Enhanced Sulfate Removal from Acid Mine Drainage via Pre-Cultured Sulfate-Reducing Bacteria and Bioaugmentation Strategies
Abstract
1. Introduction
2. Materials and Methods
2.1. Bacterial Strains and Culture
2.2. Sediment
2.3. AMD Wastewater
2.4. Determination of Sulfate Reduction Performance
2.5. Study on Sulfate Reduction Performance of SRB
- Effect of pH: The initial pH of the medium was adjusted to 2.8, 3.8, 4.8, 5.8, 6.8, 7.8, and 8.8.
- Effect of sulfate concentration: Initial sulfate concentrations were set at 840, 1680, 3504, 8400, and 11,760 mg/L.
- Effect of inoculum size: Acclimated SRB cultures were centrifuged and resuspended into fresh AMD systems at volumes of 10, 50, and 75 mL.
- Effect of carbon source: Using sodium lactate in Postgate’s medium as the baseline, the amount of carbon source added was adjusted to 5.5, 16.5, and 38.85 mg/L.
- Prior to inoculation with SRB, both the growth medium and real AMD samples were purged with high-purity nitrogen for 30 min to remove dissolved oxygen. The DO concentration was measured and maintained at <0.5 mg/L, the Eh value was stably maintained at −150 to −300 mV.
2.6. Evaluation of Sediment-Mediated AMD Remediation Efficiency
2.7. Determination of Total Fe and Mn
2.8. Statistical Analysis
3. Results and Discussion
3.1. Characterization of Sediment
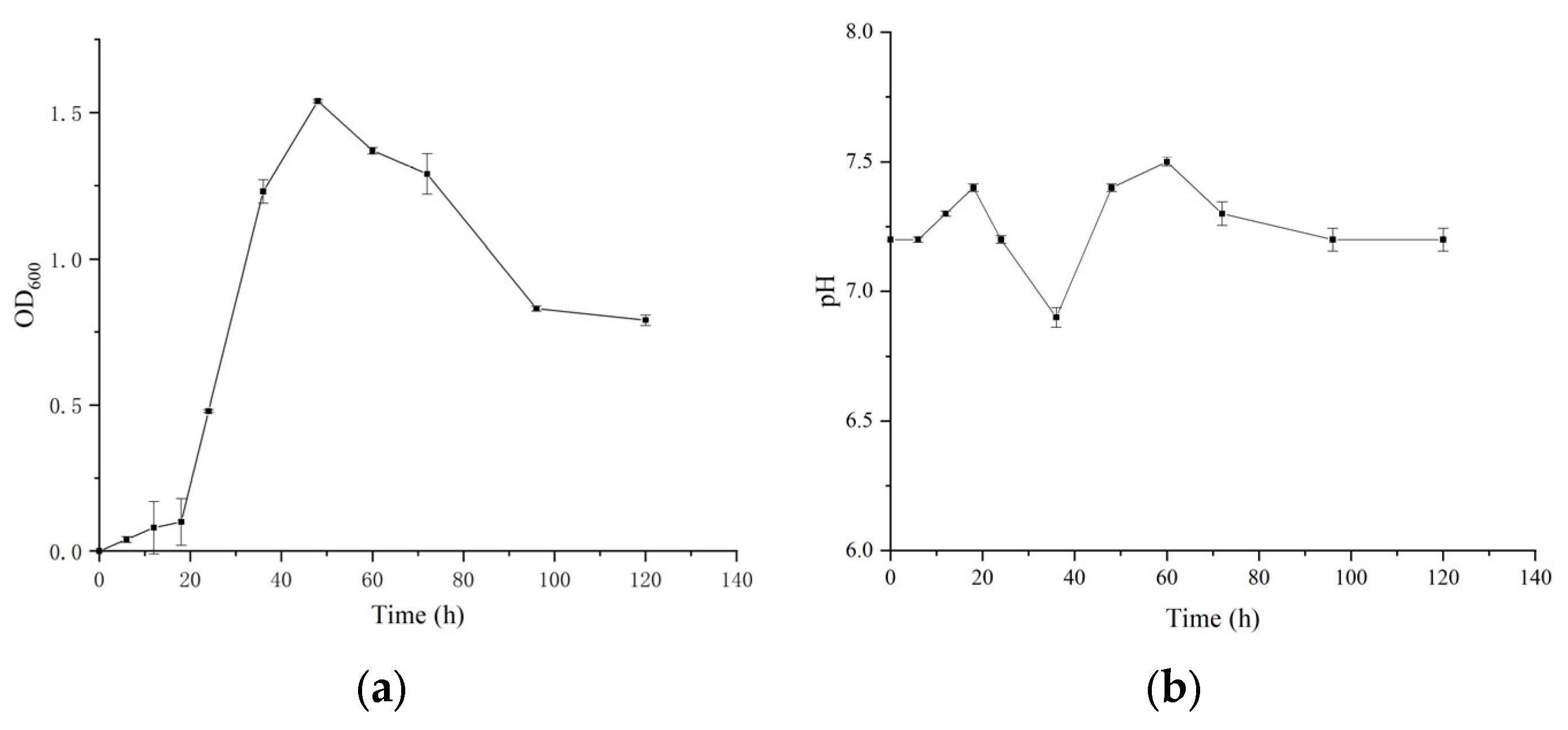
3.2. Growth Characteristics of SRB
3.3. Sulfate Reduction Performance Testing
3.3.1. Effect of Sulfate Concentration
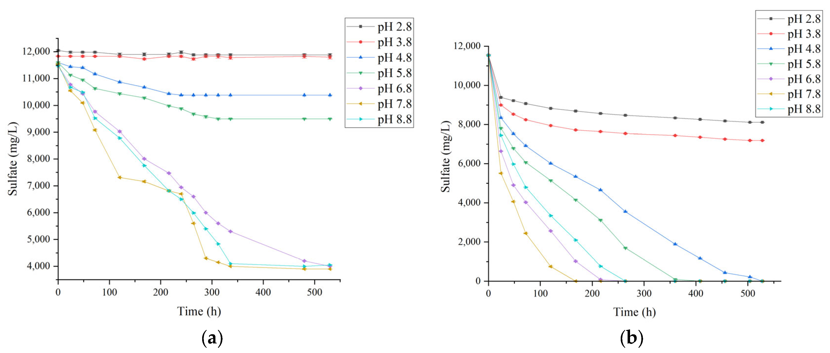
3.3.2. Effect of pH Conditions
3.3.3. Effect of Inoculum Size
3.3.4. Effect of Carbon Source Conditions
3.4. Treatment of Real AMD Wastewater by SRB
3.5. SRB Combined with Sediment for Treatment of Actual AMD
3.6. Techno-Economical Perspective
4. Conclusions
Supplementary Materials
Author Contributions
Funding
Data Availability Statement
Conflicts of Interest
References
- Ahmad, M.; Ling, J.; Yin, J.; Chen, L.; Yang, Q.; Zhou, W.; Zhang, Y.; Huang, X.; Khan, I.; Dong, J. Evaluation of the Different Nutritional and Environmental Parameters on Microbial Pyrene Degradation by Mangrove Culturable Bacteria. Int. J. Mol. Sci. 2023, 24, 8282. [Google Scholar] [CrossRef] [PubMed]
- Marques, J.P.; Rodrigues, V.G.S. A Systematic Literature Review of Treatment Approaches with Sulfate-Reducing Bacteria for Acid Mine Drainage. Water Air Soil Pollut. 2025, 236, 271. [Google Scholar] [CrossRef]
- Chen, G.; Ye, Y.; Yao, N.; Hu, N.; Zhang, J.; Huang, Y. A critical review of prevention, treatment, reuse, and resource recovery from acid mine drainage. J. Clean. Prod. 2021, 329, 129666. [Google Scholar] [CrossRef]
- Anekwe, I.M.S.; Isa, Y.M. Bioremediation of acid mine drainage—Review. Alex. Eng. J. 2023, 65, 1047–1075. [Google Scholar] [CrossRef]
- Anekwe, I.M.; Isa, Y.M. Wastewater and Bioventing Treatment Systems for Acid Mine Drainage–Contaminated Soil. Soil Sediment Contam. Int. J. 2021, 30, 518–531. [Google Scholar] [CrossRef]
- Sulonen, M.L.K.; Baeza, J.A.; Gabriel, D.; Guisasola, A. Optimisation of the operational parameters for a comprehensive bioelectrochemical treatment of acid mine drainage. J. Hazard. Mater. 2021, 409, 124944. [Google Scholar] [CrossRef]
- Yuan, J.; Ding, Z.; Bi, Y.; Li, J.; Wen, S.; Bai, S. Resource Utilization of Acid Mine Drainage (AMD): A Review. Water 2022, 14, 2385. [Google Scholar] [CrossRef]
- Rambabu, K.; Banat, F.; Pham, Q.M.; Ho, S.H.; Ren, N.Q.; Show, P.L. Biological remediation of acid mine drainage: Review of past trends and current outlook. Environ. Sci. Ecotechnol. 2020, 2, 100024. [Google Scholar] [CrossRef]
- Liang, X.; Guo, C.; Wei, Y.; Lin, W.; Yi, X.; Lu, G.; Dang, Z. Cosolubilization synergism occurrence in codesorption of PAH mixtures during surfactant-enhanced remediation of contaminated soil. Chemosphere 2016, 144, 583–590. [Google Scholar] [CrossRef]
- Aghaei, E.; Wang, Z.; Tadesse, B.; Tabelin, C.B.; Quadir, Z.; Alorro, R.D. Performance Evaluation of Fe-Al Bimetallic Particles for the Removal of Potentially Toxic Elements from Combined Acid Mine Drainage-Effluents from Refractory Gold Ore Processing. Minerals 2021, 11, 590. [Google Scholar] [CrossRef]
- Ryu, S.; Naidu, G.; Hasan Johir, M.A.; Choi, Y.; Jeong, S.; Vigneswaran, S. Acid mine drainage treatment by integrated submerged membrane distillation–sorption system. Chemosphere 2019, 218, 955–965. [Google Scholar] [CrossRef]
- Patel, A.; Enman, J.; Gulkova, A.; Guntoro, P.I.; Dutkiewicz, A.; Ghorbani, Y.; Rova, U.; Christakopoulos, P.; Matsakas, L. Integrating biometallurgical recovery of metals with biogenic synthesis of nanoparticles. Chemosphere 2021, 263, 128306. [Google Scholar] [CrossRef] [PubMed]
- Mafane, D.; Ngulube, T.; Mphahlele-Makgwane, M.M. Anaerobic Bioremediation of Acid Mine Drainage Using Sulphate-Reducing Bacteria: Current Status, Challenges, and Future Directions. Sustainability 2025, 17, 3567. [Google Scholar] [CrossRef]
- Hu, C.; Yang, Z.; Chen, Y.; Tang, J.; Zeng, L.; Peng, C.; Chen, L.; Wang, J. Unlocking soil revival: The role of sulfate-reducing bacteria in mitigating heavy metal contamination. Environ. Geochem. Health 2024, 46, 417. [Google Scholar] [CrossRef]
- Chettri, D.; Verma, A.K.; Verma, A.K. Bioaugmentation: An approach to biological treatment of pollutants. Biodegradation 2024, 35, 117–135. [Google Scholar] [CrossRef]
- Zhao, C.; Chen, N.; Liu, T.; Feng, C. Effects of adding different carbon sources on the microbial behavior of sulfate-reducing bacteria in sulfate-containing wastewater. J. Clean. Prod. 2023, 392, 136332. [Google Scholar] [CrossRef]
- Kuang, X.; Peng, L.; Chen, S.; Peng, C.; Song, H. Immobilization of metal(loid)s from acid mine drainage by biological soil crusts through biomineralization. J. Hazard. Mater. 2023, 443, 130314. [Google Scholar] [CrossRef] [PubMed]
- Kushkevych, I.; Kovářová, A.; Dordevic, D.; Gaine, J.; Kollar, P.; Vítězová, M.; Rittmann, S.K.-M.R. Distribution of Sulfate-Reducing Bacteria in the Environment: Cryopreservation Techniques and Their Potential Storage Application. Processes 2021, 9, 1843. [Google Scholar] [CrossRef]
- Dong, Y.; Wang, J.; Gao, Z.; Di, J.; Wang, D.; Guo, X.; Hu, Z.; Gao, X.; Wang, Y. Study on Growth Influencing Factors and Desulfurization Performance of Sulfate Reducing Bacteria Based on the Response Surface Methodology. ACS Omega 2023, 8, 4046–4059. [Google Scholar] [CrossRef]
- Song, Y.; Guo, Z.; Wang, R.; Yang, L.; Cao, Y.; Wang, H. A novel approach for treating acid mine drainage by forming schwertmannite driven by a combination of biooxidation and electroreduction before lime neutralization. Water Res. 2022, 221, 118748. [Google Scholar] [CrossRef]
- Brar, K.K.; Etteieb, S.; Magdouli, S.; Calugaru, L.; Brar, S.K. Novel approach for the management of acid mine drainage (AMD) for the recovery of heavy metals along with lipid production by Chlorella vulgaris. J. Environ. Manag. 2022, 308, 114507. [Google Scholar] [CrossRef]
- Bouchez, M.; Blanchet, D.; Vandecasteele, J.P. Degradation of polycyclic aromatic hydrocarbons by pure strains and by defined strain associations: Inhibition phenomena and cometabolism. Appl. Microbiol. Biotechnol. 1995, 43, 156–164. [Google Scholar] [CrossRef]
- González, D.; Liu, Y.; Villa Gomez, D.; Southam, G.; Hedrich, S.; Galleguillos, P.; Colipai, C.; Nancucheo, I. Performance of a sulfidogenic bioreactor inoculated with indigenous acidic communities for treating an extremely acidic mine water. Miner. Eng. 2019, 131, 370–375. [Google Scholar] [CrossRef]
- Nguyen, H.T.; Nguyen, H.L.; Nguyen, M.H.; Nguyen, T.K.N.; Dinh, H.T. Sulfate Reduction for Bioremediation of AMD Facilitated by an Indigenous Acidand Metal-Tolerant Sulfate-Reducer. J. Microbiol. Biotechnol. 2020, 30, 1005–1012. [Google Scholar] [CrossRef]
- de Matos, L.P.; Costa, P.F.; Moreira, M.; Gomes, P.C.S.; de Queiroz Silva, S.; Gurgel, L.V.A.; Teixeira, M.C. Simultaneous removal of sulfate and arsenic using immobilized non-traditional SRB mixed culture and alternative low-cost carbon sources. Chem. Eng. J. 2018, 334, 1630–1641. [Google Scholar] [CrossRef]
- Wu, Z.; Firmin, K.A.; Cheng, M.; Wu, H.; Si, Y. Biochar enhanced Cd and Pb immobilization by sulfate-reducing bacterium isolated from acid mine drainage environment. J. Clean. Prod. 2022, 366, 132823. [Google Scholar] [CrossRef]
- Li, J.; Tabassum, S. Synergism of hydrolytic acidification and sulfate reducing bacteria for acid production and desulfurization in the anaerobic baffled reactor: High sulfate sewage wastewater treatment. Chem. Eng. J. 2022, 444, 136611. [Google Scholar] [CrossRef]
- Mukwevho, M.J.; Maharajh, D.; Chirwa, E.M.N. Evaluating the Effect of pH, Temperature, and Hydraulic Retention Time on Biological Sulphate Reduction Using Response Surface Methodology. Water 2020, 12, 2662. [Google Scholar] [CrossRef]
- Lu, R.; Zhang, Q.; Chen, Y.; An, H.; Zhang, L.; Wu, Z.; Xiao, E. Nitrate reduction pathway of iron sulphides based MFC-CWs purifying low C/N wastewater: Competitive mechanism to inorganic and organic electrons. Chem. Eng. J. 2024, 479, 147379. [Google Scholar] [CrossRef]
- Alazard, D.; Joseph, M.; Battaglia-Brunet, F.; Cayol, J.-L.; Ollivier, B. Desulfosporosinus acidiphilus sp. nov.: A moderately acidophilic sulfate-reducing bacterium isolated from acid mining drainage sediments. Extremophiles 2010, 14, 305–312. [Google Scholar] [CrossRef]
- Colipai, C.; Southam, G.; Oyarzún, P.; González, D.; Díaz, V.; Contreras, B.; Nancucheo, I. Synthesis of Copper Sulfide Nanoparticles Using Biogenic H2S Produced by a Low-pH Sulfidogenic Bioreactor. Minerals 2018, 8, 35. [Google Scholar] [CrossRef]
- She, Z.; Wang, J.; He, C.; Jiang, Z.; Pan, X.; Wang, M.; Ma, D.; Shi, Q.; Yue, Z. Molecular insights into the impacts of acid mine drainage on dissolved organic matter dynamics in pit lakes. Sci. Total Environ. 2023, 888, 164097. [Google Scholar] [CrossRef]
- Li, Y.P.; Tian, Y.X.; Hao, Z.D.; Ma, Y.L. Transcriptome analysis of the degradation characteristics of fluoranthene by Pseudomonas aeruginosa DN1. Microbiol. Bull. 2020, 47, 54–65. [Google Scholar]
- Chen, Z.; Hu, H.; Xu, P.; Tang, H. Soil bioremediation by Pseudomonas brassicacearum MPDS and its enzyme involved in degrading PAHs. Sci. Total Environ. 2022, 813, 152522. [Google Scholar] [CrossRef]
- Zhang, Z.; Hou, Z.; Yang, C.; Ma, C.; Tao, F.; Xu, P. Degradation of n-alkanes and polycyclic aromatic hydrocarbons in petroleum by a newly isolated Pseudomonas aeruginosa DQ8. Bioresour. Technol. 2011, 102, 4111–4116. [Google Scholar] [CrossRef]
- Holanda, R.; Hedrich, S.; Ňancucheo, I.; Oliveira, G.; Grail, B.M.; Johnson, D.B. Isolation and characterisation of mineral-oxidising “Acidibacillus” spp. from mine sites and geothermal environments in different global locations. Res. Microbiol. 2016, 167, 613–623. [Google Scholar] [CrossRef]
- Bourguignon, N.; Irazusta, V.; Isaac, P.; Estévez, C.; Maizel, D.; Ferrero, M.A. Identification of proteins induced by polycyclic aromatic hydrocarbon and proposal of the phenanthrene catabolic pathway in Amycolatopsis tucumanensis DSM 45259. Ecotoxicol. Environ. Saf. 2019, 175, 19–28. [Google Scholar] [CrossRef]
- Pernicova, I.; Novackova, I.; Sedlacek, P.; Kourilova, X.; Kalina, M.; Kovalcik, A.; Koller, M.; Nebesarova, J.; Krzyzanek, V.; Hrubanova, K.; et al. Introducing the Newly Isolated Bacterium Aneurinibacillus sp. H1 as an Auspicious Thermophilic Producer of Various Polyhydroxyalkanoates (PHA) Copolymers-1. Isolation and Characterization of the Bacterium. Polymers 2020, 12, 1235. [Google Scholar] [CrossRef] [PubMed]
- Hidalgo-García, A.; Torres, M.J.; Salas, A.; Bedmar, E.J.; Girard, L.; Delgado, M.J. Rhizobium etli Produces Nitrous Oxide by Coupling the Assimilatory and Denitrification Pathways. Front. Microbiol. 2019, 10, 980. [Google Scholar] [CrossRef]
- Kang, J.-X.; Wang, Y.-Y. The role of Acidithiobacillus ferrooxidans in Fe(II) oxidation of pyrite in bioleaching processes. J. Chem. Technol. Biotechnol. 2022, 97, 2013–2023. [Google Scholar] [CrossRef]
- Janyasuthiwong, S.; Rene Eldon, R.; Esposito, G.; Lens Piet, N.L. Effect of pH on the Performance of Sulfate and Thiosulfate-Fed Sulfate Reducing Inverse Fluidized Bed Reactors. J. Environ. Eng. 2016, 142, C4015012. [Google Scholar] [CrossRef]
- Hao, T.-W.; Xiang, P.-Y.; Mackey, H.R.; Chi, K.; Lu, H.; Chui, H.-K.; van Loosdrecht, M.C.M.; Chen, G.-H. A review of biological sulfate conversions in wastewater treatment. Water Res. 2014, 65, 1–21. [Google Scholar] [CrossRef]
- Loganathan, B.G.; Lam, P.K.-S. (Eds.) Global Contamination Trends of Persistent Organic Chemicals, 1st ed.; CRC Press: Boca Raton, FL, USA, 2011. [Google Scholar] [CrossRef]
- Zhang, Z.; Zhang, C.; Yang, Y.; Zhang, Z.; Tang, Y.; Su, P.; Lin, Z. A review of sulfate-reducing bacteria: Metabolism, influencing factors and application in wastewater treatment. J. Clean. Prod. 2022, 376, 134109. [Google Scholar] [CrossRef]
- Xu, Y.-N.; Chen, Y. Advances in heavy metal removal by sulfate-reducing bacteria. Water Sci. Technol. 2020, 81, 1797–1827. [Google Scholar] [CrossRef]
- Zhuang, Z.; Xia, X.; Yang, G.; Zhuang, L. The Role of Exopolysaccharides in Direct Interspecies Electron Transfer. Front. Microbiol. 2022, 13, 927246. [Google Scholar] [CrossRef]
- Wang, J.; Li, Q.; Li, M.-M.; Chen, T.-H.; Zhou, Y.-F.; Yue, Z.-B. Competitive adsorption of heavy metal by extracellular polymeric substances (EPS) extracted from sulfate reducing bacteria. Bioresour. Technol. 2014, 163, 374–376. [Google Scholar] [CrossRef] [PubMed]
- Bao, H.; Lu, Z.; Cui, X.; Qiao, Y.; Guo, J.; Anderson, J.M.; Li, C.M. Extracellular microbial synthesis of biocompatible CdTe quantum dots. Acta Biomater. 2010, 6, 3534–3541. [Google Scholar] [CrossRef] [PubMed]
- Meier, J.; Piva, A.; Fortin, D. Enrichment of sulfate-reducing bacteria and resulting mineral formation in media mimicking pore water metal ion concentrations and pH conditions of acidic pit lakes. FEMS Microbiol. Ecol. 2012, 79, 69–84. [Google Scholar] [CrossRef]
- Wang, H.; Chen, F.; Mu, S.; Zhang, D.; Pan, X.; Lee, D.-J.; Chang, J.-S. Removal of antimony (Sb(V)) from Sb mine drainage: Biological sulfate reduction and sulfide oxidation—Precipitation. Bioresour. Technol. 2013, 146, 799–802. [Google Scholar] [CrossRef]
- Basu, A.; Apte, S.K.; Phale, P.S. Preferential utilization of aromatic compounds over glucose by Pseudomonas putida CSV86. Appl. Environ. Microbiol. 2006, 72, 2226–2230. [Google Scholar] [CrossRef]










Disclaimer/Publisher’s Note: The statements, opinions and data contained in all publications are solely those of the individual author(s) and contributor(s) and not of MDPI and/or the editor(s). MDPI and/or the editor(s) disclaim responsibility for any injury to people or property resulting from any ideas, methods, instructions or products referred to in the content. |
© 2025 by the authors. Licensee MDPI, Basel, Switzerland. This article is an open access article distributed under the terms and conditions of the Creative Commons Attribution (CC BY) license (https://creativecommons.org/licenses/by/4.0/).
Share and Cite
Zhang, L.; Li, B.; Qian, T.; Liu, X.; Zhang, H.; Wang, Y.; Li, W.; Huang, H.; Cao, C.; Yang, C. Enhanced Sulfate Removal from Acid Mine Drainage via Pre-Cultured Sulfate-Reducing Bacteria and Bioaugmentation Strategies. Water 2025, 17, 3308. https://doi.org/10.3390/w17223308
Zhang L, Li B, Qian T, Liu X, Zhang H, Wang Y, Li W, Huang H, Cao C, Yang C. Enhanced Sulfate Removal from Acid Mine Drainage via Pre-Cultured Sulfate-Reducing Bacteria and Bioaugmentation Strategies. Water. 2025; 17(22):3308. https://doi.org/10.3390/w17223308
Chicago/Turabian StyleZhang, Lei, Bo Li, Tianwei Qian, Xiaona Liu, Haoqing Zhang, Yue Wang, Wenjun Li, Hucheng Huang, Cong Cao, and Chunfan Yang. 2025. "Enhanced Sulfate Removal from Acid Mine Drainage via Pre-Cultured Sulfate-Reducing Bacteria and Bioaugmentation Strategies" Water 17, no. 22: 3308. https://doi.org/10.3390/w17223308
APA StyleZhang, L., Li, B., Qian, T., Liu, X., Zhang, H., Wang, Y., Li, W., Huang, H., Cao, C., & Yang, C. (2025). Enhanced Sulfate Removal from Acid Mine Drainage via Pre-Cultured Sulfate-Reducing Bacteria and Bioaugmentation Strategies. Water, 17(22), 3308. https://doi.org/10.3390/w17223308
