CO2 Capture and Sequestration by Gas Hydrates: An Overview of the Influence and Chemical Characterization of Natural Compounds and Sediments in Marine Environments
Abstract
1. Introduction
| Method | Advantages | Disadvantages | Cost |
|---|---|---|---|
| Solvent-based absorption (Propylene and amines) [28] | Most consolidated technique | Energy intensive, corrosion problems, solvent degradation and high maintenance cost [29] | between 40 and 100 USD/ton CO2 [30] |
| Inorganic [31] Polymeric Membrane [32,33,34,35] Mixed matrix [36,37,38,39,40] | Better stability at different conditions of temperature, pressure and mechanical strain Possibility to modulate physical properties like porosity Easy and cost-effective synthesis Both permeable and selective Mechanical and thermal stability | Fragile and expensive Not possible to Low stability (chemical and thermal) and plasticization tendency [41] Need for the right proportions of fillers, to avoid lowering mechanical strength | 50 USD/m2 of membrane [42,43] USD/ton CO2 depends on durability of the material USD/ton CO2 depends on durability of the material [28] |
| Geological sequestration [10] | Usage of depleted oil and gas reservoirs and coal seams | high leakage rate and inadequate capacity | Not determined yet |
| Biological Sequestration [13] | Nature-inspired process | Loss of biodiversity In marine ecosystem CCS too low | |
| Mineral sequestration | Formation of stable carbonates [11] | Reactivity depends on the mineral composition [44] | |
| Ocean sequestration [12] | Direct injection from atmosphere | Ocean acidification and perturbation of ecosystems | |
| Storage in clathrates | Stable and with low leakage of CO2 [27] High storage capacity [45] | Still need research on formation and dissociation pathways |
2. Fundamentals of CO2 Hydrates
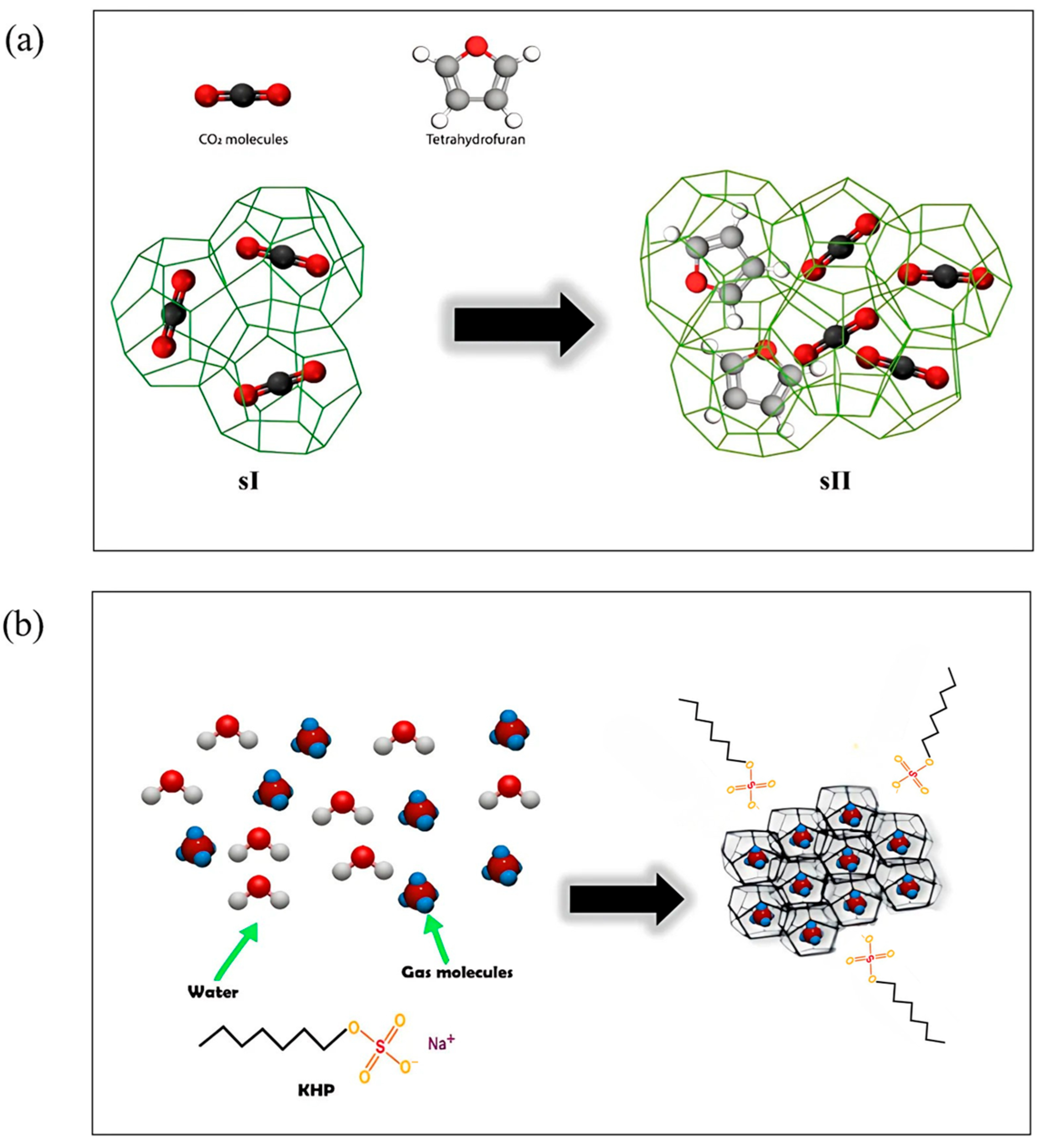
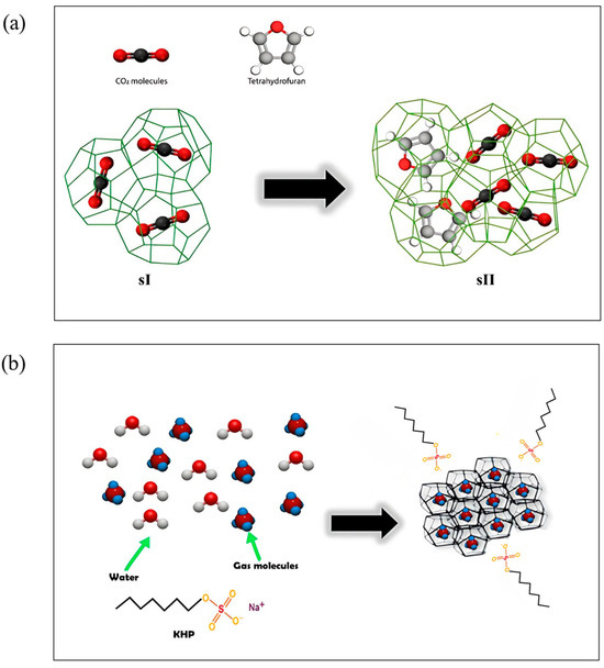
2.1. Structural Characteristics of CO2 Hydrates
2.2. Characterization of CO2 Hydrates
2.3. Thermodynamic and Kinetic Aspects
2.3.1. Thermodynamic Aspects
2.3.2. Kinetic Aspects
3. Promoters and Inhibitors
3.1. Promoters of CO2 Hydrate Formation
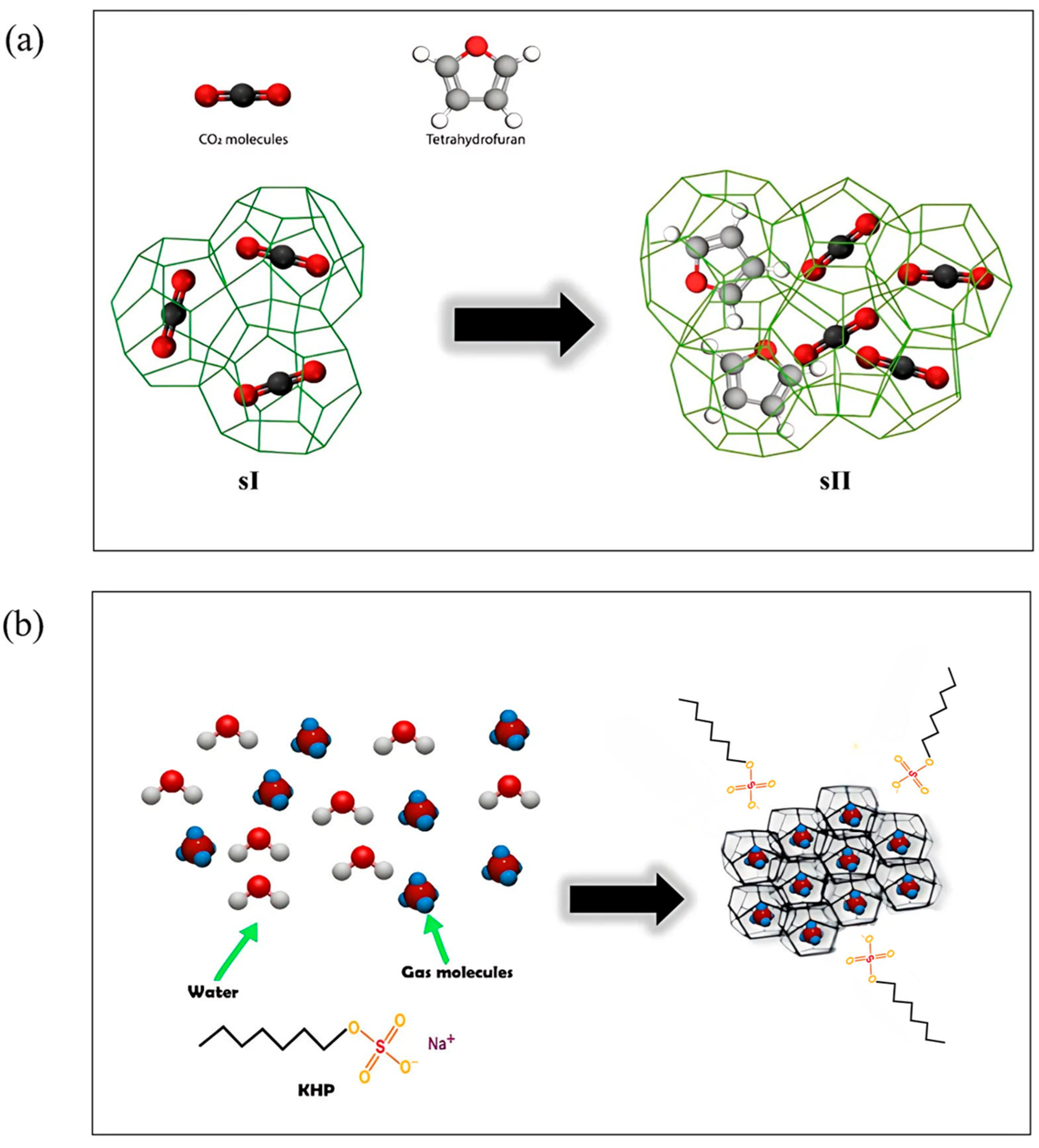
3.1.1. Role of Surfactants and Additives
3.1.2. Influence of Nanoparticles
3.1.3. Memory Effect on Gas Hydrates
3.1.4. Synergistic Effects with Other Gases
3.2. Inhibitors of CO2 Hydrate Formation
4. Effects of Naturally Occurring Compounds on CO2 Hydrate Formation
4.1. Inorganic Fraction
4.1.1. Natural Hydrate-Bearing Sediments
4.1.2. Influence of Sediments
4.1.3. Influence of Salts
4.2. Organic Compounds and Their Impact on Hydrate Stability
4.3. Influence of Amino Acids: Hydrophobic vs. Hydrophilic Effects
Determination of Amino Acids in Seawater
4.4. Peptides and Protein-Based Modulation of Hydrate Growth
Determination of Proteins and Peptides in Seawater
4.5. Role of Humic Substances in Hydrate Formation in Marine and Geological Environments
Determination of Humic Substances in Seawater
5. Challenges and Prospects
6. Conclusions
Author Contributions
Funding
Data Availability Statement
Conflicts of Interest
References
- Canadell, J.G.; Le Quéré, C.; Raupach, M.R.; Field, C.B.; Buitenhuis, E.T.; Ciais, P.; Conway, T.J.; Gillett, N.P.; Houghton, R.A.; Marland, G. Contributions to Accelerating Atmospheric CO2 Growth from Economic Activity, Carbon Intensity, and Efficiency of Natural Sinks. Proc. Natl. Acad. Sci. USA 2007, 104, 18866–18870. [Google Scholar] [CrossRef]
- Hoegh-Guldberg, O.; Jacob, D.; Taylor, M.; Guillén Bolaños, T.; Bindi, M.; Brown, S.; Camilloni, I.A.; Diedhiou, A.; Djalante, R.; Ebi, K.; et al. The Human Imperative of Stabilizing Global Climate Change at 1.5 °C. Science 2019, 365, eaaw6974. [Google Scholar] [CrossRef]
- Bahman, N.; Al-Khalifa, M.; Al Baharna, S.; Abdulmohsen, Z.; Khan, E. Review of Carbon Capture and Storage Technologies in Selected Industries: Potentials and Challenges. Rev. Environ. Sci. Biotechnol. 2023, 22, 451–470. [Google Scholar] [CrossRef]
- Li, H.; Lau, H.C.; Wei, X.; Liu, S. CO2 Storage Potential in Major Oil and Gas Reservoirs in the Northern South China Sea. Int. J. Greenh. Gas Control. 2021, 108, 103328. [Google Scholar] [CrossRef]
- Zhang, X.; Bai, Y.; Zhang, Y. Collaborative Optimization for a Multi-Energy System Considering Carbon Capture System and Power to Gas Technology. Sustain. Energy Technol. Assess. 2022, 49, 101765. [Google Scholar] [CrossRef]
- Teng, Y.; Wang, P.; Jiang, L.; Liu, Y.; Song, Y.; Wei, Y. An Experimental Study of Density-Driven Convection of Fluid Pairs with Viscosity Contrast in Porous Media. Int. J. Heat Mass Transf. 2020, 152, 119514. [Google Scholar] [CrossRef]
- Trends in CO2—NOAA Global Monitoring Laboratory. Available online: https://gml.noaa.gov/ccgg/trends/ (accessed on 19 June 2025).
- Roussanaly, S.; Berghout, N.; Fout, T.; Garcia, M.; Gardarsdottir, S.; Nazir, S.M.; Ramirez, A.; Rubin, E.S. Towards Improved Cost Evaluation of Carbon Capture and Storage from Industry. Int. J. Greenh. Gas. Control 2021, 106, 103263. [Google Scholar] [CrossRef]
- Soo, X.Y.D.; Lee, J.J.C.; Wu, W.Y.; Tao, L.; Wang, C.; Zhu, Q.; Bu, J. Advancements in CO2 Capture by Absorption and Adsorption: A Comprehensive Review. J. CO2 Util. 2024, 81, 102727. [Google Scholar] [CrossRef]
- Schnaar, G.; Digiulio, D.C. Computational Modeling of the Geologic Sequestration of Carbon Dioxide. Vadose Zone J. 2009, 8, 389–403. [Google Scholar] [CrossRef]
- Snæbjörnsdóttir, S.; Sigfússon, B.; Marieni, C.; Goldberg, D.; Gislason, S.R.; Oelkers, E.H. Carbon Dioxide Storage through Mineral Carbonation. Nat. Rev. Earth Environ. 2020, 1, 90–102. [Google Scholar] [CrossRef]
- Sun, X.; Shang, A.; Wu, P.; Liu, T.; Li, Y. A Review of CO2 Marine Geological Sequestration. Processes 2023, 11, 2206. [Google Scholar] [CrossRef]
- Gayathri, R.; Mahboob, S.; Govindarajan, M.; Al-Ghanim, K.A.; Ahmed, Z.; Al-Mulhm, N.; Vodovnik, M.; Vijayalakshmi, S. A Review on Biological Carbon Sequestration: A Sustainable Solution for a Cleaner Air Environment, Less Pollution and Lower Health Risks. J. King Saud Univ. Sci. 2021, 33, 101282. [Google Scholar] [CrossRef]
- Rossi, A.; Ciulla, M.; Canale, V.; Zannotti, M.; Minicucci, M.; Di Profio, P.; Giovannetti, R. Constant Pressure CO2 Replacement of CH4 in Different Hydrate Environments: Structure and Morphology. Energy Fuels 2023, 37, 18968–18976. [Google Scholar] [CrossRef]
- Hashimoto, H.; Yamaguchi, T.; Ozeki, H.; Muromachi, S. Structure-Driven CO2 Selectivity and Gas Capacity of Ionic Clathrate Hydrates. Sci. Rep. 2017, 7, 17216. [Google Scholar] [CrossRef] [PubMed]
- Wang, P.; Li, Y.; Sun, N.; Han, S.; Wang, X.; Su, Q.; Li, Y.; He, J.; Yu, X.; Du, S.; et al. Hydrate Technologies for CO2 Capture and Sequestration: Status and Perspectives. Chem. Rev. 2024, 124, 10363–10385. [Google Scholar] [CrossRef] [PubMed]
- Rukh, M.; Rahman, M.S.; Sakib, K.M.N.; Pantha, S.C.; Hasan, S.; Jabeen, M.; Islam, M.S. A Comprehensive Review of Semi-Clathrate Hydrates for CO2 Capture: Characterizations, Mechanism and Role of Promoters. Carbon. Capture Sci. Technol. 2024, 12, 100217. [Google Scholar] [CrossRef]
- Faraday, M. XIV. On Fluid Chlorine. Philos. Trans. R. Soc. Lond. 1823, 113, 160–165. [Google Scholar] [CrossRef]
- Hammerschmidt, E.G. Formation of Gas Hydrates in Natural Gas Transmission Lines. Ind. Eng. Chem. 1934, 26, 851–855. [Google Scholar] [CrossRef]
- Wróblewski, Z.F. Sur La Combinaison de l’acide Carbonique et de l’eau. In Comptes Rendus de l’Académie des Sciences; Académie des Sciences: Paris, France, 1882; Volume 94. [Google Scholar]
- Yamamoto, K.; Terao, Y.; Fujii, T.; Ikawa, T.; Seki, M.; Matsuzawa, M.; Kanno, T. Operational Overview of the First Offshore Production Test of Methane Hydrates in the Eastern Nankai Trough. Proc. Annu. Offshore Technol. Conf. 2014, 3, 1802–1812. [Google Scholar] [CrossRef]
- Aminnaji, M.; Qureshi, M.F.; Dashti, H.; Hase, A.; Mosalanejad, A.; Jahanbakhsh, A.; Babaei, M.; Amiri, A.; Maroto-Valer, M. CO2 Gas Hydrate for Carbon Capture and Storage Applications—Part 1. Energy 2024, 300, 131579. [Google Scholar] [CrossRef]
- Pei, J.; Chen, J.; Wang, J.; Li, Z.; Li, N.; Kan, J. CO2 Capture Technology Based on Gas Hydrate Method: A Review. Front. Chem. 2024, 12, 1448881. [Google Scholar] [CrossRef] [PubMed]
- Hassanpouryouzband, A.; Joonaki, E.; Vasheghani Farahani, M.; Takeya, S.; Ruppel, C.; Yang, J.; English, N.J.; Schicks, J.M.; Edlmann, K.; Mehrabian, H.; et al. Gas Hydrates in Sustainable Chemistry. Chem. Soc. Rev. 2020, 49, 5225–5309. [Google Scholar] [CrossRef]
- Annavajjala, S.B.; Van Dam, N.; Mahajan, D.; Kosny, J. A Review of CO2 Clathrate Hydrate Technology: From Lab-Scale Preparation to Cold Thermal Energy Storage Solutions. Energies 2025, 18, 2659. [Google Scholar] [CrossRef]
- Liu, T.; Wu, P.; Chen, Z.; Li, Y. Review on Carbon Dioxide Replacement of Natural Gas Hydrate: Research Progress and Perspectives. Energy Fuels 2022, 36, 7321–7336. [Google Scholar] [CrossRef]
- Mahmood, M.N.; Gupta, A.S.; Islam, M.T. CO2 Storage in Natural Gas Hydrate Reservoirs: A Review on Prospects and Challenges Ahead. Next Res. 2024, 1, 100017. [Google Scholar] [CrossRef]
- Asadi, J.; Kazempoor, P. Techno-Economic Analysis of Membrane-Based Processes for Flexible CO2 Capturing from Power Plants. Energy Convers. Manag. 2021, 246, 114633. [Google Scholar] [CrossRef]
- Muhammad, H.A.; Sultan, H.; Lee, B.; Imran, M.; Baek, I.H.; Baik, Y.J.; Nam, S.C. Energy Minimization of Carbon Capture and Storage by Means of a Novel Process Configuration. Energy Convers. Manag. 2020, 215, 112871. [Google Scholar] [CrossRef]
- Merkel, T.C.; Lin, H.; Wei, X.; Baker, R. Power Plant Post-Combustion Carbon Dioxide Capture: An Opportunity for Membranes. J. Memb. Sci. 2010, 359, 126–139. [Google Scholar] [CrossRef]
- Sharma, S.K.; Sanfui, B.K.; Katare, A.; Mandal, B. Fabrication and Performance Evaluation of Industrial Alumina Based Graded Ceramic Substrate for CO2 Selective Amino Silicate Membrane. ACS Appl. Mater. Interfaces 2020, 12, 40269–40284. [Google Scholar] [CrossRef] [PubMed]
- Wang, S.; Li, X.; Wu, H.; Tian, Z.; Xin, Q.; He, G.; Peng, D.; Chen, S.; Yin, Y.; Jiang, Z.; et al. Advances in High Permeability Polymer-Based Membrane Materials for CO2 Separations. Energy Environ. Sci. 2016, 9, 1863–1890. [Google Scholar] [CrossRef]
- Mitchell, J.K. On the Penetrativeness of Fluids. J. Memb. Sci. 1995, 100, 11–16. [Google Scholar] [CrossRef]
- Graham, T. On the Absorption and Dialytic Separation of Gases by Colloid Septa. J. Frankl. Inst. 1867, 83, 39–41. [Google Scholar] [CrossRef]
- Bermeshev, M.V.; Syromolotov, A.V.; Gringolts, M.L.; Starannikova, L.E.; Yampolskii, Y.P.; Finkelshtein, E.S. Synthesis of High Molecular Weight Poly [3-{tris(Trimethylsiloxy)Silyl} Tricyclononenes-7] and Their Gas Permeation Properties. Macromolecules 2011, 44, 6637–6640. [Google Scholar] [CrossRef]
- Vinoba, M.; Bhagiyalakshmi, M.; Alqaheem, Y.; Alomair, A.A.; Pérez, A.; Rana, M.S. Recent Progress of Fillers in Mixed Matrix Membranes for CO2 Separation: A Review. Sep. Purif. Technol. 2017, 188, 431–450. [Google Scholar] [CrossRef]
- Nasir, R.; Mukhtar, H.; Man, Z.; Mohshim, D.F. Material Advancements in Fabrication of Mixed-Matrix Membranes. Chem. Eng. Technol. 2013, 36, 717–727. [Google Scholar] [CrossRef]
- Wong, K.K.; Jawad, Z.A. A Review and Future Prospect of Polymer Blend Mixed Matrix Membrane for CO2 Separation. J. Polym. Res. 2019, 26, 289. [Google Scholar] [CrossRef]
- Kanehashi, S.; Scholes, C.A. Perspective of Mixed Matrix Membranes for Carbon Capture. Front. Chem. Sci. Eng. 2020, 14, 460–469. [Google Scholar] [CrossRef]
- Dong, G.; Li, H.; Chen, V. Challenges and Opportunities for Mixed-Matrix Membranes for Gas Separation. J. Mater. Chem. A Mater. 2013, 1, 4610–4630. [Google Scholar] [CrossRef]
- Suleman, M.S.; Lau, K.K.; Yeong, Y.F. Plasticization and Swelling in Polymeric Membranes in CO2 Removal from Natural Gas. Chem. Eng. Technol. 2016, 39, 1604–1616. [Google Scholar] [CrossRef]
- Arias, A.M.; Mussati, M.C.; Mores, P.L.; Scenna, N.J.; Caballero, J.A.; Mussati, S.F. Optimization of Multi-Stage Membrane Systems for CO2 Capture from Flue Gas. Int. J. Greenh. Gas. Control 2016, 53, 371–390. [Google Scholar] [CrossRef]
- Xu, J.; Wang, Z.; Qiao, Z.; Wu, H.; Dong, S.; Zhao, S.; Wang, J. Post-Combustion CO2 Capture with Membrane Process: Practical Membrane Performance and Appropriate Pressure. J. Memb. Sci. 2019, 581, 195–213. [Google Scholar] [CrossRef]
- Rashid, M.I.; Yaqoob, Z.; Mujtaba, M.A.; Fayaz, H.; Saleel, C.A. Developments in Mineral Carbonation for Carbon Sequestration. Heliyon 2023, 9, e21796. [Google Scholar] [CrossRef]
- Zheng, J.; Chong, Z.R.; Qureshi, M.F.; Linga, P. Carbon Dioxide Sequestration via Gas Hydrates: A Potential Pathway toward Decarbonization. Energy Fuels 2020, 34, 10529–10546. [Google Scholar] [CrossRef]
- Sayani, J.K.S.; Lal, B.; Pedapati, S.R. Comprehensive Review on Various Gas Hydrate Modelling Techniques: Prospects and Challenges. Arch. Comput. Methods Eng. 2021, 29, 2171–2207. [Google Scholar] [CrossRef]
- Sloan, E.D. Fundamental Principles and Applications of Natural Gas Hydrates. Nature 2003, 426, 353–359. [Google Scholar] [CrossRef]
- McMullan, R.K.; Jeffrey, G.A.; McMullan, R.K.; Jeffrey, G.A. Polyhedral Clathrate Hydrates. IX. Structure of Ethylene Oxide Hydrate. J. Chem. Phys. 1965, 42, 2725–2732. [Google Scholar] [CrossRef]
- Mak, T.C.W.; McMullan, R.K.; Mak, T.C.W.; McMullan, R.K. Polyhedral Clathrate Hydrates. X. Structure of the Double Hydrate of Tetrahydrofuran and Hydrogen Sulfide. J. Chem. Phys. 1965, 42, 2732–2737. [Google Scholar] [CrossRef]
- Ripmeester, J.A.; Tse, J.S.; Ratcliffe, C.I.; Powell, B.M.; Ripmeester, J.A.; Tse, J.S.; Ratcliffe, C.I.; Powell, B.M. A New Clathrate Hydrate Structure. Nature 1987, 325, 135–136. [Google Scholar] [CrossRef]
- Sloan, E.D., Jr. Gas Hydrates: Review of Physical/Chemical Properties. Energy Fuels 1998, 12, 191–196. [Google Scholar] [CrossRef]
- Circone, S.; Stern, L.A.; Kirby, S.H.; Durham, W.B.; Chakoumakos, B.C.; Rawn, C.J.; Rondinone, A.J.; Ishii, Y. CO2 Hydrate: Synthesis, Composition, Structure, Dissociation Behavior, and a Comparison to Structure I CH4 Hydrate. J. Phys. Chem. B 2003, 107, 5529–5539. [Google Scholar] [CrossRef]
- Uchida, T. Physical Property Measurements on CO2 Clathrate Hydrates. Review of Crystallography, Hydration Number, and Mechanical Properties. Waste Manag. 1998, 17, 343–352. [Google Scholar] [CrossRef]
- Shimoaka, T.; Hasegawa, T.; Ohno, K.; Katsumoto, Y. Correlation between the Local OH Stretching Vibration Wavenumber and the Hydrogen Bonding Pattern of Water in a Condensed Phase: Quantum Chemical Approach to Analyze the Broad OH Band. J. Mol. Struct. 2012, 1029, 209–216. [Google Scholar] [CrossRef]
- Carey, D.M.; Korenowski, G.M. Measurement of the Raman Spectrum of Liquid Water. J. Chem. Phys. 1998, 108, 2669–2675. [Google Scholar] [CrossRef]
- Giovannetti, R.; Gambelli, A.M.; Castellani, B.; Rossi, A.; Minicucci, M.; Zannotti, M.; Li, Y.; Rossi, F. May Sediments Affect the Inhibiting Properties of NaCl on CH4 and CO2 Hydrates Formation? An Experimental Report. J. Mol. Liq. 2022, 359, 119300. [Google Scholar] [CrossRef]
- Huang, X.; Cai, W.; Zhan, L.; Lu, H. Study on the Reaction of Methane Hydrate with Gaseous CO2 by Raman Imaging Microscopy. Chem. Eng. Sci. 2020, 222, 115720. [Google Scholar] [CrossRef]
- Giovannetti, R.; Gambelli, A.M.; Rossi, A.; Castellani, B.; Minicucci, M.; Zannotti, M.; Nicolini, A.; Rossi, F. Thermodynamic Assessment and Microscale Raman Spectroscopy of Binary CO2/CH4 Hydrates Produced during Replacement Applications in Natural Reservoirs. J. Mol. Liq. 2022, 368, 120739. [Google Scholar] [CrossRef]
- Falenty, A.; Kuhs, W.F. “Self-Preservation” of CO2 Gas Hydrates-Surface Microstructure and Ice Perfection. J. Phys. Chem. B 2009, 113, 15975–15988. [Google Scholar] [CrossRef]
- Udachin, K.A.; Ratcliffe, C.I.; Ripmeester, J.A. Structure, Composition, and Thermal Expansion of CO2 Hydrate from Single Crystal X-ray Diffraction Measurements. J. Phys. Chem. B 2001, 105, 4200–4204. [Google Scholar] [CrossRef]
- Uchida, T.; Takeya, S.; Wilson, L.D.; Tulk, C.A.; Ripmeester, J.A.; Nagao, J.; Ebinuma, T.; Narita, H. Measurements of Physical Properties of Gas Hydrates and in Situ Observations of Formation and Decomposition Processes via Raman Spectroscopy and X-Ray Diffraction. Can. J. Phys. 2003, 81, 351–357. [Google Scholar] [CrossRef]
- Timur, A. Nuclear Magnetic Resonance Study of Carbonate Rocks. In Proceedings of the SPWLA 13th Annual Logging Symposium, Tulsa, OK, USA, 7–10 May 1972. [Google Scholar]
- Ratcliffe, C.I.; Ripmeester, J.A. 1H and 13C NMR Studies on Carbon Dioxide Hydrate. J. Phys. Chem. 1986, 90, 1259–1263. [Google Scholar] [CrossRef]
- Yang, M.; Chong, Z.R.; Zheng, J.; Song, Y.; Linga, P. Advances in Nuclear Magnetic Resonance (NMR) Techniques for the Investigation of Clathrate Hydrates. Renew. Sustain. Energy Rev. 2017, 74, 1346–1360. [Google Scholar] [CrossRef]
- Chevalier, T.; Fleury, M.; Pauget, L.; Sinquin, A. CO2 Hydrate in Porous Media: A Quantitative NMR Method to Detect Formation, Dissociation, and Localization. Energy Fuels 2024, 38, 22298–22306. [Google Scholar] [CrossRef]
- Zheng, J.; Yang, L.; Ma, S.; Zhao, Y.; Yang, M. Quantitative Analysis of CO2 Hydrate Formation in Porous Media by Proton NMR. AIChE J. 2020, 66, e16820. [Google Scholar] [CrossRef]
- Lee, S.; Park, S.; Lee, Y.; Seo, Y. Thermodynamic and 13C NMR Spectroscopic Verification of Methane–Carbon Dioxide Replacement in Natural Gas Hydrates. Chem. Eng. J. 2013, 225, 636–640. [Google Scholar] [CrossRef]
- Dalmazzone, D.; Hamed, N.; Clausse, D.; Fouconnier, B.; Dalmazzone, C.; Herzhaft, B. The Use of DSC in the Study of the Thermodynamics and Kinetics of Formation of Model and Gas Hydrates. In Proceedings of the 5th International Conference on Gas Hydrates (ICGH 2005), Trondheim, Norway, 13–16 June 2005; p. 10. [Google Scholar]
- Susilo, R.; Ripmeester, J.A.; Englezos, P. Characterization of Gas Hydrates with PXRD, DSC, NMR, and Raman Spectroscopy. Chem. Eng. Sci. 2007, 62, 3930–3939. [Google Scholar] [CrossRef]
- Lee, Y.; Lee, S.; Lee, J.; Seo, Y. Structure Identification and Dissociation Enthalpy Measurements of the CO2 + N2 Hydrates for Their Application to CO2 Capture and Storage. Chem. Eng. J. 2014, 246, 20–26. [Google Scholar] [CrossRef]
- Handa, Y.P. Compositions, Enthalpies of Dissociation, and Heat Capacities in the Range 85 to 270 K for Clathrate Hydrates of Methane, Ethane, and Propane, and Enthalpy of Dissociation of Isobutane Hydrate, as Determined by a Heat-Flow Calorimeter. J. Chem. Thermodyn. 1986, 18, 915–921. [Google Scholar] [CrossRef]
- Basu, P.K.; Mountain, R.D. Molecular Dynamics Evaluation of Cell Models for Type I Gas Hydrate Crystal Dynamics. J. Phys. Chem. Solids 1988, 49, 587–588. [Google Scholar] [CrossRef]
- Zhang, X.; Yang, H.; Huang, T.; Li, J.; Li, P.; Wu, Q.; Wang, Y.; Zhang, P. Research Progress of Molecular Dynamics Simulation on the Formation-Decomposition Mechanism and Stability of CO2 Hydrate in Porous Media: A Review. Renew. Sustain. Energy Rev. 2022, 167, 112820. [Google Scholar] [CrossRef]
- Li, H.; Jakobsen, J.P.; Stang, J. Hydrate Formation during CO2 Transport: Predicting Water Content in the Fluid Phase in Equilibrium with the CO2-Hydrate. Int. J. Greenh. Gas. Control 2011, 5, 549–554. [Google Scholar] [CrossRef]
- Bollengier, O.; Choukroun, M.; Grasset, O.; Le Menn, E.L.; Bellino, G.; Morizet, Y.; Bezacier, L.; Oancea, A.; Taffin, C.; Tobie, G. Phase Equilibria in the H2O–CO2 System between 250–330 K and 0–1.7 GPa: Stability of the CO2 Hydrates and H2O-Ice VI at CO2 Saturation. Geochim. Cosmochim. Acta 2013, 119, 322–339. [Google Scholar] [CrossRef]
- Sloan, E.D., Jr.; Koh, C.A.; Koh, C.A. Clathrate Hydrates of Natural Gases; CRC Press: Boca Raton, FL, USA, 2007. [Google Scholar] [CrossRef]
- Smith, J.; Van Ness, H.; Abott, M. Introduction to Chemical Engineering Thermodynamics, 6th ed.; McGraw-Hill: New York, NY, USA, 2001. [Google Scholar]
- Schicks, J.M. Gas Hydrates in Nature and in the Laboratory: Necessary Requirements for Formation and Properties of the Resulting Hydrate Phase. ChemTexts 2022, 8, 13. [Google Scholar] [CrossRef]
- Radhakrishnan, R.; Trout, B.L. A New Approach for Studying Nucleation Phenomena Using Molecular Simulations: Application to CO2 Hydrate Clathrates. J. Chem. Phys. 2002, 117, 1786–1796. [Google Scholar] [CrossRef]
- Jacobson, L.C.; Hujo, W.; Molinero, V. Amorphous Precursors in the Nucleation of Clathrate Hydrates. J. Am. Chem. Soc. 2010, 132, 11806–11811. [Google Scholar] [CrossRef]
- Yang, S.O.; Yang, I.M.; Kim, Y.S.; Lee, C.S. Measurement and Prediction of Phase Equilibria for Water+CO2 in Hydrate Forming Conditions. Fluid. Phase Equilib. 2000, 175, 75–89. [Google Scholar] [CrossRef]
- Ke, W.; Svartaas, T.M.; Chen, D. A Review of Gas Hydrate Nucleation Theories and Growth Models. J. Nat. Gas. Sci. Eng. 2019, 61, 169–196. [Google Scholar] [CrossRef]
- Kvamme, B.; Baig, K.; Qasim, M.; Bauman, J. Thermodynamic and Kinetic Modeling of CH4/CO2 Hydrates Phase Transitions. Int. J. Energy Environ. 2013, 7, 1–8. [Google Scholar]
- Koh, C.A.; Sloan, E.D.; Sum, A.K.; Wu, D.T. Fundamentals and Applications of Gas Hydrates. Annu. Rev. Chem. Biomol. Eng. 2011, 2, 237–257. [Google Scholar] [CrossRef] [PubMed]
- Maeda, N. Interfacial Gaseous States. In Nucleation of Gas Hydrates; Springer: Cham, Switzerland, 2020; pp. 83–109. [Google Scholar] [CrossRef]
- Seo, Y.; Lee, H.; Uchida, T. Methane and Carbon Dioxide Hydrate Phase Behavior in Small Porous Silica Gels: Three-Phase Equilibrium Determination and Thermodynamic Modeling. Langmuir 2002, 18, 9164–9170. [Google Scholar] [CrossRef]
- Gambelli, A.M.; Rossi, F. Experimental Characterization of the Difference in Induction Period between CH4 and CO2 Hydrates: Motivations and Possible Consequences on the Replacement Process. J. Nat. Gas. Sci. Eng. 2022, 108, 104848. [Google Scholar] [CrossRef]
- Lv, X.; Lu, D.; Liu, Y.; Zhou, S.; Zuo, J.; Jin, H.; Shi, B.; Li, E. Study on Methane Hydrate Formation in Gas–Water Systems with a New Compound Promoter. RSC Adv. 2019, 9, 33506–33518. [Google Scholar] [CrossRef] [PubMed]
- Babu, P.; Kumar, R.; Linga, P. A New Porous Material to Enhance the Kinetics of Clathrate Process: Application to Precombustion Carbon Dioxide Capture. Environ. Sci. Technol. 2013, 47, 13191–13198. [Google Scholar] [CrossRef] [PubMed]
- Yang, M.; Song, Y.; Jiang, L.; Wang, X.; Liu, W.; Zhao, Y.; Liu, Y.; Wang, S. Dynamic Measurements of Hydrate Based Gas Separation in Cooled Silica Gel. J. Ind. Eng. Chem. 2014, 20, 322–330. [Google Scholar] [CrossRef]
- Li, A.; Jiang, L.; Tang, S. An Experimental Study on Carbon Dioxide Hydrate Formation Using a Gas-Inducing Agitated Reactor. Energy 2017, 134, 629–637. [Google Scholar] [CrossRef]
- Bhavya, T.; Sai Kiran, B.; Prasad, P.S.R. The Role of Stirring and Amino Acid Mixtures to Surpass the Sluggishness of CO2 Hydrates. Energy Fuels 2021, 35, 13937–13944. [Google Scholar] [CrossRef]
- Sun, Y.; Li, K.; Su, Y.; Zhao, J. Phase Diagrams for SII Clathrate Hydrates of CO2 from First-Principles Thermodynamics. J. Phys. Chem. A 2021, 125, 5956–5962. [Google Scholar] [CrossRef]
- He, Z.; Praveen, L.; Jianwen, J. What Are the Key Factors Governing the Nucleation of CO2 Hydrate? Phys. Chem. Chem. Phys. 2017, 19, 15657–15661. [Google Scholar] [CrossRef]
- English, N.J.; MacElroy, J.M.D. Perspectives on Molecular Simulation of Clathrate Hydrates: Progress, Prospects and Challenges. Chem. Eng. Sci. 2015, 121, 133–156. [Google Scholar] [CrossRef]
- Lee, Y.; Kim, H.; Lee, W.; Kang, D.W.; Lee, J.W.; Ahn, Y.H. Thermodynamic and Kinetic Properties of CO2 Hydrates and Their Applications in CO2 Capture and Separation. J. Environ. Chem. Eng. 2023, 11, 110933. [Google Scholar] [CrossRef]
- Dubey, A.; Arora, A. Effect of Promoters in Hydrates Based Carbon Dioxide Capture: A Review. Gas. Sci. Eng. 2024, 131, 205459. [Google Scholar] [CrossRef]
- Veluswamy, H.P.; Kumar, A.; Seo, Y.; Lee, J.D.; Linga, P. A Review of Solidified Natural Gas (SNG) Technology for Gas Storage via Clathrate Hydrates. Appl. Energy 2018, 216, 262–285. [Google Scholar] [CrossRef]
- Kimura, H.; Kai, J. Feasibility of Trichlorofluoromethane (CCl3F, R11) Heptadecahydrate as a Heat Storage Material. Energy Convers. Manag. 1985, 25, 179–186. [Google Scholar] [CrossRef]
- Molokitina, N.S.; Nesterov, A.N.; Podenko, L.S.; Reshetnikov, A.M. Carbon Dioxide Hydrate Formation with SDS: Further Insights into Mechanism of Gas Hydrate Growth in the Presence of Surfactant. Fuel 2019, 235, 1400–1411. [Google Scholar] [CrossRef]
- Watanabe, K.; Imai, S.; Mori, Y.H. Surfactant Effects on Hydrate Formation in an Unstirred Gas/Liquid System: An Experimental Study Using HFC-32 and Sodium Dodecyl Sulfate. Chem. Eng. Sci. 2005, 60, 4846–4857. [Google Scholar] [CrossRef]
- Asaoka, T.; Ikeda, K. Observation of the Growth Characteristics of Gas Hydrate in the Quiescent-Type Formation Method Using Surfactant. J. Cryst. Growth 2017, 478, 1–8. [Google Scholar] [CrossRef]
- Kumar, A.; Sakpal, T.; Linga, P.; Kumar, R. Influence of Contact Medium and Surfactants on Carbon Dioxide Clathrate Hydrate Kinetics. Fuel 2013, 105, 664–671. [Google Scholar] [CrossRef]
- Choi, J.W.; Chung, J.T.; Kang, Y.T. CO2 Hydrate Formation at Atmospheric Pressure Using High Efficiency Absorbent and Surfactants. Energy 2014, 78, 869–876. [Google Scholar] [CrossRef]
- Wang, F.; Guo, G.; Liu, G.Q.; Luo, S.J.; Guo, R.B. Effects of Surfactant Micelles and Surfactant-Coated Nanospheres on Methane Hydrate Growth Pattern. Chem. Eng. Sci. 2016, 144, 108–115. [Google Scholar] [CrossRef]
- Karaaslan, U.; Parlaktuna, M. Surfactants as Hydrate Promoters? Energy Fuels 2000, 14, 1103–1107. [Google Scholar] [CrossRef]
- Sun, Z.; Wang, R.; Ma, R.; Guo, K.; Fan, S. Effect of Surfactants and Liquid Hydrocarbons on Gas Hydrate Formation Rate and Storage Capacity. Int. J. Energy Res. 2003, 27, 747–756. [Google Scholar] [CrossRef]
- Ganji, H.; Manteghian, M.; Zadeh, K.S.; Omidkhah, M.R.; Rahimi Mofrad, H. Effect of Different Surfactants on Methane Hydrate Formation Rate, Stability and Storage Capacity. Fuel 2007, 86, 434–441. [Google Scholar] [CrossRef]
- Yuan, B.; Han, M.; Li, Y.; Liu, X.; Kang, L.; Tong, X.; Wang, P.; Han, S.; Zhu, J.; Zhao, Y.; et al. Roles of Short- and Long-Chain Organic Matter in Methane Hydrate Formation: Insights from Molecular Dynamics Simulations. Energy Fuels 2024, 38, 9742–9750. [Google Scholar] [CrossRef]
- Yoslim, J.; Linga, P.; Englezos, P. Enhanced Growth of Methane–Propane Clathrate Hydrate Crystals with Sodium Dodecyl Sulfate, Sodium Tetradecyl Sulfate, and Sodium Hexadecyl Sulfate Surfactants. J. Cryst. Growth 2010, 313, 68–80. [Google Scholar] [CrossRef]
- Okutani, K.; Kuwabara, Y.; Mori, Y.H. Surfactant Effects on Hydrate Formation in an Unstirred Gas/Liquid System: An Experimental Study Using Methane and Sodium Alkyl Sulfates. Chem. Eng. Sci. 2008, 63, 183–194. [Google Scholar] [CrossRef]
- Zeng, H.; Wilson, L.D.; Walker, V.K.; Ripmeester, J.A. Effect of Antifreeze Proteins on the Nucleation, Growth, and the Memory Effect during Tetrahydrofuran Clathrate Hydrate Formation. J. Am. Chem. Soc. 2006, 128, 2844–2850. [Google Scholar] [CrossRef]
- Dicharry, C.; Diaz, J.; Torré, J.P.; Ricaurte, M. Influence of the Carbon Chain Length of a Sulfate-Based Surfactant on the Formation of CO2, CH4 and CO2–CH4 Gas Hydrates. Chem. Eng. Sci. 2016, 152, 736–745. [Google Scholar] [CrossRef]
- Delahaye, A.; Fournaison, L.; Marinhas, S.; Chatti, I.; Petitet, J.P.; Dalmazzone, D.; Fürst, W. Effect of THF on Equilibrium Pressure and Dissociation Enthalpy of CO2 Hydrates Applied to Secondary Refrigeration. Ind. Eng. Chem. Res. 2005, 45, 391–397. [Google Scholar] [CrossRef]
- Bhawangirkar, D.R.; Liu, X.; Sun, B.; Zhao, J.; Yin, Z. Tuning Effect of THF on the Phase Equilibria, Storage Capacity, and Dissociation Heat of CO2 Hydrates: Implication for Hydrate-Based CO2 Sequestration. Fuel 2025, 396, 135293. [Google Scholar] [CrossRef]
- Ricaurte, M.; Dicharry, C.; Renaud, X.; Torré, J.P. Combination of Surfactants and Organic Compounds for Boosting CO2 Separation from Natural Gas by Clathrate Hydrate Formation. Fuel 2014, 122, 206–217. [Google Scholar] [CrossRef]
- Phan, A.; Striolo, A. Chemical Promoter Performance for CO2 Hydrate Growth: A Molecular Perspective. Energy Fuels 2023, 37, 6002–6011. [Google Scholar] [CrossRef]
- Sharma, R.; Kamal, A.; Abdinejad, M.; Mahajan, R.K.; Kraatz, H.B. Advances in the Synthesis, Molecular Architectures and Potential Applications of Gemini Surfactants. Adv. Colloid Interface Sci. 2017, 248, 35–68. [Google Scholar] [CrossRef] [PubMed]
- He, Y.; Sun, M.T.; Chen, C.; Zhang, G.D.; Chao, K.; Lin, Y.; Wang, F. Surfactant-Based Promotion to Gas Hydrate Formation for Energy Storage. J. Mater. Chem. A Mater. 2019, 7, 21634–21661. [Google Scholar] [CrossRef]
- Ndlovu, P.; Babaee, S.; Naidoo, P.; Moodley, K. Kinetic Studies of Gas Hydrates for CO2 Capture in the Presence of Nanoparticles. Ind. Eng. Chem. Res. 2024, 63, 3867–3879. [Google Scholar] [CrossRef]
- Wang, L.; Lu, X.; Xu, Y. Experiment Investigation of SiO2 Containing Amino Groups as a Kinetic Promoter for CO2 Hydrates. ACS Omega 2021, 6, 19748–19756. [Google Scholar] [CrossRef]
- Khanlarkhani, M.; Pahlavanzadeh, H.; Mohammadi, A.H.; Mohammadi, A.H. Clathrate Hydrates and Nano Particles. Nanotechnol. Res. J. 2015, 8, 149–162. [Google Scholar]
- Wu, Y.; Shang, L.; Pan, Z.; Xuan, Y.; Baena-Moreno, F.M.; Zhang, Z. Gas Hydrate Formation in the Presence of Mixed Surfactants and Alumina Nanoparticles. J. Nat. Gas Sci. Eng. 2021, 94, 104049. [Google Scholar] [CrossRef]
- Nesterov, A.N.; Reshetnikov, A.M.; Manakov, A.Y.; Adamova, T.P. Synergistic Effect of Combination of Surfactant and Oxide Powder on Enhancement of Gas Hydrates Nucleation. J. Energy Chem. 2017, 26, 808–814. [Google Scholar] [CrossRef]
- Mohammadi, A.; Manteghian, M.; Mohammadi, A.H.; Jahangiri, A. Induction Time, Storage Capacity, and Rate of Methane Hydrate Formation in the Presence of SDS and Silver Nanoparticles. Chem. Eng. Commun. 2017, 204, 1420–1427. [Google Scholar] [CrossRef]
- Mohammadi, A.; Manteghian, M.; Haghtalab, A.; Mohammadi, A.H.; Rahmati-Abkenar, M. Kinetic Study of Carbon Dioxide Hydrate Formation in Presence of Silver Nanoparticles and SDS. Chem. Eng. J. 2014, 237, 387–395. [Google Scholar] [CrossRef]
- Nashed, O.; Youssouf, S.M.; Sabil, K.M.; Shariff, A.M.; Sufian, S.; Lal, B. Investigating the Effect of Silver Nanoparticles on Carbon Dioxide Hydrates Formation. In Proceedings of the IOP Conference Series: Materials Science and Engineering; Institute of Physics Publishing: Bristol, UK, 2018; Volume 458. [Google Scholar]
- Mahmoodi, M.H.; Manteghian, M.; Naeiji, P. Study the Effect of Ag Nanoparticles on the Kinetics of CO2 Hydrate Growth by Molecular Dynamics Simulation. J. Mol. Liq. 2021, 343, 117668. [Google Scholar] [CrossRef]
- Hassan, H.; Javidani, A.M.; Mohammadi, A.; Pahlavanzadeh, H.; Abedi-Farizhendi, S.; Mohammadi, A.H. Effects of Graphene Oxide Nanosheets and Al2O3 Nanoparticles on CO2 Uptake in Semi-Clathrate Hydrates. Chem. Eng. Technol. 2021, 44, 48–57. [Google Scholar] [CrossRef]
- Zhou, S.D.; Yu, Y.S.; Zhao, M.M.; Wang, S.L.; Zhang, G.Z. Effect of Graphite Nanoparticles on Promoting CO2 Hydrate Formation. Energy Fuels 2014, 28, 4694–4698. [Google Scholar] [CrossRef]
- Mahant, B.; Patel, D.; Kushwaha, O.S.; Kumar, R. Systematic Study of Nanohybrids of ZnO Nanoparticles toward Enhancement of Gas Hydrate Kinetics and the Application in Energy Storage. Energy Fuels 2023, 37, 19621–19638. [Google Scholar] [CrossRef]
- Mousavi, S.E.; Bozorgian, A. Investigation the Kinetics of CO2 Hydrate Formation in the Water System + CTAB + TBAF + ZnO. Int. J. New Chem. 2020, 7, 195–219. [Google Scholar] [CrossRef]
- Pahlavanzadeh, H.; Ataie, P.; Eslamimanesh, A. Phase Equilibria of Zinc Oxide (ZnO) Nanoparticles and Tetrahydrofuran (THF) in CO2 Hydrate Systems: Individual and Combined Analyses. J. Chem. Eng. Data 2024, 69, 3055–3062. [Google Scholar] [CrossRef]
- Rajabi Firoozabadi, S.; Bonyadi, M. A Comparative Study on the Effects of Fe3O4 Nanofluid, SDS and CTAB Aqueous Solutions on the CO2 Hydrate Formation. J. Mol. Liq. 2020, 300, 112251. [Google Scholar] [CrossRef]
- Cheng, Z.; Xu, H.; Wang, S.; Liu, W.; Li, Y.; Jiang, L.; Chen, C.; Song, Y. Effect of Nanoparticles as a Substitute for Kinetic Additives on the Hydrate-Based CO2 Capture. Chem. Eng. J. 2021, 424, 130329. [Google Scholar] [CrossRef]
- Sowa, B.; Maeda, N. Statistical Study of the Memory Effect in Model Natural Gas Hydrate Systems. J. Phys. Chem. A 2015, 119, 10784–10790. [Google Scholar] [CrossRef]
- Takeya, S.; Hori, A.; Hondoh, T.; Uchida, T. Freezing-Memory Effect of Water on Nucleation of CO2 Hydrate Crystals. J. Phys. Chem. B 2000, 104, 4164–4168. [Google Scholar] [CrossRef]
- Wu, Q.; Zhang, B. Memory Effect on the Pressure-Temperature Condition and Induction Time of Gas Hydrate Nucleation. J. Nat. Gas Chem. 2010, 19, 446–451. [Google Scholar] [CrossRef]
- Sefidroodi, H.; Abrahamsen, E.; Kelland, M.A. Investigation into the Strength and Source of the Memory Effect for Cyclopentane Hydrate. Chem. Eng. Sci. 2013, 87, 133–140. [Google Scholar] [CrossRef]
- He, Y.; Rudolph, E.S.J.; Zitha, P.L.J.; Golombok, M. Kinetics of CO2 and Methane Hydrate Formation: An Experimental Analysis in the Bulk Phase. Fuel 2011, 90, 272–279. [Google Scholar] [CrossRef]
- Sloan, E.D.; Subramanian, S.; Matthews, P.N.; Lederhos, J.P.; Khokhar, A.A. Quantifying Hydrate Formation and Kinetic Inhibition. Ind. Eng. Chem. Res. 1998, 37, 3124–3132. [Google Scholar] [CrossRef]
- Ohmura, R.; Ogawa, M.; Yasuoka, K.; Mori, Y.H. Statistical Study of Clathrate-Hydrate Nucleation in a Water/Hydrochlorofluorocarbon System: Search for the Nature of the “Memory Effect”. J. Phys. Chem. B 2003, 107, 5289–5293. [Google Scholar] [CrossRef]
- Kuang, Y.; Li, W.; Lin, Z.; Zheng, Y.; Craig, V.S.J. Experimental Study on Memory Effect of Gas Hydrates: Interaction between Micronanobubbles and Solute Molecules. J. Phys. Chem. C 2024, 128, 13. [Google Scholar] [CrossRef]
- Ripmeester, J.A.; Alavi, S. Some Current Challenges in Clathrate Hydrate Science: Nucleation, Decomposition and the Memory Effect. Curr. Opin. Solid. State Mater. Sci. 2016, 20, 344–351. [Google Scholar] [CrossRef]
- Maeda, N. Interfacial Nanobubbles and the Memory Effect of Natural Gas Hydrates. J. Phys. Chem. C 2018, 122, 11399–11406. [Google Scholar] [CrossRef]
- Aghajanloo, M.; Yan, L.; Berg, S.; Voskov, D.; Farajzadeh, R. Impact of CO2 Hydrates on Injectivity during CO2 Storage in Depleted Gas Fields: A Literature Review. Gas. Sci. Eng. 2024, 123, 205250. [Google Scholar] [CrossRef]
- Gauteplass, J.; Almenningen, S.; Barth, T.; Ersland, G. Hydrate Plugging and Flow Remediation during CO2 Injection in Sediments. Energies 2020, 13, 4511. [Google Scholar] [CrossRef]
- Chong, Z.R.; Yang, S.H.B.; Babu, P.; Linga, P.; Li, X. Sen Review of Natural Gas Hydrates as an Energy Resource: Prospects and Challenges. Appl. Energy 2016, 162, 1633–1652. [Google Scholar] [CrossRef]
- McGrail, B.P.; Schaef, H.T.; White, M.D.; Zhu, T.; Kulkarni, A.S.; Hunter, R.B.; Patil, S.L.; Owen, A.T.; Martin, P.F. Using Carbon Dioxide to Enhance Recovery of Methane from Gas Hydrate Reservoirs: Final Summary Report; Pacific Northwest National Lab. (PNNL): Richland, WA, USA, 2007. [CrossRef]
- Cannone, S.F.; Lanzini, A.; Santarelli, M. A Review on CO2 Capture Technologies with Focus on CO2-Enhanced Methane Recovery from Hydrates. Energies 2021, 14, 387. [Google Scholar] [CrossRef]
- Park, Y.; Kim, D.Y.; Lee, J.W.; Huh, D.G.; Park, K.P.; Lee, J.; Lee, H. Sequestering Carbon Dioxide into Complex Structures of Naturally Occurring Gas Hydrates. Proc. Natl. Acad. Sci. USA 2006, 103, 12690–12694. [Google Scholar] [CrossRef]
- Lee, S.; Lee, Y.; Lee, J.; Lee, H.; Seo, Y. Experimental Verification of Methane-Carbon Dioxide Replacement in Natural Gas Hydrates Using a Differential Scanning Calorimeter. Environ. Sci. Technol. 2013, 47, 13184–13190. [Google Scholar] [CrossRef]
- Schicks, J.M.; Luzi, M.; Beeskow-Strauch, B. The Conversion Process of Hydrocarbon Hydrates into CO2 Hydrates and Vice Versa: Thermodynamic Considerations. J. Phys. Chem. A 2011, 115, 13324–13331. [Google Scholar] [CrossRef]
- Ota, M.; Abe, Y.; Watanabe, M.; Smith, R.L.; Inomata, H. Methane Recovery from Methane Hydrate Using Pressurized CO2. Fluid Phase Equilib. 2005, 228–229, 553–559. [Google Scholar] [CrossRef]
- Zhong, J.R.; Huang, K.B.; Yang, S.; Luo, Z.Z.; Zhu, Y.X.; Wan, L.; Sun, Y.F.; Sun, C.Y.; Chen, G.J.; Zhang, Y.F. Quantifying the Limits of CH4-CO2 Hydrate Replacement: Impact of Critical Replacement Thickness, Particle Size, and Flow Rate on Recovery Efficiency. Energy Fuels 2025, 39, 5741–5753. [Google Scholar] [CrossRef]
- Ruppel, C.D.; Kessler, J.D. The Interaction of Climate Change and Methane Hydrates. Rev. Geophys. 2017, 55, 126–168. [Google Scholar] [CrossRef]
- Falenty, A.; Qin, J.; Salamatin, A.N.; Yang, L.; Kuhs, W.F. Fluid Composition and Kinetics of the in Situ Replacement in CH4–CO2 Hydrate System. J. Phys. Chem. C 2016, 120, 27159–27172. [Google Scholar] [CrossRef]
- Pandey, J.S.; Karantonidis, C.; Karcz, A.P.; von Solms, N. Enhanced CH4-CO2 Hydrate Swapping in the Presence of Low Dosage Methanol. Energies 2020, 13, 5238. [Google Scholar] [CrossRef]
- Baig, K.; Kvamme, B.; Kuznetsova, T.; Bauman, J. Impact of Water Film Thickness on Kinetic Rate of Mixed Hydrate Formation during Injection of CO2 into CH4 Hydrate. AIChE J. 2015, 61, 3944–3957. [Google Scholar] [CrossRef]
- Ripmeester, J.A.; Ratcliffe, C.I. The Diverse Nature of Dodecahedral Cages in Clathrate Hydrates as Revealed by 129Xe and 13C NMR Spectroscopy: CO2 as a Small-Cage Guest. Energy Fuels 1998, 12, 197–200. [Google Scholar] [CrossRef]
- Salamatin, A.N.; Falenty, A.; Hansen, T.C.; Kuhs, W.F. Guest Migration Revealed in CO2 Clathrate Hydrates. Energy Fuels 2015, 29, 5681–5691. [Google Scholar] [CrossRef]
- Xie, Y.; Zhu, Y.J.; Zheng, T.; Yuan, Q.; Sun, C.Y.; Yang, L.Y.; Chen, G.J. Replacement in CH4-CO2 Hydrate below Freezing Point Based on Abnormal Self-Preservation Differences of CH4 Hydrate. Chem. Eng. J. 2021, 403, 126283. [Google Scholar] [CrossRef]
- Salamatin, A.N.; Falenty, A.; Kuhs, W.F. Diffusion Model for Gas Replacement in an Isostructural CH4-CO2 Hydrate System. J. Phys. Chem. C 2017, 121, 17603–17616. [Google Scholar] [CrossRef]
- Lee, H.; Seo, Y.; Seo, Y.T.; Moudrakovski, I.L.; Ripmeester, J.A. Recovering Methane from Solid Methane Hydrate with Carbon Dioxide. Angew. Chem. Int. Ed. 2003, 42, 5048–5051. [Google Scholar] [CrossRef]
- Koh, D.Y.; Kang, H.; Kim, D.O.; Park, J.; Cha, M.; Lee, H. Recovery of Methane from Gas Hydrates Intercalated within Natural Sediments Using CO2 and a CO2/N2 Gas Mixture. ChemSusChem 2012, 5, 1443–1448. [Google Scholar] [CrossRef]
- Yao, Y.; Niu, M.; Zi, M.; Chen, D. Thermodynamic Stability and Component Heterogeneity of CO2/N2 Mixed Hydrates: Implications for Hydrate-Based CO2 Capture and Sequestration. Sep. Purif. Technol. 2025, 357, 130151. [Google Scholar] [CrossRef]
- Mok, J.; Kim, S.; Lee, J.; Choi, W.; Seo, Y. Investigating the Impact of N2 Concentration on Ternary Gas Hydrate Formation for CH4 Production and CO2 Storage. J. Mol. Liq. 2025, 429, 127578. [Google Scholar] [CrossRef]
- Yousif, M.H. Effect of Underinhibition With Methanol and Ethylene Glycol on the Hydrate-Control Process. SPE Prod. Facil. 1998, 13, 184–189. [Google Scholar] [CrossRef]
- Nihous, G.C.; Kinoshita, C.K.; Masutani, S.M. A Determination of the Activity of Water in Water–Alcohol Mixtures Using Mobile Order Thermodynamics. Chem. Eng. Sci. 2009, 64, 2767–2771. [Google Scholar] [CrossRef]
- Avula, V.R.; Gardas, R.L.; Sangwai, J.S. An Efficient Model for the Prediction of CO2 Hydrate Phase Stability Conditions in the Presence of Inhibitors and Their Mixtures. J. Chem. Thermodyn. 2015, 85, 163–170. [Google Scholar] [CrossRef]
- Bozorgian, A. Investigation of Hydrate Formation Kinetics and Mechanism of Effect of Inhibitors on It, a Review. J. Chem. Rev. 2021, 3, 50–65. [Google Scholar]
- Vatani, Z.; Amini, G.; Samadi, M.; Fuladgar, A.M. Prediction of Gas Hydrate Formation in the Presence of Methanol, Ethanol, (Ethylene, Diethylene and Triethylene) Glycol Thermodynamic Inhibitors. Pet. Sci. Technol. 2018, 36, 1150–1157. [Google Scholar] [CrossRef]
- Abay, H.K.; Svartaas, T.M. Effect of Ultralow Concentration of Methanol on Methane Hydrate Formation. Energy Fuels 2010, 24, 752–757. [Google Scholar] [CrossRef]
- Mokhatab, S.; Wilkens, R.J.; Leontaritis, K.J. A Review of Strategies for Solving Gas-Hydrate Problems in Subsea Pipelines. Energy Sources Part. A Recovery Util. Environ. Eff. 2007, 29, 39–45. [Google Scholar] [CrossRef]
- Khurana, M.; Yin, Z.; Linga, P. A Review of Clathrate Hydrate Nucleation. ACS Sustain. Chem. Eng. 2017, 5, 11176–11203. [Google Scholar] [CrossRef]
- Nguyen, N.N.; Nguyen, A.V. Hydrophobic Effect on Gas Hydrate Formation in the Presence of Additives. Energy Fuels 2017, 31, 10311–10323. [Google Scholar] [CrossRef]
- Lederhos, J.P.; Long, J.P.; Sum, A.; Christiansen, R.L.; Sloan, E.D. Effective Kinetic Inhibitors for Natural Gas Hydrates. Chem. Eng. Sci. 1996, 51, 1221–1229. [Google Scholar] [CrossRef]
- Yagasaki, T.; Matsumoto, M.; Tanaka, H. Adsorption Mechanism of Inhibitor and Guest Molecules on the Surface of Gas Hydrates. J. Am. Chem. Soc. 2015, 137, 12079–12085. [Google Scholar] [CrossRef] [PubMed]
- Moon, C.; Hawtin, R.W.; Rodger, P.M. Nucleation and Control of Clathrate Hydrates: Insights from Simulation. Faraday Discuss. 2007, 136, 367–382. [Google Scholar] [CrossRef]
- Chi Fai Cheung, R.; Bun Ng, T.; Ho Wong, J. Antifreeze Proteins from Diverse Organisms and Their Applications: An Overview. Curr. Protein Pept. Sci. 2016, 18, 262–283. [Google Scholar] [CrossRef] [PubMed]
- Clomp, U.C.; Kruka, V.R.; Reijnhart, R.; Weisenborn, A.J. Method for Inhibiting the Plugging of Conduits by Gas Hydrates. U.S. Patent 5,648,575, 15 July 1997. [Google Scholar]
- Bourgmayer, A.; Sugier, A.; Behar, E. 4th Multiphase FlowConference; BHR Group: Nice, France, 1989. [Google Scholar]
- Chen, H.N.; Sun, Y.F.; Pang, W.X.; Wang, M.L.; Wang, M.; Zhong, J.R.; Ren, L.L.; Cao, B.J.; Rao, D.; Sun, C.Y.; et al. Quantitative Evaluation of Hydrate-Based CO2 Storage in Unsealed Marine Sediments: Viewpoint from the Driving Force of Hydrate Formation and CO2-Water Contact Ability. Fuel 2024, 376, 132682. [Google Scholar] [CrossRef]
- Terzariol, M.; Park, J.; Castro, G.M.; Santamarina, J.C. Methane Hydrate-Bearing Sediments: Pore Habit and Implications. Mar. Pet. Geol. 2020, 116, 104302. [Google Scholar] [CrossRef]
- Ruppel, C. Permafrost-Associated Gas Hydrate: Is It Really Approximately 1% of the Global System? J. Chem. Eng. Data 2015, 60, 429–436. [Google Scholar] [CrossRef]
- Zhang, Z.; Liu, L.; Lu, W.; Liu, C.; Ning, F.; Dai, S. Permeability of Hydrate-Bearing Fine-Grained Sediments: Research Status, Challenges and Perspectives. Earth Sci. Rev. 2023, 244, 104517. [Google Scholar] [CrossRef]
- Wu, P.; Li, Y.; Wang, L.; Sun, X.; Wu, D.; He, Y.; Li, Q.; Song, Y. Hydrate-Bearing Sediment of the South China Sea: Microstructure and Mechanical Characteristics. Eng. Geol. 2022, 307, 106782. [Google Scholar] [CrossRef]
- Liang, Y.; Tan, Y.; Luo, Y.; Zhang, Y.; Li, B. Progress and Challenges on Gas Production from Natural Gas Hydrate-Bearing Sediment. J. Clean. Prod. 2020, 261, 121061. [Google Scholar] [CrossRef]
- Yoneda, J.; Jin, Y.; Muraoka, M.; Oshima, M.; Suzuki, K.; Walker, M.; Otsuki, S.; Kumagai, K.; Collett, T.S.; Boswell, R.; et al. Multiple Physical Properties of Gas Hydrate-Bearing Sediments Recovered from Alaska North Slope 2018 Hydrate-01 Stratigraphic Test Well. Mar. Pet. Geol. 2021, 123, 104748. [Google Scholar] [CrossRef]
- Liu, H.; Wang, S.; Fu, Y.; Shi, C.; Song, Y.; Zhang, L.; Chen, C.; Yang, M.; Ling, Z. The Role of Clay in Hydrate-Based Carbon Emission Reduction: Phenomenon, Mechanisms, and Application. Fuel 2025, 389, 134575. [Google Scholar] [CrossRef]
- Vasheghani Farahani, M.; Hassanpouryouzband, A.; Yang, J.; Tohidi, B. Insights into the Climate-Driven Evolution of Gas Hydrate-Bearing Permafrost Sediments: Implications for Prediction of Environmental Impacts and Security of Energy in Cold Regions. RSC Adv. 2021, 11, 14334–14346. [Google Scholar] [CrossRef] [PubMed]
- Jiang, L.; Yu, M.; Liu, Y.; Yang, M.; Zhang, Y.; Xue, Z.; Suekane, T.; Song, Y. Behavior of CO2/Water Flow in Porous Media for CO2 Geological Storage. Magn. Reson. Imaging 2017, 37, 100–106. [Google Scholar] [CrossRef] [PubMed]
- Merey, S.; Al-Raoush, R.I.; Jung, J.; Alshibli, K.A. Comprehensive Literature Review on CH4-CO2 Replacement in Microscale Porous Media. J. Pet. Sci. Eng. 2018, 171, 48–62. [Google Scholar] [CrossRef]
- Ors, O.; Sinayuc, C. An Experimental Study on the CO2–CH4 Swap Process between Gaseous CO2 and CH4 Hydrate in Porous Media. J. Pet. Sci. Eng. 2014, 119, 156–162. [Google Scholar] [CrossRef]
- Wang, P.; Yang, M.; Chen, B.; Zhao, Y.; Zhao, J.; Song, Y. Methane Hydrate Reformation in Porous Media with Methane Migration. Chem. Eng. Sci. 2017, 168, 344–351. [Google Scholar] [CrossRef]
- Zhao, J.; Zhu, Z.; Song, Y.; Liu, W.; Zhang, Y.; Wang, D. Analyzing the Process of Gas Production for Natural Gas Hydrate Using Depressurization. Appl. Energy 2015, 142, 125–134. [Google Scholar] [CrossRef]
- Nair, V.C.; Ramesh, S.; Ramadass, G.A.; Sangwai, J.S. Influence of Thermal Stimulation on the Methane Hydrate Dissociation in Porous Media under Confined Reservoir. J. Pet. Sci. Eng. 2016, 147, 547–559. [Google Scholar] [CrossRef]
- Langevin, D.; Baudin, F.; Henaut, I.; Pasquier, D.; Rovinetti, S.; Espagne, B.; Zhang, P.; Wang, Y.; Yang, Y.; Chen, W.; et al. Methane Hydrate Formation and Dissociation in the Presence of Silica Sand and Bentonite Clay. Oil Gas. Sci. Technol.—Rev. D’ifp Energ. Nouv. 2015, 70, 1087–1099. [Google Scholar] [CrossRef]
- Aman, Z.M.; Boswell, R.; Anderson, R.; Pandey, M.R.; Priest, J.A.; Hayley, J.L. The Influence of Particle Size and Hydrate Formation Path on the Geomechanical Behavior of Hydrate Bearing Sands. Energies 2022, 15, 9632. [Google Scholar] [CrossRef]
- Zang, X.Y.; Liang, D.Q.; Wu, N.Y. Gas Hydrate Formation in Fine Sand. Sci. China Earth Sci. 2013, 56, 549–556. [Google Scholar] [CrossRef]
- Huang, R.; Zhao, Y.; Ma, Y.; Huang, R.; Zhao, Y.; Ma, Y. The Interaction of Talc, Montmorillonite, and Silica Sand with H2O Influences Methane Hydrate Formation. Energies 2023, 16, 6174. [Google Scholar] [CrossRef]
- Mekala, P.; Busch, M.; Mech, D.; Patel, R.S.; Sangwai, J.S. Effect of Silica Sand Size on the Formation Kinetics of CO2 Hydrate in Porous Media in the Presence of Pure Water and Seawater Relevant for CO2 Sequestration. J. Pet. Sci. Eng. 2014, 122, 1–9. [Google Scholar] [CrossRef]
- Pan, M.; Schicks, J.M. Unraveling the Role of Natural Sediments in SII Mixed Gas Hydrate Formation: An Experimental Study. Molecules 2023, 28, 5887. [Google Scholar] [CrossRef] [PubMed]
- Li, P.; Zhang, M.; Xiao, Y.; Xu, Y.; Wang, W.; Li, Y. Study on Growth and Deposition and Mechanical Properties of Hydrate in the Presence of Silty Sand. ACS Omega 2025, 10, 12334–12345. [Google Scholar] [CrossRef]
- Gurjar, P.; Dubey, S.; Kumar, S.; Palodkar, A.V.; Kumar, A. Carbon Dioxide Sequestration as Hydrates in Clayey-Sandy Sediments: Experiments and Modeling Approach. Chem. Eng. J. 2023, 475, 146455. [Google Scholar] [CrossRef]
- Kumar, P. Pore Scale Modelling OF CO2 Sequestration. J. Isas 2023, 1, 1–14. [Google Scholar] [CrossRef]
- Cha, M.; Hu, Y.; Sum, A.K. Methane Hydrate Phase Equilibria for Systems Containing NaCl, KCl, and NH4Cl. Fluid. Phase Equilib. 2016, 413, 2–9. [Google Scholar] [CrossRef]
- Dholabhai, P.D.; Kalogerakis, N.; Bishnoi, P.R. Equilibrium Conditions for Carbon Dioxide Hydrate Formation in Aqueous Electrolyte Solutions. J. Chem. Eng. Data 1993, 38, 650–654. [Google Scholar] [CrossRef]
- Babu, P.; Nambiar, A.; He, T.; Karimi, I.A.; Lee, J.D.; Englezos, P.; Linga, P. A Review of Clathrate Hydrate Based Desalination to Strengthen Energy-Water Nexus. ACS Sustain. Chem. Eng. 2018, 6, 8093–8107. [Google Scholar] [CrossRef]
- Ho-Van, S.; Bouillot, B.; Douzet, J.; Babakhani, S.M.; Herri, J.M. Cyclopentane Hydrates—A Candidate for Desalination? J. Environ. Chem. Eng. 2019, 7, 103359. [Google Scholar] [CrossRef]
- Yan, K.F.; Zhao, J.Y.; Chen, H.; Li, X.-S.; Xu, C.G.; Chen, Z.Y.; Zhang, Y.; Wang, Y.; Feng, J.C.; Yu, Y.S. Exploring Hydration Mechanism of Salt Ions on the Methane Hydrate Formation: Insights from Experiments, QM Calculations and MD Simulations. Chem. Eng. Sci. 2023, 276, 118829. [Google Scholar] [CrossRef]
- Madygulov, M.S.; Vlasov, V.A. Kinetics of Methane Hydrate Formation from Stirred Aqueous NaCl Solutions. Chem. Eng. Res. Des. 2024, 202, 267–271. [Google Scholar] [CrossRef]
- Shen, S.; Wang, L.; Ge, Y.; Chu, J.; Liang, H. The Effect of Salinity on the Strength Behavior of Hydrate-Bearing Sands. J. Mar. Sci. Eng. 2023, 11, 1350. [Google Scholar] [CrossRef]
- Queimada, A.J.; Zhang, X.; Pedrosa, N.; Salimi, B. Effect of Salts, Impurities, and Low Water Contents in the Formation of Gas Hydrates in CO2-Rich Streams. J. Chem. Eng. Data 2024, 69, 3295. [Google Scholar] [CrossRef]
- Penru, Y.; Simon, F.X.; Guastalli, A.R.; Esplugas, S.; Llorens, J.; Baig, S. Characterization of Natural Organic Matter from Mediterranean Coastal Seawater. J. Water Supply Res. Technol.-Aqua 2013, 62, 42–51. [Google Scholar] [CrossRef]
- Rao, T.P.; Metilda, P.; Gladis, J.M. Analytical Methodologies for the Determination of Organics in Sea Water: A Review of Methods During the Last Decade and Future Scenario. Rev. Anal. Chem. 2006, 25, 11–48. [Google Scholar] [CrossRef]
- Dittmar, T.; Koch, B.; Hertkorn, N.; Kattner, G. A Simple and Efficient Method for the Solid-Phase Extraction of Dissolved Organic Matter (SPE-DOM) from Seawater. Limnol. Ocean. Methods 2008, 6, 230–235. [Google Scholar] [CrossRef]
- Liu, Y.; Zhang, L.; Yang, L.; Dong, H.; Zhao, J.; Song, Y. Behaviors of CO2 Hydrate Formation in the Presence of Acid-Dissolvable Organic Matters. Environ. Sci. Technol. 2021, 55, 6206–6213. [Google Scholar] [CrossRef]
- Lamorena, R.B.; Kyung, D.; Lee, W. Effect of Organic Matters on CO2 Hydrate Formation in Ulleung Basin Sediment Suspensions. Environ. Sci. Technol. 2011, 45, 6196–6203. [Google Scholar] [CrossRef] [PubMed]
- Kelleher, B.P.; Simpson, A.J.; Rogers, R.E.; Dearman, J.; Kingery, W.L. Effects of Natural Organic Matter from Sediments on the Growth of Marine Gas Hydrates. Mar. Chem. 2007, 103, 237–249. [Google Scholar] [CrossRef]
- Park, T.; Kyung, D.; Lee, W. Effect of Organic Matter on CO2 Hydrate Phase Equilibrium in Phyllosilicate Suspensions. Environ. Sci. Technol. 2014, 48, 6597–6603. [Google Scholar] [CrossRef]
- Gainullin, S.E.; Farhadian, A.; Kazakova, P.Y.; Semenov, M.E.; Chirkova, Y.F.; Heydari, A.; Pavelyev, R.S.; Varfolomeev, M.A. Novel Amino Acid Derivatives for Efficient Methane Solidification Storage via Clathrate Hydrates without Foam Formation. Energy Fuels 2023, 37, 3208–3217. [Google Scholar] [CrossRef]
- Bradford Vickery, H. The History of the Discovery of the Amino Acids II. A Review of Amino Acids Described Since 1931 as Components of Native Proteins. Adv. Protein Chem. 1972, 26, 81–171. [Google Scholar] [CrossRef]
- Bavoh, C.B.; Lal, B.; Osei, H.; Sabil, K.M.; Mukhtar, H. A Review on the Role of Amino Acids in Gas Hydrate Inhibition, CO2 Capture and Sequestration, and Natural Gas Storage. J. Nat. Gas. Sci. Eng. 2019, 64, 52–71. [Google Scholar] [CrossRef]
- Li, B.; Lu, Y.-Y.; Li, Y.-L.A.; Kontakiotis, G.; Li, B.; Lu, Y.-Y.; Li, Y.-L. A Review of Natural Gas Hydrate Formation with Amino Acids. J. Mar. Sci. Eng. 2022, 10, 1134. [Google Scholar] [CrossRef]
- Liu, Y.; Chen, B.; Chen, Y.; Zhang, S.; Guo, W.; Cai, Y.; Tan, B.; Wang, W. Methane Storage in a Hydrated Form as Promoted by Leucines for Possible Application to Natural Gas Transportation and Storage. Energy Technol. 2015, 3, 815–819. [Google Scholar] [CrossRef]
- Cai, Y.; Chen, Y.; Li, Q.; Li, L.; Huang, H.; Wang, S.; Wang, W. CO2 Hydrate Formation Promoted by a Natural Amino Acid L-Methionine for Possible Application to CO2 Capture and Storage. Energy Technol. 2017, 5, 1195–1199. [Google Scholar] [CrossRef]
- Veluswamy, H.P.; Lee, P.Y.; Premasinghe, K.; Linga, P. Effect of Biofriendly Amino Acids on the Kinetics of Methane Hydrate Formation and Dissociation. Ind. Eng. Chem. Res. 2017, 56, 6145–6154. [Google Scholar] [CrossRef]
- Bhattacharjee, G.; Choudhary, N.; Kumar, A.; Chakrabarty, S.; Kumar, R. Effect of the Amino Acid L-Histidine on Methane Hydrate Growth Kinetics. J. Nat. Gas. Sci. Eng. 2016, 35, 1453–1462. [Google Scholar] [CrossRef]
- Roosta, H.; Dashti, A.; Mazloumi, S.H.; Varaminian, F. Inhibition Properties of New Amino Acids for Prevention of Hydrate Formation in Carbon Dioxide–Water System: Experimental and Modeling Investigations. J. Mol. Liq. 2016, 215, 656–663. [Google Scholar] [CrossRef]
- Sa, J.H.; Kwak, G.H.; Lee, B.R.; Park, D.H.; Han, K.; Lee, K.H. Hydrophobic Amino Acids as a New Class of Kinetic Inhibitors for Gas Hydrate Formation. Sci. Rep. 2013, 3, 2428. [Google Scholar] [CrossRef]
- Sa, J.H.; Lee, B.R.; Park, D.H.; Han, K.; Chun, H.D.; Lee, K.H. Amino Acids as Natural Inhibitors for Hydrate Formation in CO2 Sequestration. Environ. Sci. Technol. 2011, 45, 5885–5891. [Google Scholar] [CrossRef]
- Sa, J.H.; Kwak, G.H.; Han, K.; Ahn, D.; Lee, K.H. Gas Hydrate Inhibition by Perturbation of Liquid Water Structure. Sci. Rep. 2015, 5, 11526. [Google Scholar] [CrossRef] [PubMed]
- Li, Y.; Yin, Z.; Lu, H.; Xu, C.; Liu, X.; Huang, H.; Chen, D.; Linga, P. Evaluation of Amino Acid L-Leucine as a Kinetic Promoter for CO2 Sequestration as Hydrate: A Kinetic and Morphological Study. J. Environ. Chem. Eng. 2023, 11, 111363. [Google Scholar] [CrossRef]
- Yodpetch, V.; Inkong, K.; Veluswamy, H.P.; Kulprathipanja, S.; Rangsunvigit, P.; Linga, P. Investigation on the Amino Acid-Assisted CO2 Hydrates: A Promising Step Toward Hydrate-Based Decarbonization. ACS Sustain. Chem. Eng. 2023, 11, 2797–2809. [Google Scholar] [CrossRef]
- Srivastava, S.; Kollemparembil, A.M.; Zettel, V.; Claßen, T.; Gatternig, B.; Delgado, A.; Hitzmann, B. Experimental Investigation of CO2 Uptake in CO2 Hydrates Formation with Amino Acids as Kinetic Promoters and Its Dissociation at High Temperature. Sci. Rep. 2022, 12, 8359. [Google Scholar] [CrossRef]
- Prasad, P.S.R.; Kiran, B.S. Synergistic Effects of Amino Acids in Clathrates Hydrates: Gas Capture and Storage Applications. Chem. Eng. J. Adv. 2020, 3, 100022. [Google Scholar] [CrossRef]
- Khandelwal, H.; Qureshi, M.F.; Zheng, J.; Venkataraman, P.; Barckholtz, T.A.; Mhadeshwar, A.B.; Linga, P. Effect of l -Tryptophan in Promoting the Kinetics of Carbon Dioxide Hydrate Formation. Energy Fuels 2021, 35, 649–658. [Google Scholar] [CrossRef]
- Liu, Z.; Zeng, Y.; Wang, W. CO2 Hydrate Formation Promoted by a Bio-Friendly Amino Acid L-Isoleucine. IOP Conf. Ser. Earth Environ. Sci. 2020, 474, 052054. [Google Scholar] [CrossRef]
- Prasad, P.S.R.; Kiran, B.S. Are the Amino Acids Thermodynamic Inhibitors or Kinetic Promoters for Carbon Dioxide Hydrates? J. Nat. Gas. Sci. Eng. 2018, 52, 461–466. [Google Scholar] [CrossRef]
- Prasad, P.S.R.; Sai Kiran, B. Clathrate Hydrates of Greenhouse Gases in the Presence of Natural Amino Acids: Storage, Transportation and Separation Applications. Sci. Rep. 2018, 8, 8560. [Google Scholar] [CrossRef]
- Biro, J.C. Amino Acid Size, Charge, Hydropathy Indices and Matrices for Protein Structure Analysis. Theor. Biol. Med. Model. 2006, 3, 15. [Google Scholar] [CrossRef] [PubMed]
- Hubberten, U.; Lara, R.J.; Kattner, G. Amino Acid Composition of Seawater and Dissolved Humic Substances in the Greenland Sea. Mar. Chem. 1994, 45, 121–128. [Google Scholar] [CrossRef]
- Bogue, D.C.; Hamilton, P.B.; Anderson, R.A. Ion Exchange Chromatography of Amino Acids Analysis of Diffusion (Mass Transfer) Mechanisms. Anal. Chem. 1960, 32, 1782–1792. [Google Scholar] [CrossRef]
- Riley, J.P.; Segar, D.A. The Seasonal Variation of the Free and Combined Dissolved Amino Acids in the Irish Sea. J. Mar. Biol. Assoc. U. K. 1970, 50, 713–720. [Google Scholar] [CrossRef]
- Bohling, H. Untersuchungen Über Freie Gelöste Aminosäuren in Meerwasser. Mar. Biol. 1970, 6, 213–225. [Google Scholar] [CrossRef]
- Bohling, H. Gelöste Aminosäuren in Oberflächenwasser der Nordsee Bei Helgoland: Konzentrationsveränderungen Im Sommer 1970. Mar. Biol. 1972, 16, 281–289. [Google Scholar] [CrossRef]
- Dawson, R.; Gary, P. The determination of α-amino acids in seawater using a fluorimetric analyser. Mar. Chem. 1976, 6, 27–40. [Google Scholar] [CrossRef]
- Litchfield, C.D.; Prescott, J.M. Analysis by Dansylation of Amino Acids Dissolved in Marine and Freshwaters1. Limnol. Oceanogr. 1970, 15, 250–256. [Google Scholar] [CrossRef]
- Mopper, K.; Dawson, R. Determination of Amino Acids in Sea Water-Recent Chromatographic Developments and Future Directions. Sci. Total Environ. 1986, 49, 115–131. [Google Scholar] [CrossRef]
- Zhou, Y.; Yoon, J. Recent Progress in Fluorescent and Colorimetric Chemosensors for Detection of Amino Acids. Chem. Soc. Rev. 2012, 41, 52–67. [Google Scholar] [CrossRef]
- Daraboina, N.; Ripmeester, J.; Walker, V.K.; Englezos, P. Natural Gas Hydrate Formation and Decomposition in the Presence of Kinetic Inhibitors. 3. Structural and Compositional Changes. Energy Fuels 2011, 25, 4398–4404. [Google Scholar] [CrossRef]
- Liu, Y.; Feng, Y.; Zhang, L.; Song, Y.; Yang, L.; Zhao, J. Effects of Protein Macromolecules and Metabolic Small Molecules on Kinetics of Methane Hydrate Formation in Marine Clay. Chem. Eng. J. 2021, 412, 128496. [Google Scholar] [CrossRef]
- Kelland, M.A.; Zhang, Q.; Chua, P.C. A Study of Natural Proteins and Partially Hydrolyzed Derivatives as Green Kinetic Hydrate Inhibitors. Energy Fuels 2018, 32, 9349–9357. [Google Scholar] [CrossRef]
- Jia, Y.; Zhao, Y.; Li, M.; Zhang, L.; Liu, Y.; Dong, H.; Zhao, J.; Yang, L.; Song, Y. Biodegradable Organics as a Multisystem-Compatible Low-Dose Green Kinetic Hydrate Inhibitor. ACS Sustain. Chem. Eng. 2022, 10, 11320–11329. [Google Scholar] [CrossRef]
- Venketesh, S.; Dayananda, C. Properties, Potentials, and Prospects of Antifreeze Proteins. Crit. Rev. Biotechnol. 2008, 28, 57–82. [Google Scholar] [CrossRef] [PubMed]
- Scholander, P.F.; van Dam, L.; Kanwisher, J.W.; Hammel, H.T.; Gordon, M.S. Supercooling and Osmoregulation in Arctic Fish. J. Cell Comp. Physiol. 1957, 49, 5–24. [Google Scholar] [CrossRef]
- DeVries, A.L.; Wohlschlag, D.E. Freezing Resistance in Some Antarctic Fishes. Science 1969, 163, 1073–1075. [Google Scholar] [CrossRef]
- Kristiansen, E.; Ramløv, H.; Højrup, P.; Pedersen, S.A.; Hagen, L.; Zachariassen, K.E. Structural Characteristics of a Novel Antifreeze Protein from the Longhorn Beetle Rhagium Inquisitor. Insect Biochem. Mol. Biol. 2011, 41, 109–117. [Google Scholar] [CrossRef]
- Middleton, A.J.; Brown, A.M.; Davies, P.L.; Walker, V.K. Identification of the Ice-Binding Face of a Plant Antifreeze Protein. FEBS Lett. 2009, 583, 815–819. [Google Scholar] [CrossRef]
- Celik, Y.; Graham, L.A.; Mok, Y.F.; Bar, M.; Davies, P.L.; Braslavsky, I. Superheating of Ice Crystals in Antifreeze Protein Solutions. Proc. Natl. Acad. Sci. USA 2010, 107, 5423–5428. [Google Scholar] [CrossRef]
- Tomczak, M.M.; Marshall, C.B.; Gilbert, J.A.; Davies, P.L. A Facile Method for Determining Ice Recrystallization Inhibition by Antifreeze Proteins. Biochem. Biophys. Res. Commun. 2003, 311, 1041–1046. [Google Scholar] [CrossRef]
- HEW, C.L.; YANG, D.S.C. Protein Interaction with Ice. Eur. J. Biochem. 1992, 203, 33–42. [Google Scholar] [CrossRef]
- Nada, H.; Furukawa, Y. Antifreeze Proteins: Computer Simulation Studies on the Mechanism of Ice Growth Inhibition. Polym. J. 2012, 44, 690–698. [Google Scholar] [CrossRef]
- Hudait, A.; Qiu, Y.; Odendahl, N.; Molinero, V. Hydrogen-Bonding and Hydrophobic Groups Contribute Equally to the Binding of Hyperactive Antifreeze and Ice-Nucleating Proteins to Ice. J. Am. Chem. Soc. 2019, 141, 7887–7898. [Google Scholar] [CrossRef]
- Zeng, H.; Wilson, L.D.; Walker, V.K.; Ripmeester, J.A. The Inhibition of Tetrahydrofuran Clathrate-Hydrate Formation with Antifreeze Protein. Can. J. Phys. 2003, 81, 17–24. [Google Scholar] [CrossRef]
- Sun, T.; Davies, P.L.; Walker, V.K. Structural Basis for the Inhibition of Gas Hydrates by α-Helical Antifreeze Proteins. Biophys. J. 2015, 109, 1698–1705. [Google Scholar] [CrossRef]
- Al-Adel, S.; Dick, J.A.G.; El-Ghafari, R.; Servio, P. The Effect of Biological and Polymeric Inhibitors on Methane Gas Hydrate Growth Kinetics. Fluid. Phase Equilib. 2008, 267, 92–98. [Google Scholar] [CrossRef]
- Scotter, A.J.; Marshall, C.B.; Graham, L.A.; Gilbert, J.A.; Garnham, C.P.; Davies, P.L. The Basis for Hyperactivity of Antifreeze Proteins. Cryobiology 2006, 53, 229–239. [Google Scholar] [CrossRef] [PubMed]
- Zhou, H.; Infante Ferreira, C. Effect of Type-III Anti-Freeze Proteins (AFPs) on CO2 Hydrate Formation Rate. Chem. Eng. Sci. 2017, 167, 42–53. [Google Scholar] [CrossRef]
- Zhang, Y.; Yuan, C.; Chen, Z.; Chen, C.; Liang, X.; von Solms, N.; Song, Y. Molecular Insights into the Synergistic Inhibition Mechanisms of Antifreeze Protein and Methanol on Carbon Dioxide Hydrate Growth. Energy 2024, 310, 133239. [Google Scholar] [CrossRef]
- Lowry, O.H.; Rosebrough, N.J.; Farr, A.L.; Randall, R.J. Protein measurement with the Folin phenol reagent. J. Biol. Chem. 1951, 193, 265–275. [Google Scholar] [CrossRef] [PubMed]
- Crompton, T.R. Analysis of Seawater A Guide for the Analytical and Environmental Chemist; Springer: Berlin/Heidelberg, Germany, 2006. [Google Scholar] [CrossRef]
- Packard, T.T.; Dortch, Q. Particulate Protein-Nitrogen in North Atlantic Surface Waters. Mar. Biol. 1975, 33, 347–354. [Google Scholar] [CrossRef]
- Tanoue, E. Detection of Dissolved Protein Molecules in Oceanic Waters. Mar. Chem. 1995, 51, 239–252. [Google Scholar] [CrossRef]
- Sutton, R.; Sposito, G. Molecular Structure in Soil Humic Substances: The New View. Environ. Sci. Technol. 2005, 39, 9009–9015. [Google Scholar] [CrossRef] [PubMed]
- Lv, T.; Pan, J.; Chen, Z.; Cai, J.; Li, X.; Zhang, Y. Kinetic Study of Fulvic Acid on Methane Hydrate Formation and Decomposition in Clay-Rich Silty Sediments. J. Pet. Sci. Eng. 2022, 217, 110916. [Google Scholar] [CrossRef]
- Kononova, M.M. Soil Organic Matter, Its Nature, Its Role in Soil Formation and in Soil Fertility, 2nd ed.; Pergamon Press Ltd.: Oxford, UK, 1966. [Google Scholar]
- Lv, T.; Li, X.; Chen, Z.; Yan, K.; Zhang, Y. Effect of Fulvic Acid on Methane Hydrate Formation and Dissociation in Mixed Porous Media. Energy Procedia 2019, 158, 5323–5328. [Google Scholar] [CrossRef]
- Ji, H.; Wu, G.; Zi, M.; Chen, D. Microsecond Molecular Dynamics Simulation of Methane Hydrate Formation in Humic-Acid-Amended Sodium Montmorillonite. Energy Fuels 2016, 30, 7206–7213. [Google Scholar] [CrossRef]
- Strukov, D.; Sagidullin, A.; Kartopol’cev, S.; Rodionova, T.; Manakov, A. Investigation of the Kinetic Promoting Effect of Humic Acids on the Formation of Methane Hydrate. Chem. Eng. Sci. 2025, 309, 121477. [Google Scholar] [CrossRef]
- Liu, F.; Wang, Y.; Lang, X.; Li, G.; Fan, S. Rapid Formation of CO2 Hydrate with High Storage Capacity via a Novel “Self-Siphoning” Principle. Chem. Eng. J. 2025, 513, 162749. [Google Scholar] [CrossRef]
- Aro, T.; Fatehi, P. Production and Application of Lignosulfonates and Sulfonated Lignin. ChemSusChem 2017, 10, 1861–1877. [Google Scholar] [CrossRef]
- Yi, J.; Zhong, D.L.; Yan, J.; Lu, Y.Y. Impacts of the Surfactant Sulfonated Lignin on Hydrate Based CO2 Capture from a CO2/CH4 Gas Mixture. Energy 2019, 171, 61–68. [Google Scholar] [CrossRef]
- Huang, H.; Liu, X.; Lu, H.; Xu, C.; Zhao, J.; Li, Y.; Gu, Y.; Yin, Z. Introducing Sodium Lignosulfonate as an Effective Promoter for CO2 Sequestration as Hydrates Targeting Gaseous and Liquid CO2. Adv. Appl. Energy 2024, 14, 100175. [Google Scholar] [CrossRef]
- Qiu, X.; Kong, Q.; Zhou, M.; Yang, D. Aggregation Behavior of Sodium Lignosulfonate in Water Solution. J. Phys. Chem. B 2010, 114, 15857–15861. [Google Scholar] [CrossRef]
- Othman, N.; Ooi, Z.Y.; Harruddin, N. Selection of liquid membrane component for lignosulfonate removal from liquid waste solution using emulsion liquid membrane process. J. Appl. Membr. Sci. Technol. 2017, 14. [Google Scholar] [CrossRef]
- Pocklington, R.; Hardstaff, W.R. Rapid Semiquantitative Screening Procedure for Lignin in Marine Sediments. J. Int. Conf. Explor. Sea 1974, 36, 92–94. [Google Scholar] [CrossRef]
- Louchouam, P.; Opsahl, S.; Benner, R. Isolation and Quantification of Dissolved Lignin from Natural Waters Using Solid-Phase Extraction and GC/MS. Anal. Chem. 2000, 72, 2780–2787. [Google Scholar] [CrossRef]
- Hedges, J.I.; Ertel, J.R. Characterization of Lignin by Gas Capillary Chromatography of Cupric Oxide Oxidation Products. Anal. Chem. 1982, 54, 174–178. [Google Scholar] [CrossRef]
- Rupp, E.; Zuman, P. The Use of Differential Pulse and D.C. Polarography in the Analysis of Solutions Containing Surfactants. Anal. Lett. 1994, 27, 939–955. [Google Scholar] [CrossRef]
- Almgren, T.; Josefsson, B.; Nyquist, G. A Fluorescence Method for Studies of Spent Sulfite Liquor and Humic Substances in Sea Water. Anal. Chim. Acta 1975, 78, 411–422. [Google Scholar] [CrossRef]
- King, L.H. Isolation and Characterization of Organic Matter from Glacial-Marine Sediments on the Scotian Shelf; Bedford Institute of Oceanography: Bedford, UK, 1967; pp. 1–16.
- Pierce, R.H., Jr.; Felbeck, G.T., Jr. A Comparison of Three Methods of Extracting Organic Matter from Soils and Marine Sediments. In Proceedings of the International Meeting of Humic Substances, Nieuwersluis, The Netherlands, 29–31 May 1972. [Google Scholar]
- Rashid, M.A.; King, L.H. Molecular Weight Distribution Measurements on Humic and Fulvic Acid Fractions from Marine Clays on the Scotian Shelf. Geochim. Cosmochim. Acta 1969, 33, 147–151. [Google Scholar] [CrossRef]
- Seeberg-Elverfeldt, J.; Schlüter, M.; Feseker, T.; Kölling, M. Rhizon Sampling of Porewaters near the Sediment-Water Interface of Aquatic Systems. Limnol. Oceanogr. Methods 2005, 3, 361–371. [Google Scholar] [CrossRef]
- Shaw, T.J. An Apparatus for Fine-Scale Sampling of Pore Waters and Solids in High Porosity Sediments: Research Method Paper. J. Sediment. Res. 1989, 59, 633–634. [Google Scholar] [CrossRef]
- Moncur, M.C.; Blowes, D.W.; Ptacek, C.J. Pore-Water Extraction from the Unsaturated and Saturated Zones. Can. J. Earth Sci. 2013, 50, 1051–1058. [Google Scholar] [CrossRef]
- de Lange, G.J. Shipboard Routine and Pressure-Filtration System for Pore-Water Extraction from Suboxic Sediments. Mar. Geol. 1992, 109, 77–81. [Google Scholar] [CrossRef]
- Wang, Y.; Guo, J.; Tan, X.; Chen, J.; Fang, Y.; Wang, W.; Ge, Y. Pore Water Pressure Maintaining Sampler for Deployment on Deep-Sea ROV-Jellyfish. Deep Sea Res. Part I Oceanogr. Res. Pap. 2024, 203, 104194. [Google Scholar] [CrossRef]
- Falter, J.L.; Sansone, F.J. Shallow Pore Water Sampling in Reef Sediments. Coral Reefs 2000, 19, 93–97. [Google Scholar] [CrossRef]
- Mantoura, R.F.C.; Riley, J.P. The Analytical Concentration of Humic Substances from Natural Waters. Anal. Chim. Acta 1975, 76, 97–106. [Google Scholar] [CrossRef]
- Schnitzer, M. Chemical, Spectroscopic, and Thermal Methods for the Classification and Characterization of Humic Substances. In Proceedings of the International Meeting of Humic Substances, Nieuwersluis, The Netherlands, 29–31 May 1972. [Google Scholar]
- Manka, J.; Rebhun, M.; Mandelbaum, A.; Bortinger, A. Characterization of Organics in Secondary Effluents. Environ. Sci. Technol. 1974, 8, 1017–1020. [Google Scholar] [CrossRef]
- Skinner, S.I.M.; Schnitzer, M. Rapid Identification by Gas Chromatography-Mass Spectrometry-Computer of Organic Compounds Resulting from the Degradation of Humic Substances. Anal. Chim. Acta 1975, 75, 207–211. [Google Scholar] [CrossRef]
- Schnitzer, M.; Stewart, D.; Skinner, I.M. The Low Temperature Oxidation of Humic Substances. Can. J. Chem. 1974, 52, 1072–1080. [Google Scholar] [CrossRef]














| Structure | sI | sII | sH | ||||
|---|---|---|---|---|---|---|---|
| Cavity type | Small | Large | Small | Large | Small | Medium | Large |
| Number of cavities | 2 | 6 | 16 | 8 | 3 | 2 | 1 |
| Average cavity radius (Å) | 3.95 | 4.33 | 3.91 | 4.73 | 3.94 | 4.04 | 5.79 |
| Lattice dimension (Å) | 12 | 17.3 | 12.2 | ||||
| Number of water molecules | 46 | 136 | 34 |
| AA | Formula | IP | HI | Polarity |
|---|---|---|---|---|
| Lysine | H2N-[CH2]4-CH(NH2)-COOH | 9.74 | −3.9 | basic polar |
| Methionine | CH3S-[CH2]2-CH(NH2)-COOH | 5.74 | 1.9 | nonpolar |
| Valine | (CH3)2CH-CH(NH2)-COOH | 5.96 | 4.2 | nonpolar |
| Tryptophan | ![]() | 5.89 | −0.9 | aromatic |
| Isoleucine | C2H5-(CH3)HC-CH(NH2)-COOH | 6.02 | 4.5 | nonpolar |
| Histidine | ![]() | 7.59 | −3.2 | basic polar |
| Phenylalanine | ![]() | 5.48 | 2.8 | aromatic |
| Threonine | CH3CH(OH)-CH(NH2)-COOH | 5.6 | −0.7 | polar (no charge) |
| Leucine | CH2CH(CH3)-CH(NH2)-COOH | 5.98 | 3.8 | nonpolar |
| Arginine | H2N-C(=NH)-NH-[CH2]3-CH(NH2)-COOH | 10.76 | −4.5 | basic polar |
| Cysteine | HS-CH2-CH(NH2)-COOH | 5.07 | 2.5 | polar (no charge) |
| Tyrosine | ![]() | 5.66 | −1.3 | aromatic |
| Serine | HO-CH2-CH(NH2)-COOH | 5.68 | −0.8 | polar (no charge) |
| Alanine | CH3-CH(NH2)-COOH | 6 | 1.8 | nonpolar |
| Asparagine | H2N-CO-CH2-CH(NH2)-COOH | 5.41 | −3.5 | polar (no charge) |
| Aspartic acid | HOOC-CH2-CH(NH2)-COOH | 2.77 | −3.5 | acidic polar |
| Glutamic acid | HOOC-[CH2]2-CH(NH2)-COOH | 3.22 | −3.5 | acidic polar |
| Glycine | H-CH(NH2)-COOH | 5.97 | −0.4 | nonpolar |
| Proline | ![]() | 6.3 | −1.6 | nonpolar |
Disclaimer/Publisher’s Note: The statements, opinions and data contained in all publications are solely those of the individual author(s) and contributor(s) and not of MDPI and/or the editor(s). MDPI and/or the editor(s) disclaim responsibility for any injury to people or property resulting from any ideas, methods, instructions or products referred to in the content. |
© 2025 by the authors. Licensee MDPI, Basel, Switzerland. This article is an open access article distributed under the terms and conditions of the Creative Commons Attribution (CC BY) license (https://creativecommons.org/licenses/by/4.0/).
Share and Cite
Remia, L.; Tombolini, A.; Giovannetti, R.; Zannotti, M. CO2 Capture and Sequestration by Gas Hydrates: An Overview of the Influence and Chemical Characterization of Natural Compounds and Sediments in Marine Environments. J. Mar. Sci. Eng. 2025, 13, 1908. https://doi.org/10.3390/jmse13101908
Remia L, Tombolini A, Giovannetti R, Zannotti M. CO2 Capture and Sequestration by Gas Hydrates: An Overview of the Influence and Chemical Characterization of Natural Compounds and Sediments in Marine Environments. Journal of Marine Science and Engineering. 2025; 13(10):1908. https://doi.org/10.3390/jmse13101908
Chicago/Turabian StyleRemia, Lorenzo, Andrea Tombolini, Rita Giovannetti, and Marco Zannotti. 2025. "CO2 Capture and Sequestration by Gas Hydrates: An Overview of the Influence and Chemical Characterization of Natural Compounds and Sediments in Marine Environments" Journal of Marine Science and Engineering 13, no. 10: 1908. https://doi.org/10.3390/jmse13101908
APA StyleRemia, L., Tombolini, A., Giovannetti, R., & Zannotti, M. (2025). CO2 Capture and Sequestration by Gas Hydrates: An Overview of the Influence and Chemical Characterization of Natural Compounds and Sediments in Marine Environments. Journal of Marine Science and Engineering, 13(10), 1908. https://doi.org/10.3390/jmse13101908






