Position Calibration of Shallow-Sea Hydrophone Arrays in Reverberant Environments
Abstract
1. Introduction
- (1)
- This paper combines the Particle Swarm Optimization (PSO) algorithm with the Time Difference of Arrival (TDOA) algorithm to propose a horizontal calibration algorithm for seabed hydrophone arrays, then verifies the effectiveness of the proposed algorithm using experimental data.
- (2)
- Aiming to address the difficulty of depth correction in seabed hydrophone arrays, this paper utilizes the multipath signal propagation mode in shallow-sea environments to propose a depth correction formula based on the known time delay difference between LOS and NLOS waves together with the horizontal position of the hydrophone. We combine this formula with the PSO algorithm to obtain the proposed PSO NLOS–LOS depth correction algorithm, then verify the effectiveness of the proposed algorithm through simulations and experiments.
- (3)
- This paper compensates for the specific time delay of the signals received by seabed hydrophones based on the corrected three-dimensional position information of the seabed hydrophones and the GPS position information of the support ship, resulting in improved positioning accuracy of the seabed hydrophone array.
2. Analysis of System Model
2.1. Calibration Model of Underwater Hydrophone
2.2. Time Difference of Arrival Algorithm
2.3. The Current Particle Swarm Optimization Algorithm
3. NLOS-LOS Time Delay Difference Deep Correction
3.1. Principle Analysis
3.2. Error Analysis
4. Overview of the Correction Algorithm
Algorithm 1 Seafloor hydrophone calibration and its localization algorithm. |
|
- (1)
- In shallow-sea environments, the ranging error caused by sound ray refraction due to the influence of the sound speed profile is relatively small. Compared with the complex deep-sea environment, the use of relatively simple ray acoustics is more suitable for both horizontal calibration and depth calibration calculations of hydrophones in shallow-sea environments.
- (2)
- Compared with deep-sea environments, the shallow-sea environment allows for an area where LOS and NLOS waves coexist under the condition of a relatively small horizontal distance. Moreover, due to the relatively small horizontal distance, the seabed terrain is relatively flat and the signal-to-noise ratio of the signals received by the hydrophone is higher, which makes it easier to implement calibration and calculation.
5. Simulation and Experimental Verification
5.1. Simulation Verification of the Proposed PSO Algorithm in the Horizontal Direction
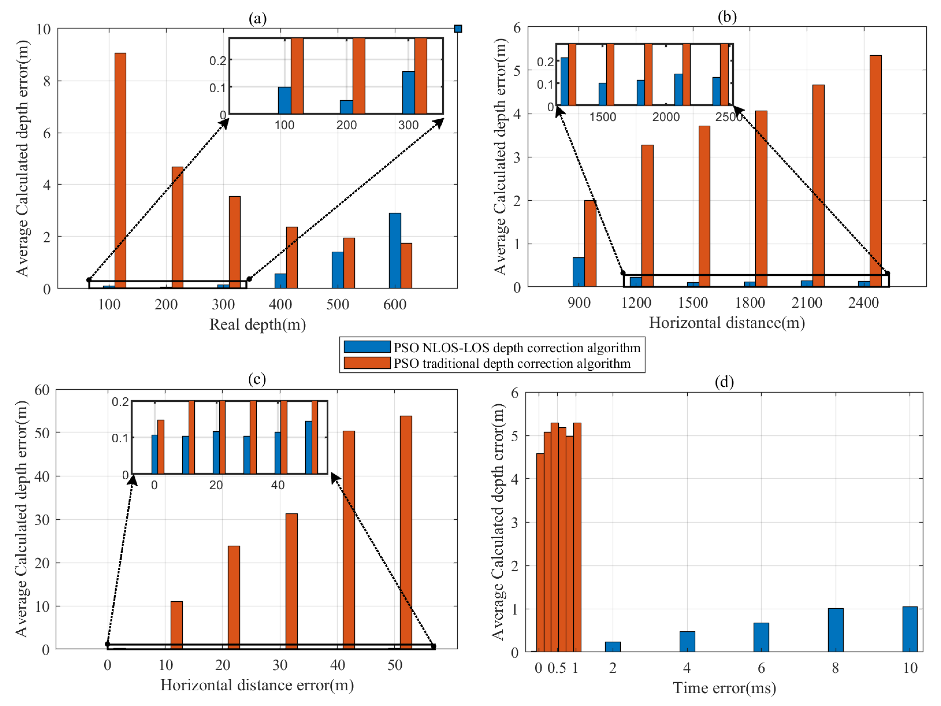
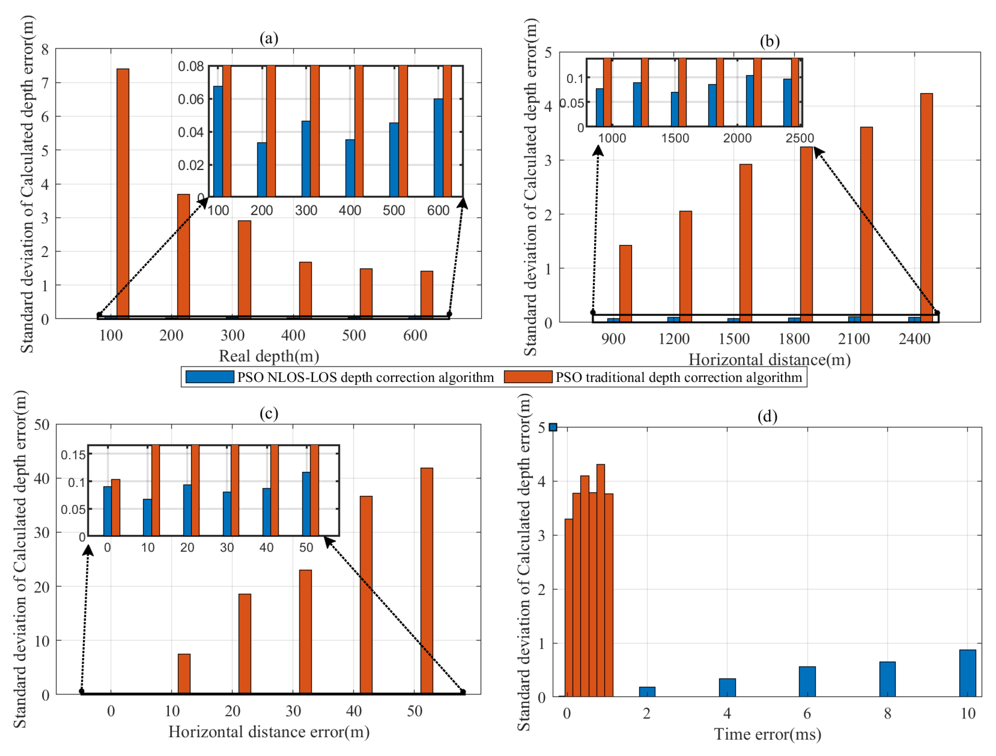
5.2. Simulation Comparison Between Improved Depth Calculation Method and Traditional Method
5.3. Simulation Verification Before the Experiment
5.4. Experimental Verification
6. Discussion
- (1)
- Based on the combination of the existing TDOA algorithm and PSO algorithm and in combination with the huge amount of data obtained in the hydrophone calibration process, we propose an algorithm incorporating an improved fitness function, which we call TDOA+PSO. The effectiveness of the proposed algorithm is proved through both simulation and experiments. As described in Section 5.1, Section 5.3, and Section 5.4, both the average error and the standard deviation of the error are significantly improved compared with the previous algorithm.
- (2)
- Aiming to address the difficulty of depth correction for seabed hydrophone arrays, this paper proposes using the multipath signal propagation mode in the shallow-sea environment to provide a depth correction formula based on the known time delay difference between the LOS wave and NLOS wave together the horizontal position of the hydrophone. By combining this formula with the PSO algorithm, the proposed PSO NLOS–LOS depth correction algorithm is obtained. The effectiveness of the proposed algorithm is verified through simulations and experiments. In Section 3, we demonstrate the advantages of the proposed algorithm under long-range shallow-water conditions through a theoretical analysis. In Section 5.2, simulations under various scenarios verify the algorithm’s robustness and practicality, particularly its tolerance to acoustic ray refraction, NLOS failure rates, and horizontal distance errors. In Section 5.3, full-process simulations further confirm the algorithm’s high tolerance to horizontal distance errors. In Section 5.4, we show that hydrophones with depth calibration can compensate for signal propagation delays, achieving significantly higher real-time positioning accuracy compared to using uncalibrated depth information.
- (3)
- This paper compensates for the specific time delay of the received signals by the seabed hydrophones based on the corrected three-dimensional position information of the seabed hydrophones and the GPS position information of the support ship, which allows the positioning accuracy of the seabed hydrophone array to be improved. As shown in Section 5.4, during the actual sea trial experiments, the TOA algorithm replaced the TDOA algorithm for the hydrophone positioning after propagation delay compensation, significantly improving the localization accuracy of the seabed hydrophone.
7. Conclusions
Author Contributions
Funding
Data Availability Statement
Acknowledgments
Conflicts of Interest
Abbreviations
| NLOS | Non-Line-of-Sight |
| LOS | Line-of-Sight |
| PSO | Particle Swarm Optimization |
| TDOA | Time Difference of Arrival |
References
- Ferguson, B.G.; Carevic, D. Optimal spatial filtering of real data from submarine sonar arrays. In Proceedings of the OCEANS’10 IEEE SYDNEY, Sydney, Australia, 24–27 May 2010; pp. 1–7. [Google Scholar]
- Li, X.; Wang, Y.; Qi, B.; Hao, Y. Long Baseline Acoustic Localization Based on Track-Before-Detect in Complex Underwater Environments. IEEE Trans. Geosci. Remote Sens. 2023, 61, 1–14. [Google Scholar] [CrossRef]
- Li, Z.; Dosso, S.E.; Sun, D. Motion-Compensated Acoustic Localization for Underwater Vehicles. IEEE J. Ocean. Eng. 2016, 41, 840–851. [Google Scholar] [CrossRef]
- Wetter, E.; Seto, M.L. Collaborative AUV Localization and Tracking of an Underway Ship with Adaptive Pinging and a Planner for Trilateration. In Proceedings of the 2022 IEEE Canadian Conference on Electrical and Computer Engineering (CCECE), Halifax, NS, Canada, 18–20 September 2022; pp. 294–299. [Google Scholar]
- Turetta, A.; Casalino, G.; Simetti, E.; Sperindè, A.; Torelli, S. Analysis of the accuracy of a LBL-based underwater localization procedure. In Proceedings of the 2014 Oceans—St. John’s, St. John’s, NL, USA, 14–19 September 2014; pp. 1–7. [Google Scholar]
- Lokhande, S.; Malarkodi, A.; Latha, G.; Srinivasan, S. Autonomous detection, localization and tracking of ships by underwater acoustic sensing using vector sensor array. Appl. Ocean Res. 2025, 154, 104389. [Google Scholar] [CrossRef]
- Yu, M.; Geng, H.; Liu, X. Underwater vehicle positioning method using sound speed error estimation in conjunction with a motion compensation model. Ocean Eng. 2025, 319, 120241. [Google Scholar] [CrossRef]
- Magalhães, R.; Fernandez-Ruiz, M.R.; Costa, L.; Martins, H.F.; Garcia-Ruiz, A.; Martin-Lopez, S.; Williams, E.; Zhan, Z.; Vantilho, R.; Gonzalez-Herraez, M. Underwater seismology using submarine dark fibres. In Proceedings of the 2020 22nd International Conference on Transparent Optical Networks (ICTON), Bari, Italy, 19–23 July 2020; pp. 1–4. [Google Scholar]
- Nagai, T.; Kado, H.; Nakayama, M.; Nakashima, H.; Inoue, M.; Simizu, Y.; Nakagawa, T. Development and field application of composite type submarine cables for coastal wave observation. In Proceedings of the 2003 International Conference Physics and Control. Proceedings (Cat. No.03EX708), Saint Petersburg, Russia, 25–27 June 2003; pp. 39–44. [Google Scholar]
- Kussat, N.; Chadwell, C.; Zimmerman, R. Absolute positioning of an autonomous underwater vehicle using GPS and acoustic measurements. IEEE J. Ocean. Eng. 2005, 30, 153–164. [Google Scholar] [CrossRef]
- Wang, Y.; Zou, N.; Liang, G.-L. A geometric calibration mehtod of hydrophone array with known sources in near field under strong multipath. Acta Phys. Sin. 2015, 64, 024304. [Google Scholar] [CrossRef]
- Li, J.; Li, L.; Yu, F.; Ju, Y.; Ren, J. Application of simulated annealing particle swarm optimization in underwater acoustic positioning optimization. In Proceedings of the OCEANS 2019—Marseille, Marseille, France, 17–20 June 2019; pp. 1–4. [Google Scholar]
- Zhou, Z.; Shi, Y.; Yang, L.; Zhang, R. A TDOA Method for Underwater Target Location Based on Particle Swarm Optimization with Experiment Verification. In Proceedings of the OCEANS 2024—Singapore, Singapore, 12–14 November 2024; pp. 1–5. [Google Scholar]
- Xiong, C.; Yang, B.; Wang, W.; Liu, Y.; Li, X.; Guo, W. A Position Calibration Method for Underwater Fiber Optic Hydrophone Array Based on TDOA and PSO Algorithms. In Proceedings of the 2023 IEEE International Conference on Signal Processing, Communications and Computing (ICSPCC), Zhengzhou, China, 14–17 November 2023; pp. 1–4. [Google Scholar]
- Zhang, G.; Yi, G.; Wei, Z.; Xie, Y.; Qi, Z. A Novel Positional Calibration Method for an Underwater Acoustic Beacon Array Based on the Equivalent Virtual Long Baseline Positioning Model. J. Mar. Sci. Eng. 2024, 12, 825. [Google Scholar] [CrossRef]
- He, Z.; Lei, B.; Yang, Y. Optimization method of operating depth for transmitted acoustic detection of underwater targets. Appl. Acoust. 2025, 237, 110770. [Google Scholar] [CrossRef]
- Ma, T.; Ding, S.; Li, Y.; Fan, J. A review of terrain aided navigation for underwater vehicles. Ocean Eng. 2023, 281, 114779. [Google Scholar] [CrossRef]
- Zhai, D.; Zhang, B.; Li, F.; Zhang, Y.; Yang, X. Passive source depth estimation in shallow water using two horizontally separated hydrophones. Appl. Acoust. 2022, 192, 108723. [Google Scholar] [CrossRef]
- Zhao, C.; Liang, G.; Wang, J.; Qiu, L.; Liu, G.; Dong, W. Single-hydrophone-based passive localization for vertically moving targets in shallow water. Ocean Eng. 2024, 306, 118062. [Google Scholar] [CrossRef]
- Pei, X.; Ma, X.; Li, X.; Fu, Y. Underwater reverberation suppression method by the symmetry of signal and centrosymmetric arrays. Appl. Acoust. 2024, 221, 109986. [Google Scholar] [CrossRef]
- Wang, S.; Ahmad, N.S. Improved UWB-based indoor positioning system via NLOS classification and error mitigation. Eng. Sci. Technol. Int. J. 2025, 63, 101979. [Google Scholar] [CrossRef]
- Zhang, L.; Wang, H.; He, W.; Wang, X. Acoustic Indoor Localization Based on Range and Relative Velocity in Non-Line-of-Sight Environment. IEEE Sens. J. 2024, 24, 19466–19481. [Google Scholar] [CrossRef]
- Emokpae, L.E.; DiBenedetto, S.; Potteiger, B.; Younis, M. UREAL: Underwater Reflection-Enabled Acoustic-Based Localization. IEEE Sens. J. 2014, 14, 3915–3925. [Google Scholar] [CrossRef]
- Wang, Y.; Zhang, X.; Sun, S.; Wang, J. Underwater navigation using a single beacon based on the time delays of the direct signals and the surface-reflected signals. Appl. Acoust. 2022, 187, 108503. [Google Scholar] [CrossRef]
- Zhang, Y.; Gulliver, T.A.; Wu, H.; Li, J.; Mei, X.; Xian, J.; Li, K.-C. 3-D RSSD Localization Under Mixed Gaussian Noise and NLOS Environments in UWSNs. IEEE Internet Things J. 2025, 12, 28731–28742. [Google Scholar] [CrossRef]
- Cheng, S.; Lu, H.; Lei, X.; Shi, Y. A quarter century of particle swarm optimization. Complex Intell. Syst. 2018, 4, 227–239. [Google Scholar] [CrossRef]
- Sedighizadeh, D.; Masehian, E. Particle Swarm Optimization Methods, Taxonomy and Applications. Int. J. Comput. Theory Eng. 2009, 1, 486–502. [Google Scholar] [CrossRef]
- Garcia-Gonzalo, E.; Fernandez-Martinez, J.L. A Brief Historical Review of Particle Swarm Optimization (PSO). J. Bioinform. Intell. Control 2012, 1, 3–16. [Google Scholar] [CrossRef]
- Li, J.; Tong, F.; Zhou, Y.; Yang, Y.; Hu, Z. Small Size Array Underwater Acoustic DOA Estimation Based on Direction-Dependent Transmission Response. IEEE Trans. Veh. Technol. 2022, 71, 12916–12927. [Google Scholar] [CrossRef]
- Tao, J.; Chang, W.; Cui, W. Vector Field Smoothing for DOA Estimation of Coherent Underwater Acoustic Signals in Presence of a Reflecting Boundary. IEEE Sens. J. 2007, 7, 1152–1158. [Google Scholar] [CrossRef]
- Ning, G.; Xie, L.; Li, X.; Zhang, J. 1D Acoustic Velocity-Independent DOA Estimation Method with Arbitrary Arrays. J. Commun. Inf. Netw. 2020, 5, 121–129. [Google Scholar] [CrossRef]
- Wang, J.; Quan, T.; Jiao, L.; Zhang, W.; Gullive, T.A.; Yang, X. DOA Estimation of Underwater Acoustic Array Signal Based on Wavelet Transform with Double Branch Convolutional Neural Network. IEEE Trans. Veh. Technol. 2023, 72, 5962–5972. [Google Scholar] [CrossRef]






























| Parameters | Value | Note |
|---|---|---|
| Inertia Weight | 0.8 | |
| Cognitive (Personal) Acceleration Coefficient | 0.5 | , the algorithm is more balanced and can find the global optimal solution at a faster speed |
| Social (Global) Acceleration Coefficient | 0.5 | |
| Velocity update equation | represents the current position; represents the historical optimal position of the particle; g represents the historically optimal position in this particle swarm | |
| Maximum Velocity | ||
| Particle position update equation | ||
| The number of particles | 500 | These parameters are set through simulation. |
| Termination condition | Number of iterations |
| Types of PSO | Parameters | Settings | Note |
|---|---|---|---|
| TDOA+PSO in the previous fitness function | Equation used for particle movement | Equations (11) and (12) | [14] |
| Maximum Position Bounds | |||
| Minimum Position Bounds | |||
| TDOA+PSO in the proposed fitness function | Equation used for particle movement | Equations (32) and (33) | k = 0.2 The algorithm proposed in this paper |
| Maximum Position Bounds | |||
| Minimum Position Bounds | |||
| PSO traditional depth correction algorithm | Equation used for particle movement | Equations (34) and (35) | = 0.2 Traditional depth solution methods such as USBL and LBL |
| Maximum Position Bounds | |||
| Minimum Position Bounds | |||
| PSO NLOS–LOS depth correction algorithm | Equation used for particle movement | Equations (36) and (37) | = 0.2 The algorithm proposed in this paper |
| Maximum Position Bounds | |||
| Minimum Position Bounds |
| Category | Parameters | Value |
|---|---|---|
| Condition of support ship | Navigation trajectory of the supporting ship | Circular trajectory with a radius of 2000 m |
| GPS accuracy of the support ship | 2 m | |
| Number of signals emitted by the sound source during the voyage | 300 | |
| Propagation delay error | LOS waves | s level |
| LOS in special cases | There is a probability that the error is s. | |
| Situation of seabed hydrophone array | Formation | Circle |
| Array radius | 100 m, 300 m…1500 m | |
| Number of hydrophones | Sixteen hydrophones for each radius, totaling 128 hydrophones | |
| Seabed depth | Around 200 m |
| Category | Parameters | Value |
|---|---|---|
| Condition of supporting ship | Navigation trajectory of the support ship | Circular trajectory with a radius of 2000 m |
| GPS accuracy of the supporting ship | 2 m | |
| Number of signals emitted by the sound source during the voyage | 300 | |
| Propagation delay error | LOS waves | s level |
| LOS in special cases | There is a probability that the error is s. | |
| NLOS waves | s level | |
| NLOS in special cases | There is a probability that the error is s. | |
| Situation of seabed hydrophone array | Formation | Circle |
| Array radius | 400 m | |
| Number of hydrophones | 128 hydrophones | |
| Seabed depth | Around 200 m |
| Category | Parameters | Value |
|---|---|---|
| Sea state and condition of support ship | Sea state | Level 1–2 |
| Navigation trajectory of the support ship | Circular trajectory with a radius of 2000 m | |
| GPS accuracy of the support ship | 2 m | |
| Calibration signal parameters | Signal form | Linear frequency modulation signal |
| Pulse width | 0.1 s | |
| Bandwidth | 2 kHz | |
| Initial frequency | 2.2 kHz | |
| Signal transmission period | 10 s | |
| Situation of seabed hydrophone array | Formation | Circle with a radius of around 400 m |
| Number of hydrophones | 124 | |
| Sampling frequency | 10 kHz | |
| Seabed depth | Around 200 m |
| Category | Method | Error |
|---|---|---|
| Positioning error of the hydrophone array calibrated only in the horizontal direction | TDOA+Depth correction | ≤228 m |
| TDOA+PSO in the previous fitness function [14,15] | ≤102 m | |
| TDOA+PSO in the proposed fitness function | ≤80 m | |
| Positioning error of the hydrophone array after horizontal direction and depth calibration | TDOA+Depth correction | ≤16 m |
| TDOA+PSO in the previous fitness function+Depth correction | ≤14 m | |
| TDOA+PSO in the proposed fitness function+Depth correction | ≤12 m |
Disclaimer/Publisher’s Note: The statements, opinions and data contained in all publications are solely those of the individual author(s) and contributor(s) and not of MDPI and/or the editor(s). MDPI and/or the editor(s) disclaim responsibility for any injury to people or property resulting from any ideas, methods, instructions or products referred to in the content. |
© 2025 by the authors. Licensee MDPI, Basel, Switzerland. This article is an open access article distributed under the terms and conditions of the Creative Commons Attribution (CC BY) license (https://creativecommons.org/licenses/by/4.0/).
Share and Cite
Xiong, C.; Yang, B.; Wang, W.; Liu, Y.; Liu, T.; Yu, D.; Li, C. Position Calibration of Shallow-Sea Hydrophone Arrays in Reverberant Environments. J. Mar. Sci. Eng. 2025, 13, 1922. https://doi.org/10.3390/jmse13101922
Xiong C, Yang B, Wang W, Liu Y, Liu T, Yu D, Li C. Position Calibration of Shallow-Sea Hydrophone Arrays in Reverberant Environments. Journal of Marine Science and Engineering. 2025; 13(10):1922. https://doi.org/10.3390/jmse13101922
Chicago/Turabian StyleXiong, Changjing, Bo Yang, Wei Wang, Yeyao Liu, Tianli Liu, Dahai Yu, and Chuanhe Li. 2025. "Position Calibration of Shallow-Sea Hydrophone Arrays in Reverberant Environments" Journal of Marine Science and Engineering 13, no. 10: 1922. https://doi.org/10.3390/jmse13101922
APA StyleXiong, C., Yang, B., Wang, W., Liu, Y., Liu, T., Yu, D., & Li, C. (2025). Position Calibration of Shallow-Sea Hydrophone Arrays in Reverberant Environments. Journal of Marine Science and Engineering, 13(10), 1922. https://doi.org/10.3390/jmse13101922

