Ensemble Integration of Pedestrian Safety Indicators for Robust Pedestrian Flood Risk Assessment in Urban Inundation Conditions
Abstract
1. Introduction
2. Materials and Methods
2.1. Model Setup and Validation
2.2. Pedestrian Safety Assessment Indices
2.3. Flood Risk Score Estimation
2.4. Design Rainfall
3. Results
3.1. Inundation Simulation Results
3.2. Stability Assessment
3.3. Flood Risk Score
4. Discussion
4.1. Relationship Between Rainfall Patterns and Pedestrian Safety
4.2. Uncertainty from Safety Index Selection
5. Conclusions
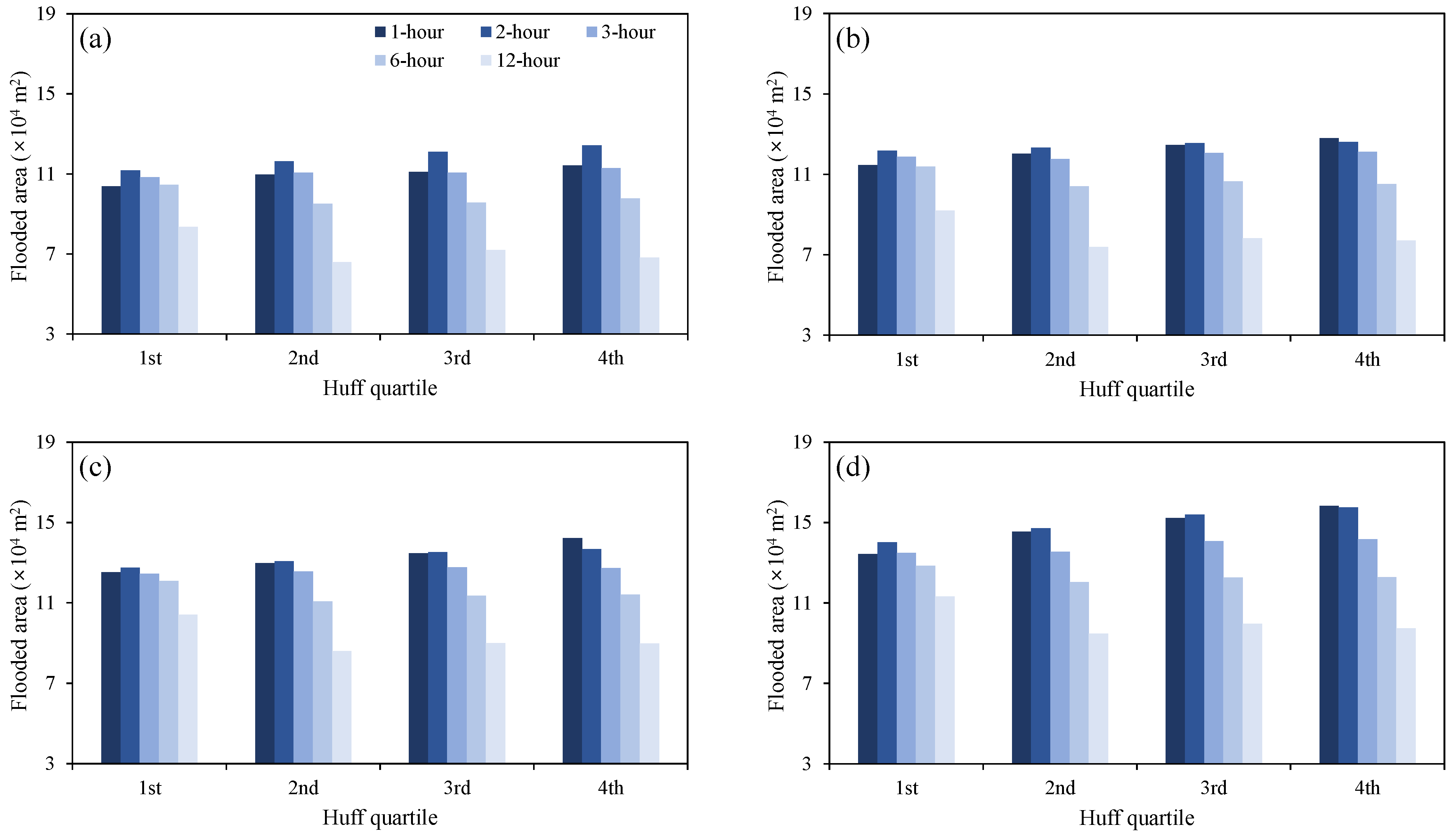
- The extent of urban inundation varied with both the rainfall duration and timing of peak rainfall. Under short-duration storms (1–3 h), the largest flooded areas occurred with the Huff third- and fourth-quartile distributions, whereas for long-duration storms (6–12 h), the Huff first and second quartiles produced the largest inundation.
- Short-duration storms triggered early sewer system overloading, and when peak rainfall occurred in the latter stage, surcharge conditions were prolonged, leading to larger inundated areas. Conversely, long-duration storms distributed rainfall more evenly and generally alleviated sewer loads, although early-peaking storms still induced surcharge and expanded inundation.
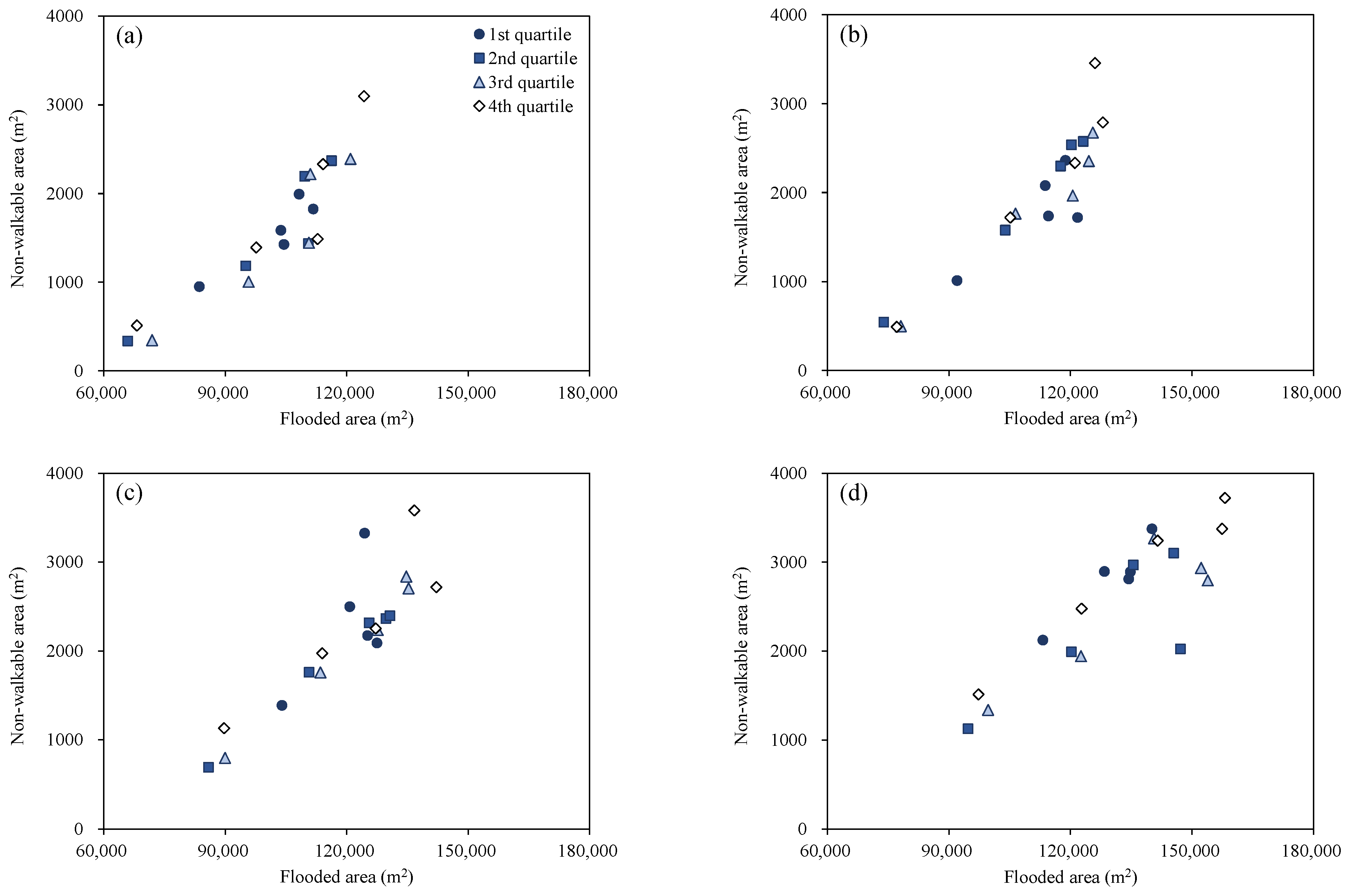
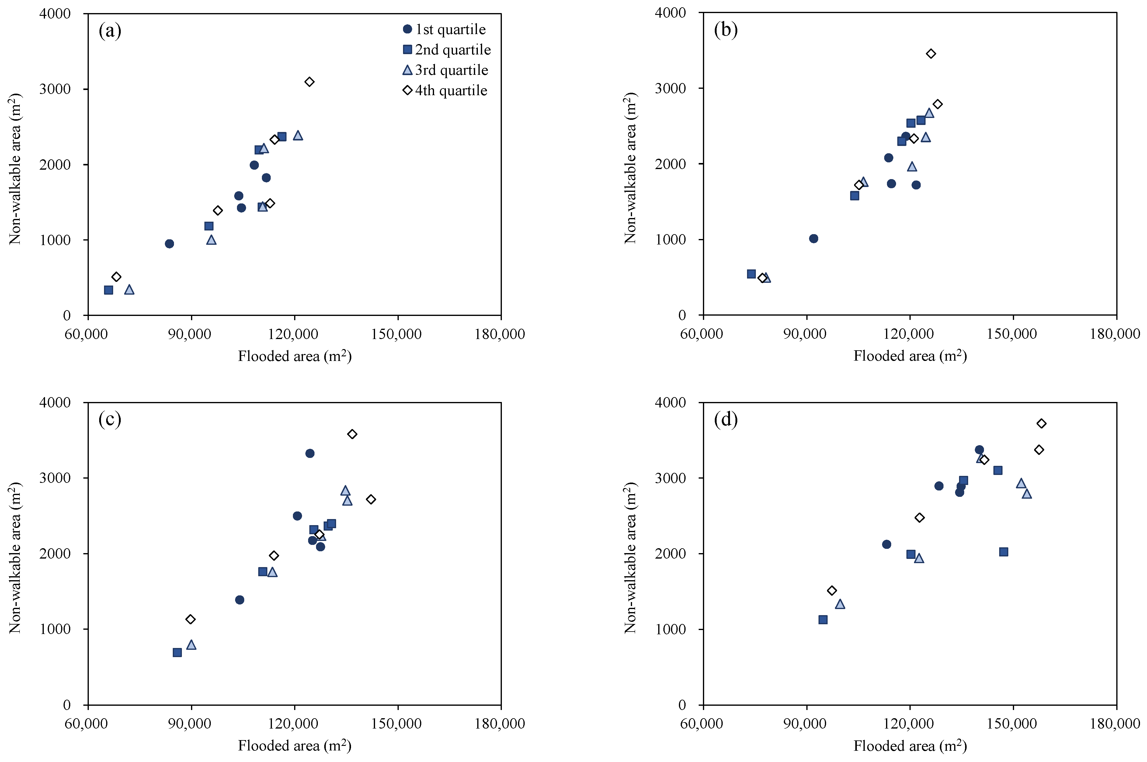
- Pedestrian safety assessment outcomes exhibited substantial variability depending on the choice of safety indicator. , based on flood intensity, systematically underestimated non-walkable areas compared with , , and , which are force-balance-based indicators.
- Applying the integrated instability index that was the ensemble-average of the four safety indices reduced indicator-dependent uncertainty and revealed consistent patterns of pedestrian risk across rainfall scenarios. The most hazardous condition for pedestrians was identified as the 1 h duration, fourth-quartile storm among the scenarios considered.
Author Contributions
Funding
Data Availability Statement
Acknowledgments
Conflicts of Interest
References
- United Nations Office for Disaster Risk Reduction (UNDRR). GAR 2025 Hazards: Floods. 2025. Available online: https://www.undrr.org/gar/gar2025/hazard-exploration/floods (accessed on 29 August 2025).
- Musolino, G.; Ahmadian, R.; Xia, J.; Falconer, R.A. Mapping the danger to life in flash flood events adopting a mechanics based methodology and planning evacuation routes. J. Flood Risk Manag. 2020, 13, e12627. [Google Scholar] [CrossRef]
- Di Mauro, M.; De Bruijn, K.M.; Meloni, M. Quantitative methods for estimating flood fatalities: Towards the introduction of loss-of-life estimation in the assessment of flood risk. Nat. Hazards 2012, 63, 1083–1113. [Google Scholar] [CrossRef]
- Guo, X.; Wang, W.; Fang, X.; Gong, Y.; Li, J.; Wang, M.; Li, X. Analysis of self-rescue possibilities for pedestrians in the aftermath of destabilization during a flood event. Water 2024, 16, 1218. [Google Scholar] [CrossRef]
- Abt, S.R.; Wittler, R.J.; Taylor, A.; Love, D.J. Human stability in a high flood hazard zone. J. Am. Water Resour. Assoc. 1989, 25, 881–890. [Google Scholar] [CrossRef]
- Russo, B.; Gómez, M.; Macchione, F. Pedestrian hazard criteria for flooded urban areas. Nat. Hazards 2013, 69, 251–265. [Google Scholar] [CrossRef]
- Martínez-Gomariz, E.; Gómez, M.; Russo, B. Experimental study of the stability of pedestrians exposed to urban pluvial flooding. Nat. Hazards 2016, 82, 1259–1278. [Google Scholar] [CrossRef]
- Xia, J.; Falconer, R.A.; Wang, Y.; Xiao, X. New criterion for the stability of a human body in floodwaters. J. Hydraul. Res. 2014, 52, 93–104. [Google Scholar] [CrossRef]
- Postacchini, M.; Bernardini, G.; D’Orazio, M.; Quagliarini, E. Human stability during floods: Experimental tests on a physical model simulating human body. Saf. Sci. 2021, 137, 105153. [Google Scholar] [CrossRef]
- Zhu, Z.; Zhang, Y.; Gou, L.; Peng, D.; Pang, B. On the physical vulnerability of pedestrians in urban flooding: Experimental study of the hydrodynamic instability of a human body model in floodwater. Urban Clim. 2023, 48, 101420. [Google Scholar] [CrossRef]
- Kim, M.; Park, J.; Lee, I.; Park, I. Pedestrian stability assessment and applicability analysis based on human model experiments in inundated flows. J. Korea Water Resour. Assoc. 2025, 58, 459–468. [Google Scholar]
- Arrighi, C.; Oumeraci, H.; Catelli, F. Hydrodynamics of pedestrians’ instability in floodwaters. Hydrol. Earth Syst. Sci. 2017, 21, 515–531. [Google Scholar] [CrossRef]
- Lazzarin, T.; Viero, D.P.; Molinari, D.; Ballio, F.; Defina, A. Flood damage functions based on a single physics- and data-based impact parameter that jointly accounts for water depth and velocity. J. Hydrol. 2022, 607, 127485. [Google Scholar] [CrossRef]
- Department of the Environment; Food and Rural Affairs (DEFRA); Environment Agency (EA). Flood Risks to People (Phase 2): Methodology; DEFRA: London, UK, 2006. [Google Scholar]
- Cox, R.J.; Shand, T.D.; Blacka, M.J. Australian Rainfall & Runoff Revision Project 10: Appropriate Safety Criteria for People. Stage 1 Report P10/S1/006; Engineers Australia: Barton, ACT, Australia, 2010; ISBN 978-0-85825-945-4. [Google Scholar]
- Kvočka, D.; Falconer, R.A.; Bray, M. Flood hazard assessment for extreme flood events. Nat. Hazards 2016, 84, 1569–1599. [Google Scholar] [CrossRef]
- Tingsanchali, T.; Promping, T. Comprehensive Assessment of Flood Hazard, Vulnerability, and Flood Risk at the Household Level in a Municipality Area: A Case Study of Nan Province, Thailand. Water 2022, 14, 161. [Google Scholar] [CrossRef]
- Dong, B.; Xia, J.; Wang, X. Comprehensive flood risk assessment in highly developed urban areas. J. Hydrol. 2025, 648, 132391. [Google Scholar] [CrossRef]
- Li, Y.; Peng, S.; Xu, J.; Xu, T.; Gao, J. Hydrodynamic model-based flood risk of coastal urban road network induced by storm surge during typhoon. Sustain. Cities Soc. 2025, 121, 106250. [Google Scholar] [CrossRef]
- Li, Q.; Xia, J.; Dong, B.; Liu, Y.; Wang, X. Risk assessment of individuals exposed to urban floods. Int. J. Disaster Risk Reduct. 2023, 88, 103599. [Google Scholar] [CrossRef]
- Lee, Y.H.; Keum, H.J.; Han, K.Y.; Hong, W.H. A hierarchical flood shelter location model for walking evacuation planning. Environ. Hazards 2021, 21, 432–455. [Google Scholar] [CrossRef]
- Corzo Perez, G.A.; Sanchez Tapiero, D.I.; Contreras Martínez, M.A.; Zevenbergen, C. Development of a hazard risk map for assessing pedestrian risk in urban flash floods: A case study in Cúcuta, Colombia. River 2024, 3, 8–23. [Google Scholar] [CrossRef]
- Evans, B.; Lam, A.; West, C.; Ahmadian, R.; Djordjević, S.; Chen, A.; Pregnolato, M. A combined stability function to quantify flood risks to pedestrians and vehicle occupants. Sci. Total Environ. 2024, 908, 168237. [Google Scholar] [CrossRef]
- Shin, J.; Rhee, D.S.; Park, I. Analysis of inundation flow characteristics and risk assessment in a subway model using flow simulations. Appl. Sci. 2024, 14, 8096. [Google Scholar] [CrossRef]
- Sidek, L.M.; Chua, L.H.C.; Azizi, A.S.M.; Basri, H.; Jaafar, A.S.; Moon, W.C. Application of PCSWMM for the 1-D and 1-D–2-D Modeling of Urban Flooding in Damansara Catchment, Malaysia. Appl. Sci. 2021, 11, 9300. [Google Scholar] [CrossRef]
- Manchikatla, S.K.; Umamahesh, N.V. Simulation of flood hazard, prioritization of critical sub-catchments, and resilience study in an urban setting using PCSWMM: A case study. Water Policy 2022, 24, 1247–1268. [Google Scholar] [CrossRef]
- Bibi, T.S.; Kara, K.G.; Bedada, H.J.; Bededa, R.D. Application of PCSWMM for assessing the impacts of urbanization and climate changes on the efficiency of stormwater drainage systems in managing urban flooding in Robe town, Ethiopia. J. Hydrol. Reg. Stud. 2023, 45, 101291. [Google Scholar] [CrossRef]
- Liu, F.; Ren, C.; Chen, Y. Flood risk investigation of pedestrians and vehicles in a mountainous city using a coupled coastal ocean and stormwater management model. J. Flood Risk Manag. 2023, 17, e12979. [Google Scholar] [CrossRef]
- Arrighi, C.; Pregnolato, M.; Dawson, R.J.; Castelli, F. Preparedness against mobility disruption by floods. Sci. Total Environ. 2019, 654, 1010–1022. [Google Scholar] [CrossRef]
- Huff, F.A. Time Distribution of Rainfall in Heavy Storms. Water Resour. Res. 1967, 3, 1007–1019. [Google Scholar] [CrossRef]
- Korean Ministry of Land, Transport and Maritime Affairs (MLTM). The Master Plan for the Yeongsan River (Upstream); 11-1611425-000017-01; MLTM: Sejong City, Republic of Korea, 2011. [Google Scholar]
- RESCDAM. The Use of Physical Models in Dam-Break Flood Analysis; Final Report; Helsinki University of Technology: Helsinki, Finland, 2000. [Google Scholar]











| Critical Velocity (m/s) | ||||||
|---|---|---|---|---|---|---|
| 9.684 | 0.109 | 0.633 | 0.367 | 1.015 × 10−3 | −4.937 × 10−3 | |
| 6.304 | 0.383 | 0.735 | 0.265 |
| Parameters | Return Period (Year) | |||
|---|---|---|---|---|
| 50 | 100 | 200 | 500 | |
| a | 2600.5 | 2822.4 | 3042.1 | 3356.7 |
| b | 0.7360 | 0.7333 | 0.7301 | 0.7295 |
Disclaimer/Publisher’s Note: The statements, opinions and data contained in all publications are solely those of the individual author(s) and contributor(s) and not of MDPI and/or the editor(s). MDPI and/or the editor(s) disclaim responsibility for any injury to people or property resulting from any ideas, methods, instructions or products referred to in the content. |
© 2025 by the authors. Licensee MDPI, Basel, Switzerland. This article is an open access article distributed under the terms and conditions of the Creative Commons Attribution (CC BY) license (https://creativecommons.org/licenses/by/4.0/).
Share and Cite
Park, I.; Lee, D.; Shin, J.; Rhee, D.S. Ensemble Integration of Pedestrian Safety Indicators for Robust Pedestrian Flood Risk Assessment in Urban Inundation Conditions. Water 2025, 17, 3322. https://doi.org/10.3390/w17223322
Park I, Lee D, Shin J, Rhee DS. Ensemble Integration of Pedestrian Safety Indicators for Robust Pedestrian Flood Risk Assessment in Urban Inundation Conditions. Water. 2025; 17(22):3322. https://doi.org/10.3390/w17223322
Chicago/Turabian StylePark, Inhwan, Dogyu Lee, Jaehyun Shin, and Dong Sop Rhee. 2025. "Ensemble Integration of Pedestrian Safety Indicators for Robust Pedestrian Flood Risk Assessment in Urban Inundation Conditions" Water 17, no. 22: 3322. https://doi.org/10.3390/w17223322
APA StylePark, I., Lee, D., Shin, J., & Rhee, D. S. (2025). Ensemble Integration of Pedestrian Safety Indicators for Robust Pedestrian Flood Risk Assessment in Urban Inundation Conditions. Water, 17(22), 3322. https://doi.org/10.3390/w17223322

