Three-Dimensional Trajectory Tracking for Underactuated Quadrotor-like Autonomous Underwater Vehicles Subject to Input Saturation
Abstract
1. Introduction
- ➢
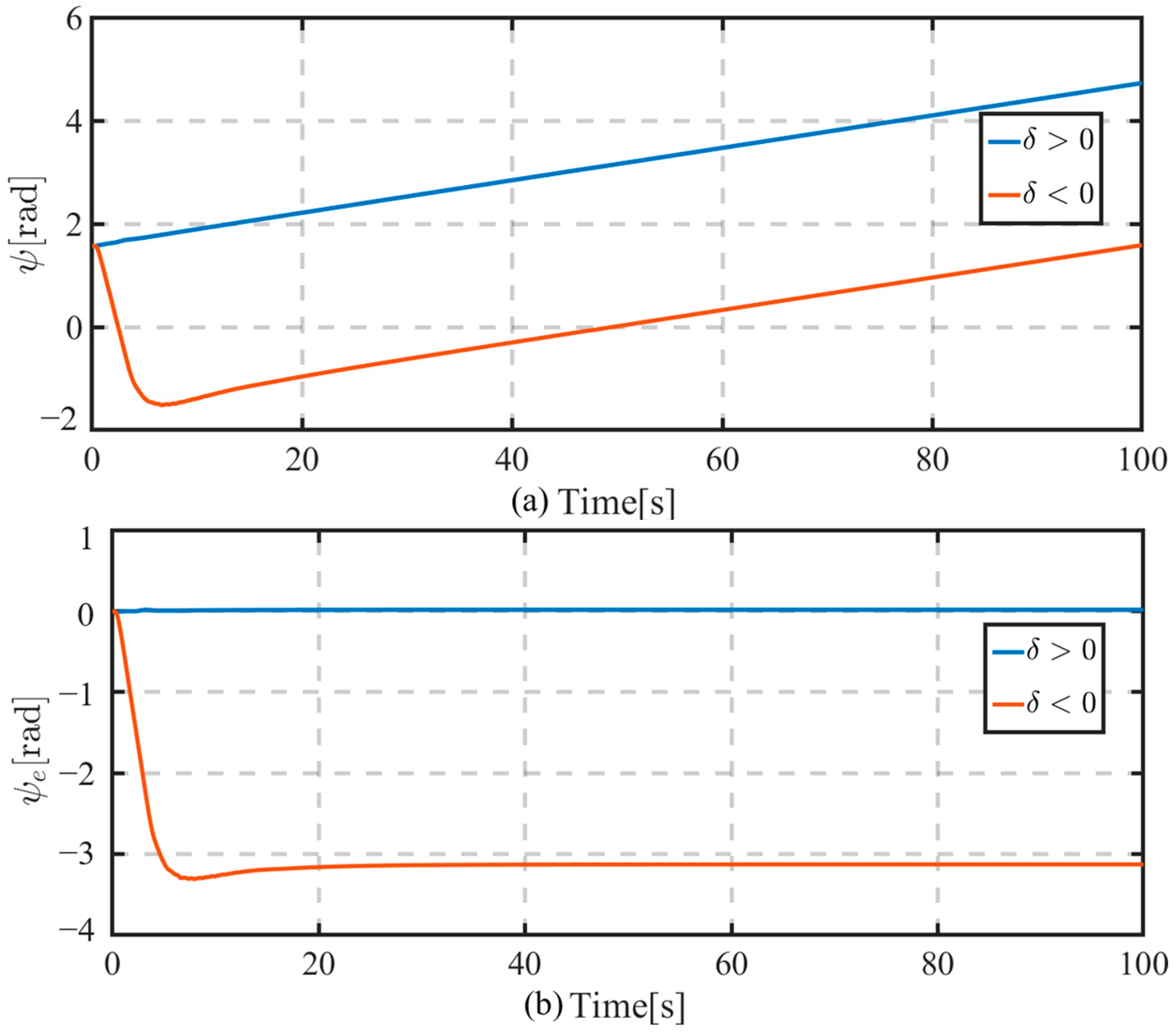
- Motivated by [15], a hand position method with a signum is proposed to map the position error onto the velocity vector in the surge, heave, and yaw directions. The three-dimensional trajectory tracking in the same yaw angle as the desired one can be achieved whatever ’s signum is;
- ➢
- The DSC technique is integrated with the control law to overcome the problem of explosion of complexity in backstepping, and an anti-windup dynamic system is introduced to handle actuator saturation;
- ➢
- Phase plane analysis are used to analyze the convergence of the yaw dynamics of the QAUV.
2. Problem Formulation
2.1. QAUV Model
2.2. Control Objective
3. Controller Design
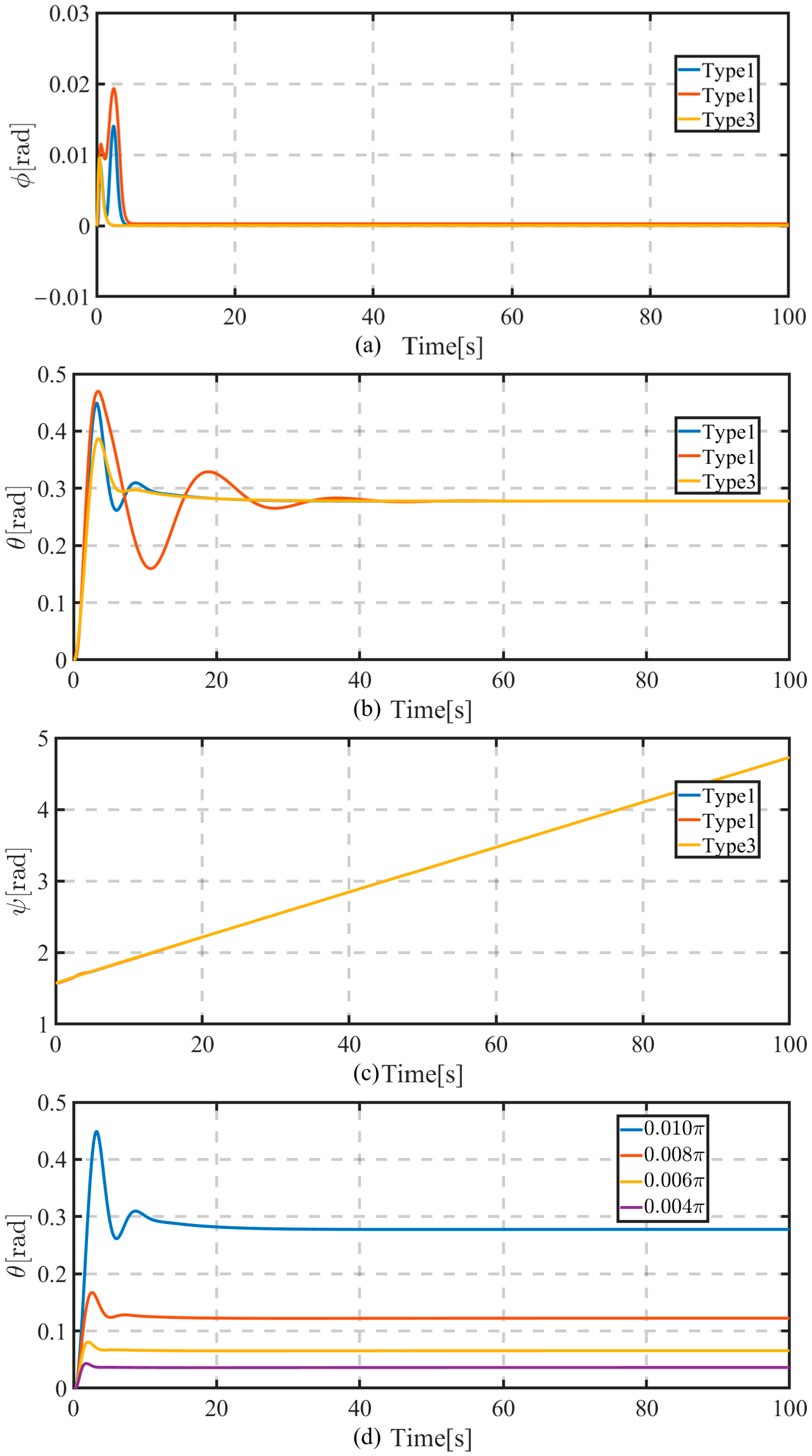
3.1. Roll Controller
3.2. Position Controller
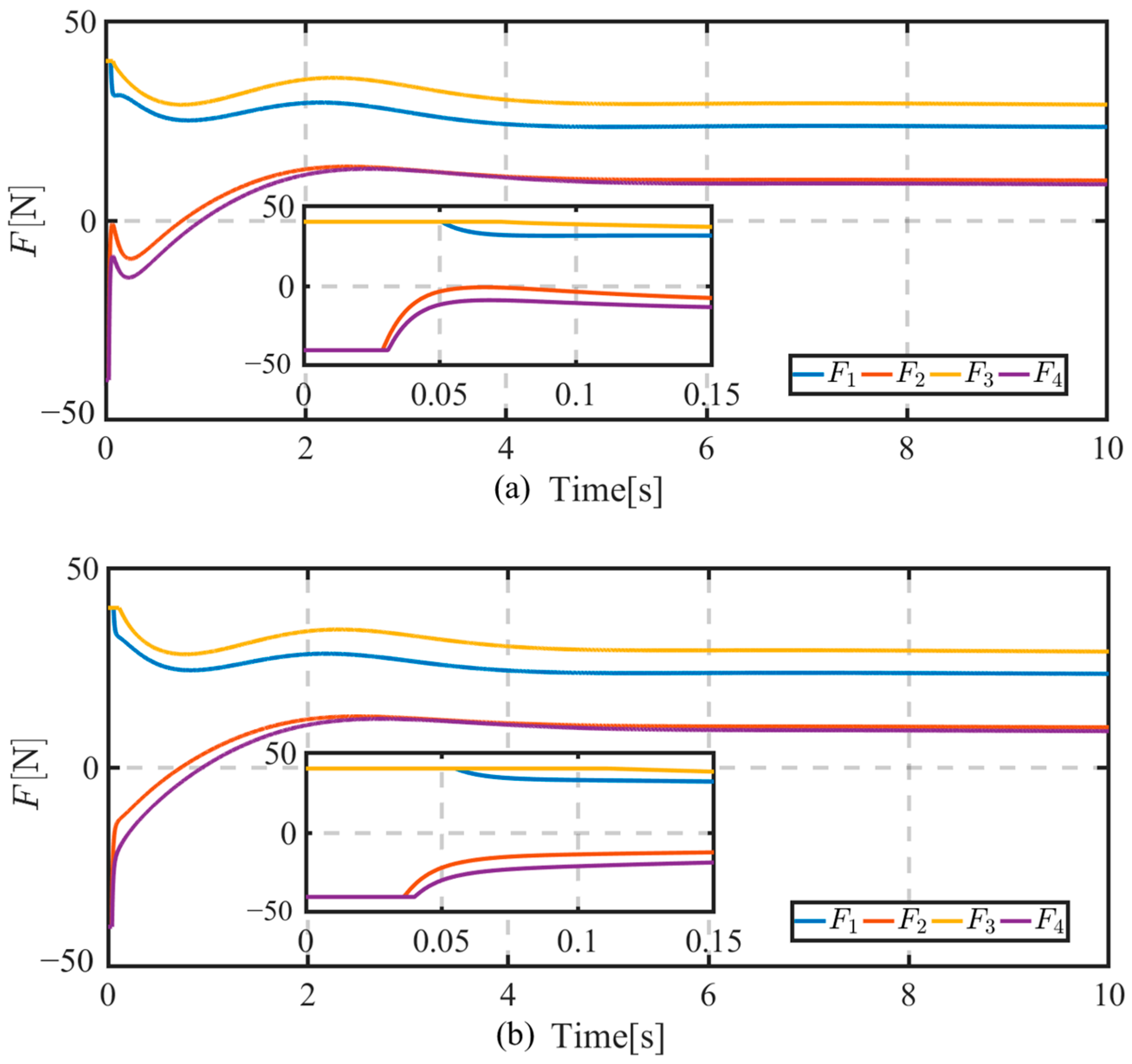
3.3. Actuator Saturation Handling
4. Stability Analysis
4.1. The Convergence of
4.2. The Convergence of and
4.3. The Convergence of
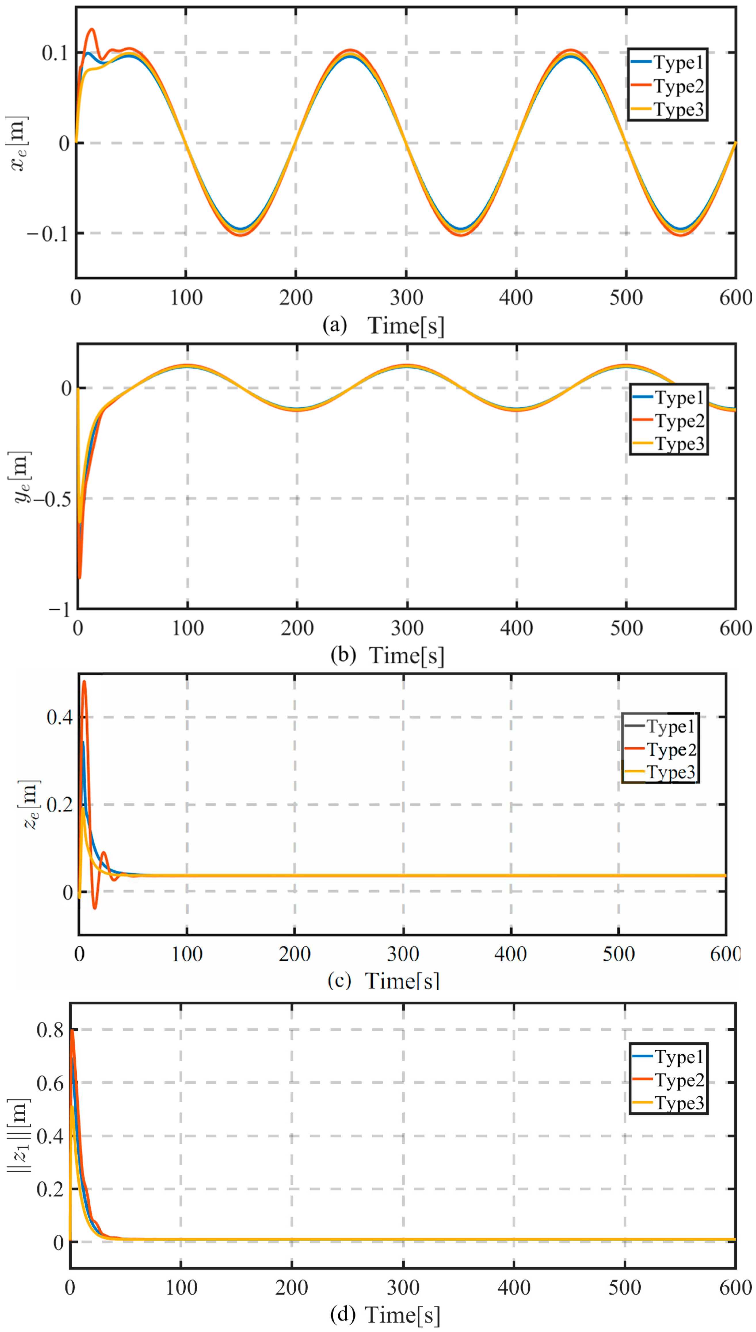
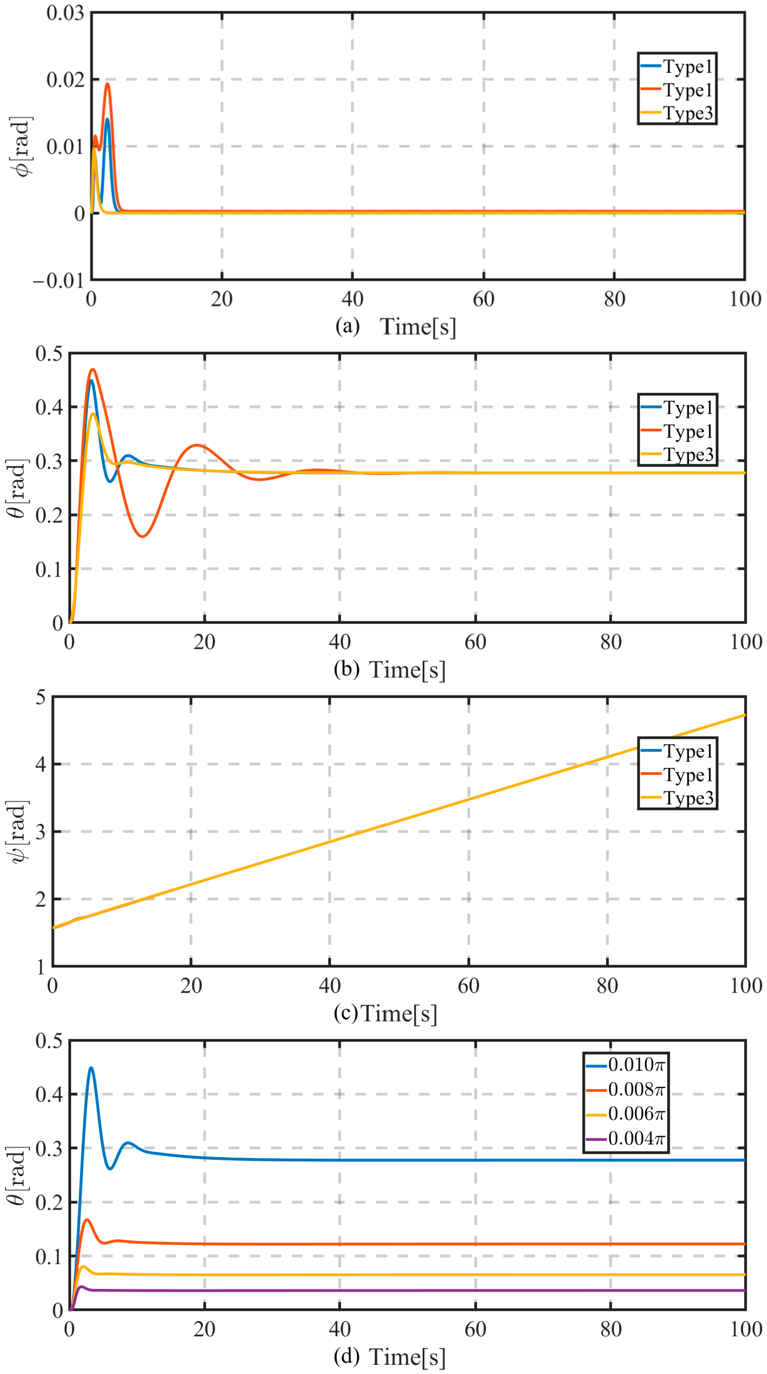
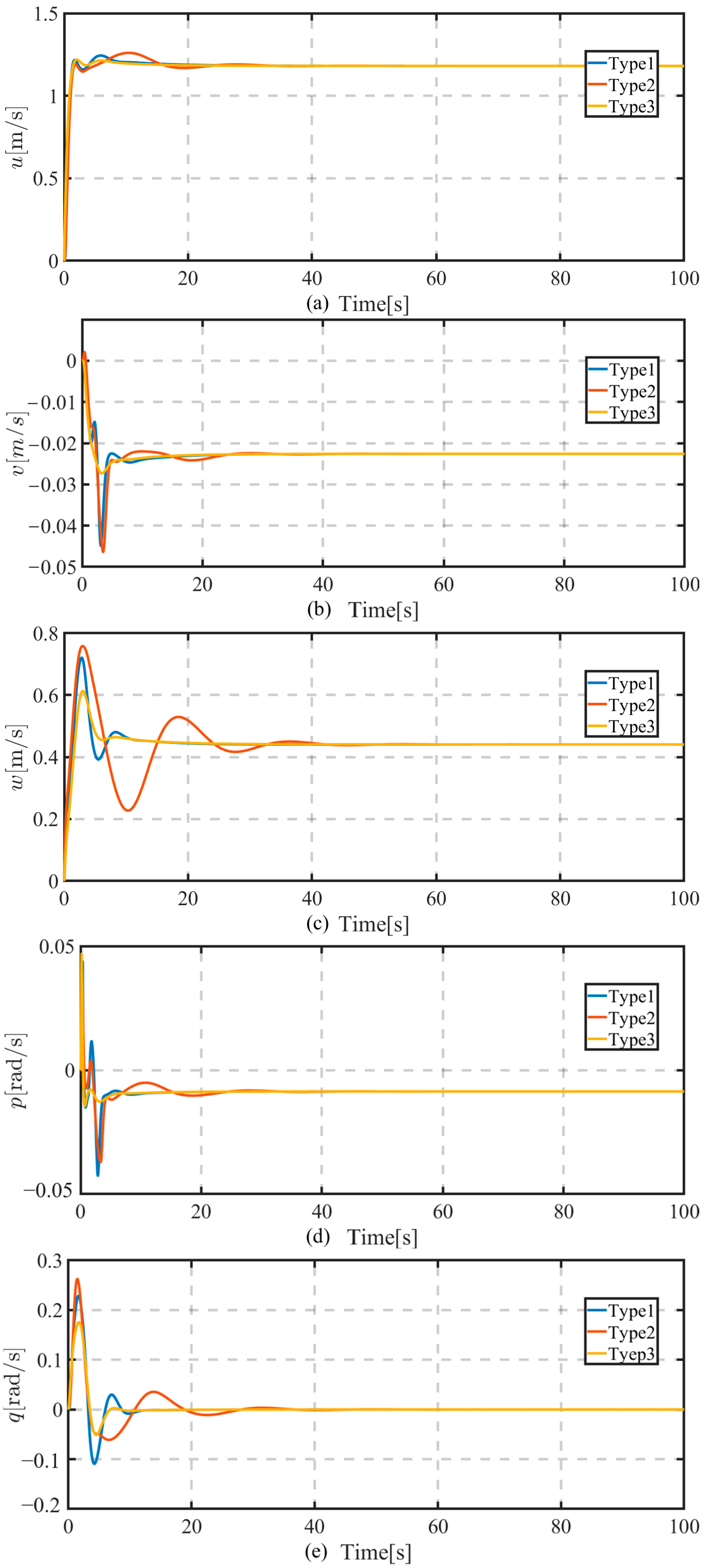
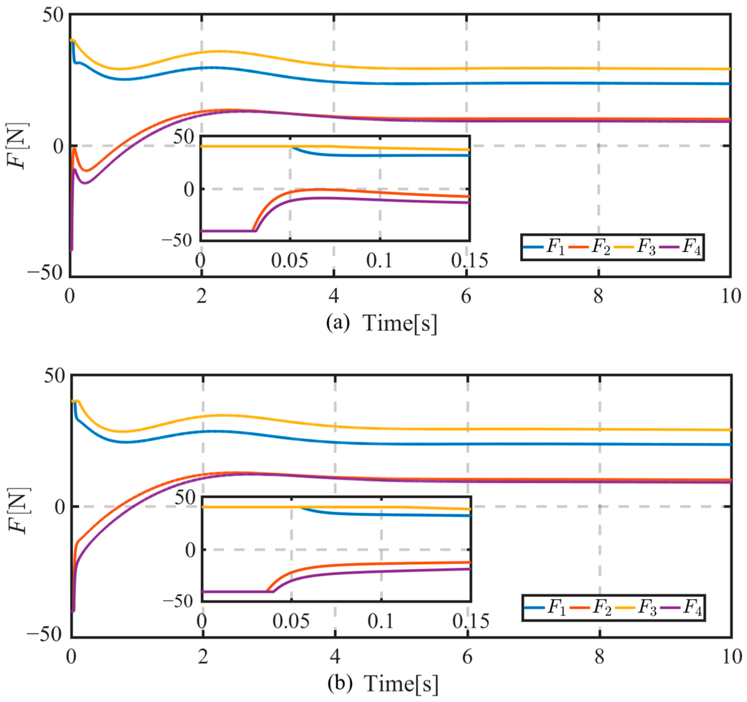
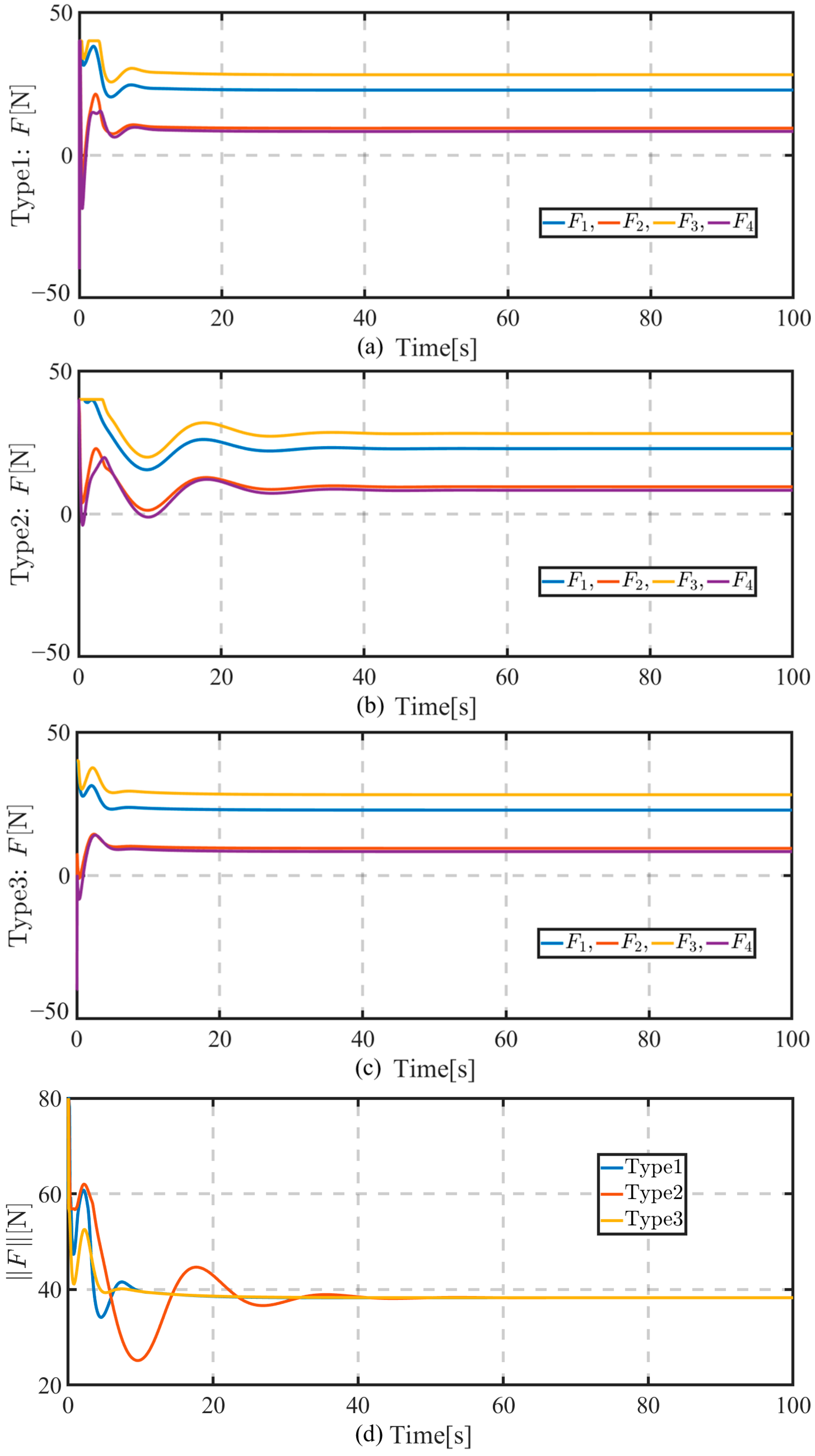
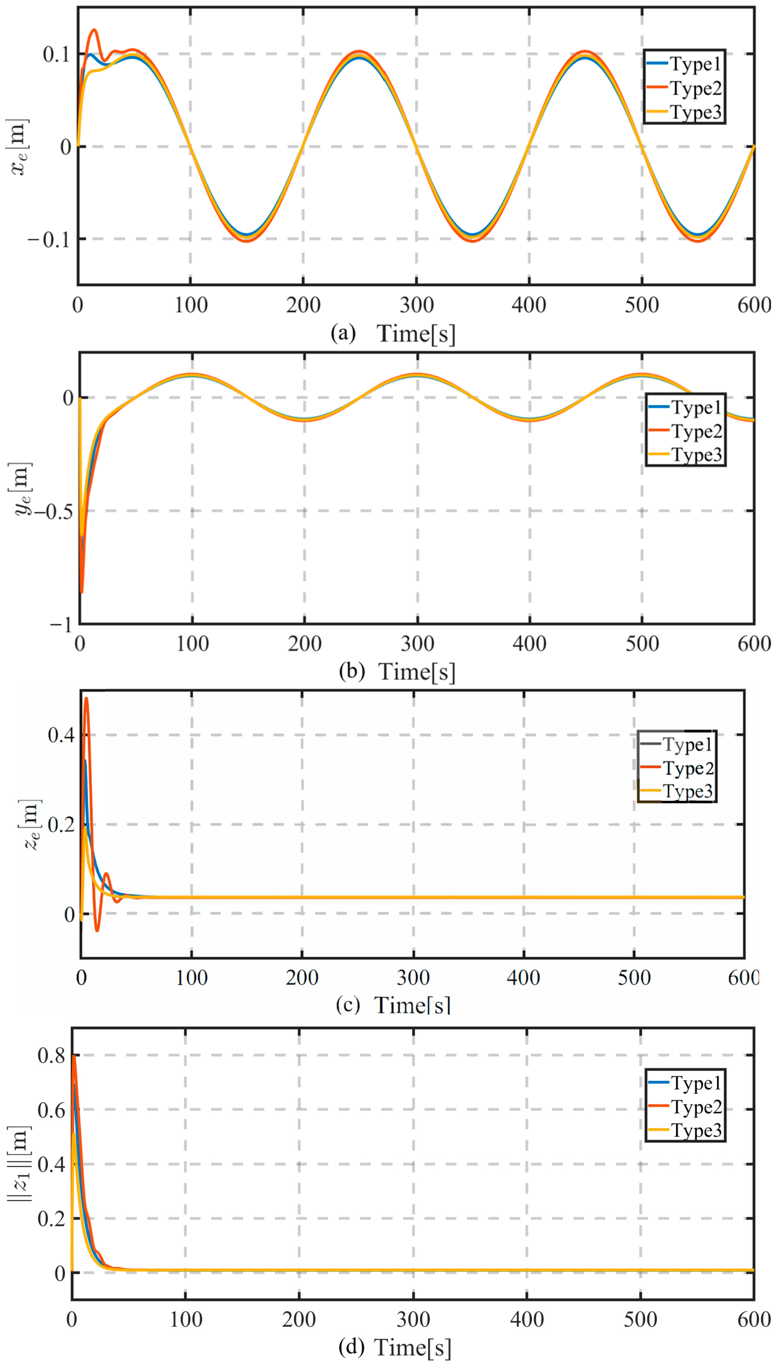
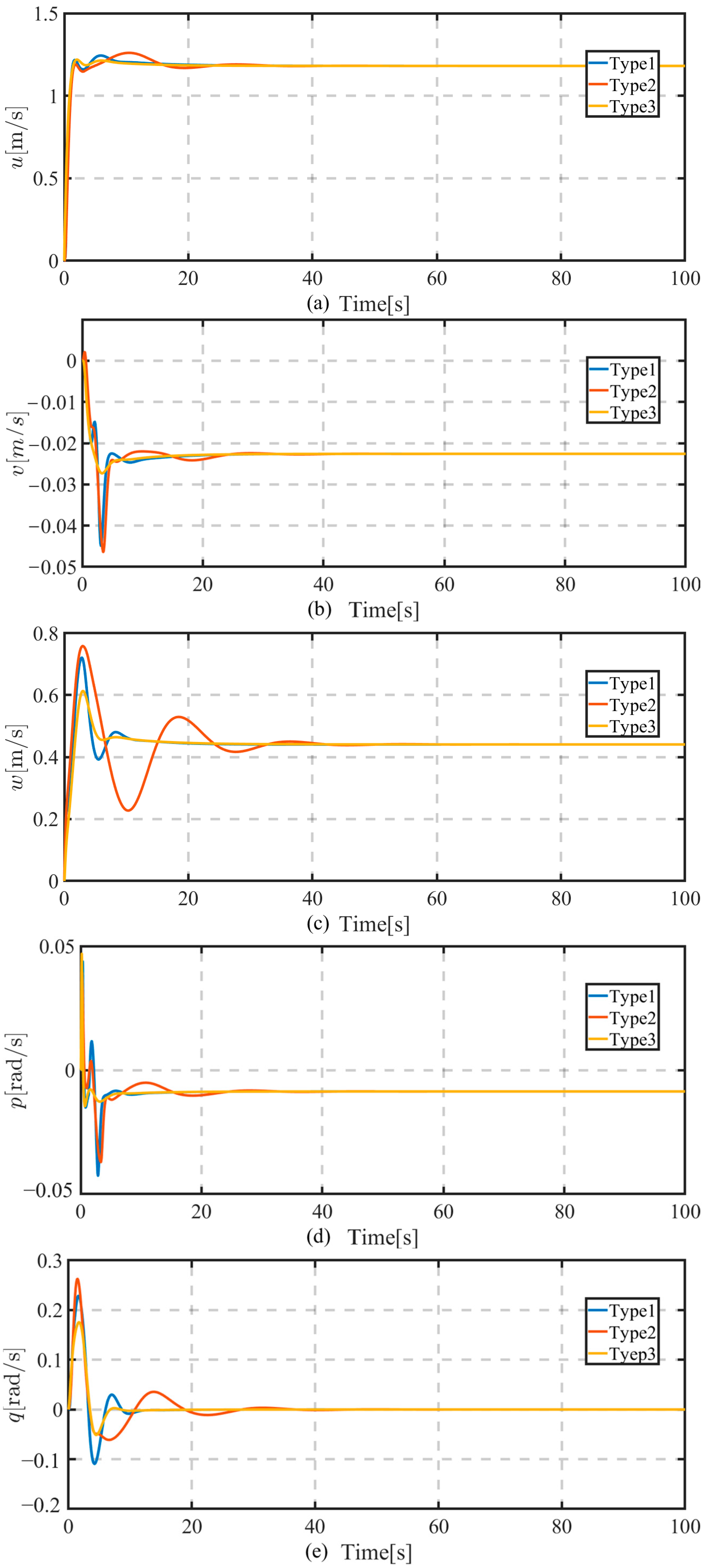
5. Simulation Results
- ✧
- Type1: The proposed controller (21) with DSC techniques but without the arctan function;
- ✧
- Type2: The proposed controller without DSC techniques and the arctan function;
- ✧
- Type3: The proposed controller with both DSC techniques and the arctan function.
6. Conclusions
Author Contributions
Funding
Data Availability Statement
Conflicts of Interest
Appendix A
References
- Peng, Z.; Wang, J.; Wang, D.; Han, Q. An overview of recent advances in coordinated control of multiple autonomous surface vehicles. IEEE Trans. Ind. Inform. 2021, 17, 732–745. [Google Scholar] [CrossRef]
- Zhang, B.; Ji, D.; Liu, S.; Zhu, X.; Xu, W. Autonomous Underwater Vehicle navigation: A review. Ocean Eng. 2023, 273, 113861. [Google Scholar] [CrossRef]
- Yin, L.; Yan, Z.; Tian, Q.; Li, H.; Xu, J. A novel robust algorithm for path planning of multiple autonomous underwater vehicles in the environment with ocean currents. Ocean Eng. 2024, 312, 119260. [Google Scholar] [CrossRef]
- Liu, G.; Chen, L.; Liu, K.; Luo, Y. A swarm of unmanned vehicles in the shallow ocean: A survey. Neurocomputing 2023, 532, 74–86. [Google Scholar] [CrossRef]
- Do, K.; Jiang, Z.; Pan, J. Universal controllers for stabilization and tracking of underactuated ships. Syst. Control Lett. 2002, 47, 299–317. [Google Scholar] [CrossRef]
- Zhong-Ping, J.; Nijmeijer, H. A recursive technique for tracking control of nonholonomic systems in chained form. IEEE Trans. Autom. Control 1999, 44, 265–279. [Google Scholar] [CrossRef]
- Samson, C. Control of chained systems application to path following and time-varying point-stabilization of mobile robots. IEEE Trans. Autom. Control 1995, 40, 64–77. [Google Scholar] [CrossRef]
- Guerrero, J.; Chemori, A.; Creuze, V.; Torres, J.; Campos, E. Saturated STA-based sliding-mode tracking control of AUVs: Design, stability analysis, and experiments. Ocean Eng. 2024, 301, 117520. [Google Scholar] [CrossRef]
- Li, B.; Gao, X.; Huang, H.; Yang, H. Improved adaptive twisting sliding mode control for trajectory tracking of an AUV subject to uncertainties. Ocean Eng. 2024, 297, 116204. [Google Scholar] [CrossRef]
- Liu, Y.; Liu, J.; Wang, Q.; Yu, J. Adaptive Command Filtered Backstepping Tracking Control for AUVs Considering Model Uncertainties and Input Saturation. IEEE Trans. Circuits Syst. II Express Briefs 2023, 70, 1475–1479. [Google Scholar] [CrossRef]
- Han, S.; Zhao, J.; Li, X.; Yu, J.; Wang, S.; Liu, Z. Online Path Planning for AUV in Dynamic Ocean Scenarios: A Lightweight Neural Dynamics Network Approach. IEEE Trans. Intell. Veh. 2024, 9, 3782–3795. [Google Scholar] [CrossRef]
- Paliotta, C.; Lefeber, E.; Pettersen, K.Y.; Pinto, J.; Costa, M.; de Figueiredo Borges de Sousa, J.T. Trajectory Tracking and Path Following for Underactuated Marine Vehicles. IEEE Trans. Control Syst. Technol. 2019, 27, 1423–1437. [Google Scholar] [CrossRef]
- Shojaei, K.; Arefi, M.M. On the neuro-adaptive feedback linearising control of underactuated autonomous underwater vehicles in three-dimensional space. IET Control Theory Appl. 2015, 9, 1264–1273. [Google Scholar] [CrossRef]
- Yan, Z.; Wang, M.; Xu, J. Robust adaptive sliding mode control of underactuated autonomous underwater vehicles with uncertain dynamics. Ocean Eng. 2019, 173, 802–809. [Google Scholar] [CrossRef]
- Li, Y.; Wei, C.; Wu, Q.; Chen, P.; Jiang, Y.; Li, Y. Study of 3 dimension trajectory tracking of underactuated autonomous underwater vehicle. Ocean Eng. 2015, 105, 270–274. [Google Scholar] [CrossRef]
- Lawton, J.R.T.; Beard, R.W.; Young, B.J. A decentralized approach to formation maneuvers. IEEE Trans. Robot. Autom. 2003, 19, 933–941. [Google Scholar] [CrossRef]
- Rodríguez-Seda, E.J.; Tang, C.; Spong, M.W.; Stipanović, D.M. Trajectory tracking with collision avoidance for nonholonomic vehicles with acceleration constraints and limited sensing. Int. J. Robot. Res. 2014, 33, 1569–1592. [Google Scholar] [CrossRef]
- Jiang, Z.P. Global tracking control of underactuated ships by Lyapunov’s direct method. Automatica 2002, 38, 301–309. [Google Scholar] [CrossRef]
- Du, P.; Yang, W.; Chen, Y.; Huang, S. Improved indirect adaptive line-of-sight guidance law for path following of under-actuated AUV subject to big ocean currents. Ocean Eng. 2023, 281, 114729. [Google Scholar] [CrossRef]
- He, L.; Zhang, Y.; Fan, G.; Liu, Y.; Wang, X.; Yuan, Z. Three-Dimensional Path Following Control of Underactuated AUV Based on Nonlinear Disturbance Observer and Adaptive Line-of-Sight Guidance. IEEE Access 2024, 12, 83911–83924. [Google Scholar] [CrossRef]
- Wang, Y.; Du, Z.; Wang, Y.; Du, Z. Trajectory tracking control for an underactuated AUV via nonsingular fast terminal sliding mode approach. J. Mar. Sci. Eng. 2024, 12, 1442. [Google Scholar] [CrossRef]
- Elmokadem, T.; Zribi, M.; Youcef-Toumi, K. Terminal sliding mode control for the trajectory tracking of underactuated Autonomous Underwater Vehicles. Ocean Eng. 2017, 129, 613–625. [Google Scholar] [CrossRef]
- Luo, W.; Liu, S. Disturbance observer based nonsingular fast terminal sliding mode control of underactuated AUV. Ocean Eng. 2023, 279, 114553. [Google Scholar] [CrossRef]
- Zheng, Z.; Huang, Y.; Xie, L.; Zhu, B. Adaptive Trajectory Tracking Control of a Fully Actuated Surface Vessel With Asymmetrically Constrained Input and Output. IEEE Trans. Control Syst. Technol. 2018, 26, 1851–1859. [Google Scholar] [CrossRef]
- Du, J.; Hu, X.; Krstić, M.; Sun, Y. Robust dynamic positioning of ships with disturbances under input saturation. Automatica 2016, 73, 207–214. [Google Scholar] [CrossRef]
- Hu, X.; Wei, X.; Zhang, H.; Han, J.; Liu, X. Robust adaptive tracking control for a class of mechanical systems with unknown disturbances under actuator saturation. Int. J. Robust Nonlinear Control 2019, 29, 1893–1908. [Google Scholar] [CrossRef]
- Hu, X.; Wei, X.; Han, J.; Zhang, Q. Adaptive disturbance rejection for course tracking of marine vessels under actuator constraint. ISA Trans. 2020, 100, 82–91. [Google Scholar] [CrossRef] [PubMed]
- Dai, P.; Yan, B.; Han, T.; Liu, S. Barrier Lyapunov function based model predictive control of a morphing waverider with input saturation and full-state constraints. IEEE Trans. Aerosp. Electron. Syst. 2022, 59, 3071–3081. [Google Scholar] [CrossRef]
- Emami, S.; Castaldi, P.; Narimani, M. On the application of Nussbaum function to the control of constrained nonlinear systems. J. Frankl. Inst. 2025, 362, 107655. [Google Scholar] [CrossRef]
- Xu, J.; Wang, M.; Qiao, L. Dynamical sliding mode control for the trajectory tracking of underactuated unmanned underwater vehicles. Ocean Eng. 2015, 105, 54–63. [Google Scholar] [CrossRef]
- Swaroop, D.; Hedrick, J.K.; Yip, P.P.; Gerdes, J.C. Dynamic surface control for a class of nonlinear systems. IEEE Trans. Autom. Control 2000, 45, 1893–1899. [Google Scholar] [CrossRef]
- Von Ellenrieder, K.D. Dynamic surface control of trajectory tracking marine vehicles with actuator magnitude and rate limits. Automatica 2019, 105, 433–442. [Google Scholar] [CrossRef]
- Baldini, A.; Ciabattoni, L.; Felicetti, R.; Ferracuti, F.; Freddi, A.; Monteriù, A. Dynamic surface fault tolerant control for underwater remotely operated vehicles. ISA Trans. 2018, 78, 10–20. [Google Scholar] [CrossRef]
- Bian, J.; Xiang, J.; Liang, H. A Quadrotor-Like Unmanned Underwater Vehicle. In Proceedings of the 28th IEEE Chinese Conference on Decision and Control, Yinchuan, China, 28–30 May 2016; pp. 6360–6365. [Google Scholar]
- Bian, J.; Xiang, J. QUUV: A quadrotor-like unmanned underwater vehicle with thrusts configured as x shape. Appl. Ocean Res. 2018, 78, 201–211. [Google Scholar] [CrossRef]
- Kou, L.; Xiang, J.; Li, Y.; Bian, J. Yaw Angle Tracking Control for a Quadrotor-Like Autonomous Underwater Vehicle Using Global Fast Terminal Sliding Mode Control. In Proceedings of the IEEE 8th Annual International Conference on CYBER Technology in Automation, Control, and Intelligent Systems (CYBER), Tianjin, China, 19–23 July 2018; pp. 827–832. [Google Scholar]
- Kou, L.; Xiang, J.; Bian, J. Controllability Analysis of a Quadrotor-like Autonomous Underwater Vehicle. In Proceedings of the IEEE 27th International Symposium on Industrial Electronics (ISIE), Cairns, QLD, Australia, 13–15 June 2018; pp. 547–552. [Google Scholar]
- Fossen, T.I. Handbook of Marine Craft Hydrodynamics and Motion Control; Wiley: New York, NY, USA, 2011. [Google Scholar]
- Kou, L.; Xiang, J.; Li, Y.; Bian, J. Stability and nonlinear controllability analysis of a quadrotor-like autonomous underwater vehicle considering variety of cases. Int. J. Adv. Robot. Syst. 2018, 15, 1729881418819401. [Google Scholar] [CrossRef]
- Liu, T.; Zhao, J.; Huang, J.; Li, Z.; Xu, L.; Zhao, B. Research on model predictive control of autonomous underwater vehicle based on physics informed neural network modeling. Ocean Eng. 2024, 304, 117844. [Google Scholar] [CrossRef]
- Liang, X.; Qu, X.; Hou, Y.; Ma, Q. Three-dimensional trajectory tracking control of an underactuated autonomous underwater vehicle based on ocean current observer. Int. J. Adv. Robot. Syst. 2018, 15, 1729881418806811. [Google Scholar] [CrossRef]
- He, S.; Kou, L.; Li, Y.; Xiang, J. Robust orientation-sensitive trajectory tracking of underactuated autonomous underwater vehicles. IEEE Trans. Ind. Electron. 2023, 68, 8464–8473. [Google Scholar] [CrossRef]











| Parameter | Value | Parameter | Value |
|---|---|---|---|
| Index | |xe| | |ye| | |ze| |
|---|---|---|---|
| Type 1 | |||
| Type 2 | |||
| Type 3 |
Disclaimer/Publisher’s Note: The statements, opinions and data contained in all publications are solely those of the individual author(s) and contributor(s) and not of MDPI and/or the editor(s). MDPI and/or the editor(s) disclaim responsibility for any injury to people or property resulting from any ideas, methods, instructions or products referred to in the content. |
© 2025 by the authors. Licensee MDPI, Basel, Switzerland. This article is an open access article distributed under the terms and conditions of the Creative Commons Attribution (CC BY) license (https://creativecommons.org/licenses/by/4.0/).
Share and Cite
Cheng, C.; Han, X.; Xu, P.; Huang, Y.; Kou, L.; Ou, Y. Three-Dimensional Trajectory Tracking for Underactuated Quadrotor-like Autonomous Underwater Vehicles Subject to Input Saturation. J. Mar. Sci. Eng. 2025, 13, 1915. https://doi.org/10.3390/jmse13101915
Cheng C, Han X, Xu P, Huang Y, Kou L, Ou Y. Three-Dimensional Trajectory Tracking for Underactuated Quadrotor-like Autonomous Underwater Vehicles Subject to Input Saturation. Journal of Marine Science and Engineering. 2025; 13(10):1915. https://doi.org/10.3390/jmse13101915
Chicago/Turabian StyleCheng, Chunchun, Xing Han, Pengfei Xu, Yi Huang, Liwei Kou, and Yang Ou. 2025. "Three-Dimensional Trajectory Tracking for Underactuated Quadrotor-like Autonomous Underwater Vehicles Subject to Input Saturation" Journal of Marine Science and Engineering 13, no. 10: 1915. https://doi.org/10.3390/jmse13101915
APA StyleCheng, C., Han, X., Xu, P., Huang, Y., Kou, L., & Ou, Y. (2025). Three-Dimensional Trajectory Tracking for Underactuated Quadrotor-like Autonomous Underwater Vehicles Subject to Input Saturation. Journal of Marine Science and Engineering, 13(10), 1915. https://doi.org/10.3390/jmse13101915

