Journal Description
Journal of Marine Science and Engineering
Journal of Marine Science and Engineering
is an international, peer-reviewed, open access journal on marine science and engineering, published semimonthly online by MDPI. The Australia New Zealand Marine Biotechnology Society (ANZMBS) is affiliated with JMSE and its members receive discounts on the article processing charges.
- Open Access— free for readers, with article processing charges (APC) paid by authors or their institutions.
- High Visibility: indexed with Scopus, SCIE (Web of Science), Ei Compendex, GeoRef, Inspec, AGRIS, and other databases.
- Journal Rank: JCR - Q2 (Engineering, Marine) / CiteScore - Q2 (Ocean Engineering)
- Rapid Publication: manuscripts are peer-reviewed and a first decision is provided to authors approximately 15.6 days after submission; acceptance to publication is undertaken in 1.9 days (median values for papers published in this journal in the first half of 2025).
- Recognition of Reviewers: reviewers who provide timely, thorough peer-review reports receive vouchers entitling them to a discount on the APC of their next publication in any MDPI journal, in appreciation of the work done.
- Journal Clusters of Water Resources: Water, Journal of Marine Science and Engineering, Hydrology, Resources, Oceans, Limnological Review, Coasts.
Impact Factor:
2.8 (2024);
5-Year Impact Factor:
2.8 (2024)
Latest Articles
On Swarm-Constrained Formation Tracking Control Method for Master–Slave AUVs with Dynamic Transformations
J. Mar. Sci. Eng. 2026, 14(1), 76; https://doi.org/10.3390/jmse14010076 (registering DOI) - 30 Dec 2025
Abstract
Aiming at the problem of complex cluster constraints in the process of master slave AUV (Autonomous Underwater Vehicle) formation transformation and tracking in the wave environment, it is proposed to introduce the model predictive control (MPC) method to normalize a variety of complex
[...] Read more.
Aiming at the problem of complex cluster constraints in the process of master slave AUV (Autonomous Underwater Vehicle) formation transformation and tracking in the wave environment, it is proposed to introduce the model predictive control (MPC) method to normalize a variety of complex constraints in the process of group formation navigation, unify the kinematic model and dynamic model, and introduce the normalized constraint equation. At the same time, the MPC formation transformation tracking control strategy is designed to achieve AUV formation transformation and tracking control under the unified model, which is verified through simulation tests to provide more effective technical support for AUV group formation.
Full article
(This article belongs to the Section Ocean Engineering)
Open AccessArticle
Remaining Useful Life Prediction and Operation Optimization of Offshore Electric Submersible Pump Systems Using a Dual-Stage Attention-Based Recurrent Neural Network
by
Xin Lu, Guoqing Han, Bin Liu, Yangnan Shangguan and Xingyuan Liang
J. Mar. Sci. Eng. 2026, 14(1), 75; https://doi.org/10.3390/jmse14010075 (registering DOI) - 30 Dec 2025
Abstract
Electric Submersible Pumps (ESPs) serve as the primary artificial lift technology in offshore oilfields and play a crucial role in ensuring stable and efficient marine oil and gas production. However, the harsh offshore operating environment—characterized by high temperature, complex multiphase flow, and frequent
[...] Read more.
Electric Submersible Pumps (ESPs) serve as the primary artificial lift technology in offshore oilfields and play a crucial role in ensuring stable and efficient marine oil and gas production. However, the harsh offshore operating environment—characterized by high temperature, complex multiphase flow, and frequent load fluctuations—makes ESPs highly susceptible to accelerated degradation and unexpected failure. To enhance the operational reliability and efficiency of offshore production systems, this study develops a Remaining Useful Life (RUL) prediction method for offshore ESP systems using a Dual-Stage Attention-Based Recurrent Neural Network (DA-RNN). The model integrates an input-attention mechanism to identify degradation-relevant offshore operating variables and a temporal-attention mechanism to capture long-term deterioration patterns in real marine production data. Using field data from a representative offshore oilfield in the Bohai Sea, the proposed method achieves an average prediction error of less than 28 days, demonstrating strong robustness under complex offshore conditions. Beyond prediction, an RUL-driven operation optimization strategy is formulated to guide controllable parameters—such as pump frequency and nozzle size—toward extending ESP lifespan and improving offshore production stability. The results show that combining predictive maintenance with operational optimization provides a practical and data-driven pathway for improving the safety, efficiency, and sustainability of offshore oil and gas development. This work aligns closely with the goals of marine resource development and offers a valuable engineering perspective for advancing offshore oilfield operations.
Full article
(This article belongs to the Special Issue Advances in Offshore Oil and Gas Exploration and Development)
►▼
Show Figures

Figure 1
Open AccessArticle
Path Planning of an Underwater Vehicle by CFD Numerical Simulation Combined with a Migration-Based Genetic Algorithm
by
Bing Yang, Ligang Yao, Leilei Chen and Weilin Luo
J. Mar. Sci. Eng. 2026, 14(1), 74; https://doi.org/10.3390/jmse14010074 (registering DOI) - 30 Dec 2025
Abstract
This paper proposes a physics-informed global path planning framework for underwater vehicles integrating CFD simulation and the genetic algorithm. The CFD simulation models the flow field along the planned path of the underwater vehicle. The current velocity data are incorporated into the following
[...] Read more.
This paper proposes a physics-informed global path planning framework for underwater vehicles integrating CFD simulation and the genetic algorithm. The CFD simulation models the flow field along the planned path of the underwater vehicle. The current velocity data are incorporated into the following path planning that is based on an improved genetic algorithm (GA), which uses migration operators to share the information about feasible solutions or paths, improving the fitness of the whole population. In the three steps of the GA procedure, an elite selection strategy is adopted to avoid losing excellent solutions. A segmented crossover strategy is adopted to avoid low-quality crossover. An adaptive mutation strategy is used to enhance the ability to escape a local optimal solution. Using the improved GA, single-target and multi-target underwater path planning are investigated. In multi-target path planning, a combined algorithm is proposed to solve the optimal traversal order of target points and plan a feasible path between target points. The simulation results show that the proposed algorithm has good planning ability for both simple and complex underwater scenarios. Compared with the conventional GA and an improved GA, the number of average iterations decreases by 45.3% and 29.9%, respectively, for 2D multi-target path planning. The number of average inflection points decreases by 50.3% and 44.2%, respectively, for 2D multi-target path planning.
Full article
(This article belongs to the Section Ocean Engineering)
►▼
Show Figures

Figure 1
Open AccessReview
A Review of Microplastics Research in the Shipbuilding and Maritime Transport Industry
by
Ivana Lučin, Ante Sikirica, Bože Lučin and Marta Alvir
J. Mar. Sci. Eng. 2026, 14(1), 73; https://doi.org/10.3390/jmse14010073 (registering DOI) - 30 Dec 2025
Abstract
Microplastics are contaminants of increasing environmental concern, particularly in marine ecosystems where they can be easily ingested by marine organisms, causing adverse health problems in animals and, through trophic transfer, in humans. While numerous studies have examined microplastic pollution in marine environments, most
[...] Read more.
Microplastics are contaminants of increasing environmental concern, particularly in marine ecosystems where they can be easily ingested by marine organisms, causing adverse health problems in animals and, through trophic transfer, in humans. While numerous studies have examined microplastic pollution in marine environments, most focus on water, sediment, or biota, thereby only measuring cumulative effects from multiple pollution sources in one area. This review aims to assess existing research on microplastic pollution originating from shipyards and maritime transport activities, with the goal of identifying current knowledge, methodological approaches, and existing research gaps. A review of the scientific literature was conducted, focusing on studies that investigated microplastic pollution associated with shipyards and maritime transport. Priority was given to peer-reviewed publications that included quantitative or qualitative measurements of microplastics. The reviewed literature reveals a limited number of studies explicitly addressing microplastic emissions from shipyards and maritime transport. Available studies employ diverse sampling strategies and analytical methods, making direct comparisons challenging. This review highlights significant gaps in current knowledge regarding microplastic sources and pathways linked to maritime industries. By synthesizing existing data, the paper provides a foundation for future targeted research and supports the development of more effective pollution reduction strategies.
Full article
(This article belongs to the Section Marine Pollution)
►▼
Show Figures

Figure 1
Open AccessArticle
A Multi-Source Data Synchronized Finite Element Model Updating Framework for Jacket Structure Based on GARS–NSGA-III
by
Jincheng Sha, Jiancheng Leng, Huiyu Feng, Jinyuan Pei, Kaiwen Kong and Yang Song
J. Mar. Sci. Eng. 2026, 14(1), 72; https://doi.org/10.3390/jmse14010072 (registering DOI) - 30 Dec 2025
Abstract
Accurate representation of structural geometry, physical properties, and boundary conditions remains a major challenge in the finite element (FE) modeling of jacket structures. To address these difficulties, this study proposes a multi-source data synchronous updating framework for FE models based on the Genetic
[...] Read more.
Accurate representation of structural geometry, physical properties, and boundary conditions remains a major challenge in the finite element (FE) modeling of jacket structures. To address these difficulties, this study proposes a multi-source data synchronous updating framework for FE models based on the Genetic Aggregated Response Surface (GARS) and the Non-dominated Sorting Genetic Algorithm III (NSGA-III). First, vibration and strain tests were simultaneously conducted on an indoor jacket platform structure to obtain its natural frequencies and local dynamic strain responses. The measured data were processed to extract the first three natural frequencies and dynamic strain time histories at two critical locations, which served as reference data for model updating. An initial FE model of the jacket platform structure was then established, and sensitivity analysis was performed to identify the parameters requiring updating. Based on the simulation results, GARS was employed to construct response surface models describing the relationship between structural responses (natural frequencies and local strains) and the parameters to be updated, replacing FE analyses during optimization. Finally, NSGA-III was utilized to achieve synchronous updating of the FE model using multi-source data, and the updated geometric parameters were experimentally validated. The results demonstrate that errors in the first three natural frequencies of the FE model were reduced from 3.44%, −7.31%, and 5.88% to −0.02%, −0.43%, and 0.08%, respectively. Strain errors in the local region decreased from 12.96% and 10.33% to 1.4% and 2.1%. The corrected geometric parameters showed errors less than 1.85% when compared with actual measurements. These findings verify the accuracy and applicability of the proposed method for updating jacket platform FE models, providing an effective reference for model updating of in-service offshore structures.
Full article
(This article belongs to the Section Ocean Engineering)
Open AccessArticle
An Investigation of PSO-Optimized LSTM–Transformer Hybrid Model for Multi-Step Ship Motion Prediction
by
Yilu Peng, Qing Hai, Jiaming Zhang, Lingwei He, Yongyu Huang, Lin Du and Yiming Qiang
J. Mar. Sci. Eng. 2026, 14(1), 71; https://doi.org/10.3390/jmse14010071 (registering DOI) - 30 Dec 2025
Abstract
The advantages of hybrid models for time series forecasting have received significant attention, and several studies focus on and test their application in the seakeeping of ship motions. A hybrid model integrating an LSTM encoder and Transformer decoder (LT) is introduced to overcome
[...] Read more.
The advantages of hybrid models for time series forecasting have received significant attention, and several studies focus on and test their application in the seakeeping of ship motions. A hybrid model integrating an LSTM encoder and Transformer decoder (LT) is introduced to overcome the limitation of individual LSTM and Transformer: initially, the seakeeping response of the KCS ship was simulated by ANSYS-AQWA considering the sea state 3 and 4 simultaneously and established a dataset; secondly, three standalone baseline models (LSTM, Transformer, and TCN), and two hybrid models, LT and LT, with PSO-optimized hyperparameters (P-LT) were constructed and trained to forecast the seakeeping performance of ships with multiple steps of 30, 60 and 90; finally, the comparison between solo and hybrid models was made by different steps on RMSE, MAE and NRMSE evaluations to prove the advancement of LT and P-LT models. The P-LT hybrid model achieved consistent accuracy improvements compared with the best-performing individual models across different ship motions. Notably, RMSE reductions were observed at all prediction horizons (30, 60, and 90 steps), with maximum improvements reaching 13.54% for rolling, 11.83% for pitching, and 12.87% for heaving motions. This study provides both theoretical and practical support to ship motion prediction and demonstrates the potential of the proposed study as an effective engineering product for enhancing safety in ship operation.
Full article
(This article belongs to the Section Ocean Engineering)
Open AccessArticle
Research on Improved PPO-Based Unmanned Surface Vehicle Trajectory Tracking Control Integrated with Pure Pursuit Guidance
by
Hongyu Li, Runyu Yang, Yu Zhang, Yicheng Wen, Qunhong Tian, Weizhuang Ma, Zongsheng Wang and Shaobo Yang
J. Mar. Sci. Eng. 2026, 14(1), 70; https://doi.org/10.3390/jmse14010070 (registering DOI) - 30 Dec 2025
Abstract
To address the low trajectory tracking accuracy and limited robustness of conventional reinforcement learning algorithms under complex marine environments involving wind, wave, and current disturbances, this study proposes a proximal policy optimization (PPO) algorithm incorporating an intrinsic curiosity mechanism to solve the unmanned
[...] Read more.
To address the low trajectory tracking accuracy and limited robustness of conventional reinforcement learning algorithms under complex marine environments involving wind, wave, and current disturbances, this study proposes a proximal policy optimization (PPO) algorithm incorporating an intrinsic curiosity mechanism to solve the unmanned surface vehicle (USV) trajectory tracking control problem. The proposed approach is developed on the basis of a three-degree-of-freedom (3-DOF) USV model and formulated within a Markov decision process (MDP) framework, where a multidimensional state space and a continuous action space are defined, and a multi-objective composite reward function is designed. By incorporating a pure pursuit guidance algorithm, the complexity of engineering implementation is reduced. Furthermore, an improved PPO algorithm integrated with an intrinsic curiosity mechanism is adopted as the trajectory tracking controller, in which the exploration incentives provided by the intrinsic curiosity module (ICM) guide the agent to explore the state space efficiently and converge rapidly to an optimal control policy. The final experimental results indicate that, compared with the conventional PPO algorithm, the improved PPO–ICM controller achieves a reduction of 54.2% in average lateral error and 47.1% in average heading error under simple trajectory conditions. Under the complex trajectory condition, the average lateral error and average heading error are reduced by 91.8% and 41.9%, respectively. These results effectively demonstrate that the proposed PPO–ICM algorithm attains high tracking accuracy and strong generalization capability across different trajectory scenarios, and can provide a valuable reference for the application of intelligent control algorithms in the USV domain.
Full article
(This article belongs to the Special Issue Artificial Intelligence Technology and Application in Marine Science and Engineering)
►▼
Show Figures

Figure 1
Open AccessArticle
Ensemble Modelling Predicts Habitat Shifts for Portunus trituberculatus Under Climate Change in the East China Sea and the Yellow Sea of China
by
Fengqi Sun, Hongliang Zhang, Guoqiang Xu, Hui Ge, Lei Wu, Zhenhua Li, Shuwen Yu, Jiayi Zhou, Shihao Wang and Yongdong Zhou
J. Mar. Sci. Eng. 2026, 14(1), 69; https://doi.org/10.3390/jmse14010069 (registering DOI) - 30 Dec 2025
Abstract
This study systematically evaluated the dynamic habitat suitability of Portunus trituberculatus in the East China Sea and the Yellow Sea region (referred to herein as the East Yellow Sea region for brevity) under climate change impacts by integrating a species distribution model (Biomod2)
[...] Read more.
This study systematically evaluated the dynamic habitat suitability of Portunus trituberculatus in the East China Sea and the Yellow Sea region (referred to herein as the East Yellow Sea region for brevity) under climate change impacts by integrating a species distribution model (Biomod2) with multi-source environmental data. Through the construction and evaluation of an ensemble model combining 10 algorithms, using the Area Under the Curve (AUC) and True Skill Statistic (TSS) for validation, we identified seabed temperature, seabed salinity, and chlorophyll as key environmental factors. Results showed that current high-suitability areas are concentrated in coastal Jiangsu, the Yangtze River estuary, and Zhoushan Archipelago waters, which overlap significantly with fishing hotspots. Under future climate scenarios, the species’ suitable habitat distribution is projected to shift significantly poleward: In the SSP5-8.5 scenario 2100, low/medium suitability areas increased by 38.2% and 88.2% respectively, while high-suitability areas decreased by 36.5%, with core spawning grounds (e.g., Zhoushan Archipelago waters) showing reduced suitability indices. The Bohai Sea’s summer water temperature unsuitability for Portunus trituberculatus migration creates an “ecological bottleneck” for northward expansion. The study proposes strengthening habitat management in Jiangsu coastal areas and integrating dynamic habitat prediction into fisheries policies to address climate-induced resource redistribution and ecosystem service changes. Our findings underscore the urgency of incorporating climate-driven habitat shifts into adaptive marine spatial planning and fisheries management frameworks.
Full article
(This article belongs to the Section Marine Biology)
►▼
Show Figures

Figure 1
Open AccessArticle
Parameterized Airfoil Design and Optimization for Vertical-Axis Tidal Turbines
by
Lin Li, Shunjun Hong, Xingpeng Wang and Xiaozhou Hu
J. Mar. Sci. Eng. 2026, 14(1), 68; https://doi.org/10.3390/jmse14010068 (registering DOI) - 30 Dec 2025
Abstract
This study presents a systematic airfoil optimization framework to enhance the hydrodynamic performance of vertical-axis tidal turbines (VATTs) under low-flow conditions. The integrated methodology combines parameterized design, response surface methodology (RSM) optimization, and high-fidelity computational fluid dynamics (CFD) validation to investigate the effects
[...] Read more.
This study presents a systematic airfoil optimization framework to enhance the hydrodynamic performance of vertical-axis tidal turbines (VATTs) under low-flow conditions. The integrated methodology combines parameterized design, response surface methodology (RSM) optimization, and high-fidelity computational fluid dynamics (CFD) validation to investigate the effects of maximum thickness (Factor A), maximum thickness position (Factor B), and maximum camber (Factor C). The shear stress transport (SST) k-ω turbulence model was employed for flow simulation, with experimental validation conducted across Reynolds numbers from 5.2 × 105 to 8.6 × 105. The tip speed ratio (TSR) predictions demonstrated excellent agreement with experimental measurements, showing a maximum relative error of only 4.5%. From hundreds of Pareto-optimal solutions, five candidate designs were selected for high-fidelity verification. The final optimized airfoil (Optimized Foil 5) achieved a power coefficient (CP) of 0.1887, representing a 27.5% improvement over the baseline National Advisory Committee for Aeronautics (NACA) 2414 airfoil. This optimal configuration features 23.51% maximum thickness, 30.14% maximum thickness position, and 3.99% maximum camber, with only 0.2% deviation between RSM prediction and CFD validation. The research establishes a reliable design framework for VATTs operating in low-velocity tidal streams, providing significant potential for harnessing previously uneconomical marine energy resources.
Full article
(This article belongs to the Section Marine Energy)
►▼
Show Figures

Figure 1
Open AccessArticle
Boarding Sequence Planning for the Cruise-Ship Prefabricated Cabins Based on a Dual-Layer Coordinated Method
by
Zhichao Li, Qi Zhou, Shanhe Ding, Jinghua Li, Lei Zhou and Dening Song
J. Mar. Sci. Eng. 2026, 14(1), 67; https://doi.org/10.3390/jmse14010067 (registering DOI) - 30 Dec 2025
Abstract
In the construction of large cruise ships, the restricted deck space and dense obstacles create a strongly coupled problem between path planning and sequence optimization during prefabricated cabin boarding operations, significantly impairing overall installation efficiency. To coordinately optimize the boarding sequence of multiple
[...] Read more.
In the construction of large cruise ships, the restricted deck space and dense obstacles create a strongly coupled problem between path planning and sequence optimization during prefabricated cabin boarding operations, significantly impairing overall installation efficiency. To coordinately optimize the boarding sequence of multiple cabins and minimize operational conflicts, this study proposes a dual-layer coordinated planning methodology. The lower layer generates feasible paths satisfying kinematic and contour-based obstacle avoidance constraints through optimal control theory, while the upper layer introduces a dynamic priority evaluation mechanism based on grid mapping and an “enclosure factor”, combined with a reverse planning strategy to dynamically adjust the cabin boarding sequence. Through iterative feedback between path feasibility and sequence efficiency, the proposed method effectively resolves the strong coupling between sequencing and path planning. Case validation demonstrates that the proposed approach significantly reduces total installation time compared to conventional sequence planning methods, proving its effectiveness and practical value in enhancing the efficiency of coordinated multi-cabin installation.
Full article
(This article belongs to the Section Ocean Engineering)
►▼
Show Figures

Figure 1
Open AccessArticle
Deep Hierarchical Graph Correlation: A Two-Stage Approach to Well-Log Alignment Using CNNs and Dynamic Programming
by
Sushil Acharya, Karl Fabian, Anis Yazidi and Kjetil Westeng
J. Mar. Sci. Eng. 2026, 14(1), 66; https://doi.org/10.3390/jmse14010066 (registering DOI) - 30 Dec 2025
Abstract
Precise depth alignment of well logs is essential for reliable subsurface characterization, enabling accurate correlation of geological features across multiple wells. This study presents the Deep Hierarchical Graph Correlator (DHGC), a two-stage deep learning framework for scalable and automated well-log depth alignment. DHGC
[...] Read more.
Precise depth alignment of well logs is essential for reliable subsurface characterization, enabling accurate correlation of geological features across multiple wells. This study presents the Deep Hierarchical Graph Correlator (DHGC), a two-stage deep learning framework for scalable and automated well-log depth alignment. DHGC aligns a target log to a reference log by comparing fixed-size windows extracted from both signals. In the first stage, a one-dimensional convolutional neural network (1D CNN) trained on 177,026 triplets using triplet-margin loss learns discriminative embeddings of gammaray (GR) log windows from eight Norwegian North Sea wells. In the second stage, a feedforward scoring network evaluates embedded window pairs to estimate local similarity. Dynamic programming then computes the optimal nonlinear warping path from the resulting cost matrix. The feature extractor achieved 99.6% triplet accuracy, and the scoring network achieved 98.93% classification accuracy with an ROC-AUC of 0.9971. Evaluation on 89 unseen GR log pairs demonstrated that DHGC improves the mean Pearson correlation coefficient from 0.35 to 0.91, with successful alignment in 88 cases (98.9%). DHGC achieved an 8.2× speedup over DTW (3.16 s versus 25.83 s per log pair). While DTW achieves a higher mean correlation (0.96 versus 0.91), DHGC avoids singularity artifacts and exhibits lower variability in distance metrics than CC, suggesting improved robustness and scalability for well-log synchronization.
Full article
(This article belongs to the Special Issue Marine Well Logging and Reservoir Characterization)
►▼
Show Figures

Figure 1
Open AccessEditorial
Advances in Marine Mechanical and Structural Engineering—2nd Edition
by
Chenfeng Li, Kun Liu and Bin Liu
J. Mar. Sci. Eng. 2026, 14(1), 65; https://doi.org/10.3390/jmse14010065 (registering DOI) - 30 Dec 2025
Abstract
In the advanced design of novel structures used in marine, mechanical, and structural engineering, a pivotal challenge lies in accurately predicting their strength, amidst the integration of new materials and structures, within the context of extreme marine environments and potential accidents [...]
Full article
(This article belongs to the Special Issue Advances in Marine Mechanical and Structural Engineering—2nd Edition)
Open AccessArticle
Feasibility of Multi-Use Ocean Thermal Energy Conversion (OTEC) Platforms
by
Andrea Copping, Hayley Farr, Christopher Rumple, Kyungmin Park and Zhaoqing Yang
J. Mar. Sci. Eng. 2026, 14(1), 64; https://doi.org/10.3390/jmse14010064 (registering DOI) - 30 Dec 2025
Abstract
Many tropical islands and coastal communities suffer from high energy costs, unreliable electrical supplies, poverty, and underemployment, which are all exacerbated by climate change. Multi-use Ocean Thermal Energy Conversion (OTEC) systems could align with the goals and values of these underserved and remote
[...] Read more.
Many tropical islands and coastal communities suffer from high energy costs, unreliable electrical supplies, poverty, and underemployment, which are all exacerbated by climate change. Multi-use Ocean Thermal Energy Conversion (OTEC) systems could align with the goals and values of these underserved and remote communities. Developing multi-use OTEC systems could help meet the United Nations’ Sustainable Development Goals #7 (Affordable and Clean Energy) and #13 (Climate Action). Multiple uses of OTEC water and power are explored in this study, including seawater air conditioning, desalination, support for aquaculture in tropical regions, and other uses. A use case for an onshore OTEC plant at the location of the existing OTEC plant in Kona, Hawaii, is examined to determine if sufficient thermal resources exist for OTEC power generation year-round, and to determine the potential for each value-added use. Potential environmental effects are evaluated using a new open-source numerical model for determining the risk from the discharge of large volumes of cold deep seawater in the ocean. Companies currently using the cold deep seawater pumped ashore at the Kona location were surveyed to determine their dependence on and interest in expanded OTEC and cold-water availability at the site. The analysis indicates that multi-use OTEC is feasible, with seawater air conditioning (SWAC), aquaculture, and desalination being the most compatible immediate additions, while future potential exists for adding extraction of critical minerals from seawater and e-fuel generation.
Full article
(This article belongs to the Special Issue Ocean Thermal Energy Conversion and Utilization)
►▼
Show Figures

Figure 1
Open AccessArticle
Diversity and Distribution of Deep-Sea Fishes off the Emperor Seamounts, Northwestern Pacific Ocean, with DNA Barcodes, Phylogenetic, and Biogeographic Considerations
by
Artem M. Prokofiev, Olga R. Emelianova, Svetlana Y. Saveleva and Alexei M. Orlov
J. Mar. Sci. Eng. 2026, 14(1), 63; https://doi.org/10.3390/jmse14010063 (registering DOI) - 29 Dec 2025
Abstract
The results of the trawl survey of the research vessel Professor Kaganovsky over four seamounts (Annei, Jingu, Ojin, and Koko) of the Emperor Seamount Chain in 2019 are presented. Seventy-three species of pelagic and bottom-dwelling cartilaginous and bony fishes from 40 families were
[...] Read more.
The results of the trawl survey of the research vessel Professor Kaganovsky over four seamounts (Annei, Jingu, Ojin, and Koko) of the Emperor Seamount Chain in 2019 are presented. Seventy-three species of pelagic and bottom-dwelling cartilaginous and bony fishes from 40 families were collected. Morphological diagnoses are presented for each species, with taxonomic comments for the poorly known taxa. The obtained collection includes 11 species new to science or of uncertain taxonomic position, 9 species newly reported for the Emperor Seamounts, and one new record Linophryne arborifera for the Pacific Ocean. For individual seamounts, 27 fish species were recorded for the first time at Annei, 12 species at Ojin, 4 species at Koko, and 2 species at Jingu Seamounts. Cytochrome c oxidase subunit I (COI) or cytochrome b (Cyt b) sequences were obtained for 36 species belonging to 22 families, including 13 species for which the barcode was flagged for the first time and the sequences made available. Cryptic diversity was revealed within the genera Cyclothone, Argyropelecus, and Chauliodus. According to our data, a boundary between the boreal and subtropical fish communities was found between Nintoku and Jingu Seamounts, with a transitional zone over Jingu and Ojin Seamounts at 37–39° N. However, the distribution of the subtropical species to the north may be limited by the increasing of summit depths in the northern subsection of the chain rather than any oceanographic or climatic barriers.
Full article
(This article belongs to the Section Marine Biology)
►▼
Show Figures

Figure 1
Open AccessArticle
Comparative Analysis of Machine Learning and Multi-View Learning for Predicting Peak Penetration Resistance of Spudcans: A Study Using Centrifuge Test Data
by
Mingyuan Wang, Xiuqing Yang, Xing Yang, Dong Wang, Wenjing Sun and Huimin Sun
J. Mar. Sci. Eng. 2026, 14(1), 62; https://doi.org/10.3390/jmse14010062 (registering DOI) - 29 Dec 2025
Abstract
Punch-through accidents pose a significant risk during the positioning of jack-up rigs. To mitigate this hazard, accurate prediction of the peak penetration resistance of spudcan foundations is essential for developing safe operational plans. Advances in artificial intelligence have spurred the widespread application of
[...] Read more.
Punch-through accidents pose a significant risk during the positioning of jack-up rigs. To mitigate this hazard, accurate prediction of the peak penetration resistance of spudcan foundations is essential for developing safe operational plans. Advances in artificial intelligence have spurred the widespread application of machine learning (ML) to geotechnical engineering. To evaluate the prediction effect of different algorithm frameworks on the peak resistance of spudcans, this study evaluates the feasibility of ML and multi-view learning (MVL) methods using existing centrifuge test data. Six ML models—Random Forest, Support Vector Machine (with Gauss, second-degree, and third-degree polynomial kernels), Multiple Linear Regression, and Neural Networks—alongside a Ridge Regression-based MVL method are employed. The performance of these models is rigorously assessed through training and testing across various working conditions. The results indicate that well-trained ML and MVL models achieve accurate predictions for both sand-over-clay and three-layer clay strata. For the sand-over-clay stratum, the mean relative error (MRE) across the 58-case dataset is approximately 15%. The Neural Network and MVL method demonstrate the highest accuracy. This study provides a viable and effective empirical solution for predicting spudcan peak resistance and offers practical guidance for algorithm selection in different stratigraphic conditions, ultimately supporting enhanced safety planning for jack-up rig operations.
Full article
(This article belongs to the Section Ocean Engineering)
►▼
Show Figures

Figure 1
Open AccessArticle
Decline Trends of Chlorophyll-a in the Yellow and Bohai Seas over 2005–2024 from Remote Sensing Reconstruction
by
Yuhe Tian, Jun Song, Junru Guo, Yanzhao Fu and Yu Cai
J. Mar. Sci. Eng. 2026, 14(1), 61; https://doi.org/10.3390/jmse14010061 (registering DOI) - 29 Dec 2025
Abstract
Chlorophyll-a (Chl-a) concentration is a key indicator of coastal ecosystem health, reflecting both primary productivity and the ecosystem’s response to climate change and human activities. This study quantifies long-term Chl-a trends in the Yellow and Bohai Seas using a multi-source remote sensing reconstruction
[...] Read more.
Chlorophyll-a (Chl-a) concentration is a key indicator of coastal ecosystem health, reflecting both primary productivity and the ecosystem’s response to climate change and human activities. This study quantifies long-term Chl-a trends in the Yellow and Bohai Seas using a multi-source remote sensing reconstruction dataset generated with deep learning algorithms. Quantile regression was applied to assess changes across the 75th, 50th, and 25th percentiles, and environmental drivers—including sea surface temperature, mixed layer depth, wind speed, and sea surface height anomalies—were evaluated in representative regions such as estuaries, aquaculture zones, and offshore waters. From 2005 to 2024, Chl-a concentrations declined across the 75th, 50th, and 25th percentiles, with rates of −4.82 × 10−3, −4.50 × 10−3, and −4.09 × 10−3 mg·m−3·a−1, respectively (where “a” denotes year). The decline also showed strong seasonal differences, with summer decreases (−0.0638 mg·m−3·a−1) substantially greater than winter (−0.04 mg·m−3·a−1). Spatially, the decline was more pronounced in high-concentration nearshore waters, with rates of −0.0283 mg·m−3·a−1 in the Qinhuangdao region, compared to −0.0137 mg·m−3·a−1 in deeper offshore waters. Mixed-layer depth and wind speed emerged as the primary physical controls, with nearshore declines driven by enhanced vertical mixing and offshore changes dominated by mesoscale oceanic processes. These findings provide new insights for modeling and managing coastal ecosystems under combined climate and anthropogenic pressures.
Full article
(This article belongs to the Section Physical Oceanography)
►▼
Show Figures

Figure 1
Open AccessArticle
A Multicomponent OBN Time-Shift Joint Correction Method Based on P-Wave Empirical Green’s Functions
by
Dongxiao Jiang, Bingyu Chen, Lei Cheng, Chang Chen, Yingda Li and Yun Wang
J. Mar. Sci. Eng. 2026, 14(1), 60; https://doi.org/10.3390/jmse14010060 (registering DOI) - 29 Dec 2025
Abstract
To address clock drift arising from the absence of GPS synchronization during ocean-bottom seismic observations, we propose a time-offset correction and quality-control scheme that uses the correlation of P-wave empirical Green’s functions (EGFs) as the metric, and we demonstrate its efficacy in mitigating
[...] Read more.
To address clock drift arising from the absence of GPS synchronization during ocean-bottom seismic observations, we propose a time-offset correction and quality-control scheme that uses the correlation of P-wave empirical Green’s functions (EGFs) as the metric, and we demonstrate its efficacy in mitigating cross-correlation asymmetry caused by azimuthal noise in shallow-water environments. The method unifies the time delays of the four components into a single objective function, estimates per-node offsets via sparse weighted least squares with component-specific weights, applies spatial second-difference smoothing to suppress high-frequency oscillations, and performs spatiotemporally constrained regularized iterative optimization initialized by the previous day’s inversion to achieve a robust solution. Tests on a real four-component ocean-bottom node (4C-OBN) hydrocarbon exploration dataset show that, after conventional linear clock-drift correction of the OBN system, the proposed method can effectively detect millisecond-scale time jumps on individual nodes; compared with traditional noise cross-correlation time-shift calibration based on surface-wave symmetry, our four-component fusion approach achieves superior robustness and accuracy. The results demonstrate a marked increase in the coherence of the four-component cross-correlations after correction, providing a reliable temporal reference for subsequent multicomponent seismic processing and quality control.
Full article
(This article belongs to the Section Geological Oceanography)
►▼
Show Figures

Figure 1
Open AccessReview
A Comprehensive Review of Bio-Inspired Approaches to Coordination, Communication, and System Architecture in Underwater Swarm Robotics
by
Shyalan Ramesh, Scott Mann and Alex Stumpf
J. Mar. Sci. Eng. 2026, 14(1), 59; https://doi.org/10.3390/jmse14010059 (registering DOI) - 29 Dec 2025
Abstract
The increasing complexity of marine operations has intensified the need for intelligent robotic systems to support ocean observation, exploration, and resource management. Underwater swarm robotics offers a promising framework that extends the capabilities of individual autonomous platforms through collective coordination. Inspired by natural
[...] Read more.
The increasing complexity of marine operations has intensified the need for intelligent robotic systems to support ocean observation, exploration, and resource management. Underwater swarm robotics offers a promising framework that extends the capabilities of individual autonomous platforms through collective coordination. Inspired by natural systems, such as fish schools and insect colonies, bio-inspired swarm approaches enable distributed decision-making, adaptability, and resilience under challenging marine conditions. Yet research in this field remains fragmented, with limited integration across algorithmic, communication, and hardware design perspectives. This review synthesises bio-inspired coordination mechanisms, communication strategies, and system design considerations for underwater swarm robotics. It examines key marine-specific algorithms, including the Artificial Fish Swarm Algorithm, Whale Optimisation Algorithm, Coral Reef Optimisation, and Marine Predators Algorithm, highlighting their applications in formation control, task allocation, and environmental interaction. The review also analyses communication constraints unique to the underwater domain and emerging acoustic, optical, and hybrid solutions that support cooperative operation. Additionally, it examines hardware and system design advances that enhance system efficiency and scalability. A multi-dimensional classification framework evaluates existing approaches across communication dependency, environmental adaptability, energy efficiency, and swarm scalability. Through this integrated analysis, the review unifies bio-inspired coordination algorithms, communication modalities, and system design approaches. It also identifies converging trends, key challenges, and future research directions for real-world deployment of underwater swarm systems.
Full article
(This article belongs to the Special Issue Wide Application of Marine Robotic Systems)
►▼
Show Figures

Figure 1
Open AccessFeature PaperArticle
Optimization Strategies for Hybrid Energy Storage Systems in Fuel Cell-Powered Vessels Using Improved Droop Control and POA-Based Capacity Configuration
by
Xiang Xie, Wei Shen, Hao Chen, Ning Gao, Yayu Yang, Abdelhakim Saim and Mohamed Benbouzid
J. Mar. Sci. Eng. 2026, 14(1), 58; https://doi.org/10.3390/jmse14010058 (registering DOI) - 29 Dec 2025
Abstract
The maritime industry faces significant challenges from energy consumption and air pollution. Fuel cells, especially hydrogen types, offer a promising clean alternative with high energy density and rapid refueling, but their slow dynamic response necessitates integration with lithium batteries (energy storage) and supercapacitors
[...] Read more.
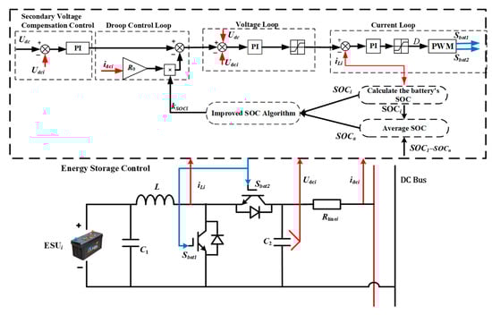
The maritime industry faces significant challenges from energy consumption and air pollution. Fuel cells, especially hydrogen types, offer a promising clean alternative with high energy density and rapid refueling, but their slow dynamic response necessitates integration with lithium batteries (energy storage) and supercapacitors (power storage). This paper investigates a hybrid vessel power system combining a fuel cell with a Hybrid Energy Storage System (HESS) to address these limitations. An improved droop control strategy with adaptive coefficients is developed to ensure balanced State of Charge (SOC) and precise current sharing, enhancing system performance. A comprehensive protection strategy prevents overcharging and over-discharging through SOC limit management and dynamic filter adjustment. Furthermore, the Parrot Optimization Algorithm (POA) optimizes HESS capacity configuration by simultaneously minimizing battery degradation, supercapacitor degradation, DC bus voltage fluctuations, and system cost under realistic operating conditions. Simulations show SOC balancing within 100 s (constant load) and 135 s (variable load), with the lithium battery peak power cut by 18% and the supercapacitor peak power increased by 18%. This strategy extends component life and boosts economic efficiency, demonstrating strong potential for fuel cell-powered vessels.
Full article
(This article belongs to the Special Issue Sustainable Marine and Offshore Systems for a Net-Zero Future)
►▼
Show Figures

Figure 1
Open AccessArticle
Influence of Ply Angle on the Cavitation Performance of Composite Propellers
by
Zheng Huang, Zhangtao Chen, Shenhan Lin and Sinan Wu
J. Mar. Sci. Eng. 2026, 14(1), 57; https://doi.org/10.3390/jmse14010057 (registering DOI) - 29 Dec 2025
Abstract
In response to the core challenge of effectively controlling deformation to suppress cavitation in composite propellers under fluid–structure interaction (FSI), this study proposes a numerical investigation method based on pre-deformation design. A systematic analysis of the cavitation characteristics of a PC456-type composite propeller
[...] Read more.
In response to the core challenge of effectively controlling deformation to suppress cavitation in composite propellers under fluid–structure interaction (FSI), this study proposes a numerical investigation method based on pre-deformation design. A systematic analysis of the cavitation characteristics of a PC456-type composite propeller is conducted using a two-way FSI algorithm. Distinct deformation fields are first constructed by implementing different ply angles (0°, 90°, and 150°). The open-water hydrodynamic and cavitation performance of these pre-deformed propellers are then compared under uniform inflow. Furthermore, their unsteady responses under transient FSI conditions are examined in a non-uniform wake field. Numerical results demonstrate that the ply angle significantly influences the deformation distribution and hydrodynamic performance of the propeller. Under steady conditions, the 0° ply propeller exhibits the optimal cavitation-hydrodynamic performance, whereas the 90° ply configuration performs the poorest. In a non-uniform wake, the 0° ply propeller achieves 75% of the thrust fluctuation reduction effect observed in the 90° ply propeller, while requiring only 19% of its maximum deformation magnitude; additionally, it demonstrates a more gradual oscillation trend in the cavity area ratio. This study provides theoretical insights and design guidance for enhancing the cavitation performance of composite propellers through ply design and deformation control.
Full article
(This article belongs to the Special Issue Advanced Studies in Ship Fluid Mechanics)
►▼
Show Figures

Figure 1
Journal Menu
► ▼ Journal Menu-
- JMSE Home
- Aims & Scope
- Editorial Board
- Reviewer Board
- Topical Advisory Panel
- Instructions for Authors
- Special Issues
- Topics
- Sections
- Article Processing Charge
- Indexing & Archiving
- Editor’s Choice Articles
- Most Cited & Viewed
- Journal Statistics
- Journal History
- Journal Awards
- Society Collaborations
- Conferences
- Editorial Office
Journal Browser
► ▼ Journal BrowserHighly Accessed Articles
Latest Books
E-Mail Alert
News
Topics
Topic in
Applied Sciences, Climate, Ecologies, JMSE, Water, Sustainability
Climate Change and Aquatic Ecosystems: Impacts, Mitigation and Adaptation
Topic Editors: Helena Veríssimo, Tiago VerdelhosDeadline: 31 December 2025
Topic in
Atmosphere, JMSE, Sustainability, Water
Sustainable River and Lake Restoration: From Challenges to Solutions
Topic Editors: Yun Li, Hong Yang, Xiaogang Wang, Zhengxian Zhang, Boran ZhuDeadline: 31 January 2026
Topic in
Applied Sciences, Energies, Geosciences, JMSE, Minerals
Formation Mechanism and Quantitative Evaluation of Deep to Ultra-Deep High-Quality Reservoirs
Topic Editors: Jianhua He, Andrew D. La Croix, Jim Underschultz, Hucheng Deng, Hao Xu, Ruyue Wang, Rui LiuDeadline: 31 March 2026
Topic in
Clean Technol., Energies, JMSE, Processes, Sustainability
Marine Energy
Topic Editors: Hongsheng Dong, Xiang Sun, Zeshao YouDeadline: 30 April 2026
Conferences
Special Issues
Special Issue in
JMSE
Advancements in Deep-Sea Equipment and Technology, 3rd Edition
Guest Editors: Weicheng Cui, Daqi Zhu, Jian ZhangDeadline: 31 December 2025
Special Issue in
JMSE
The 10th Anniversary of Section Ocean Engineering—Recent Advances and Future Perspectives
Guest Editors: M. Dolores Esteban, Decheng Wan, José-Santos López-Gutiérrez, Vicente Negro, Maria Graça NevesDeadline: 31 December 2025
Special Issue in
JMSE
Celebrating the 130th Anniversary of Tianjin University: Invited Papers for Design Method and Engineering Application of UUVs
Guest Editors: Yanhui Wang, Shaoqiong Yang, Ming YangDeadline: 31 December 2025
Special Issue in
JMSE
The 10th Anniversary of the "Chemical Oceanography" Section
Guest Editor: Michele ArienzoDeadline: 31 December 2025




