Experimental Study on the Effectiveness of Grouting in Controlling Breaching of High-Permeability Landslide Dams of Granular Materials
Abstract
1. Introduction
2. Experimental Methods
2.1. Experimental Setup
2.2. Model Dam
2.3. Experimental Materials
2.4. Experimental Data Processing
2.5. Experimental Conditions
3. Experimental Results
3.1. Typical Failure Process of Landslide Dam
3.2. Evolution of Flow Discharge
3.3. Morphological Evolution of the Breach
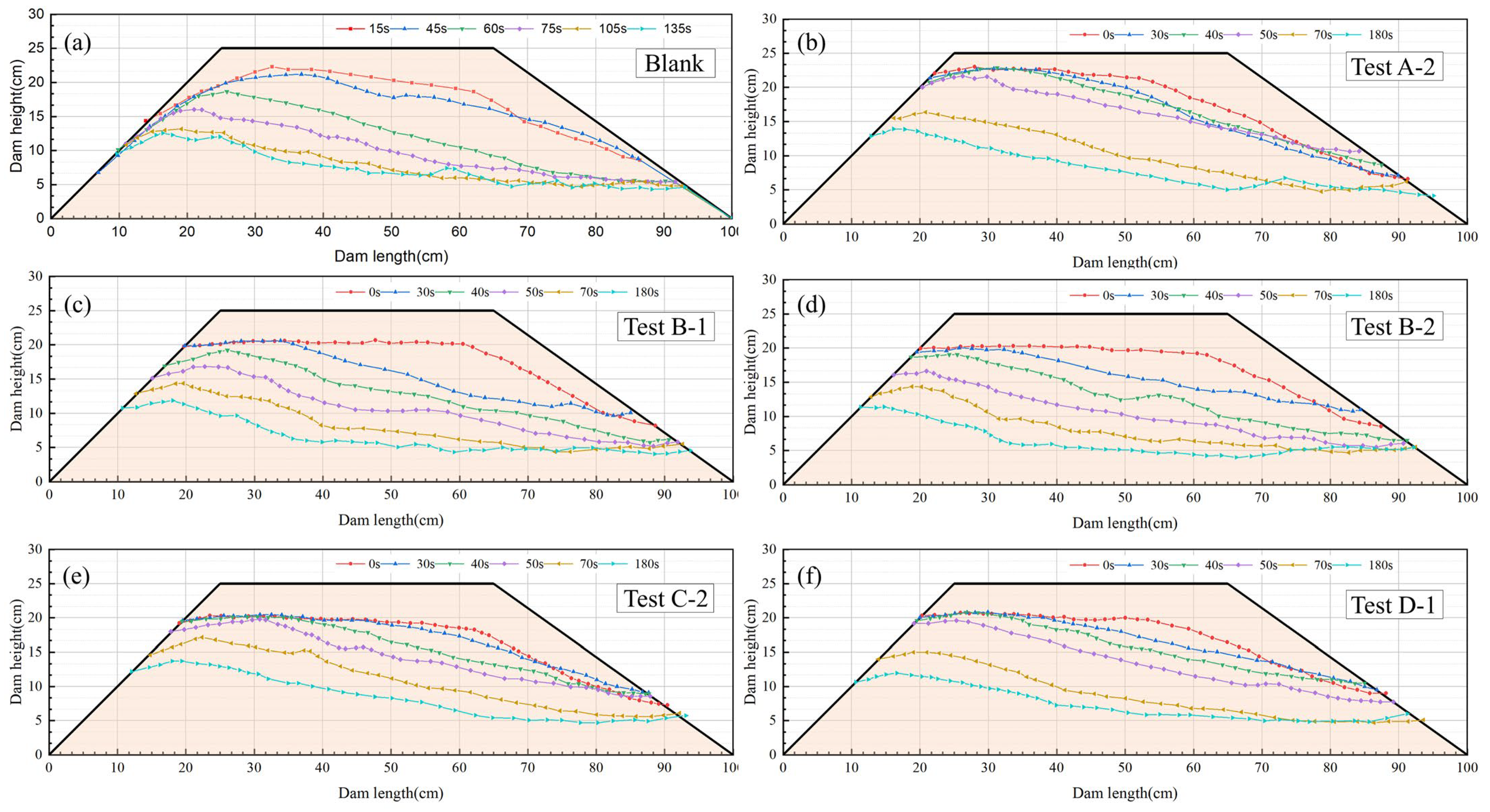
3.4. Residual Landslide Dam Morphology and Material Transport Characteristics
4. Discussion
4.1. Influence of Water-Blocking Effect on Breach Reduction
4.2. Influence of Bypass Flow on Breach Reduction
4.3. Influence of Grouting Parameters on the Effectiveness of Flow Control
4.4. Limitations
5. Conclusions
Author Contributions
Funding
Data Availability Statement
Acknowledgments
Conflicts of Interest
References
- Wang, H.; Cui, P.; Zhou, L.; Liu, W.; Yang, A.; Yao, S.; Jiang, Z. Spatial and Temporal Distribution of Landslide-Dammed Lakes in Purlung Tsangpo. Eng. Geol. 2022, 308, 106802. [Google Scholar] [CrossRef]
- Zhou, J.-W.; Xu, W.-Y.; Yang, X.-G.; Shi, C.; Yang, Z.-H. The 28 October 1996 Landslide and Analysis of the Stability of the Current Huashiban Slope at the Liangjiaren Hydropower Station, Southwest China. Eng. Geol. 2010, 114, 45–56. [Google Scholar] [CrossRef]
- Coussot, P.; Meunier, M. Recognition, Classification and Mechanical Description of Debris Flows. Earth Sci. Rev. 1996, 40, 209–227. [Google Scholar] [CrossRef]
- Tacconi Stefanelli, C.; Segoni, S.; Casagli, N.; Catani, F. Geomorphic Indexing of Landslide Dams Evolution. Eng. Geol. 2016, 208, 1–10. [Google Scholar] [CrossRef]
- Ermini, L.; Casagli, N. Prediction of the Behaviour of Landslide Dams Using a Geomorphological Dimensionless Index. Earth Surf. Process. Landf. 2003, 28, 31–47. [Google Scholar] [CrossRef]
- Guan, S.; Shi, Z.; Zheng, H.; Shen, D.; Hanley, K.J.; Yang, J.; Xia, C. Effects of Soil Properties and Geomorphic Parameters on the Breach Mechanisms of Landslide Dams and Prediction of Peak Discharge. Acta Geotech. 2023, 18, 5485–5502. [Google Scholar] [CrossRef]
- Liu, J.; You, Y.; Chen, X.; Chen, X. Mitigation Planning Based on the Prediction of River Blocking by a Typical Large-Scale Debris Flow in the Wenchuan Earthquake Area. Landslides 2016, 13, 1231–1242. [Google Scholar] [CrossRef]
- Meng, Z.; Lyu, L.; Xu, M.; Yu, G.; Ma, C.; Wang, Z.; Stoffel, M. Effects of Frequent Debris Flows on Barrier Lake Formation, Sedimentation and Vegetation Disturbance, Palongzangbo River, Tibetan Plateau. Catena 2023, 220, 106697. [Google Scholar] [CrossRef]
- Takayama, S.; Imaizumi, F. Effects of Coarse Particles on Downstream Face Erosion Processes and Outflow Discharge during the Overtopping of a Landslide Dam. Landslides 2023, 20, 351–366. [Google Scholar] [CrossRef]
- Zeng, P.; Wang, S.; Sun, X.; Fan, X.; Li, T.; Wang, D.; Feng, B.; Zhu, X. Probabilistic Hazard Assessment of Landslide-Induced River Damming. Eng. Geol. 2022, 304, 106678. [Google Scholar] [CrossRef]
- Schuster, R.L. The 25 most catastrophic landslides of the 20th century, in Chaocon. In Landslides: Proceedings of the Eighth International Conference and Field Trip on Landslides, Granada, Spain, 27–28 September 1996; A.A. Balkema: Rotterdam, The Netherlands, 1996; pp. 1–18. [Google Scholar]
- Crozier, M.J. Landslides: Causes, Consequences & Environment; Croom Helm Pub: London, UK, 1986. [Google Scholar]
- Davies, T.R.; McSaveney, M.J. The Role of Rock Fragmentation in the Motion of Large Landslides. Eng. Geol. 2009, 109, 67–79. [Google Scholar] [CrossRef]
- Zhang, M.; Yin, Y. Dynamics, Mobility-Controlling Factors and Transport Mechanisms of Rapid Long-Runout Rock Avalanches in China. Eng. Geol. 2013, 167, 37–58. [Google Scholar] [CrossRef]
- Dunning, S.A.; Petley, D.N.; Rosser, N.J.; Strom, A.L. The morphology and sedimentology of valley confined rock-avalanche deposits and their effect on potential dam hazard. In Landslide Risk Management; Hungr, O., Fell, R., Couture, R., Eberhardt, E., Eds.; CRC Press: Boca Raton, FL, USA, 2005; pp. 691–701. [Google Scholar]
- Cui, P.; Zhu, Y.; Han, Y.; Chen, X.; Zhuang, J. The 12 May Wenchuan Earthquake-Induced Landslide Lakes: Distribution and Preliminary Risk Evaluation. Landslides 2009, 6, 209–223. [Google Scholar] [CrossRef]
- Korup, O. Recent Research on Landslide Dams—A Literature Review with Special Attention to New Zealand. Prog. Phys. Geogr. Earth Environ. 2002, 26, 206–235. [Google Scholar] [CrossRef]
- Fan, X.; Dufresne, A.; Siva Subramanian, S.; Strom, A.; Hermanns, R.; Tacconi Stefanelli, C.; Hewitt, K.; Yunus, A.P.; Dunning, S.; Capra, L.; et al. The Formation and Impact of Landslide Dams—State of the Art. Earth-Sci. Rev. 2020, 203, 103116. [Google Scholar] [CrossRef]
- Zhong, Q.; Wang, L.; Chen, S.; Chen, Z.; Shan, Y.; Zhang, Q.; Ren, Q.; Mei, S.; Jiang, J.; Hu, L.; et al. Breaches of Embankment and Landslide Dams—State of the Art Review. Earth-Sci. Rev. 2021, 216, 103597. [Google Scholar] [CrossRef]
- Costa, J.E.; Schuster, R.L. The formation and failure of natural dams. GSA Bull. 1988, 100, 1054–1068. [Google Scholar] [CrossRef]
- Luo, J.; Pei, X.; Evans, S.G.; Huang, R. Mechanics of the Earthquake-Induced Hongshiyan Landslide in the 2014 Mw 6.2 Ludian Earthquake, Yunnan, China. Eng. Geol. 2019, 251, 197–213. [Google Scholar] [CrossRef]
- Xu, F.; Yang, X.; Zhou, J. Dam-Break Flood Risk Assessment and Mitigation Measures for the Hongshiyan Landslide-Dammed Lake Triggered by the 2014 Ludian Earthquake. Geomat. Nat. Hazards Risk 2017, 8, 803–821. [Google Scholar] [CrossRef]
- Li, J.; Cao, Z.; Cui, Y.; Fan, X.; Yang, W.; Huang, W.; Borthwick, A. Hydro-Sediment-Morphodynamic Processes of the Baige Landslide-Induced Barrier Lake, Jinsha River, China. J. Hydrol. 2021, 596, 126134. [Google Scholar] [CrossRef]
- Zhong, Q.; Chen, S.; Wang, L.; Shan, Y. Back Analysis of Breaching Process of Baige Landslide Dam. Landslides 2020, 17, 1681–1692. [Google Scholar] [CrossRef]
- Liu, N.; Zhang, J.; Lin, W.; Cheng, W.; Chen, Z. Draining Tangjiashan Barrier Lake after Wenchuan Earthquake and the Flood Propagation after the Dam Break. Sci. China Ser. E-Technol. Sci. 2009, 52, 801–809. [Google Scholar] [CrossRef]
- Shang, Y.; Yang, Z.; Li, L.; Liu, D.; Liao, Q.; Wang, Y. A Super-Large Landslide in Tibet in 2000: Background, Occurrence, Disaster, and Origin. Geomorphology 2003, 54, 225–243. [Google Scholar] [CrossRef]
- Yang, X.; Yang, Z.; Cao, S.; Gao, X.; Li, S. Key Techniques for the Emergency Disposal of Quake Lakes. Nat. Hazards 2010, 52, 43–56. [Google Scholar] [CrossRef]
- Gregoretti, C.; Maltauro, A.; Lanzoni, S. Laboratory experiments on the failure of coarse homogeneous sediment natural dams on a sloping bed. J. Hydraul. Eng. 2010, 136, 868–879. [Google Scholar] [CrossRef]
- Zhou, Z.; Cai, Y.; LI, J.; Peng, W. Experimental Study on Manual Intervention Upon Barrier Lake Failure. Water Resour. Power 2022, 40, 109–114. (In Chinese) [Google Scholar] [CrossRef]
- Shi, Z.; Zhang, G.; Peng, M.; Ma, C. An experimental study of the breaching process of landslide dams with different bed slopes and drainage channel cross-sections. Hydrogeol. Eng. Geol. 2022, 49, 73–81. (In Chinese) [Google Scholar] [CrossRef]
- Wang, J.; Wang, R.; Zhang, C.; Ma, Z.; Tan, G.; Shu, C.; Han, S.; Shang, H.; Zhang, G.; Zhan, Y. Long-Term and Short-Term Disposal of Landslide Dams at Steep V-Shaped Valleys. Landslides 2024, 21, 135–153. [Google Scholar] [CrossRef]
- Chen, X.; Zhao, W.; Gao, Q.; Jia, S.; Zhu, X. Experimental Investigation and Design of Artificial Structures Controlling Dam-Break Floods. J. Southwest Jiaotong Univ. 2011, 46, 228–234. (In Chinese) [Google Scholar]
- Chen, X.; Zhao, W.; Gao, Q.; Jia, S.; Zhu, X. Experimental Research on Effect of Man-Made Structure Controlling Dam-break Flood. Mt. Res. 2011, 29, 217–225. (In Chinese) [Google Scholar] [CrossRef]
- Ruan, H.; Chen, H.; Chen, X.; Zhao, W.; Chen, J.; Jiang, Y.; Wang, T.; Li, X.; Yang, Z. A Discharge Regulating Method for the Whole Process of the Debris Flow Dam Failure. Landslides 2025, 22, 1509–1527. [Google Scholar] [CrossRef]
- Duan, H.; Ma, D.; Kong, S.; Ma, Z.; Zou, L. Hydraulic Erosion-Heat Transfer Coupling Model for Coal and Geothermal Energy Co-Exploitation. Renew. Energy 2025, 248, 123109. [Google Scholar] [CrossRef]
- Fan, X.; Tang, C.X.; Van Westen, C.J.; Alkema, D. Simulating Dam-Breach Flood Scenarios of the Tangjiashan Landslide Dam Induced by the Wenchuan Earthquake. Nat. Hazards Earth Syst. Sci. 2012, 12, 3031–3044. [Google Scholar] [CrossRef]
- Peng, M.; Ma, C.-Y.; Chen, H.-X.; Zhang, P.; Zhang, L.-M.; Jiang, M.-Z.; Zhang, Q.-Z.; Shi, Z.-M. Experimental Study on Breaching Mechanisms of Landslide Dams Composed of Different Materials under Surge Waves. Eng. Geol. 2021, 291, 106242. [Google Scholar] [CrossRef]
- Peng, M.; Zhang, L.M. Breaching Parameters of Landslide Dams. Landslides 2012, 9, 13–31. [Google Scholar] [CrossRef]
- Peng, M.; Zhang, L.M.; Chang, D.S.; Shi, Z.M. Engineering Risk Mitigation Measures for the Landslide Dams Induced by the 2008 Wenchuan Earthquake. Eng. Geol. 2014, 180, 68–84. [Google Scholar] [CrossRef]
- Zhou, G.G.D.; Zhou, M.; Shrestha, M.S.; Song, D.; Choi, C.E.; Cui, K.F.E.; Peng, M.; Shi, Z.; Zhu, X.; Chen, H. Experimental Investigation on the Longitudinal Evolution of Landslide Dam Breaching and Outburst Floods. Geomorphology 2019, 334, 29–43. [Google Scholar] [CrossRef]
- Casagli, N.; Ermini, L.; Rosati, G. Determining Grain Size Distribution of the Material Composing Landslide Dams in the Northern Apennines: Sampling and Processing Methods. Eng. Geol. 2003, 69, 83–97. [Google Scholar] [CrossRef]
- Dunning, S.A.; Rosser, N.J.; Petley, D.N.; Massey, C.R. Formation and Failure of the Tsatichhu Landslide Dam, Bhutan. Landslides 2006, 3, 107–113. [Google Scholar] [CrossRef]
- Duman, T.Y. The Largest Landslide Dam in Turkey: Tortum Landslide. Eng. Geol. 2009, 104, 66–79. [Google Scholar] [CrossRef]
- Hanson, G.J.; Cook, K.R.; Hunt, S.L. Physical Modeling of Overtopping Erosion and Breach Formation of Cohesive Embankments. Trans. ASAE 2005, 48, 1783–1794. [Google Scholar] [CrossRef]
- Shi, Z.; Zhang, G.; Peng, M.; Zhang, Q.; Zhou, Y.; Zhou, M. Experimental Investigation on the Breaching Process of Landslide Dams with Differing Materials under Different Inflow Conditions. Materials 2022, 15, 2029. [Google Scholar] [CrossRef]
- Zhu, X.; Liu, B.; Peng, J.; Zhang, Z.; Zhuang, J.; Huang, W.; Leng, Y.; Duan, Z. Experimental Study on the Longitudinal Evolution of the Overtopping Breaching of Noncohesive Landslide Dams. Eng. Geol. 2021, 288, 106137. [Google Scholar] [CrossRef]
- Chen, M.; Peng, G.; Wang, H.; Xu, D.; Li, J. Experimental study on three-dimensional topography and flow structure around bridge piers under local scour. J. Hydroelectr. Eng. 2021, 40, 13–24. (In Chinese) [Google Scholar]
- Zhang, X.; Zhao, D.; He, S. Simulation Study on the Influence of Bridge Pier Spacing on the Flow Pattern of the Lower Yellow River. Iran. J. Sci. Technol. Trans. Civ. Eng. 2022, 46, 4665–4675. [Google Scholar] [CrossRef]
- Huang, J.; Li, R.; Feng, J.; Li, Z.; Cheng, X.; Wang, Z. The Application of Baffle Block in Mitigating TDGS of Dams with Different Discharge Patterns. Ecol. Indic. 2021, 133, 108418. [Google Scholar] [CrossRef]












| H/C | Su | Sd | H/B | /H | /H | |
|---|---|---|---|---|---|---|
| Natural landslide dams | 0.2–3.0 | 11–45° | 11–45° | 0.02–1 | 0.5–5 | 0.2–10 |
| Model dam | 0.625 | 45° | 35° | 0.25 | 1.74 | 2.05 |
| Group | Test | Grouting Point Distribution Position | Grouting Depth | Arrangement | a | b | Qin/(L/s) |
|---|---|---|---|---|---|---|---|
| Blank | \ | \ | 0 | \ | 0 | 0 | 1.35 |
| Pre-experiment | \ | Uniformly distributed in the dam | 0.5H | 1 × 2 | 10 | \ | 1.35 |
| A | 1 | Uniformly distributed in the dam | 0.5H | 1 × 2 | 10 | \ | 1.35 |
| 2 | 0.5H | 2 × 1 | \ | 20 | 1.35 | ||
| 3 | 0.5H | 2 × 2 | 10 | 20 | 1.35 | ||
| 4 | 0.5H | 2 × 2 | 20 | 10 | 1.35 | ||
| B | 1 | Concentrated distribution in the breach | 0.5H | 2 × 1 | 10 | \ | 1.35 |
| 2 | 0.5H | 1 × 2 | \ | 5 | 1.35 | ||
| 3 | 0.5H | 3 × 1 | 5 | \ | 1.35 | ||
| C | 1 | Uniformly distributed in the dam | 0.75H | 1 × 2 | 10 | \ | 1.35 |
| 2 | 0.75H | 2 × 1 | \ | 20 | 1.35 | ||
| 3 | 0.75H | 2 × 2 | 10 | 20 | 1.35 | ||
| 4 | 0.75H | 2 × 2 | 20 | 10 | 1.35 | ||
| D | 1 | Concentrated distribution in the breach | 0.75H | 2 × 1 | 10 | \ | 1.35 |
| 2 | 0.75H | 1 × 2 | \ | 5 | 1.35 | ||
| 3 | 0.75H | 3 × 1 | 5 | \ | 1.35 |
Disclaimer/Publisher’s Note: The statements, opinions and data contained in all publications are solely those of the individual author(s) and contributor(s) and not of MDPI and/or the editor(s). MDPI and/or the editor(s) disclaim responsibility for any injury to people or property resulting from any ideas, methods, instructions or products referred to in the content. |
© 2025 by the authors. Licensee MDPI, Basel, Switzerland. This article is an open access article distributed under the terms and conditions of the Creative Commons Attribution (CC BY) license (https://creativecommons.org/licenses/by/4.0/).
Share and Cite
Rao, P.; Gao, X.; Zhou, H.; Pan, L.; Yang, B.; Li, L. Experimental Study on the Effectiveness of Grouting in Controlling Breaching of High-Permeability Landslide Dams of Granular Materials. Water 2025, 17, 3310. https://doi.org/10.3390/w17223310
Rao P, Gao X, Zhou H, Pan L, Yang B, Li L. Experimental Study on the Effectiveness of Grouting in Controlling Breaching of High-Permeability Landslide Dams of Granular Materials. Water. 2025; 17(22):3310. https://doi.org/10.3390/w17223310
Chicago/Turabian StyleRao, Peimin, Xing Gao, Hongwei Zhou, Longyang Pan, Baoquan Yang, and Liang Li. 2025. "Experimental Study on the Effectiveness of Grouting in Controlling Breaching of High-Permeability Landslide Dams of Granular Materials" Water 17, no. 22: 3310. https://doi.org/10.3390/w17223310
APA StyleRao, P., Gao, X., Zhou, H., Pan, L., Yang, B., & Li, L. (2025). Experimental Study on the Effectiveness of Grouting in Controlling Breaching of High-Permeability Landslide Dams of Granular Materials. Water, 17(22), 3310. https://doi.org/10.3390/w17223310
