.; Wei, W. An enhanced DV-hop localization algorithm based on hop distance correction and multi-strategy modified aquila optimizer in HWSNs. Clust. Comput. 2025, 28, 106. [Google Scholar] [CrossRef]
- Liu, W.; Li, J.; Zheng, A.; Zheng, Z.; Jiang, X.; Zhang, S. DV-hop algorithm based on multi-objective salp swarm algorithm optimization. Sensors 2023, 23, 3698. [Google Scholar] [CrossRef] [PubMed]
- Chen, X.; Chen, L.; Feng, C.; Fang, D.; Xiong, J.; Wang, Z. Sensing our world using wireless signals. IEEE Internet Comput. 2019, 23, 38–45. [Google Scholar] [CrossRef]
- Pan, M.; Liu, P.; Liu, S.; Qi, W.; Huang, Y.; You, X.; Jia, X.; Li, X. Efficient joint DOA and TOA estimation for indoor positioning with 5G picocell base stations. IEEE Trans. Instrum. Meas. 2022, 71, 1–19. [Google Scholar] [CrossRef]
- Hua, C.; Zhao, K.; Dong, D.; Zheng, Z.; Yu, C.; Zhang, Y.; Zhao, T. Multipath map method for TDOA based indoor reverse positioning system with improved chan-taylor algorithm. Sensors 2020, 20, 3223. [Google Scholar] [CrossRef] [PubMed]
- Fabris, A.; Kerusauskas Rayel, O.; Luiz Rebelatto, J.; Luiz Moritz, G.; Demo Souza, R. AoA and RSSI-based BLE indoor positioning system with kalman filter and data fusion. IEEE Internet Things J. 2025, 12, 15348–15359. [Google Scholar] [CrossRef]
- Liu, G.; Qian, Z.; Wang, X. An improved DV-hop localization algorithm based on hop distances correction. China Commun. 2019, 16, 200–214. [Google Scholar] [CrossRef]
- Cao, Y.; Wu, X.; Xu, J. Improved DV-hop localization algorithm based on variable communication radius for wireless sensor networks. Wirel. Pers. Commun. 2024, 138, 1703–1725. [Google Scholar] [CrossRef]
- Chen, S.; An, M. Research on control strategy in wireless location system. In Proceedings of the 2018 IEEE International Conference of Intelligent Robotic and Control Engineering (IRCE), Lanzhou, China, 24–27 August 2018; pp. 208–212. [Google Scholar]
- Diaz-Roman, J.; Mederos, B.; Sifuentes, E.; Gonzalez-Landaeta, R.; Cota-Ruiz, J. A weighted and distributed algorithm for range-based multi-hop localization using a newton method. Sensors 2021, 21, 2324. [Google Scholar] [CrossRef] [PubMed]
- Cheng, L.; Chen, Y.; Guan, J. INS/UWB multi-sensor integrated localization scheme in indoor LOS/NLOS environment based on MEF-GPDAF. Comput. Electr. Eng. 2024, 120, 109693. [Google Scholar] [CrossRef]
- Jin, Y.; Zhou, L.; Zhang, L.; Hu, Z.; Han, J. A novel range-free node localization method for wireless sensor networks. IEEE Wirel. Commun. Lett. 2022, 11, 688–692. [Google Scholar] [CrossRef]
- Leitch, S.G.; Ahmed, Q.Z.; Abbas, W.B.; Hafeez, M.; Laziridis, P.I.; Sureephong, P.; Alade, T. On Indoor Localization Using WiFi, BLE, UWB, and IMU Technologies. Sensors 2023, 23, 8598. [Google Scholar] [CrossRef]
- Li, N.; Liu, L.; Zou, D.; Liu, X. Node localization algorithm for irregular regions based on particle swarm optimization algorithm and reliable anchor node pairs. IEEE Access Pract. Innov. Open Solut. 2024, 12, 37470–37482. [Google Scholar] [CrossRef]
- Liu, S.; Liu, C.; Zhang, W.; Zhao, D. Hybrid localization algorithm based on APIT and DV-HOP in Wireless Sensor Networks. In Proceedings of the 2015 IEEE/CIC International Conference on Communications in China—Workshops (CIC/ICCC), Shenzhen, China, 2–4 November 2015; pp. 164–168. [Google Scholar]
- Cao, Y.; Xu, J. DV-hop-based localization algorithm using optimum anchor nodes subsets for wireless sensor network. Ad Hoc Netw. 2023, 139, 103035. [Google Scholar] [CrossRef]
- Zhang, Y.; Ben, W. An improved DV-distance algorithm with assistant anchor for nodes localization in WSNs. In Proceedings of the 2014 11th International Joint Conference on Computer Science and Software Engineering (JCSSE), Chonburi, Thailand, 14–16 May 2014; pp. 182–187. [Google Scholar]
- Sankaranarayanan, S.; Vijayakumar, R.; Swaminathan, S.; Almarri, B.; Lorenz, P.; Rodrigues, J.J.P.C. Node localization method in wireless sensor networks using combined crow search and the weighted centroid method. Sensors 2024, 24, 4791. [Google Scholar] [CrossRef]
- Sun, L.; Chen, T. Difference DV_Distance localization algorithm using correction coefficients of unknown nodes. Sensors 2018, 18, 2860. [Google Scholar] [CrossRef]
- Jia, W.; Qi, G.; Liu, M.; Zhou, J. A high accuracy localization algorithm with DV-hop and fruit fly optimization in anisotropic wireless networks. J. King Saud Univ. Comput. Inf. Sci. 2022, 34, 8102–8111. [Google Scholar] [CrossRef]
- Cui, H.; Wang, S.; Zhou, C. A high-accuracy and low-energy range-free localization algorithm for wireless sensor networks. EURASIP J. Wirel. Commun. Netw. 2023, 2023, 37. [Google Scholar] [CrossRef]
- Zhang, D.G.; Zhou, S.; Chen, J. New dv-distance method based on path for wireless sensor network. Intell. Autom. Soft Comput. 2017, 23, 219–225. [Google Scholar] [CrossRef]
- Wang, J.; Hou, A.; Tu, Y.; Yu, H. An improved DV-hop localization algorithm based on selected anchors. Comput. Mater. Contin. 2020, 65, 977–991. [Google Scholar] [CrossRef]
- Tian, E. A non-ranging Fusion Location Algorithm for Concave Regions. Wirel. Pers. Commun. 2022, 124, 2537–2551. [Google Scholar] [CrossRef]
- Wang, P.; Xue, F.; Li, H.; Cui, Z.; Xie, L.; Chen, J. A multi-objective DV-hop localization algorithm based on NSGA-II in internet of things. Mathematics 2019, 7, 184. [Google Scholar] [CrossRef]
- Khedr, A.M.; Rani, S.S.; Saad, M. Hybridized dragonfly and jaya algorithm for optimal sensor node location identification in mobile wireless sensor networks. J. Supercomput. 2023, 79, 16940–16962. [Google Scholar] [CrossRef]
- Sekhar Rao Rayavarapu, V.C.; Mahapatro, A.; Kanti, R.D. Design and development of mobile anchor assisted node localization strategy using a hybrid electric-coyote optimization. Evol. Intell. 2024, 17, 1405–1423. [Google Scholar] [CrossRef]
- Feng, X.; Chen, Z.; Liu, Z. A new range-free algorithm based on hop correction of RSSI. J. Intell. Fuzzy Syst. 2018, 34, 1205–1212. [Google Scholar] [CrossRef]
- Sesyuk, A.; Ioannou, S.; Raspopoulos, M. A Survey of 3D Indoor Localization Systems and Technologies. Sensors 2022, 22, 9380. [Google Scholar] [CrossRef]
- Yu, X.; Peng, W.; Zhou, Z.; Zhang, K.; Liu, Y. An IMOA DV-Hop localization algorithm in WSN based on hop count and hop distance correction. Peer-to-Peer Netw. Appl. 2024, 17, 2637–2650. [Google Scholar] [CrossRef]
- Zhao, W.; Shao, F.; Ye, S.; Zheng, W. LSRR-LA: An Anisotropy-Tolerant Localization Algorithm Based on Least Square Regularized Regression for Multi-Hop Wireless Sensor Networks. Sensors 2018, 18, 3974. [Google Scholar] [CrossRef] [PubMed]
- Zhao, Q.; Xu, Z.; Yang, L. An improvement of DV-hop localization algorithm based on cyclotomic method in wireless sensor networks. Appl. Sci. 2023, 13, 3597. [Google Scholar] [CrossRef]
- Kuhn, F.; Wattenhofer, R.; Zollinger, A. Ad-hoc networks beyond unit disk graphs. In Proceedings of the 2003 Joint Workshop on Foundations of Mobile Computing, San Diego, CA, USA, 19 September 2003; pp. 69–78. [Google Scholar]
- Zhang, S.; Liu, X.; Wang, J.; Cao, J.; Min, G. Accurate range-free localization for anisotropic wireless sensor networks. ACM Trans. Sens. Netw. 2015, 11, 1–28. [Google Scholar] [CrossRef]
- Jiang, J.; Han, G.; Xu, H.; Shu, L.; Zhang, Y. A two-hop localization scheme with radio irregularity model in wireless sensor networks. In Proceedings of the 2012 IEEE Wireless Communications and Networking Conference (WCNC), Paris, France, 1–4 April 2012; pp. 1704–1709. [Google Scholar]
- Zhang, W.; Yang, X. DV-hop location algorithm based on RSSI correction. Electronics 2023, 12, 1141. [Google Scholar] [CrossRef]















| Method | Core Optimization Strategy | Anchor Utilization | Path Correction Mechanism | Performance Advantages | Main Limitations |
|---|---|---|---|---|---|
| DV-Hop | Range-free localization | Average hop distance from all anchors | Hop count × average hop distance | Simple implementation, no additional ranging hardware | Large errors in irregular networks |
| NSGA-II-DV-Hop | Multi-objective genetic algorithm | Multi-objective model | Dual-objective optimization balancing estimated and theoretical distances | Multi-objective solution space exploration | High computational complexity |
| CAFOA-DV-Hop | Chaotic fruit fly optimization | All anchor nodes | Coordinate optimization search | Strong global search capability, avoids premature convergence | Performance depends on meta-heuristic search results |
| OANS DV-Hop | Binary particle swarm optimization | Optimal anchor node subset | Recalculate average hop distance based on optimal subset | Reduces distant node errors, improves stability | Performance degrades with sparse or uneven anchor distribution |
| WRCDV-Hop | Whale optimization algorithm | Limited beacon retransmission | RSSI-based continuous hop calculation with weighting | More accurate distance estimation, lower network energy consumption | Depends on network density and RSSI stability |
| DV-Hop-HLPT | Hierarchical strategy and tortuosity model | RSSI calibration to expand anchor set | Tortuosity weight model for dynamic correction | Enhanced network coverage, effectively reduces multi-hop errors | Path modeling increases complexity |
| Simulation Parameter | Setting Value |
|---|---|
| Area scope | |
| Void range | |
| Total number of nodes | 40–140 |
| Anchor node ratio | 15–40% (step ) |
| Communication radius | 15–40 (step ) |
| Number of simulations | 100 |
| Degree of radio irregularity | |
| Evaluation metrics | N-ALE |
| Region | Algorithm | 15 | 20 | 25 | 30 | 35 | 40 |
|---|---|---|---|---|---|---|---|
| C-shaped | DV-Hop | 90.51 | 74.84 | 77.39 | 81.53 | 73.49 | 63.95 |
| SIC-DV-Hop | 48.33 | 43.75 | 38.36 | 33.41 | 30.38 | 29.27 | |
| OANS DV-Hop | 45.32 | 37.77 | 37.91 | 31.84 | 31.58 | 31.28 | |
| ICFP-PM | 31.45 | 26.53 | 20.99 | 19.98 | 18.54 | 17.46 | |
| DV-Hop-HLPT | 36.17 | 28.82 | 20.14 | 16.50 | 14.48 | 13.20 | |
| Square | DV-Hop | 53.28 | 46.37 | 40.60 | 39.77 | 39.46 | 38.46 |
| SIC-DV-Hop | 33.17 | 31.95 | 30.07 | 27.96 | 26.97 | 25.88 | |
| OANS DV-Hop | 37.98 | 35.33 | 31.42 | 27.79 | 26.49 | 22.39 | |
| ICFP-PM | 36.25 | 29.26 | 23.71 | 22.63 | 19.38 | 18.17 | |
| DV-Hop-HLPT | 34.13 | 25.78 | 23.52 | 18.51 | 15.68 | 15.08 |
| Region | Algorithm | 15 | 20 | 25 | 30 | 35 | 40 |
|---|---|---|---|---|---|---|---|
| C-shaped | DV-Hop | 129.84 | 116.14 | 99.51 | 89.04 | 57.44 | 52.90 |
| SIC-DV-Hop | 69.25 | 56.69 | 55.32 | 42.57 | 37.99 | 33.28 | |
| OANS DV-Hop | 61.42 | 58.73 | 45.01 | 33.98 | 26.71 | 24.76 | |
| ICFP-PM | 42.48 | 38.63 | 27.04 | 22.36 | 19.87 | 17.31 | |
| DV-Hop-HLPT | 46.30 | 37.83 | 24.90 | 18.44 | 15.23 | 13.42 | |
| Square | DV-Hop | 92.75 | 53.83 | 49.09 | 40.29 | 39.67 | 37.33 |
| SIC-DV-Hop | 36.06 | 31.57 | 27.82 | 28.87 | 29.03 | 25.65 | |
| OANS DV-Hop | 58.37 | 42.64 | 30.31 | 24.59 | 22.08 | 17.61 | |
| ICFP-PM | 40.95 | 33.59 | 28.73 | 23.48 | 22.78 | 22.07 | |
| DV-Hop-HLPT | 43.65 | 38.75 | 22.68 | 18.58 | 15.46 | 12.97 |
| Region | Algorithm | 4 | 6 | 8 | 10 | 12 | 14 |
|---|---|---|---|---|---|---|---|
| C-shaped | DV-Hop | 84.81 | 88.04 | 72.88 | 71.00 | 70.10 | 68.07 |
| SIC-DV-Hop | 59.82 | 53.43 | 52.56 | 41.33 | 39.28 | 31.08 | |
| OANS DV-Hop | 48.05 | 42.78 | 40.11 | 33.13 | 22.96 | 24.97 | |
| ICFP-PM | 38.97 | 28.56 | 25.02 | 22.68 | 19.99 | 17.01 | |
| DV-Hop-HLPT | 39.34 | 31.33 | 22.02 | 17.97 | 15.21 | 13.31 | |
| Square | DV-Hop | 56.05 | 45.03 | 41.69 | 39.90 | 39.90 | 38.58 |
| SIC-DV-Hop | 45.94 | 40.98 | 35.42 | 30.29 | 29.18 | 26.29 | |
| OANS DV-Hop | 42.18 | 41.63 | 30.62 | 28.19 | 27.71 | 25.47 | |
| ICFP-PM | 40.85 | 31.17 | 25.92 | 24.59 | 19.49 | 16.98 | |
| DV-Hop-HLPT | 39.60 | 26.94 | 19.17 | 16.57 | 14.37 | 13.32 |
Disclaimer/Publisher’s Note: The statements, opinions and data contained in all publications are solely those of the individual author(s) and contributor(s) and not of MDPI and/or the editor(s). MDPI and/or the editor(s) disclaim responsibility for any injury to people or property resulting from any ideas, methods, instructions or products referred to in the content. |
© 2025 by the authors. Licensee MDPI, Basel, Switzerland. This article is an open access article distributed under the terms and conditions of the Creative Commons Attribution (CC BY) license (https://creativecommons.org/licenses/by/4.0/).
Share and Cite
Wang, L.; Liu, X.; Zou, D. A Multi-Hop Localization Algorithm Based on Path Tortuosity Correction and Hierarchical Anchor Extension for Wireless Sensor Networks. Electronics 2025, 14, 4536. https://doi.org/10.3390/electronics14224536
Wang L, Liu X, Zou D. A Multi-Hop Localization Algorithm Based on Path Tortuosity Correction and Hierarchical Anchor Extension for Wireless Sensor Networks. Electronics. 2025; 14(22):4536. https://doi.org/10.3390/electronics14224536
Chicago/Turabian StyleWang, Liping, Xing Liu, and Dongyao Zou. 2025. "A Multi-Hop Localization Algorithm Based on Path Tortuosity Correction and Hierarchical Anchor Extension for Wireless Sensor Networks" Electronics 14, no. 22: 4536. https://doi.org/10.3390/electronics14224536
APA StyleWang, L., Liu, X., & Zou, D. (2025). A Multi-Hop Localization Algorithm Based on Path Tortuosity Correction and Hierarchical Anchor Extension for Wireless Sensor Networks. Electronics, 14(22), 4536. https://doi.org/10.3390/electronics14224536

