Previous Issue
Volume 13, September
 
 

J. Mar. Sci. Eng., Volume 13, Issue 10 (October 2025) – 180 articles

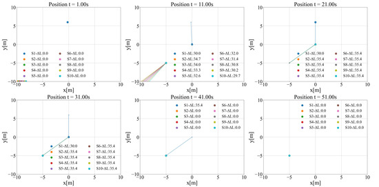
Cover Story (view full-size image): This study develops a systematic vessel arrival priority determination system, overcoming limitations of First-Come-First-Served approaches. Using Delphi surveys and Fuzzy AHP for 50 Busan Port VTS operators, an integrated dynamic scoring model is created: basic scores for vessel characteristics (54.82%), risk scores for safety intervals (29.71%), and special situation scores for emergencies (15.47%). Validation across eight scenarios demonstrated strong expert agreement with average performance metrics of 0.833 (Spearman’s ρ), 0.771 (Kendall’s τ), and 0.991 (nDCG). This research bridges implicit expert judgment and explicit algorithmic systems, providing VTS operators an objective, safety-focused tool for efficient maritime traffic management. View this paper
  • Issues are regarded as officially published after their release is announced to the table of contents alert mailing list.
  • You may sign up for e-mail alerts to receive table of contents of newly released issues.
  • PDF is the official format for papers published in both, html and pdf forms. To view the papers in pdf format, click on the "PDF Full-text" link, and use the free Adobe Reader to open them.
Order results
Result details
Section
Select all
Export citation of selected articles as:
31 pages, 5804 KB  
Article
Heterogeneous Coupled Control of Ventilated Supercavitating Vehicles
by Jiayi Han, Bin Liu, Jiangtao Xu, Yu Fu, Xufeng Huang and Tianyi Zhao
J. Mar. Sci. Eng. 2025, 13(10), 2013; https://doi.org/10.3390/jmse13102013 - 20 Oct 2025
Abstract
This study addresses the control challenge of ventilated supercavitating vehicles during depth-change maneuvers, where variations in speed and depth induce unsteady cavity evolution and nonlinear planing forces. An unsteady cavity evolution model based on the independent cross-sectional expansion principle was developed and integrated [...] Read more.
This study addresses the control challenge of ventilated supercavitating vehicles during depth-change maneuvers, where variations in speed and depth induce unsteady cavity evolution and nonlinear planing forces. An unsteady cavity evolution model based on the independent cross-sectional expansion principle was developed and integrated with vehicle dynamics to form a heterogeneous coupled motion framework. A DQN-based controller was designed to maintain cavity length under unsteady conditions, while an ADRC-based pitch controller achieved decoupled attitude control, with depth tracking realized through cascaded outer-loop feedback. Numerical simulations were performed on the established heterogeneous coupled motion model under depth-change maneuvers. The results show that the proposed approach maintains the cavity length within ±10% of the commanded value and achieves rapid and stable depth tracking. The proposed modeling and control framework offers an effective approach to enhance the maneuverability and robustness of ventilated supercavitating vehicles in complex hydrodynamic environments. Full article
(This article belongs to the Section Ocean Engineering)
23 pages, 2792 KB  
Article
Improved Long Short-Term Memory-Based Fixed-Time Fault-Tolerant Control for Unmanned Marine Vehicles with Signal Quantization
by Xin Yang, Li-Ying Hao, Jia-Bin Wang, Gege Dong and Tieshan Li
J. Mar. Sci. Eng. 2025, 13(10), 2012; https://doi.org/10.3390/jmse13102012 - 20 Oct 2025
Abstract
This paper presents a fixed-time fault-tolerant control strategy based on an improved long short-term memory network for dynamic positioning of unmanned marine vehicles subject to signal quantization, disturbances, and input saturation. Firstly, an improved long short-term memory network optimized by an adaptive mixed-gradient [...] Read more.
This paper presents a fixed-time fault-tolerant control strategy based on an improved long short-term memory network for dynamic positioning of unmanned marine vehicles subject to signal quantization, disturbances, and input saturation. Firstly, an improved long short-term memory network optimized by an adaptive mixed-gradient algorithm is developed to accurately estimate external disturbances. Secondly, a fixed-time extended state observer is designed to rapidly predict thruster faults. Subsequently, within a fixed-time control framework, a novel terminal sliding-mode surface incorporating signal quantization parameters is constructed. In addition, a dynamic uniform quantization strategy with tunable sensitivity is introduced to effectively alleviate the performance degradation induced by quantization errors. Based on this, a fixed-time fault-tolerant controller is constructed. Finally, simulation results and comparative experiments are provided to demonstrate the effectiveness of the proposed control scheme. Full article
(This article belongs to the Special Issue System Optimization and Control of Unmanned Marine Vehicles)
Show Figures

Figure 1

34 pages, 3189 KB  
Article
Recent Developments in Cross-Shore Coastal Profile Modeling
by L. C. van Rijn, K. Dumont and B. Malherbe
J. Mar. Sci. Eng. 2025, 13(10), 2011; https://doi.org/10.3390/jmse13102011 - 20 Oct 2025
Abstract
Coastal profile models are frequently used for the computation of storm-induced erosion at (nourished) beaches. Attention is focused on new developments and new validation exercises for the detailed process-based CROSMOR-model for the computation of storm-induced morphological changes in sand and gravel coasts. The [...] Read more.
Coastal profile models are frequently used for the computation of storm-induced erosion at (nourished) beaches. Attention is focused on new developments and new validation exercises for the detailed process-based CROSMOR-model for the computation of storm-induced morphological changes in sand and gravel coasts. The following new model improvements are studied: (1) improved runup equations based on the available field data; (2) the inclusion of the uniformity coefficient (Cu = d60/d10) of the bed material affecting the settling velocity of the suspended sediment and thus the suspended sediment transport; (3) the inclusion of hard bottom layers, so that the effect of a submerged breakwater on the beach–dune morphology can be assessed; and (4) the determination of adequate model settings for the accretive and erosive conditions of coarse gravel–shingle types of coasts (sediment range of 2 to 40 mm). The improved model has been extensively validated for sand and gravel coasts using the available field data sets. Furthermore, a series of sensitivity computations have been made to study the numerical parameters (time step, grid size and bed-smoothing) and key physical parameters (sediment size, wave height, wave incidence angle, wave asymmetry and wave-induced undertow), conditions affecting the beach morphodynamic processes. Finally, the model has been used to study various alternative methods of reducing beach erosion. Full article
20 pages, 2512 KB  
Article
Operational Strategies for CII Under Short Voyages: Hybrid Denominator Correction and CPP Mode Optimization
by Ji-Woong Lee, Quang Dao Vuong and Jae-Ung Lee
J. Mar. Sci. Eng. 2025, 13(10), 2010; https://doi.org/10.3390/jmse13102010 - 20 Oct 2025
Abstract
This study addresses structural distortions in the IMO Carbon Intensity Indicator (CII) for short-voyage training vessels and proposes corrective strategies combining denominator adjustments with controllable pitch propeller (CPP) mode optimization. Using 2024 operational data from a training ship, we computed monthly [...] Read more.
This study addresses structural distortions in the IMO Carbon Intensity Indicator (CII) for short-voyage training vessels and proposes corrective strategies combining denominator adjustments with controllable pitch propeller (CPP) mode optimization. Using 2024 operational data from a training ship, we computed monthly and annual CII values, identifying significant inflation when time-at-sea fractions are low due to extensive port stays. Two correction methods were evaluated: a hybrid denominator approach converting port-stay CO2 to equivalent distance, and a Braidotti functional correction. The CPP operating maps for combination and fixed modes revealed a crossover point at approximately 12 kn (~50% engine load), where the combination mode shows superior efficiency at low speeds and the fixed mode at higher speeds. The hybrid correction effectively stabilized CII values across varying operational conditions, while the speed-band CPP optimization provided additional reductions. Results demonstrate that combining optimized CPP mode selection with hybrid CII correction achieves compliance with required standards, attaining a B rating. The integrated framework offers practical solutions for CII management in short-voyage operations, addressing regulatory fairness while improving operational efficiency for training vessels and similar ship types. Full article
Show Figures

Figure 1

24 pages, 38943 KB  
Article
Maximum Wave Height Prediction Based on Buoy Data: Application of LightGBM and TCN-BiGRU
by Baisong Yang, Lihao Deng, Nan Xu, Yaxuan Lv and Yani Cui
J. Mar. Sci. Eng. 2025, 13(10), 2009; https://doi.org/10.3390/jmse13102009 - 20 Oct 2025
Abstract
Extreme sea conditions caused by tropical cyclones pose significant risks to coastal safety, infrastructure, and ecosystems. Although existing models have advanced in predicting Significant Wave Height (SWH), their performance in predicting Maximum Wave Height (MWH) remains limited, particularly in capturing rapid wave fluctuations [...] Read more.
Extreme sea conditions caused by tropical cyclones pose significant risks to coastal safety, infrastructure, and ecosystems. Although existing models have advanced in predicting Significant Wave Height (SWH), their performance in predicting Maximum Wave Height (MWH) remains limited, particularly in capturing rapid wave fluctuations and localized meteorological dynamics. This study proposes a novel MWH prediction framework that integrates high-resolution buoy observations with deep learning. A moored buoy deployed in the Qiongzhou Strait provides precise nearshore observations, compensating for limitations in reanalysis datasets. Light Gradient Boosting Machine (LightGBM) is employed for key feature selection, and a hybrid Bidirectional Temporal Convolutional Network-Bidirectional Gated Recurrent Unit (BiTCN-BiGRU) model is constructed to capture both short- and long-term temporal dependencies. The results show that BiTCN-BiGRU outperforms BiGRU, reducing MAE by 6.11%, 5.41%, and 14.09% for 1-h, 3-h, and 6-h forecasts. This study also introduces the Time Distortion Index (TDI) into MWH prediction as a novel metric for evaluating temporal alignment. This study offers valuable insights for disaster warning, coastal protection, and risk mitigation under extreme marine conditions. Full article
(This article belongs to the Section Physical Oceanography)
Show Figures

Figure 1

28 pages, 1396 KB  
Article
Scenario-Based Sensor Selection for Autonomous Maritime Systems: A Multi-Criteria Analysis of Sensor Configurations for Situational Awareness
by Florian Hoehner, Vincent Langenohl, Ould el Moctar and Thomas E. Schellin
J. Mar. Sci. Eng. 2025, 13(10), 2008; https://doi.org/10.3390/jmse13102008 - 19 Oct 2025
Abstract
Effective operation of autonomous maritime systems requires sensor architectures tailored to mission-specific requirements, as key performance criteria like accuracy and energy consumption vary significantly by operational context. Against this background, this study develops a dual-stage, multi-criteria procedure to evaluate and assess individual sensors [...] Read more.
Effective operation of autonomous maritime systems requires sensor architectures tailored to mission-specific requirements, as key performance criteria like accuracy and energy consumption vary significantly by operational context. Against this background, this study develops a dual-stage, multi-criteria procedure to evaluate and assess individual sensors accounting for scenario-based requirements, using the TOPSIS algorithm as its core method. The first stage individually assesses sensors against scenario-specific requirements to generate context-aware weighting factors (αis). In the second stage, these factors are used to evaluate the overall performance of seven predefined sensor suites across five distinct operational scenarios (e.g., ‘Coastal Surveillance’ or ‘Protection of Critical Infrastructure’). The procedure is complemented by an architectural robustness assessment that systematically captures the impact of component failures. This flexible approach serves as a generic decision framework for designing unmanned maritime systems across different mission profiles. By integrating key performance metrics and failure scenarios within a context of prioritized operational requirements, the dual-stage multi-criteria procedure enables more than just selecting an optimal configuration. It reveals the fundamental architectural design principles. Our results demonstrate that for precision-focused tasks such as ‘Coastal Surveillance’, specialized sensor suites combining electro-optical and laser rangefinder achieves the highest performance score (0.84). Conversely, for scenarios with balanced requirements like ‘Protection of Critical Infrastructure’, architectures based on functional complementarity (e.g., electro-optical and Radar, score (0.64)) prove most effective. A key finding is that maximizing sensor quantity does not guarantee optimal performance, as targeted, mission-specific configurations often outperform fully integrated systems. The significance of this study lies in providing a systematic framework that shifts the design paradigm from a ‘more is better’ approach to an intelligent, context-aware composition, enabling the development of truly robust and efficient sensor architectures for autonomous maritime systems. Full article
(This article belongs to the Special Issue Advanced Studies in Marine Data Analysis)
Show Figures

Figure 1

25 pages, 13648 KB  
Article
Research on Lightweight Design Performance of Offshore Structures Based on 3D Printing Technology
by Haoyu Jiang, Yifan Xie, Shengqing Zeng, Sixing Guo, Zehan Chen, Zhenjie Liang and Dapeng Zhang
J. Mar. Sci. Eng. 2025, 13(10), 2007; https://doi.org/10.3390/jmse13102007 - 19 Oct 2025
Abstract
Traditional manufacturing methods struggle to incorporate complex internal configurations within structures, thus restricting the potential for enhancing the strength of offshore structures through internal design. However, the advent of 3D printing technology presents innovative solutions to this challenge. Previous research has investigated the [...] Read more.
Traditional manufacturing methods struggle to incorporate complex internal configurations within structures, thus restricting the potential for enhancing the strength of offshore structures through internal design. However, the advent of 3D printing technology presents innovative solutions to this challenge. Previous research has investigated the use of 3D printing to integrate lattice-like structures within conventional frameworks to achieve lightweight designs. Building upon this foundation, this paper models an embedded structure and other marine structures subjected to similar loads using simplified models and conducts a thorough investigation into their mechanical properties. Specifically, it examines the effects of the 3D-printed infill structure, infill rate, and tilt angle of printed specimens on the mechanical properties of 3D-printed components. The goal is to identify the optimal parameter combinations that ensure structural strength while also achieving a lightweight design and a secondary lightweight design for the embedded structure. This paper concludes, from tensile, torsional, and compressive experiments, that honeycomb infill structures, with specimens printed at an inclination angle of 0°, exhibit superior performance across all properties. Additionally, the bonding between the layers of the printed parts is identified as a key factor influencing the tensile and torsional properties. While increasing the infill rate can significantly improve the overall mechanical properties of specimens, it also results in a corresponding reduction in the lightweighting index. Full article
Show Figures

Figure 1

16 pages, 11432 KB  
Article
Added Resistance and Motion Predictions for a Medium-Sized RoPax Ferry
by Ermina Begovic, Raffaele Ponzini, Francesco Salvadore, Gennaro Rosano and Arianna Bionda
J. Mar. Sci. Eng. 2025, 13(10), 2006; https://doi.org/10.3390/jmse13102006 - 19 Oct 2025
Abstract
The present paper reports the comparison of the ship motions and added resistance assessment using high fidelity RANSE simulations in virtual towing tank LincoSim, using 2D strip theory as implemented in ShipX v4.4.0 and 3D BEM potential flow software Hydrostar v8.2.1. All calculations [...] Read more.
The present paper reports the comparison of the ship motions and added resistance assessment using high fidelity RANSE simulations in virtual towing tank LincoSim, using 2D strip theory as implemented in ShipX v4.4.0 and 3D BEM potential flow software Hydrostar v8.2.1. All calculations are performed for a medium-sized RoPax ferry of Levante Ferries fleet, which operates daily routes in the Ionian Sea. Calculations by ShipX are performed in frequency domain (using strip-theory and direct pressure integration) and in time domain. The high-fidelity RANSE seakeeping modeling is based on the open-source CFD code OpenFOAM v12 using a standardized framework, tailored to take advantage of HPC facilities and based on a forcing zone formulation. The CFD simulations are performed for six wave periods in head and beam seas at the constant wave height of 3 m. Comparison of the obtained results shows that potential-flow methods are very efficient and reliable tools, suitable for the massive calculations in the first stages of the project. High-fidelity RANSE modeling seems to be more suited for selected cases such as analysis of roll and added resistance in beam waves. Full article
(This article belongs to the Section Ocean Engineering)
Show Figures

Figure 1

19 pages, 20423 KB  
Article
Earthquake-Triggered Tsunami Hazard Assessment in the Santorini–Amorgos Tectonic Zone: Insights from Deterministic Scenario Modeling
by Dimitrios-Vasileios Batzakis, Dimitris Sakellariou, Efthimios Karymbalis, Loukas-Moysis Misthos, Gerasimos Voulgaris, Konstantinos Tsanakas, Emmanuel Vassilakis and Kalliopi Sapountzaki
J. Mar. Sci. Eng. 2025, 13(10), 2005; https://doi.org/10.3390/jmse13102005 - 19 Oct 2025
Abstract
In the early months of 2025, a significant seismic activity was recorded in the area between Santorini and Amorgos, raising concerns about the potential occurrence of a major earthquake and a possible tsunami. The objective of this study is to assess the earthquake-triggered [...] Read more.
In the early months of 2025, a significant seismic activity was recorded in the area between Santorini and Amorgos, raising concerns about the potential occurrence of a major earthquake and a possible tsunami. The objective of this study is to assess the earthquake-triggered tsunami hazard in the Santorini-Amorgos Tectonic Zone (SATZ) by simulating tsunami processes using the MOST (Method of Splitting Tsunami) numerical model, implemented through the ComMIT (Community Model Interface for Tsunamis). High-resolution bathymetry and topography were employed to model tsunami generation, propagation, and onshore inundation. A total of 60 simulations were conducted using a deterministic approach based on worst-case scenarios. The analysis considered six major active faults with two kinematic types, pure normal and oblique-slip, and assessed tsunami impact on five selected coastal study areas. The simulations results showed potential maximum run-up values of 4.1 m in Gialos (Ios), 2.7 m in Kamari (Santorini), 2.4 m in Perissa (Santorini), 1.5 m in Katapola (Amorgos), and 2.3 m in Chora (Astypalaea), in some cases affecting residential zones. Inundation flows also impacted the main ports of Gialos, Katapola, and Chora, highlighting the exposure of critical infrastructure. Although earthquake-triggered tsunamis represent a potential hazard in the SATZ, the results indicated that it is unlikely to cause a widespread disaster in the study areas. Full article
(This article belongs to the Special Issue Storm Tide and Wave Simulations and Assessment, 3rd Edition)
Show Figures

Figure 1

35 pages, 12596 KB  
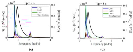
Article
Novel T–U-Shaped Barge Design and Dynamic Response Analysis for Float-Over Installation of Offshore Converter Platform
by Ping Li, Li Zhao, Mingjun Ouyang, Kai Ye, Rui Zhao, Meiyan Zou and Mingsheng Chen
J. Mar. Sci. Eng. 2025, 13(10), 2004; https://doi.org/10.3390/jmse13102004 - 19 Oct 2025
Abstract
To address the current lack of specialized equipment for offshore wind platform installation and the unresolved challenges in deploying large offshore converter stations, this paper proposes a novel T–U-shaped barge for large offshore wind structures. First, a hydrodynamic model of the T–U-shaped barge [...] Read more.
To address the current lack of specialized equipment for offshore wind platform installation and the unresolved challenges in deploying large offshore converter stations, this paper proposes a novel T–U-shaped barge for large offshore wind structures. First, a hydrodynamic model of the T–U-shaped barge is constructed and analyzed in ANSYS-AQWA. The influence of resonance occurring in the gap at the U-shaped stern on the frequency-domain model of the T–U-shaped barge is investigated. Subsequently, two installation configurations are examined: loading at the bow and loading at the stern of the T–U-shaped barge. This study comprehensively considers key components of the float-over installation system, including leg mating units (LMUs), deck support units (DSUs), fenders, and mooring cables. The results show that, for both installation schemes, the dynamic load distribution on each LMU evolves as the load-transfer stage progresses, and the sensitivity to wave period varies across different load-transfer stages, even under the same operating condition. This study evaluates the performance of the proposed T–U-shaped barge in the float-over installation of large offshore converter stations, demonstrating that its distinctive configuration endows it with strong functionality and provides valuable references for optimizing offshore wind-structure installation methods, as well as for the design and manufacturing of installation equipment. Full article
(This article belongs to the Special Issue Advanced Studies in Marine Structures)
Show Figures

Figure 1

24 pages, 1712 KB  
Article
Dual-Objective Optimization of Port Tugboat Scheduling with Heterogeneous Service Capabilities
by Chao Fang, Tian Chai, Wei Huang and Huaiwei Zhu
J. Mar. Sci. Eng. 2025, 13(10), 2003; https://doi.org/10.3390/jmse13102003 - 19 Oct 2025
Abstract
As critical hubs in the global supply chain, a port’s competitiveness and sustainability are directly impacted by the efficiency and carbon emissions of its tugboat scheduling. This paper addresses the scheduling optimization of heterogeneous tugboat fleets, aiming to balance these dual objectives. A [...] Read more.
As critical hubs in the global supply chain, a port’s competitiveness and sustainability are directly impacted by the efficiency and carbon emissions of its tugboat scheduling. This paper addresses the scheduling optimization of heterogeneous tugboat fleets, aiming to balance these dual objectives. A Mixed-Integer Linear Programming (MILP) model is constructed to minimize vessel waiting time and total carbon emissions, considering key real-world constraints such as tidal windows and channel capacity. Given the model’s complexity, an improved multi-objective evolutionary algorithm is designed, which significantly enhances the performance for solving large-scale instances. A case study based on actual data from Xiamen Port shows that the proposed model and algorithm can effectively generate a series of Pareto-optimal schedules, providing a decision-making basis for port authorities to achieve green and efficient tugboat scheduling. Full article
(This article belongs to the Section Ocean Engineering)
Show Figures

Figure 1

24 pages, 8290 KB  
Article
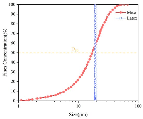
Experimental and Numerical Investigation of Fines Migration Mechanisms in Porous Media: Implications for Marine Gas Hydrate Production
by Shuang Cindy Cao, Mengzhen Cao, Yanli Yuan, Jongwon Jung and Xiaoshuang Li
J. Mar. Sci. Eng. 2025, 13(10), 2002; https://doi.org/10.3390/jmse13102002 - 18 Oct 2025
Viewed by 48
Abstract
Fines migration and clogging in porous media have significant implications for engineering applications. For example, during the extraction of marine gas hydrates, fines migration can lead to pore clogging and reduced permeability. This study combines micromodel experiments with DEM-CFD simulations to investigate the [...] Read more.
Fines migration and clogging in porous media have significant implications for engineering applications. For example, during the extraction of marine gas hydrates, fines migration can lead to pore clogging and reduced permeability. This study combines micromodel experiments with DEM-CFD simulations to investigate the effects of fine type (latex/mica), fine shape (spherical/flake), pore size (50 to 700 μm), and pore fluid composition (DW/brine) on fines migration, fine clogging behavior, and the evolution of host sediment porosity. Experiments demonstrate that clogging is geometrically influenced by the relationship between pore size and fines dimensions. Even when the size of fines (mica) is smaller than the pore throat size, their aggregates can still lead to clogging at very low concentrations (0.1–0.2%). The aggregate size of irregular mica is affected by changes in pore fluid properties, which may occur due to the freshening of pore water during hydrate dissociation. Furthermore, a moving gas/liquid interface concentrates fines, thereby increasing the risk of pore clogging. Simulations further reveal that fines migration causes dynamic changes in porosity, which requires a comprehensive consideration of the coupled effects of fine type, fluid velocity, pore size, and fluid chemistry. This study elucidates the microscopic mechanisms and quantifies the macroscopic effects of fines migration behavior in porous media, providing a theoretical foundation for further research. Full article
(This article belongs to the Section Geological Oceanography)
Show Figures

Figure 1

24 pages, 14492 KB  
Article
Design and Control of a Bionic Underwater Collector Based on the Mouth Mechanism of Stomiidae
by Zexing Mo, Ping Ren, Lei Zhang, Jisheng Zhou, Yaru Li, Bowei Cui and Luze Wang
J. Mar. Sci. Eng. 2025, 13(10), 2001; https://doi.org/10.3390/jmse13102001 - 18 Oct 2025
Viewed by 133
Abstract
Deep-sea mining has gradually emerged as a core domain in global resource exploitation. Underwater autonomous robots, characterized by low cost, high flexibility, and lightweight properties, demonstrate significant advantages in deep-sea mineral development. To address the limitations of traditional deep-sea mining equipment, such as [...] Read more.
Deep-sea mining has gradually emerged as a core domain in global resource exploitation. Underwater autonomous robots, characterized by low cost, high flexibility, and lightweight properties, demonstrate significant advantages in deep-sea mineral development. To address the limitations of traditional deep-sea mining equipment, such as large volume, high energy consumption, and insufficient flexibility, this paper proposes an innovative Underwater Vehicle Collector System (UVCS). Integrating bionic design with autonomous robotic technology, this system features a collection device mimicking the large opening–closing kinematics of the mouth of deep-sea dragonfish (Stomiidae). A dual-rocker mechanism is employed to realize the mouth opening-closing function, and the collection process is driven by the pitching motion of the vehicle without the need for additional motors, thus achieving the advantages of high flexibility, low energy consumption, and light weight. The system is capable of collecting seabed polymetallic nodules with diameters ranging from 1 to 12 cm, thus providing a new solution for sustainable deep-sea mining. Based on the dynamics of UVCS, this paper verifies its attitude stability and collection efficiency in planar motions through single-cycle and multi-cycle simulation analyses. The simulation results indicate that the system operates stably with reliable collection actions. Furthermore, water tank testings demonstrate the opening and closing functions of the UVCS collection device, fully confirming its design feasibility and application potential. In conclusion, the UVCS system, through the integration of bionic design, opens up a new path for practical applications in deep-sea resource exploitation. Full article
(This article belongs to the Section Ocean Engineering)
Show Figures

Figure 1

23 pages, 4243 KB  
Article
Experimental Study on the Structural Dynamic Response of an Offshore Electrical Platform During Mating Process in Float-Over Installation
by Yinfeng Wang, Bo Zhang, Zongjun Shan, Zhenzhou Sun, Jiefeng Chen, Xu Jiang, Guohai Dong and Chunwei Bi
J. Mar. Sci. Eng. 2025, 13(10), 2000; https://doi.org/10.3390/jmse13102000 - 17 Oct 2025
Viewed by 102
Abstract
As offshore wind power moves into deeper waters, large-scale electrical platforms are key to efficient power transmission. However, their heavy topside modules create major installation challenges. As traditional lifting methods are inadequate, the float-over method has become a viable solution for installing topside [...] Read more.
As offshore wind power moves into deeper waters, large-scale electrical platforms are key to efficient power transmission. However, their heavy topside modules create major installation challenges. As traditional lifting methods are inadequate, the float-over method has become a viable solution for installing topside modules, but it is essential to study the structural responses to collisions during the process to ensure construction and equipment safety. This study establishes a physical model of the offshore converter station at a 1:65 scale based on the elastic force-gravity similarity principle. Assuming the barge carrying the topside module descends at a constant speed, the study investigates the dynamic response of the platform during the float-over mating process. Float-over collision tests are conducted to obtain the platform’s acceleration, strain, and displacement responses and to analyze the effects of collision speed, offset position, and Leg Mating Unit (LMU) stiffness on the dynamic structural response characteristics. The results show that as collision speed increases from 10 mm/s to 50 mm/s, the topside acceleration response increases up to 5.7 times. Beam strain remains mostly unchanged, and displacement increases first, then decreases. Under fixed descent velocity, x-offset increases jacket strain and converter valve acceleration, while y-offset raises platform acceleration and reduces valve acceleration by approximately 20 percent. At 50 mm/s, higher LMU stiffness causes the acceleration response to first drop, then rise. These findings support safe float-over installation. Full article
(This article belongs to the Section Ocean Engineering)
29 pages, 4432 KB  
Article
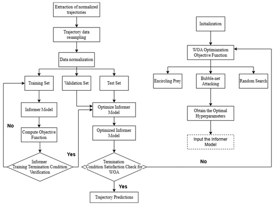
Optimizing Informer with Whale Optimization Algorithm for Enhanced Ship Trajectory Prediction
by Haibo Xie, Jinliang Wang, Zhiqiang Shi and Shiyuan Xue
J. Mar. Sci. Eng. 2025, 13(10), 1999; https://doi.org/10.3390/jmse13101999 - 17 Oct 2025
Viewed by 81
Abstract
The rapid expansion of global shipping has led to continuously increasing vessel traffic density, making high-accuracy ship trajectory prediction particularly critical for navigational safety and traffic management optimization in complex waters such as ports and narrow channels. However, existing methods still face challenges [...] Read more.
The rapid expansion of global shipping has led to continuously increasing vessel traffic density, making high-accuracy ship trajectory prediction particularly critical for navigational safety and traffic management optimization in complex waters such as ports and narrow channels. However, existing methods still face challenges in medium-to-long-term prediction and nonlinear trajectory modeling, including insufficient accuracy and low computational efficiency. To address these issues, this paper proposes an enhanced Informer model (WOA-Informer) based on the Whale Optimization Algorithm (WOA). The model leverages Informer to capture long-term temporal dependencies and incorporates WOA for automated hyperparameter tuning, thereby improving prediction accuracy and robustness. Experimental results demonstrate that the WOA-Informer model achieves outstanding performance across three distinct trajectory patterns, with an average reduction of 23.1% in Root Mean Square Error (RMSE) and 27.8% in Haversine distance (HAV) compared to baseline models. The model also exhibits stronger robustness and stability in multi-step predictions while maintaining a favorable balance in computational efficiency. These results substantiate the effectiveness of metaheuristic optimization for strengthening deep learning architectures and present a computationally efficient, high-accuracy framework for vessel trajectory prediction. Full article
(This article belongs to the Special Issue Ship Manoeuvring and Control)
Show Figures

Figure 1

17 pages, 3079 KB  
Article
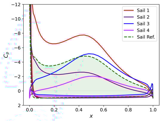
Reducing Aerodynamic Interference Through Layout Optimization of Symmetrically Cambered Wingsails: A Comparative Study of In-Line and Parallel Configurations
by Stephan van Reen, Jianfeng Lin, Jiqiang Niu, Peter Sharpe, Xiaodong Li and Hua-Dong Yao
J. Mar. Sci. Eng. 2025, 13(10), 1998; https://doi.org/10.3390/jmse13101998 - 17 Oct 2025
Viewed by 85
Abstract
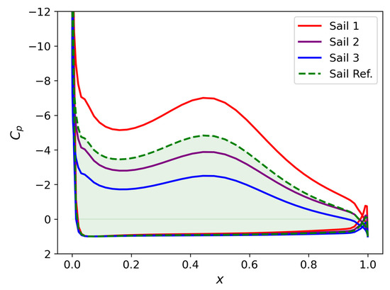
Rigid wingsails are increasingly adopted for wind-assisted ship propulsion, with Symmetrically Cambered (SC) profiles identified as highly efficient for thrust generation. This study investigates installation layouts for multiple SC wingsails, focusing on aerodynamic interference that limits their performance. A fast 2D potential-flow panel [...] Read more.
Rigid wingsails are increasingly adopted for wind-assisted ship propulsion, with Symmetrically Cambered (SC) profiles identified as highly efficient for thrust generation. This study investigates installation layouts for multiple SC wingsails, focusing on aerodynamic interference that limits their performance. A fast 2D potential-flow panel method is employed and benchmarked against wind tunnel and 3D IDDES data. Two representative layouts are analyzed: triple-in-line (TL) and quad-in-parallel (QP). Layout optimization is performed using a genetic algorithm with distances between sails as design variables, constrained by the total installation span, at apparent wind angles (AWAs) of 60°, 90°, and 120°. Results show that thrust generation decreases progressively from upstream to downstream sails due to interference effects, with penalties of about 4–6% in the TL and up to 28% in the QP layout. The optimization improves performance only for the TL layout at 60°, while the QP layout shows negligible gains. Analysis of pressure distributions confirms that downstream sails suffer from reduced suction on the leading edge caused by upstream wakes. Overall, the TL layout demonstrates significantly higher aerodynamic reliability than the QP layout. These findings provide new insights into multi-sail configurations and highlight the importance of layout optimization in maximizing thrust efficiency. Full article
(This article belongs to the Special Issue Computational Fluid Dynamics and Acoustic Design Methods for Ship)
Show Figures

Figure 1

22 pages, 52390 KB  
Article
Hydrogen Production Power Supply with Low Current Ripple Based on Virtual Impedance Technology Suitable for Offshore Wind–Solar–Storage System
by Peng Chen, Jiajin Zou, Chunjie Wang, Qiang Fu, Lin Cui and Lishan Ma
J. Mar. Sci. Eng. 2025, 13(10), 1997; https://doi.org/10.3390/jmse13101997 - 17 Oct 2025
Viewed by 141
Abstract
Hydrogen production from water electrolysis can not only reduce greenhouse gas emissions, but also has abundant raw materials, which is one of the ideal ways to produce hydrogen from new energy. The hydrogen production power supply is the core component of the new [...] Read more.
Hydrogen production from water electrolysis can not only reduce greenhouse gas emissions, but also has abundant raw materials, which is one of the ideal ways to produce hydrogen from new energy. The hydrogen production power supply is the core component of the new energy electrolytic water hydrogen production device, and its characteristics have a significant impact on the efficiency and purity of hydrogen production and the service life of the electrolytic cell. In essence, the DC/DC converter provides the large current required for hydrogen production. For the converter, its input still needs the support of a DC power supply. Given the maturity and technical characteristics of new energy power generation, integrating energy storage into offshore energy systems enables stable power supply. This configuration not only mitigates energy fluctuations from renewable sources but also further reduces electrolysis costs, providing a feasible pathway for large-scale commercialization of green hydrogen production. First, this paper performs a simulation analysis on the wind–solar hybrid energy storage power generation system to demonstrate that the wind–solar–storage system can provide stable power support. It places particular emphasis on the significance of hydrogen production power supply design—this focus stems primarily from the fact that electrolyzers impose specific requirements on high operating current levels and low current ripple, which exert a direct impact on the electrolyzer’s service life, hydrogen production efficiency, and operational safety. To suppress the current ripple induced by high switching frequency and high output current, traditional approaches typically involve increasing the output inductor. However, this method substantially increases the volume and weight of the device, reduces the rate of current change, and ultimately results in a degradation of the system’s dynamic response performance. To this end, this paper focuses on developing a virtual impedance control technology, aiming to reduce the ripple amplitude while avoiding an increase in the filter inductor. Owing to constraints in current experimental conditions, this research temporarily relies on simulation data. Specifically, a programmable power supply is employed to simulate the voltage output of the wind–solar–storage hybrid system, thereby bringing the simulation as close as possible to the actual operating conditions of the wind–solar–storage hydrogen production system. The experimental results demonstrate that the proposed method can effectively suppress the ripple amplitude, maintain high operating efficiency, and ultimately meet the expected research objectives. That makes it particularly suitable as a high-quality power supply for offshore hydrogen production systems that have strict requirements on volume and weight. Full article
(This article belongs to the Special Issue Offshore Renewable Energy, Second Edition)
Show Figures

Figure 1

21 pages, 1246 KB  
Article
Path Identification in Passive Acoustic Tomography via Time Delay Difference Comparison and Accumulation Analysis
by Tianyu Ma, Ting Zhang and Wen Xu
J. Mar. Sci. Eng. 2025, 13(10), 1996; https://doi.org/10.3390/jmse13101996 - 17 Oct 2025
Viewed by 141
Abstract
Empirical green’s functions (EGFs) can be extracted from the cross-correlation of ambient ocean noise and serve as the foundation for passive ocean acoustic tomography (POAT). A critical challenge in POAT is the accurate identification of propagation paths, especially in shallow water and short-range [...] Read more.
Empirical green’s functions (EGFs) can be extracted from the cross-correlation of ambient ocean noise and serve as the foundation for passive ocean acoustic tomography (POAT). A critical challenge in POAT is the accurate identification of propagation paths, especially in shallow water and short-range scenarios where multipath arrivals often overlap. Traditional methods relying on absolute arrival time delays are rather sensitive to environmental variability and measurement uncertainty. In this study, we propose a path identification method based on time delay differences between extracted acoustic paths, which exhibit lower sensitivity to sound speed profile (SSP) perturbations than absolute time delays. This approach provides a more robust and stable metric for distinguishing coherent arrivals. We further analyze how accumulation time and hydrophone spacing influence the extraction of coherent wavefronts and identify trade-offs in resolution and stability. The effectiveness of the proposed method is validated through both field experiments and Bellhop simulations, demonstrating consistent time delay difference patterns and improved arrival stability. The findings suggest that time delay difference-based path identification enhances robustness and provides practical guidance for optimizing POAT deployments in complex shallow water environments. Full article
(This article belongs to the Section Ocean Engineering)
Show Figures

Figure 1

21 pages, 6032 KB  
Article
Online Sparse Sensor Placement with Mobility Constraints for Pollution Plume Reconstruction
by Aoming Liang, Duoxiang Xu, Dashuai Chen, Weicheng Cui and Qi Liu
J. Mar. Sci. Eng. 2025, 13(10), 1995; https://doi.org/10.3390/jmse13101995 - 17 Oct 2025
Viewed by 75
Abstract
The rational placement of pollutant monitoring sensors has long been a prominent research focus in ocean environment science. Our method integrates an incremental Proper Orthogonal Decomposition with a mobility-constrained sensor selection strategy, enabling efficient monitoring and dynamic adaptation to spatio-temporal field changes. At [...] Read more.
The rational placement of pollutant monitoring sensors has long been a prominent research focus in ocean environment science. Our method integrates an incremental Proper Orthogonal Decomposition with a mobility-constrained sensor selection strategy, enabling efficient monitoring and dynamic adaptation to spatio-temporal field changes. At each time step, the position of the sensors is updated based on the incoming measurements to minimize the reconstruction error while adhering to movement constraints. This online approach considers the need for mobility distance, making it suitable for long-term deployments in resource-limited scenarios. The proposed framework is validated in three scenarios: a linear advection–diffusion system with multiple moving pollution sources, the distribution of particulate matter with an aerodynamic diameter smaller than 2.5 μm (PM2.5) across the United States, and scalar transport in flows past side-by-side cylinder arrays in the ocean. The results demonstrate that the method achieves high reconstruction accuracy with significantly fewer sensors. This study conducts a comparative analysis of three typical mobility constraints and their respective effects on reconstruction accuracy. In addition, the proposed localized sensor mobility strategy effectively tracks evolving plume structures and maintains a low approximation error, providing a generalizable solution for sparse monitoring of the marine environment. Full article
(This article belongs to the Section Ocean Engineering)
Show Figures

Figure 1

19 pages, 2878 KB  
Article
A Simplified Model for Coastal Pollution Forecasting Under Severe Storm and Wind Effects: The Besòs Wastewater Treatment Plant Case Study
by Yolanda Bolea, Edmundo Guerra, Rodrigo Munguia and Antoni Grau
J. Mar. Sci. Eng. 2025, 13(10), 1994; https://doi.org/10.3390/jmse13101994 - 17 Oct 2025
Viewed by 126
Abstract
This study focuses on the impact of wastewater discharges from the Besòs treatment plant on the coastal water quality of Barcelona, particularly under adverse weather conditions. A simplified mathematical model was developed to predict, in real time, the concentration of bacterial indicators ( [...] Read more.
This study focuses on the impact of wastewater discharges from the Besòs treatment plant on the coastal water quality of Barcelona, particularly under adverse weather conditions. A simplified mathematical model was developed to predict, in real time, the concentration of bacterial indicators (Enterococci and E. coli) along nearby beaches. This model aims to quickly detect contamination events and trigger alerts to evacuate swimming areas before water quality tests are completed. The simulator uses meteorological data—such as wind direction and speed, rainfall intensity, and solar irradiance, among others—to anticipate pollution levels without requiring immediate water sampling. The model was tested against real-world scenarios and validated with historical meteorological and bacteriological data collected over six years. The results show that bacterial pollution occurs mainly during intense rainfall events combined with specific wind conditions, particularly when winds blow from the southeast (SE) or east–southeast (ESE) at moderate to high speeds. These wind patterns carry under-treated wastewater toward the coast. Conversely, winds from the north or northwest tend to disperse the contaminants offshore, posing little to no risk to swimmers. This study confirms that pollution events are relatively rare—about two per year—but pose significant health risks when they do occur. The simulator proved reliable, accurately predicting contamination episodes without producing false alarms. Minor variables such as water temperature or suspended solids showed limited influence, with wind and sunlight being the most critical factors. The model’s rapid response capability allows public authorities to take swift action, significantly reducing the risk to beachgoers. This system enhances current water quality monitoring by offering a predictive, cost-effective, and preventive tool for beach management in urban coastal environments. Full article
(This article belongs to the Section Marine Environmental Science)
Show Figures

Figure 1

16 pages, 10199 KB  
Article
Application of Double-Chamber Airbags as Ship Fenders in Ship Collision Scenarios
by Zhengyao Wang, Kun Liu, Zhenguo Gao, Weijian Qiu and Qingao Meng
J. Mar. Sci. Eng. 2025, 13(10), 1993; https://doi.org/10.3390/jmse13101993 - 17 Oct 2025
Viewed by 119
Abstract
Ship-to-ship impacts can lead to serious outcomes such as environmental contamination, cargo and economic losses, and risks to crew safety. The steady growth of maritime traffic has amplified the likelihood of such incidents, emphasizing the necessity of more reliable mitigation technologies. Conventional protective [...] Read more.
Ship-to-ship impacts can lead to serious outcomes such as environmental contamination, cargo and economic losses, and risks to crew safety. The steady growth of maritime traffic has amplified the likelihood of such incidents, emphasizing the necessity of more reliable mitigation technologies. Conventional protective systems are often inadequate for present-day demands, underscoring the need for improved energy-absorbing solutions. In this study, a double-chamber airbag is developed to strengthen the lateral crash resistance of vessels, particularly under deliberate collision conditions. The model is analyzed using finite element simulations, which are further verified through experimental comparison to ensure computational accuracy. The proposed configuration is benchmarked against a single-chamber airbag, and the findings reveal its superior capability in attenuating impact forces. Parametric analyses under varying velocities and impact angles confirm that the new design offers stable crashworthiness and effectively redistributes collision energy. At low speeds, it reduces local deformation, while under high-energy or oblique impacts, it cushions the structure and prevents severe hull damage. The observed trends demonstrate the potential of the double-chamber concept for future ship protection applications in complex operational environments. Full article
Show Figures

Figure 1

25 pages, 8785 KB  
Article
Storm Surge Numerical Simulation of Typhoon “Mangkhut” with Adjoint Data Assimilation
by Liqun Jiao, Chuanfeng Liu, Dong Jiang, Xiaojiang Zhang and Xianqing Lv
J. Mar. Sci. Eng. 2025, 13(10), 1992; https://doi.org/10.3390/jmse13101992 - 17 Oct 2025
Viewed by 166
Abstract
This study employs the storm surge numerical model originally developed for the Bohai Sea. In contrast to the previous work, the current simulation focuses on the South China Sea and severe weather events, with a case study conducted through the numerical simulation of [...] Read more.
This study employs the storm surge numerical model originally developed for the Bohai Sea. In contrast to the previous work, the current simulation focuses on the South China Sea and severe weather events, with a case study conducted through the numerical simulation of the storm surge induced by Typhoon “Mangkhut” on 15–17 September 2018. The typhoon wind field serves as a critical forcing factor influencing simulation accuracy. Therefore, five different wind fields were employed as driving conditions: the ERA5 reanalysis wind field (EWF), the parameterized Jelesnianski (JWF) and Holland (HWF) wind fields, and two hybrid wind fields (JEWF and HEWF) combining EWF with JWF and HWF, respectively. And the adjoint data assimilation method was applied to invert a physically more consistent wind stress drag coefficient (CD). The results indicate the model effectively reproduced this dynamic process. After assimilation, the simulated water levels showed significantly improved agreement with measurements, with errors reduced by 50% (EWF), 47% (JWF), 48% (JEWF), 26% (HWF), and 42% (HEWF), respectively. And JWF not only exhibited a smaller MAE than HWF but also yielded a more reasonable CD, demonstrating its superior performance in this typhoon case. The hybrid strategy further reduced errors to 0.14 m, effectively mitigating the limitations of individual wind fields. This study offers a new perspective on adjoint assimilation-based numerical modeling of storm surges in the South China Sea. Full article
(This article belongs to the Special Issue Advances in Storm Tide and Wave Simulations and Assessment)
Show Figures

Figure 1

20 pages, 39007 KB  
Article
Hybrid Regularized Variational Minimization Method to Promote Visual Perception for Intelligent Surface Vehicles Under Hazy Weather Condition
by Peizheng Li, Dayong Qiao, Caofei Luo, Desong Wan and Guilian Li
J. Mar. Sci. Eng. 2025, 13(10), 1991; https://doi.org/10.3390/jmse13101991 - 17 Oct 2025
Viewed by 134
Abstract
Intelligent surface vehicles, including unmanned surface vehicles (USVs) and autonomous surface vehicles (ASVs), have gained significant attention from both academic and industrial communities. However, shipboard maritime images captured under hazy weather conditions inevitably suffer from a blurred, distorted appearance. Low-quality maritime images can [...] Read more.
Intelligent surface vehicles, including unmanned surface vehicles (USVs) and autonomous surface vehicles (ASVs), have gained significant attention from both academic and industrial communities. However, shipboard maritime images captured under hazy weather conditions inevitably suffer from a blurred, distorted appearance. Low-quality maritime images can lead to negative effects on high-level computer vision tasks, such as object detection, recognition and tracking, etc. To avoid the negative influence of low-quality maritime images, it is necessary to develop a visual perception enhancement method for intelligent surface vehicles. To generate satisfactory haze-free maritime images, we propose development of a novel transmission map estimation and refinement framework. In this work, the coarse transmission map is obtained by the weighted fusion of transmission maps generated by dark channel prior (DCP)- and luminance-based estimation methods. To refine the transmission map, we take the segmented smooth feature of the transmission map into account. A joint variational framework with total generalized variation (TGV) and relative total variation (RTV) regularizers is accordingly proposed. The joint variational framework is effectively solved by an alternating-direction numerical algorithm, which decomposes the original nonconvex nonsmooth optimization problem into several subproblems. Each subproblem could be efficiently and easily handled using the existing optimization algorithm. Finally, comprehensive experiments are conducted on synthetic and realistic maritime images. The imaging results have illustrated that our method can outperform or achieve comparable results with other competing dehazing methods. The promoted visual perception is beneficial to improve navigation safety for intelligent surface vehicles under hazy weather conditions. Full article
(This article belongs to the Special Issue Emerging Computational Methods in Intelligent Marine Vehicles)
Show Figures

Figure 1

25 pages, 6744 KB  
Article
An Intelligent Semantic Segmentation Network for Unmanned Surface Vehicle Navigation
by Mingzhi Shao, Xin Liu, Xuejun Yan, Yabin Li, Wenchao Cui, Chengmeng Sun and Changshi Xiao
J. Mar. Sci. Eng. 2025, 13(10), 1990; https://doi.org/10.3390/jmse13101990 - 17 Oct 2025
Viewed by 180
Abstract
With the development of artificial intelligence neural networks, semantic segmentation has received more and more attention in the field of ocean engineering, especially in the fields of unmanned vessels and drones. However, challenges such as limited open ocean datasets, insufficient feature extraction for [...] Read more.
With the development of artificial intelligence neural networks, semantic segmentation has received more and more attention in the field of ocean engineering, especially in the fields of unmanned vessels and drones. However, challenges such as limited open ocean datasets, insufficient feature extraction for segmentation networks, pixel pairing problem, and frequency-domain obfuscation still exist. To address these issues, we propose USVS-Net, a high-performance segmentation network for segmenting USV feasible domains and surface obstacles. To overcome the pixel pairing confusion problem, a Global Channel-Spatial Attention module (GCSA) is designed in this paper, which enhances feature interactions, suppresses redundant features, and improves pixel matching accuracy through channel shuffling strategy and large kernel spatial attention. In addition, a median-enhanced channel-spatial attention (MECS) module is proposed to enhance edge details and suppress noise by fusing the median, mean, and maximum values to facilitate cross-scale feature interactions. For evaluation, a dataset USV-DATA containing images of marine obstacles is constructed. Experiments show that USVS-Net outperforms SOTA with mIoU reaching 81.71% and mPA reaching 90.18%, which is a significant improvement over the previous methods. These findings indicate that USVS-Net has high accuracy and robustness and can provide valuable support for autonomous navigation of unmanned vessels. Full article
Show Figures

Figure 1

19 pages, 1476 KB  
Article
The Reliability of Offshore Jacket Platforms Based on Bayesian Calibration
by Fang Zhou, Fansheng Meng, Yuhan Zhao, Jinbo Chen, Rui Zhao, Yongfei Zhang, Zhaolong Han and Yan Bao
J. Mar. Sci. Eng. 2025, 13(10), 1989; https://doi.org/10.3390/jmse13101989 - 17 Oct 2025
Viewed by 163
Abstract
The safety of offshore structures is a key topic in developing offshore oil and gas and offshore wind energy. Due to the harsh offshore environment and costly offshore field tests, offshore field trials to validate the theoretical models for offshore structures are limited, [...] Read more.
The safety of offshore structures is a key topic in developing offshore oil and gas and offshore wind energy. Due to the harsh offshore environment and costly offshore field tests, offshore field trials to validate the theoretical models for offshore structures are limited, and testing results can rarely be found in the public domain. The Bayesian updating technique combines existing engineering knowledge with the observed performance data about in-service offshore structures to update model uncertainties. Hence, the Bayesian technique overcomes the shortcomings of limited offshore field trials. This paper compiles performance data on offshore jackets in hurricanes in the Gulf of Mexico (GoM) in the past two decades and calibrates the model uncertainties of the API method using the Bayesian technique. With the updated model uncertainty, this paper evaluates the reliability of generic offshore jackets in the GoM and the case study’s offshore wind substation in China. With a typical reserve strength ratio (RSR) of about 2.0 to 2.2, the reliability analysis reveals that the updated annual failure probability of a generic offshore jacket in the GoM is largely less than 1.0×103, indicating that the extreme weather overload is not a major concern. However, the RSR of the case study platform in China is greater than 4.5, and the annual failure probability for the case study offshore wind substation is about 2–3 orders of magnitude lower than typical oil and gas jackets. Hence, from the extreme metocean condition perspective, the substation under investigation has sufficient structural capacity, and the design practice for offshore wind substations in northern China may be improved. Full article
Show Figures

Figure 1

22 pages, 4540 KB  
Article
A Novel Cooperative Navigation Algorithm Based on Factor Graph and Lie Group for AUVs
by Jiapeng Liu, Xiaodong Bu and Chao Wu
J. Mar. Sci. Eng. 2025, 13(10), 1988; https://doi.org/10.3390/jmse13101988 - 16 Oct 2025
Viewed by 133
Abstract
Traditional cooperative navigation algorithms for multiple AUVs are typically designed for a single specific configuration, such as parallel or leader-slave. This paper proposes a novel cooperative navigation algorithm based on factor graph and Lie group to address the multi-AUV localization problem, which is [...] Read more.
Traditional cooperative navigation algorithms for multiple AUVs are typically designed for a single specific configuration, such as parallel or leader-slave. This paper proposes a novel cooperative navigation algorithm based on factor graph and Lie group to address the multi-AUV localization problem, which is applicable to various multi-AUV configurations. First, the motion state of an AUV is represented within the two-dimensional special Euclidean group (SE(2)) space from Lie theory. Second, the motion of the AUV and acoustic-based range and bearing measurements are modeled to derive the motion error function and the range and bearing error function, respectively. Depending on the formulation of the motion error function, the proposed approach comprises two methods: Method 1 and Method 2. Third, the Gauss-Newton method is employed for nonlinear optimization to obtain the optimal estimates of the motion states for all AUVs. Finally, a parameter-level simulation system for AUV cooperative navigation is established to evaluate the algorithm’s performance under two different multi-AUV configurations. Method 1 is designed for parallel configurations, reducing the average RMSE of position and orientation errors by 29% compared to the EKF. Method 2 is tailored for leader-slave configurations, reducing the average RMSE of position and orientation errors by 38% compared to the EKF. Simulation results demonstrate that the proposed algorithm achieves superior performance across different AUV configurations compared to conventional EKF-based approaches. Full article
(This article belongs to the Special Issue Autonomous Marine Vehicle Operations—3rd Edition)
Show Figures

Figure 1

24 pages, 6820 KB  
Article
Assessing the Environmental Impact of Deep-Sea Mining Plumes: A Study on the Influence of Particle Size on Dispersion and Settlement Using CFD and Experiments
by Xueming Wang, Zekun Chen and Jianxin Xia
J. Mar. Sci. Eng. 2025, 13(10), 1987; https://doi.org/10.3390/jmse13101987 - 16 Oct 2025
Viewed by 117
Abstract
It is widely recognized that benthic sediment plumes generated by deep-sea mining may pose significant potential risks to ecosystems, yet their dispersion behavior remains difficult to predict with accuracy. In this study, we combined laboratory experiments with three-dimensional numerical simulations using the Environmental [...] Read more.
It is widely recognized that benthic sediment plumes generated by deep-sea mining may pose significant potential risks to ecosystems, yet their dispersion behavior remains difficult to predict with accuracy. In this study, we combined laboratory experiments with three-dimensional numerical simulations using the Environmental Fluid Dynamics Code (EFDC) to investigate the dispersion of sediment plumes composed of particles of different sizes. Laboratory experiments were conducted with deep-sea clay samples from the western Pacific under varying conditions for plume dispersion. Experimental data were used to capture horizontal diffusion and vertical entrainment through a Gaussian plume model, and the results served for parameter calibration in large-scale plume simulations. The results show that ambient current velocity and discharge height are the primary factors regulating plume dispersion distance, particularly for fine particles, while discharge rate and sediment concentration mainly control plume duration and the extent of dispersion in the horizontal direction. Although the duration of a single-source release is short, continuous mining activities may sustain broad dispersion and result in thicker sediment deposits, thereby intensifying ecological risks. This study provides the first comprehensive numerical assessment of deep-sea mining plumes across a range of particle sizes with clay from the western Pacific. The findings establish a mechanistic framework for predicting plume behavior under different operational scenarios and contribute to defining threshold values for discharge-induced plumes based on scientific evidence. By integrating experimental, theoretical, and numerical approaches, this work offers quantitative thresholds that can inform environmentally responsible strategies for deep-sea resource exploitation. Full article
Show Figures

Figure 1

25 pages, 10457 KB  
Article
Geospatial Analysis of Shoreline Shifts in the Indus Delta Using DSAS and Satellite Data
by Hafsa Batool, Zhiguo He, Noor Ahmed Kalhoro and Xiangbing Kong
J. Mar. Sci. Eng. 2025, 13(10), 1986; https://doi.org/10.3390/jmse13101986 - 16 Oct 2025
Viewed by 105
Abstract
Pakistan’s coastline encompasses the Indus Delta, a critical ecosystem that sustains biodiversity, fisheries, and local livelihoods, yet it is increasingly threatened by both natural and anthropogenic pressures. This study quantifies multi-decadal shoreline changes in the Indus Delta and examines how changes in climatic [...] Read more.
Pakistan’s coastline encompasses the Indus Delta, a critical ecosystem that sustains biodiversity, fisheries, and local livelihoods, yet it is increasingly threatened by both natural and anthropogenic pressures. This study quantifies multi-decadal shoreline changes in the Indus Delta and examines how changes in climatic factors (precipitation and wind) affect these changes, using the Digital Shoreline Analysis System (DSAS v5.1) and multi-temporal Landsat imagery (TM, ETM+, OLI) to quantify long-term shoreline dynamics from 1990 to 2020 (30-year period). Key metrics, including End Point Rate (EPR), Net Shoreline Movement (NSM), and Linear Regression Rate (LRR), indicated an overall retreat, with a mean NSM of −1810 m and a mean LRR of −173 m·year across the 30-year period. Shoreline change rates exhibited a significant relationship with climatic variables, particularly wind speed and precipitation, with dynamics shifting from erosion-dominated to localized accretion in areas where mangrove rehabilitation programs were implemented after 2005. Seasonal variability further influenced shoreline behavior: low-rainfall years intensified erosion due to reduced sediment availability, while high-rainfall years enhanced accretion through increased sediment input. These findings underscore the urgent need for integrated coastal management strategies, including mangrove conservation, sustainable sediment management, and climate-adaptive planning, to strengthen the resilience of the Indus Delta. Full article
(This article belongs to the Section Coastal Engineering)
Show Figures

Figure 1

25 pages, 17554 KB  
Article
Effect of Long-Term Immersion in Low-Salinity Seawater on Epoxy Resin Composites Filled with Marine Secondary Raw Materials
by Greta Vicentini, Carlo Santulli, Sara Mattiello, Roberto Matassa, Danilo Nikolić, Slavica Petovic, Ana Pesic, Radmila Gagic, Alberto Felici and Cristiano Fragassa
J. Mar. Sci. Eng. 2025, 13(10), 1985; https://doi.org/10.3390/jmse13101985 - 16 Oct 2025
Viewed by 167
Abstract
This research explores the potential introduction of marine waste-derived biological fillers within bio-epoxy matrices to mitigate the environmental impact of traditional materials, like fiberglass, in boat construction. However, this raises concerns about biofouling and degradation, issues that have not been extensively investigated in [...] Read more.
This research explores the potential introduction of marine waste-derived biological fillers within bio-epoxy matrices to mitigate the environmental impact of traditional materials, like fiberglass, in boat construction. However, this raises concerns about biofouling and degradation, issues that have not been extensively investigated in composites, especially over a time frame representative of issues that could arise during service. Although protective solutions like biocides and specific coatings exist, degradation remains challenging when attempting to use eco-friendly natural fillers. This study specifically integrates various biological fillers, namely ceramics (mussel, oyster, clam powder) or ligno-cellulosic (i.e., Posidonia oceanica fibers) into epoxy for use in some boat components (bench seats for the bridge deck), aiming to evaluate the biofouling process under extreme (or decommissioning) conditions. In itself, epoxy does represent an ideal enclosing matrix for biomass waste, which ideally needs to be introduced in significant amounts. The development of biofouling in the specific context of Kotor’s Bay, Montenegro, for a duration of six months, and relevant composite degradation were examined. In particular, three situations were reproduced by positioning the samples in a harbor environment: (i) on the bottom of the sea (2 m. depth), (ii) immersed just below the surface (0.5 m. depth), and (iii) on the splashing surface (pier). The concerns identified appear generally limited in the case of the envisaged application, despite some significant wear effect in the case of the samples containing Posidonia. However, this study also offers information and caveats in terms of more ambitious prospective applications (e.g., the boat hull structure). Full article
(This article belongs to the Section Ocean Engineering)
Show Figures

Figure 1

17 pages, 1955 KB  
Article
Structural Analysis of Oil-Spill Boom Grounding at Low Tide
by Frédéric Muttin
J. Mar. Sci. Eng. 2025, 13(10), 1984; https://doi.org/10.3390/jmse13101984 - 16 Oct 2025
Viewed by 142
Abstract
Oil-spill booms in shallow waters and high tidal amplitudes could ground on the seabed and retain high amounts of seawater. The object of this study is to estimate the mooring force at both boom section ends and the occurrence of submarining observed along [...] Read more.
Oil-spill booms in shallow waters and high tidal amplitudes could ground on the seabed and retain high amounts of seawater. The object of this study is to estimate the mooring force at both boom section ends and the occurrence of submarining observed along the crest line. We use a Lagrangian linear elastic membrane theory incorporating the non-linear Green strain tensor and a non-updated hydrostatic or hydrodynamic load. We describe a numerical method using geometrically non-linear finite elements and 2D vertical hydrostatic pressure estimation. The calculated results indicate the role of hydrostatic pressure caused by the water height difference—several centimeters at the mid-section—and the influence of the elasticity module. We consolidate the mooring force results by supposing 2D horizontal hydrodynamic pressure. We associate the current velocity that produces the same mooring force with that generated by the hydrostatic load. The associated Froude number is close to 0.8. Full article
Show Figures

Figure 1

Previous Issue
Back to TopTop