Next Issue
Volume 13, October
Previous Issue
Volume 13, August
 
 

J. Mar. Sci. Eng., Volume 13, Issue 9 (September 2025) – 234 articles

Cover Story (view full-size image): This study investigates software-based restoration methods for NAVTEX maritime safety messages. When built-in error correction for NAVTEX systems fails, this results in corrupted characters marked with asterisks. Current systems require manual interpretation of corrupted messages, preventing integration with Maritime Single Window. Also, traditional approaches discard messages exceeding error thresholds, resulting in loss of critical safety information. The research applies Masked Language Modeling to restore corrupted messages by treating asterisk characters as masked tokens. Results show improved restoration capabilities compared to statistical language models, supporting maritime safety communication requirements and preserving safety information during challenging transmission conditions. View this paper
  • Issues are regarded as officially published after their release is announced to the table of contents alert mailing list.
  • You may sign up for e-mail alerts to receive table of contents of newly released issues.
  • PDF is the official format for papers published in both, html and pdf forms. To view the papers in pdf format, click on the "PDF Full-text" link, and use the free Adobe Reader to open them.
Order results
Result details
Section
Select all
Export citation of selected articles as:
22 pages, 883 KB  
Article
Development of a Model for Increasing the Capacity of Small and Medium-Sized Ports Using the Principles of Probability Theory
by Vytautas Paulauskas, Donatas Paulauskas and Vytas Paulauskas
J. Mar. Sci. Eng. 2025, 13(9), 1833; https://doi.org/10.3390/jmse13091833 - 22 Sep 2025
Viewed by 597
Abstract
Every year, more and more general and other types of cargo are transported by containers, and many ports, including small and medium-sized ones, are trying to join the container transportation processes. Port connectivity with container shipping is associated with easier and faster cargo [...] Read more.
Every year, more and more general and other types of cargo are transported by containers, and many ports, including small and medium-sized ones, are trying to join the container transportation processes. Port connectivity with container shipping is associated with easier and faster cargo processing and reduced environmental impact by optimizing ship arrivals and processing in small and medium-sized ports. Small and medium-sized ports are often limited by port infrastructure, especially suitable quays; therefore, it is very important to correctly assess the capabilities of such ports so that ships do not have to wait for entry and so that quays and other port infrastructure are optimally used. The research is relevant because small and medium-sized ports are increasingly involved in the activities of logistics chains and are becoming very important for the development of individual regions. The wider use of small and medium-sized ports in logistics chains is a new and original research direction. Optimal assessment of port or terminal and berth utilization is possible using the principles of probability theory. The article develops and presents a probabilistic method for assessment of port and terminal and ship mooring at their berths, using possible and actual time periods, based on the principles of transport process organization and linked to the capabilities of the port infrastructure and terminal superstructure. The conditional probability method was used to assess port and terminal capacity, as well as a method for assessing ship maneuverability under limited conditions. The developed probabilistic method for assessing port terminals and ship berthing at port quays can be used in any port or terminal, taking into account local conditions. Combined theoretical research and experimental results of the optimal use of small and medium-sized ports ensure sufficient research quality. Full article
(This article belongs to the Special Issue Smart Seaport and Maritime Transport Management, Second Edition)
Show Figures

Figure 1

27 pages, 4021 KB  
Article
Research on Water Surface Object Detection Method Based on Image Fusion
by Yihong Chen, Xiaoyi Ma, Qi Wang, Yunqian He and Shuo Xie
J. Mar. Sci. Eng. 2025, 13(9), 1832; https://doi.org/10.3390/jmse13091832 - 22 Sep 2025
Cited by 2 | Viewed by 655
Abstract
Accurate and rapid detection of surface targets is a key technology for autonomous navigation of intelligent and unmanned ships. Faced with complex maritime environments and ever-changing maritime targets, it is impossible to consistently obtain accurate target detection results based on a single sensor. [...] Read more.
Accurate and rapid detection of surface targets is a key technology for autonomous navigation of intelligent and unmanned ships. Faced with complex maritime environments and ever-changing maritime targets, it is impossible to consistently obtain accurate target detection results based on a single sensor. Infrared and visible light have strong complementarity. By fusing infrared and visible images, a more comprehensive and prominent fused image can be obtained, effectively improving the accuracy of target detection. This article constructs a lightweight convolutional neural network image fusion model based on the fusion framework of convolutional neural networks and then uses the constructed water surface dataset for comprehensive experimental testing of image fusion and object detection. The test results show that the object detection model trained using fused images has better detection performance than the object detection model trained using infrared and visible light images alone. So, integrating two types of images can provide better results for object detection and help promote the development of related technologies. Full article
(This article belongs to the Special Issue The Control and Navigation of Autonomous Surface Vehicles)
Show Figures

Figure 1

17 pages, 4602 KB  
Article
Typhoon-Induced Wave–Current Coupling Dynamics in Intertidal Zones: Impacts on Protective Device of Ancient Forest Relics
by Lihong Zhao, Dele Guo, Chaoyang Li, Zhengfeng Bi, Yi Hu, Hongqin Liu and Tongju Han
J. Mar. Sci. Eng. 2025, 13(9), 1831; https://doi.org/10.3390/jmse13091831 - 22 Sep 2025
Viewed by 548
Abstract
Extreme weather events, such as typhoons, induce strong wave–current interactions that significantly alter nearshore hydrodynamic conditions, particularly in shallow intertidal zones. This study investigates the influence of wind speed and water depth on wave–current coupling under typhoon conditions in Shenhu Bay, southeastern China—a [...] Read more.
Extreme weather events, such as typhoons, induce strong wave–current interactions that significantly alter nearshore hydrodynamic conditions, particularly in shallow intertidal zones. This study investigates the influence of wind speed and water depth on wave–current coupling under typhoon conditions in Shenhu Bay, southeastern China—a semi-enclosed bay that hosts multiple ancient forest relics within its intertidal zone. A two-tier numerical modeling framework was developed, comprising a regional-scale hydrodynamic model and a localized high-resolution model centered on a protective structure. Validation data were obtained from in situ field observations. Three structural scenarios were tested: fully intact, bottom-blocked, and damaged. Results indicate that wave-induced radiation stress plays a dominant role in enhancing flow velocities when wind speeds exceed 6 m/s, with wave contributions approaching 100% across all water depths. However, the linear relationship between water depth and wave contribution observed under non-typhoon conditions breaks down under typhoon forcing. A critical depth range was identified, within which wave contribution peaked before declining with further increases in depth—highlighting its potential sensitivity to storm energy. Moreover, structural simulations revealed that bottom-blocked devices, although seemingly more enclosed, may be vulnerable to vertical pressure loading due to insufficient water exchange. In contrast, perforated designs facilitate an internal–external hydrodynamic balance, thereby enhancing protective effect. This study provides both theoretical and practical insights into intertidal structure design and paleo-heritage conservation under extreme hydrodynamic stress. Full article
(This article belongs to the Special Issue Advances in Storm Tide and Wave Simulations and Assessment)
Show Figures

Figure 1

26 pages, 1624 KB  
Article
Design of an Observing System Simulation Experiment for the Operational Model of the Southwestern Coast of Iberia (SOMA)
by Fernando Mendonça, Flávio Martins and Laurent Bertino
J. Mar. Sci. Eng. 2025, 13(9), 1830; https://doi.org/10.3390/jmse13091830 - 21 Sep 2025
Viewed by 727
Abstract
Observing System Simulation Experiments (OSSEs) provide a framework in which to evaluate the impact of prospective ocean-observation networks on model forecasting performance prior to their actual deployment. This study presents the design and validation of an OSSE tailored for the operational coastal model [...] Read more.
Observing System Simulation Experiments (OSSEs) provide a framework in which to evaluate the impact of prospective ocean-observation networks on model forecasting performance prior to their actual deployment. This study presents the design and validation of an OSSE tailored for the operational coastal model of southern Portugal, SOMA. The system adopts the fraternal twins approach and a univariate data-assimilation scheme based on Ensemble Optimal Interpolation to update the model’s 3D temperature structure with SST. The methodology provides a flexible framework that preserves the statistical structure of real observation errors while remaining independent of SOMA. This allows straightforward transfer to other applications, thereby broadening its applicability and making it useful as a starting point in the design of observation networks beyond that presented in this case study. The OSSE experiments were compared against corresponding Observing System Experiments (OSEs) using real satellite SST products. Results show that the designed OSSE is internally consistent, sensitive to observation density, and capable of reproducing realistic correction patterns that closely match those obtained in the OSEs. These findings provide strong evidence that the SOMA OSSE system is a reliable tool for assessing the potential impact of future surface-observation strategies. Full article
(This article belongs to the Special Issue Monitoring of Ocean Surface Currents and Circulation)
Show Figures

Figure 1

23 pages, 12444 KB  
Article
Dynamic Responses and Damage Assessment of Submerged Floating Tunnel Under Explosive Loads
by Xiangji Ye, Ming Wang, Dongsheng Qiao, Xin Zhao and Li Wang
J. Mar. Sci. Eng. 2025, 13(9), 1829; https://doi.org/10.3390/jmse13091829 - 21 Sep 2025
Viewed by 478
Abstract
Submerged floating tunnel (SFT) may be subjected to sudden explosive loads such as internal vehicle explosions, terrorist attacks, and external explosions during operation. Based on the Arbitrary Lagrange–Euler (ALE) method, the locally truncated SFT model and fluid–structure interaction model of internal air and [...] Read more.
Submerged floating tunnel (SFT) may be subjected to sudden explosive loads such as internal vehicle explosions, terrorist attacks, and external explosions during operation. Based on the Arbitrary Lagrange–Euler (ALE) method, the locally truncated SFT model and fluid–structure interaction model of internal air and external water are established. Spherical explosives are used to simulate the destructive impact of internal explosions at different positions of the road inside the SFT and key positions at the bottom of the road. The results show that the peak accelerations at the monitoring points caused by the explosions of vehicles on the road rapidly decay within a range of three times the radius of the SFT, and circularly distributed damage appears on the explosion-facing side of the road surface. Longitudinal extensional damage occurs at the junction of the road surface and the SFT wall as well as the bottom supporting wall. Longitudinal cracks appear on the SFT wall. The peak accelerations at the monitoring points of the internal road caused by the concealed bomb at the bottom of the SFT rapidly decay within a range of twice the radius of the SFT, and the damage to the SFT is mainly concentrated on the road surface and the supporting wall. The most dangerous direction of external underwater explosion is determined to be directly below the SFT. When the scaled distance of the explosion is less than 0.543 m/kg1/3, the accelerations at the monitoring points of the internal road show a single-peak trend with rapid rise and decay, and circumferential through-cracks appear on the SFT wall. The supporting wall connecting the SFT wall and the internal road transmits stress to the road, causing extensive damage. Full article
(This article belongs to the Section Ocean Engineering)
Show Figures

Figure 1

14 pages, 1108 KB  
Article
A Novel Displacement Prediction Model for Inclined Anchor Bolt Based on Mindlin’s Solution
by Zhenhua Zhang, Guojuan Xu and Banglu Xi
J. Mar. Sci. Eng. 2025, 13(9), 1828; https://doi.org/10.3390/jmse13091828 - 21 Sep 2025
Viewed by 442
Abstract
Since anchoring technology is a key measure to enhance the deformation resistance of engineering structures, it is widely applied in bridges, dams, power transmission lines, and offshore platforms. The displacement of anchor bolts directly affects the deformation resistance of structures, and anchor bolts [...] Read more.
Since anchoring technology is a key measure to enhance the deformation resistance of engineering structures, it is widely applied in bridges, dams, power transmission lines, and offshore platforms. The displacement of anchor bolts directly affects the deformation resistance of structures, and anchor bolts are frequently arranged at an inclination angle in engineering practice—this inclination angle significantly affects their displacement. However, existing anchor bolt displacement prediction models do not account for the influence of inclination angles. To address this gap, a novel displacement prediction model for inclined anchor bolts based on Mindlin’s solution is proposed in this paper. The validation with three experimental datasets shows that the model’s relative errors are within 5%. Even if minor measurement uncertainties regarding input parameters exist in practical engineering scenarios, the calculated displacement results will not undergo significant deviations. The anchor bolt displacement prediction model proposed in this paper may help scholars better understand the relationship between anchor bolt inclination angle and displacement. Full article
(This article belongs to the Section Ocean Engineering)
Show Figures

Figure 1

19 pages, 9764 KB  
Article
Modelling of the Present Oceanographic Situation of the Gulfs of Patras and Corinth
by Basile Caterina, Aurélia Hubert-Ferrari, Alexander Barth and Jean-Marie Beckers
J. Mar. Sci. Eng. 2025, 13(9), 1827; https://doi.org/10.3390/jmse13091827 - 21 Sep 2025
Cited by 1 | Viewed by 657
Abstract
In our study we investigated the hydrodynamic circulation of the Gulfs of Patras and Corinth through modelling. To this end, ROMS was used to numerically calculate the parameters of the waters for these peculiar semi-enclosed basins. Several oceanographic forcings were used with an [...] Read more.
In our study we investigated the hydrodynamic circulation of the Gulfs of Patras and Corinth through modelling. To this end, ROMS was used to numerically calculate the parameters of the waters for these peculiar semi-enclosed basins. Several oceanographic forcings were used with an emphasis on the tides and the winds. With several simulations, each focusing on a specific element, we were able to describe more accurately the dynamics under the surface to complete what was previously done. The high velocity currents (0.6 m/s at the Patraic end of the strait) were validated through ADCP and satellite data, proving that modelling can be trusted to fill the gap in the in situ data over these two gulfs. Our simulations, mainly based on the month of May 2023, allowed us to understand the importance of the tides, especially in the Rio–Antirio Strait. There, the bottom currents are the strongest while the center of the Corinthian Gulf remains quiet. The surface dynamics were observed to be sensitive to the tides, the winds and the season, but general patterns were still highlighted for the oceanographic circulation of the gulfs. Full article
(This article belongs to the Section Physical Oceanography)
Show Figures

Figure 1

30 pages, 4858 KB  
Article
A Hierarchical Slip-Compensated Control Strategy for Trajectory Tracking of Wheeled ROVs on Complex Deep-Sea Terrains
by Dewei Li, Zizhong Zheng, Yuqi Wang, Zhongjun Ding, Yifan Yang and Lei Yang
J. Mar. Sci. Eng. 2025, 13(9), 1826; https://doi.org/10.3390/jmse13091826 - 20 Sep 2025
Viewed by 483
Abstract
With the rapid development of deep-sea resource exploration and marine scientific research, wheeled remotely operated vehicles (ROVs) have become crucial for seabed operations. However, under complex seabed conditions, traditional ROV control systems suffer from insufficient trajectory tracking accuracy, poor disturbance rejection capability, and [...] Read more.
With the rapid development of deep-sea resource exploration and marine scientific research, wheeled remotely operated vehicles (ROVs) have become crucial for seabed operations. However, under complex seabed conditions, traditional ROV control systems suffer from insufficient trajectory tracking accuracy, poor disturbance rejection capability, and low dynamic torque distribution efficiency. These issues lead to poor motion stability and high energy consumption on sloped terrains and soft substrates, which limits the effectiveness of deep-sea engineering. To address this, we proposed a comprehensive motion control solution for deep-sea wheeled ROVs. To improve modeling accuracy, a coupled kinematic and dynamic model was developed, together with a body-to-terrain coordinate frame transformation. Based on rigid-body kinematics, three-degree-of-freedom kinematic equations incorporating the slip ratio and sideslip angle were derived. By integrating hydrodynamic effects, seabed reaction forces, the Janosi soil model, and the impact of subsidence depth, a dynamic model that reflects nonlinear wheel–seabed interactions was established. For optimizing disturbance rejection and trajectory tracking, a hierarchical control method was designed. At the kinematic level, an improved model predictive control framework with terminal constraints and quadratic programming was adopted. At the dynamic level, non-singular fast terminal sliding mode control combined with a fixed-time nonlinear observer enabled rapid disturbance estimation. Additionally, a dynamic torque distribution algorithm enhanced traction performance and trajectory tracking accuracy. Full article
(This article belongs to the Section Ocean Engineering)
Show Figures

Figure 1

14 pages, 1963 KB  
Article
Analysis on Phase Polarity of Mandrel Fiber-Optic Vector Hydrophones Based on Phase Generated Carrier Technique
by Yatao Li, Jianfei Wang, Rui Liang, Jingjing Feng, Mo Chen, Jiaze Zhao and Zhou Meng
J. Mar. Sci. Eng. 2025, 13(9), 1825; https://doi.org/10.3390/jmse13091825 - 20 Sep 2025
Viewed by 506
Abstract
In ocean engineering, the demand for fiber-optic vector hydrophones (FOVHs) is increasing. The performance of a FOVH depends on phase consistency between its pressure and acceleration channels, which should match the acoustic field’s properties. Phase polarity, which refers to the alignment of the [...] Read more.
In ocean engineering, the demand for fiber-optic vector hydrophones (FOVHs) is increasing. The performance of a FOVH depends on phase consistency between its pressure and acceleration channels, which should match the acoustic field’s properties. Phase polarity, which refers to the alignment of the output signal with the acoustic field direction, is critical. Incorrect phase polarity during sensor assembly can disrupt phase consistency and invalidate directional measurements. This study investigates phase polarity in mandrel FOVHs that use the Phase Generated Carrier (PGC) technique. We develop a theoretical model combining the PGC algorithm with elastic mechanics to analyze the response of acoustic signals. Our model shows that correct demodulated signal polarity requires a specific physical setup: the pressure sensor’s long arm should be on the inner mandrel and the short arm on the outer, while the accelerometer’s positive axis should follow the vector from the long to its short arm. These results are validated through standing wave tube experiments and lake tests. This research provides practical guidelines for the installation and calibration of FOVHs, ensuring phase consistency in underwater acoustic sensing. Full article
(This article belongs to the Section Ocean Engineering)
Show Figures

Figure 1

17 pages, 3103 KB  
Article
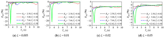
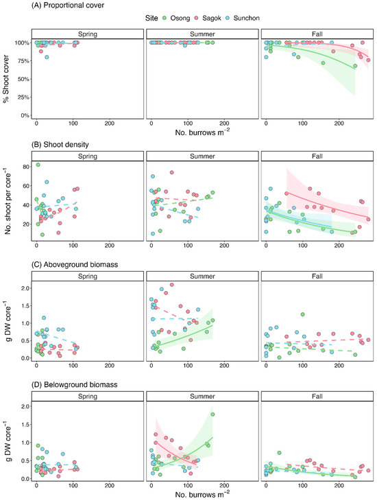
Seasonally Intensified Mud Shrimp Bioturbation Hinders Seagrass Restoration
by Youngwoo Seo, Taewon Kim and Juhyung Lee
J. Mar. Sci. Eng. 2025, 13(9), 1824; https://doi.org/10.3390/jmse13091824 - 20 Sep 2025
Cited by 1 | Viewed by 710
Abstract
Understanding how disturbances affect marine foundation species is critical for enhancing the success of coastal ecosystem restoration. Extreme bioturbation by burrowing animals is increasingly impacting coastal vegetated habitats worldwide, with the potential to undermine the persistence and resilience of key foundation species. However, [...] Read more.
Understanding how disturbances affect marine foundation species is critical for enhancing the success of coastal ecosystem restoration. Extreme bioturbation by burrowing animals is increasingly impacting coastal vegetated habitats worldwide, with the potential to undermine the persistence and resilience of key foundation species. However, the role of faunal disturbances in modulating restoration outcomes remains poorly understood. Here, we combine field surveys and manipulative field experiments to examine how mud shrimp (Upogebia major) bioturbation impacts vegetation dynamics and restoration outcomes for intertidal seagrass (Zostera japonica). Field surveys revealed pronounced seasonal variation in shrimp bioturbation intensity, with peak burrow densities occurring in fall (up to 400 burrows m−2; 289% higher than in spring). The intensified bioturbation was associated with significant declines in seagrass shoot cover, density, and biomass, with negative associations restricted to fall. To test whether seasonally intensified shrimp bioturbation impairs seagrass restoration, we conducted a 24-day field experiment transplanting seagrass patches of varying initial sizes (5–26 cm diameter) into plots representing three levels of shrimp burrow density observed during the fall peak: control (~9 burrows m−2), high (~280 burrows m−2), and extremely high (~455 burrows m−2). Compared to the control, high and extremely high burrow treatments exhibited accelerated patch losses. By day 24, vegetation was virtually eliminated in all shrimp treatments, but the rate of patch loss was significantly lower in larger patches. These results suggest that seasonal intensification of mud shrimp bioturbation has a potential to compromise intertidal seagrass restoration, while increasing planting scale offers a potential mitigation strategy. Restoration interventions should explicitly consider temporal patterns in faunal bioturbation and integration of positive interactions to improve long-term success of vegetation restoration in bioturbator-dominated coastal systems. Full article
Show Figures

Figure 1

30 pages, 12036 KB  
Article
Comparative Studies of Physics- and Machine Learning-Based Wave Buoy Analogy Models Under Various Ship Operating Conditions
by Jae-Hoon Lee, Donghyeong Ko and Ju-Hyuck Choi
J. Mar. Sci. Eng. 2025, 13(9), 1823; https://doi.org/10.3390/jmse13091823 - 20 Sep 2025
Viewed by 843
Abstract
This study presents a comparative analysis of wave buoy analogy models for sea state estimation. A nonparametric, response amplitude operator-based model is introduced as a physics-based approach, while a convolutional neural network is adopted as a machine learning approach. Using time-domain simulation data [...] Read more.
This study presents a comparative analysis of wave buoy analogy models for sea state estimation. A nonparametric, response amplitude operator-based model is introduced as a physics-based approach, while a convolutional neural network is adopted as a machine learning approach. Using time-domain simulation data of wave-induced ship motions under various operating conditions, the accuracy and reliability of each model’s estimation are evaluated. The sensitivity of the physics-based model to operating conditions is examined, along with optimization strategies such as hyperparameter tuning. In particular, regularization techniques based on bilinear and B-spline surface fitting are applied to the nonparametric model, and the effects of interpolation techniques on model performance are assessed. For the machine learning model, a parametric study is conducted to determine input data types and formats, including time series and spectral representations, as well as the required length of the time window and dataset volume. Finally, the feasibility of the proposed neural network in estimating not only sea state parameters but also loading and navigational information, such as ship speed and GM, is discussed. Full article
(This article belongs to the Special Issue Machine Learning for Prediction of Ship Motion)
Show Figures

Figure 1

26 pages, 4641 KB  
Article
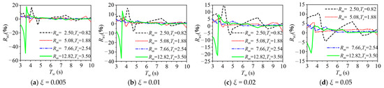
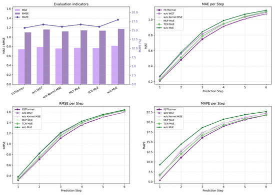
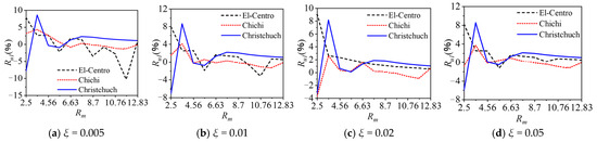
Dynamic Spatio-Temporal Modeling for Vessel Traffic Flow Prediction with FSTformer
by Dong Zhang, Haichao Xu, Yongfeng Guo, Shaoxi Li, Yinyin Lu and Mingyang Pan
J. Mar. Sci. Eng. 2025, 13(9), 1822; https://doi.org/10.3390/jmse13091822 - 20 Sep 2025
Cited by 1 | Viewed by 719
Abstract
With the rapid growth of global shipping, accurate vessel traffic prediction is essential for waterway management and navigation safety. This study proposes the Fusion Spatio-Temporal Transformer (FSTformer) to address non-Gaussianity, non-stationarity, and spatiotemporal heterogeneity in traffic flow prediction. FSTformer incorporates a Weibull–Gaussian Transformation [...] Read more.
With the rapid growth of global shipping, accurate vessel traffic prediction is essential for waterway management and navigation safety. This study proposes the Fusion Spatio-Temporal Transformer (FSTformer) to address non-Gaussianity, non-stationarity, and spatiotemporal heterogeneity in traffic flow prediction. FSTformer incorporates a Weibull–Gaussian Transformation for distribution normalization, a hybrid Transformer encoder with Heterogeneous Mixture-of-Experts (HMoE) to model complex dependencies, and a Kernel MSE loss function to enhance robustness. Experiments on AIS data from the Fujiangsha waters of the Yangtze River show that FSTformer consistently outperforms baseline models across multiple horizons. Compared with the best baseline (STEAformer), it reduces MAE, RMSE, and MAPE by 3.9%, 1.8%, and 6.3%, respectively. These results demonstrate that FSTformer significantly improves prediction accuracy and stability, offering reliable technical support for intelligent shipping and traffic scheduling in complex waterways. Full article
(This article belongs to the Section Ocean Engineering)
Show Figures

Figure 1

16 pages, 6102 KB  
Article
Vibro-Acoustic Coupling Characteristics Underwater of Disc-Shaped Double-Layer Shell with Stiffeners
by Yue Zhang, Zhaocheng Sun and Tongshun Yu
J. Mar. Sci. Eng. 2025, 13(9), 1821; https://doi.org/10.3390/jmse13091821 - 19 Sep 2025
Viewed by 675
Abstract
A disc-shaped double-layer shell structure reinforced by stiffeners is introduced for underwater gliders. Based on the finite element method integrated with automatic matching layer (FEM/AML) technology and the direct boundary element method (DBEM), the acoustic response of a disc-shaped double-layer shell with six [...] Read more.
A disc-shaped double-layer shell structure reinforced by stiffeners is introduced for underwater gliders. Based on the finite element method integrated with automatic matching layer (FEM/AML) technology and the direct boundary element method (DBEM), the acoustic response of a disc-shaped double-layer shell with six longitudinal ribs within the frequency range of 10–500 Hz is obtained. The resonant frequencies of the sound pressure level (SPL) correlate with the structural–acoustic modes. At resonance frequencies, the acoustic directivity and spatial sound pressure distribution of the double-layer shell exhibit symmetry relative to the mid-cross-section. The influence of longitudinal rib counts on vibro-acoustic behavior is investigated. The analysis results of frequency–spatial spectrum for radiated sound pressure reveal that the resonant frequencies migrate to the mid-high frequency with increases in the longitudinal rib quantity. Full article
(This article belongs to the Section Ocean Engineering)
Show Figures

Figure 1

20 pages, 42612 KB  
Article
Progressive Color Correction and Vision-Inspired Adaptive Framework for Underwater Image Enhancement
by Zhenhua Li, Wenjing Liu, Ji Wang and Yuqiang Yang
J. Mar. Sci. Eng. 2025, 13(9), 1820; https://doi.org/10.3390/jmse13091820 - 19 Sep 2025
Cited by 1 | Viewed by 805
Abstract
Underwater images frequently exhibit color distortion, detail blurring, and contrast degradation due to absorption and scattering by the underwater medium. This study proposes a progressive color correction strategy integrated with a vision-inspired image enhancement framework to address these issues. Specifically, the progressive color [...] Read more.
Underwater images frequently exhibit color distortion, detail blurring, and contrast degradation due to absorption and scattering by the underwater medium. This study proposes a progressive color correction strategy integrated with a vision-inspired image enhancement framework to address these issues. Specifically, the progressive color correction process includes adaptive color quantization-based global color correction, followed by guided filter-based local color refinement, aiming to restore accurate colors while enhancing visual perception. Within the vision-inspired enhancement framework, the color-adjusted image is first decomposed into a base layer and a detail layer, corresponding to low- and high-frequency visual information, respectively. Subsequently, detail enhancement and noise suppression are applied in the detail pathway, while global brightness correction is performed in the structural pathway. Finally, results from both pathways are fused to yield the enhanced underwater image. Extensive experiments on four datasets verify that the proposed method effectively handles the aforementioned underwater enhancement challenges and significantly outperforms state-of-the-art techniques. Full article
(This article belongs to the Section Ocean Engineering)
Show Figures

Graphical abstract

20 pages, 4544 KB  
Article
Numerical Study on the Hydrodynamic Performance of Offshore Wind Turbine Jacket Foundation Under Extreme Wave–Current: A Case Study
by Haoran Zhou, Ben He, Peng Gao, Wei Jin, Dan Zhang, Chong Zhang, Wenqi Sa, Chunhui He and Jianhong Ye
J. Mar. Sci. Eng. 2025, 13(9), 1819; https://doi.org/10.3390/jmse13091819 - 19 Sep 2025
Viewed by 690
Abstract
As offshore wind energy industry advances into deeper water recently, jacket foundations become one of the predominant support structure types for far-sea wind farms. To ensure the safety and reliability of offshore wind turbine (OWT) jacket foundations in the complex environments of far-seas, [...] Read more.
As offshore wind energy industry advances into deeper water recently, jacket foundations become one of the predominant support structure types for far-sea wind farms. To ensure the safety and reliability of offshore wind turbine (OWT) jacket foundations in the complex environments of far-seas, the investigation of their resistance capabilities to extreme ocean wave is essential. In this study, the OWT jacket foundations in the sea area of Cangnan and Lianjiang are adopted to conduct a typical case study. This study employs a full-scale jacket foundation to carry out some full-scenario, large-scale hydrodynamic numerical simulations considering the combined action of wave and current. It is revealed that for OWT jacket foundations in Cangnan and Lianjiang, China, under an extreme condition with approximately 26 m wave height and 18 s wave period, the peak wave impact and horizontal force on the jacket foundation are approximately 190 kPa and 18,000 kN, respectively. Furthermore, this study discusses the wave profile evolution characteristics around the jacket foundation and the correlation between wave run-up and wave height. These findings provide a good case study and technical reference for the full-scale fine simulation of wave forces on OWT jacket foundations in far-sea areas. Full article
(This article belongs to the Section Ocean Engineering)
Show Figures

Figure 1

23 pages, 8028 KB  
Article
Striation–Correlation-Based Beamforming for Enhancing the Interference Structure of the Scattered Sound Field in Deep Water
by Jincong Dun, Changpeng Liu, Shihong Zhou, Yubo Qi and Shuanghu Liu
J. Mar. Sci. Eng. 2025, 13(9), 1818; https://doi.org/10.3390/jmse13091818 - 19 Sep 2025
Viewed by 399
Abstract
Considering that the information contained in the interference structure of the “target-receiver” path in active sonar is crucial for remote sensing of the target position or the environmental information, this paper studies the method for coherent extraction and enhancement of the interference structure [...] Read more.
Considering that the information contained in the interference structure of the “target-receiver” path in active sonar is crucial for remote sensing of the target position or the environmental information, this paper studies the method for coherent extraction and enhancement of the interference structure of the scattered sound field using a monostatic horizontal line array (HLA) in deep water. The HLA element–frequency domain sound intensity interference pattern of the monostatic scattered sound field is numerically simulated, and the “cutting” effect on the pattern is explained by combining the scattered sound pressure expression. Then, the mechanism of the sound propagation effect of the “source-target” path on the interference structure of the “target-receiver” path is clarified. In deep water, the phase relationship of the HLA scattered sound pressure is derived based on the ray theory, and its similarity with the phase relationship of the array passive received signals affected by the source spectrum is researched. The method for the coherent enhancement of the interference structure between the target and the reference array element for the deep-water active sonar is proposed, which uses the phase information of the single-element (SE) signal to generate the array cross-correlation data and then performs striation-based beamforming on it (i.e., the striation–correlation-based beamforming with single element, SCBF-SE). The results of numerical simulation and sea trial data analysis show the effectiveness of this method for interference structure enhancement. The performance differences between SCBF-SE and the incoherent accumulation of the striation energy (IASE) method in interference structure enhancement are compared. The results indicate that SCBF-SE has better performance under the conditions of the same received signal-to-noise ratio and the number of array elements. Full article
(This article belongs to the Special Issue Underwater Acoustic Field Modulation Technology)
Show Figures

Figure 1

20 pages, 10382 KB  
Article
Stability Analysis and Design of Composite Breakwater Based on Fluid-Solid Coupled Approach Using CFD/NDDA
by Xinyu Wang and Abdellatif Ouahsine
J. Mar. Sci. Eng. 2025, 13(9), 1817; https://doi.org/10.3390/jmse13091817 - 19 Sep 2025
Viewed by 614
Abstract
Composite breakwater is a commonly employed structure for coastal and harbor protection. However, strong hydrodynamic impact can lead to failure and instability of these protective structures. In this study, a two-dimensional fluid-porous-solid coupling model is developed to investigate the stability of composite breakwaters. [...] Read more.
Composite breakwater is a commonly employed structure for coastal and harbor protection. However, strong hydrodynamic impact can lead to failure and instability of these protective structures. In this study, a two-dimensional fluid-porous-solid coupling model is developed to investigate the stability of composite breakwaters. The fluid-porous model is based on the Volume-Averaged Reynolds-Averaged Navier-Stokes equations, in which the nonlinear Forchheimer equations are added to describe the porous layer. The solid model employs the Nodal-based Discontinuous Deformation Analysis (NDDA) method to analyze the displacement of the caisson. NDDA is a nodal-based method that couples FEM and DDA to improve non-linear processes. This proposed coupled model permits the examination of the influence of the thickness and porosity of the porous layer on maximum impacting wave height (IWHmax) and the turbulent kinetic energy (TKE) generation. The results show that high porosity values lead to the dissipation of TKE and reduce the IWHmax. However, the reduction in the IWHmax is not monotonic with increasing porous layer thickness. We observed that IWHmax reaches an optimum value as the porous layer thickness continues to increase. These results can contribute to improve the design of composite breakwaters. Full article
(This article belongs to the Section Coastal Engineering)
Show Figures

Figure 1

25 pages, 1095 KB  
Article
Developing a Framework for Assessing Boat Collision Risks Using Fuzzy Multi-Criteria Decision-Making Methodology
by Ehidiame Ibazebo, Vimal Savsani, Arti Siddhpura and Milind Siddhpura
J. Mar. Sci. Eng. 2025, 13(9), 1816; https://doi.org/10.3390/jmse13091816 - 19 Sep 2025
Viewed by 609
Abstract
Boat collisions pose severe threats to maritime safety, economic activity, and environmental sustainability. Conventional risk assessment methods—such as Failure Mode and Effects Analysis, and Fault Tree Analysis—are widely applied but remain inadequate for addressing the uncertainty, subjectivity, and interdependency of risk factors in [...] Read more.
Boat collisions pose severe threats to maritime safety, economic activity, and environmental sustainability. Conventional risk assessment methods—such as Failure Mode and Effects Analysis, and Fault Tree Analysis—are widely applied but remain inadequate for addressing the uncertainty, subjectivity, and interdependency of risk factors in complex maritime environments. This study proposes a fuzzy Multi-Criteria Decision-Making framework for the risk assessment of boat collisions. The model integrates fuzzy logic with Analytic Hierarchy Process for criterion weighting and the Technique for Order Preference by Similarity to the Ideal Solution for risk ranking. Fuzzy logic is employed to capture linguistic expert judgments and to manage vague or incomplete data, which are common challenges in marine operations. Key collision risk factors—human error, boat engine system failure, environmental conditions, and intentional threats—are identified through literature review, incident data analysis, and expert consultation. A comparative analysis with a baseline non-fuzzy model demonstrates the added value of the fuzzy-integrated framework, showing improved capacity to handle imprecision and uncertainty. The model outputs not only prioritise risk rankings but also support the identification of critical control actions and effective safety measures. A case study of Nigerian waters illustrates the practicality of the framework in guiding risk mitigation strategies and informing policy decisions under uncertainty. Full article
(This article belongs to the Special Issue Recent Advances in Maritime Safety and Ship Collision Avoidance)
Show Figures

Figure 1

25 pages, 4535 KB  
Article
Numerical Simulation of an Icebreaker Ramming the Ice Ridge
by Wenbo Dong, Jiaming Chen, Yufei Zhang, Shisong Wei, Guangwei He and Fang Li
J. Mar. Sci. Eng. 2025, 13(9), 1815; https://doi.org/10.3390/jmse13091815 - 19 Sep 2025
Cited by 1 | Viewed by 720
Abstract
During polar navigation, icebreakers frequently encounter ice ridges, which can significantly reduce navigation efficiency and even pose threats to structural safety. Therefore, studying the ramming of ice ridges by the icebreaker is of great importance. In this study, the ice ridge is decoupled [...] Read more.
During polar navigation, icebreakers frequently encounter ice ridges, which can significantly reduce navigation efficiency and even pose threats to structural safety. Therefore, studying the ramming of ice ridges by the icebreaker is of great importance. In this study, the ice ridge is decoupled into the consolidated layer and the keel for modeling. The consolidated layer is simplified as layered ice, and an innovative hybrid empirical–numerical method is used to determine the icebreaking loads. For the keel, a failure model is developed using the Mohr–Coulomb criterion in combination with the effective stress principle, accounting for shear failure in porous media and incorporating both cohesion and internal friction angle. The ship is restricted to surge motion only. A comparative analysis with the model test results was conducted to assess the accuracy of the method, with the predicted ice resistance showing deviation of 9.85% in the consolidated ice area and 10.48% in the keel area. Ablation studies were conducted to investigate the effects of different ice ridge shapes, varying retreat distances, and different ship drafts on the performance of ramming the ice ridge. The proposed method can quickly and accurately calculate ice ridge loads and predict their motion responses, providing a suitable tool for on-site rapid navigability assessment and for the design of icebreakers. Full article
Show Figures

Figure 1

25 pages, 9746 KB  
Article
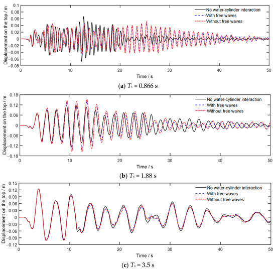
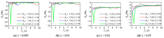
A Time-Domain Substructure Method for Simulating Water–Cylinder Interaction Under Dynamic Loadings Considering Boundary Condition of Free Surface Waves
by Piguang Wang, Hao Fu, Hao Liu, Zhenyun Tang and Xiuli Du
J. Mar. Sci. Eng. 2025, 13(9), 1814; https://doi.org/10.3390/jmse13091814 - 19 Sep 2025
Viewed by 491
Abstract
The dynamic interaction between water and cylindrical structures can significantly affect the dynamic responses and properties of offshore structures. Among the key factors, the free-surface boundary condition plays a crucial role in determining the hydrodynamic forces on cylinders, leading to frequency-dependent added mass [...] Read more.
The dynamic interaction between water and cylindrical structures can significantly affect the dynamic responses and properties of offshore structures. Among the key factors, the free-surface boundary condition plays a crucial role in determining the hydrodynamic forces on cylinders, leading to frequency-dependent added mass and damping effects. Although the dynamic responses of the cylinder can be readily obtained using frequency-domain methods, their computational efficiency is much lower than that of the time-domain methods, and they are not well suited for nonlinear structure analysis. To address this, this study proposes a time-domain substructure method for simulating water–cylinder interaction considering the boundary condition of free surface waves, where the frequency-dependent added mass and added damping are equivalently represented by a spring-dashpot-mass model in time domain. The results indicated that the calculation efficiency of the proposed method has improved by approximately two orders of magnitude compared with the frequency-domain finite element method. Moreover, the water–cylinder interaction can markedly influence the seismic responses with small mass ratios, whereas its effect on wave-induced responses becomes negligible when the wave period exceeds 5 s. The effects of the free-surface boundary condition on the wave responses of the cylinder can be generally negligible, except when the wave period approaches the natural vibration period of the cylinder. In addition, its influence on seismic responses can be ignored when the damping ratio of the cylinder exceeds 0.02. Full article
(This article belongs to the Special Issue Wave Loads on Offshore Structure)
Show Figures

Figure 1

26 pages, 5991 KB  
Article
Development of a Systematic Method for Tuning PID Control Gains in Free-Running Ship Simulations
by Jae-Hyeon An, Hwi-Su Kim and Kwang-Jun Paik
J. Mar. Sci. Eng. 2025, 13(9), 1813; https://doi.org/10.3390/jmse13091813 - 19 Sep 2025
Viewed by 805
Abstract
In free-running ship simulations, PID control gains for rudder and propeller revolution are often selected based on empirical experience without a standardized procedure, leading to inconsistent results under varying operational conditions. This study examined PID control gains by implementing a simulation framework using [...] Read more.
In free-running ship simulations, PID control gains for rudder and propeller revolution are often selected based on empirical experience without a standardized procedure, leading to inconsistent results under varying operational conditions. This study examined PID control gains by implementing a simulation framework using STAR-CCM+. The Ziegler–Nichols tuning method was applied to derive control gains, and their behavior was analyzed across different wave conditions (calm, short, medium, and long waves), PID period condition, ship speeds (low and design speeds), and scale ratios. The simulations showed that the PID gains derived under moderate wave conditions provided stable and reliable control performance across various sea states. Furthermore, the influence of scale ratio changes on the control performance was evaluated, and a non-dimensional scaling formula for PID coefficients was proposed to enhance applicability across different model sizes. Validation against experimental data confirmed the reliability of the simulation setup. These findings offer a systematic guideline for selecting the PID control gains for free-running simulations, promoting improved accuracy and stability under diverse environmental and operational conditions. This research contributes to developing standardized practices for maneuvering performance evaluations in realistic maritime environments. Full article
(This article belongs to the Special Issue Marine CFD: From Resistance Prediction to Environmental Innovation)
Show Figures

Figure 1

28 pages, 5663 KB  
Article
Quasi-Infinite Horizon Nonlinear Model Predictive Control for Cooperative Formation Tracking of Underactuated USVs with Four Degrees of Freedom
by Meng Yang, Ruonan Li, Hao Wang, Wangsheng Liu and Zaopeng Dong
J. Mar. Sci. Eng. 2025, 13(9), 1812; https://doi.org/10.3390/jmse13091812 - 19 Sep 2025
Viewed by 772
Abstract
To address the issues of external unknown disturbances and roll motion in the tracking control of underactuated unmanned surface vehicle (USV) formation, a cooperative formation control method based on nonlinear model predictive control (NMPC) algorithm and finite-time disturbance observer is proposed. Initially, a [...] Read more.
To address the issues of external unknown disturbances and roll motion in the tracking control of underactuated unmanned surface vehicle (USV) formation, a cooperative formation control method based on nonlinear model predictive control (NMPC) algorithm and finite-time disturbance observer is proposed. Initially, a tracking error model for the USV formation is established within a leader–follower framework, utilizing a four-degree-of-freedom (4-DOF) dynamic model to simultaneously account for roll motion and trajectory tracking. This error model is then approximately linearized and discretized. To mitigate the initial non-smoothness in the desired trajectories of the follower USVs, a tracking differentiator is designed to smooth the heading angle of the leader USV. Thereafter, a quasi-infinite horizon NMPC algorithm is developed, in which a terminal penalty function is constructed based on quasi-infinite horizon theory. Furthermore, a finite-time disturbance observer is developed to facilitate real-time estimation and compensation for unknown marine disturbances. The proposed method’s effectiveness is validated both mathematically and in simulation. Mathematically, closed-loop stability is rigorously guaranteed via a Lyapunov-based proof of the quasi-infinite horizon NMPC design. In simulations, the algorithm demonstrates superior performance, reducing steady-state tracking errors by over 80% and shortening convergence times by up to 75% compared to a conventional PID controller. These results confirm the method’s robustness and high performance for complex USV formation tasks. Full article
(This article belongs to the Special Issue Autonomous Marine Vehicle Operations—3rd Edition)
Show Figures

Figure 1

14 pages, 4070 KB  
Article
Research on Calibration Methods and Experiments for Six-Component Force Sensors
by Hongyang Zhao, Bowen Zhao, Xu Liang and Qianbin Lin
J. Mar. Sci. Eng. 2025, 13(9), 1811; https://doi.org/10.3390/jmse13091811 - 18 Sep 2025
Cited by 1 | Viewed by 807
Abstract
The measurement accuracy of six-component force sensors is crucial for reliable hydrodynamic model test results. To enhance data precision, this study presents an efficient calibration device based on a dual-axis rotational mechanism, enabling multi-degree-of-freedom attitude adjustment of the sensor. By applying known forces [...] Read more.
The measurement accuracy of six-component force sensors is crucial for reliable hydrodynamic model test results. To enhance data precision, this study presents an efficient calibration device based on a dual-axis rotational mechanism, enabling multi-degree-of-freedom attitude adjustment of the sensor. By applying known forces and moments through various loading conditions and employing the least squares method to obtain a 6 × 6 calibration coefficient matrix, we effectively reduce system errors and external disturbances. The effectiveness of the proposed calibration method is validated using rotational arm tests with a KCS standard ship model. The results indicate that most calibration point errors are below 1%, with the maximum error not exceeding 7%, and the measured data show good agreement with international standards. This method offers high calibration efficiency and accuracy, making it well-suited for the calibration of multi-component force sensors and for use in hydrodynamic, wind tunnel, and other multi-disciplinary experimental applications, promising potential for wider use. Full article
(This article belongs to the Section Ocean Engineering)
Show Figures

Figure 1

32 pages, 20395 KB  
Article
Factors Controlling the Formation and Evolution of the Beach Zone in a Semi-Enclosed Tideless Embayment: The Case of the North Coast of the Messiniakos Gulf (Eastern Mediterranean)
by Serafeim E. Poulos, Stelios Petrakis, Aikaterini Karditsa, Sylvia-Vasiliki Koumpou and Vasileios Kapsimalis
J. Mar. Sci. Eng. 2025, 13(9), 1810; https://doi.org/10.3390/jmse13091810 - 18 Sep 2025
Viewed by 822
Abstract
This study examines the evolution of a beach formed along the coastline of a semi-enclosed, essentially tideless, embayment in the eastern Mediterranean Sea. The analysis revealed that the primary factors influencing its recent evolution are the terrestrial sediment influxes, current nearshore oceanographic conditions, [...] Read more.
This study examines the evolution of a beach formed along the coastline of a semi-enclosed, essentially tideless, embayment in the eastern Mediterranean Sea. The analysis revealed that the primary factors influencing its recent evolution are the terrestrial sediment influxes, current nearshore oceanographic conditions, and the existence of coastal constructions. The beach zone is exposed to waves approaching from the south with extreme values of height and period of 7 m and 4.3 s, respectively. Associated morphodynamic characteristics include a closure depth of 7 m, a breaking depth of 4.3 m, and a maximum run-up of 2.4 m. Since the mid-1900s, the shoreline has evolved through an accretional phase from 1960 to 1988, followed by a retreating phase from 1989 to 1997, except in the central part, where progradation has continued. The most recent period (1998–2017) has been relatively stable, though with a slight retreating trend. During storm events, changes to the beach are not uniform along-shore. Gross estimates of beach retreat due to sea level rise induced by climate change threaten the existence of the entire beach (for moderate and extreme IPCC Special Report Emissions Scenarios); however, this does not seem to be the case if riverine sediment influx continues. Full article
(This article belongs to the Section Coastal Engineering)
Show Figures

Figure 1

16 pages, 9887 KB  
Article
Differences in Mesozoic–Cenozoic Structural Deformation Between the Northern and Southern Parts of the East China Sea Shelf Basin and Their Dynamic Mechanisms
by Chuansheng Yang, Junlan Song, Yanqiu Yang, Luning Shang, Jing Liao and Yamei Zhou
J. Mar. Sci. Eng. 2025, 13(9), 1809; https://doi.org/10.3390/jmse13091809 - 18 Sep 2025
Viewed by 633
Abstract
The East China Sea Shelf Basin (ECSSB) and its adjacent areas, as key regions of the ocean–continent transition zone, have been affected by multiple complex plate collisions, subduction, and back-arc tension since the Mesozoic Era. The structural deformation provides a large amount of [...] Read more.
The East China Sea Shelf Basin (ECSSB) and its adjacent areas, as key regions of the ocean–continent transition zone, have been affected by multiple complex plate collisions, subduction, and back-arc tension since the Mesozoic Era. The structural deformation provides a large amount of geological information on the ocean–continent transition zone. There are significant spatiotemporal differences in the structural deformation within the basin. However, the research remains insufficient and understanding is inconsistent, especially regarding the systematic study of the differences and dynamic mechanisms of north–south structural deformation, which is relatively lacking. This study is based on two-dimensional multi-channel deep reflection seismic profiles spanning the southern and northern basin. Through an integrated re-analysis of gravity, magnetic, and OBS data, the deformation characteristics and processes of the Meso-Cenozoic structures in the basin are analyzed. The differences in structural deformation between the southern and northern basin are summarized, and the controlling effects of deep crust–mantle activity and the influencing factors of shallow structural deformation are explored. Based on deep reflection seismic profiles, the structural deformation characteristics of the Yushan–Kume fault are revealed for the first time, and it is proposed that NW faults, represented by the Yushan–Kume fault, have important tuning effects on the north–south structural differential deformation in the ECSSB. The thermal subsidence of the lithosphere is the direct cause of the development of the Mesozoic ECSSB, while the subduction of the Paleo-Pacific plate is one of the important factors contributing to it. The combined effect of the two has led to significant differences between the northern and southern Mesozoic basin. During the Cenozoic Era, the alternating subduction and changes in the direction of subduction of the Pacific Plate led to spatiotemporal differences in structural deformation within the ECSSB. The development of NW faults was a key factor in the differences in structural deformation between the northern and southern basin. The study of structural deformation differences in the ECSSB not only deepens our understanding of the tectonic evolution in the East Asian continental margin region, but also has important significance for the exploration and evaluation of deep hydrocarbon resources in the ECSSB. Full article
(This article belongs to the Section Geological Oceanography)
Show Figures

Figure 1

27 pages, 6764 KB  
Article
Multi-Objective Optimization of Energy Storage Configuration and Dispatch in Diesel-Electric Propulsion Ships
by Fupeng Sun, Yanlin Liu, Huibing Gan, Shaokang Zang and Zhibo Lei
J. Mar. Sci. Eng. 2025, 13(9), 1808; https://doi.org/10.3390/jmse13091808 - 18 Sep 2025
Cited by 1 | Viewed by 970
Abstract
This study investigates the configuration of an energy storage system (ESS) and the optimization of energy management strategies for diesel-electric hybrid ships, with the goal of enhancing fuel economy and reducing emissions. An integrated mathematical model of the diesel generator set and the [...] Read more.
This study investigates the configuration of an energy storage system (ESS) and the optimization of energy management strategies for diesel-electric hybrid ships, with the goal of enhancing fuel economy and reducing emissions. An integrated mathematical model of the diesel generator set and the battery-based ESS is established. A rule-based energy management strategy (EMS) is proposed, in which the ship operating conditions are classified into berthing, maneuvering, and cruising modes. This classification enables coordinated power allocation between the diesel generator set and the ESS, while ensuring that the diesel engine operates within its high-efficiency region. The optimization framework considers the number of battery modules in series and the upper and lower bounds of the state of charge (SOC) as design variables. The dual objectives are set as lifecycle cost (LCC) and greenhouse gas (GHG) emissions, optimized using the Multi-Objective Coati Optimization Algorithm (MOCOA). The algorithm achieves a balance between global exploration and local exploitation. Numerical simulations indicate that, under the LCC-optimal solution, fuel consumption and GHG emissions are reduced by 16.12% and 13.18%, respectively, while under the GHG-minimization solution, reductions of 37.84% in fuel consumption and 35.02% in emissions are achieved. Compared with conventional algorithms, including Multi-Objective Particle Swarm Optimization (MOPSO), Non-dominated Sorting Dung Beetle Optimizer (NSDBO), and Multi-Objective Sparrow Search Algorithm (MOSSA), MOCOA exhibits superior convergence and solution diversity. The findings provide valuable engineering insights into the optimal configuration of ESS and EMS for hybrid ships, thereby contributing to the advancement of green shipping. Full article
(This article belongs to the Section Ocean Engineering)
Show Figures

Figure 1

35 pages, 6323 KB  
Article
A Broad-Scale Summer Spatial Structure of Pelagic Fish Schools as Acoustically Assessed Along the Turkish Aegean Coast
by Erhan Mutlu
J. Mar. Sci. Eng. 2025, 13(9), 1807; https://doi.org/10.3390/jmse13091807 - 18 Sep 2025
Viewed by 759
Abstract
Fish stocks and their management are paramount for sustainable fisheries under the ongoing changes in atmosphere–sea interactions. The Aegean Sea, one of the composite seas influenced by different water masses, is characterized by a diverse ecosystem. Small pelagic fish are abundant and tend [...] Read more.
Fish stocks and their management are paramount for sustainable fisheries under the ongoing changes in atmosphere–sea interactions. The Aegean Sea, one of the composite seas influenced by different water masses, is characterized by a diverse ecosystem. Small pelagic fish are abundant and tend to form schools that vary in size. One of the most efficient and rapid techniques for sampling fish schools over a large area is the use of acoustic methods. Therefore, an acoustic survey was conducted in the coastal areas along the entire Turkish Aegean waters between June and August 2024, using a scientific quantitative echosounder equipped with a split-beam transducer operating at 206 kHz. During the survey, environmental parameters, including water physics, optics, and bathymetry, were measured at 321 stations. Additionally, satellite data were used to obtain water primary production levels for each sampling month across the entire study area. Using a custom computer algorithm written during the present study in MATLAB (2021a), fish schools were automatically detected to measure various morphological and acoustic features. Through a series of statistical analyses, three optimal clusters, validated with the total silhouette sum of distances (1317.38), were identified, each characterized by specific morphological, acoustic, and environmental variables associated with different areas of the study. School morphology and acoustic properties also varied with bottom depth. Cluster 1 was mostly found in open and relatively deep waters. Cluster 2 appeared in areas impacted by anthropogenic sources. Principal Component Analysis (PCA) revealed that the first component (PCA1) was correlated with school height from the bottom (HFB) and overall school height (SH), followed by minimum depth (MnD), maximum depth (MxD), and volume backscattering strength at the school edge (SvE). The second component (PCA2) was associated with school width (SW) and area (A). Cluster 1 was characterized by schools with large SW and A, and relatively high HFB and SH. Cluster 2 showed low HFB and SH, while Cluster 3 had high MnD and MxD and low SvE. Based on the descriptors for these clusters, each cluster could be attributed to fish species at different life stages inferred based on target strength (TS), namely sardine, horse mackerel, and chub mackerel, distributed along the entire Turkish Aegean coast. Full article
(This article belongs to the Section Marine Biology)
Show Figures

Figure 1

14 pages, 4490 KB  
Article
Assessing Intra-Annual Spatial Distribution of Amphioctopus fangsiao in the East China Sea and Southern Yellow Sea Using Ensemble Models
by Yan Cui, Xiaodi Gao, Shaobo Yang, Shengfa Li and Linlin Yang
J. Mar. Sci. Eng. 2025, 13(9), 1806; https://doi.org/10.3390/jmse13091806 - 18 Sep 2025
Viewed by 640
Abstract
Understanding the distribution pattern and its drivers of species is crucial for developing effective and sustainable management strategies. Amphioctopus fangsiao is the octopus of significant commercial and ecological value along the coast of China, with multiple distinct populations. However, research on their ecological [...] Read more.
Understanding the distribution pattern and its drivers of species is crucial for developing effective and sustainable management strategies. Amphioctopus fangsiao is the octopus of significant commercial and ecological value along the coast of China, with multiple distinct populations. However, research on their ecological dynamics remains limited and requires further investigation. Here, ensemble models were constructed to examine the spatio-temporal distribution and inter-populational differentiation in environmental adaptability of A. fangsiao in the East China Sea (ECS) and the South Yellow Sea (SYS). Specifically, we generated the ensemble models by integrating Gradient Boosting Machine (GBM), Generalized Linear Models (GLMs), and Maximum Entropy Models (MaxEnt) for the different populations across four seasons, using fishery-independent data collected from 2015 to 2021. The results revealed two hotspots of A. fangsiao in the ECS and SYS: one is the area of SYS along the coastal waters, with latitudes 33° N–34° N and longitudes 120° E–122° E (northern population, NP); the other one is near the Kuroshio-adjacent area with latitudes 28.5° N–29° N and longitudes 123° E–124.5° E (southern population, SP). Both NP and SP exhibited distinct seasonal habitat preferences, with key environmental drivers showing seasonal variations. The NP tended to inhabit coastal waters with lower sea surface heights (SSHs), shallower water depth, and a narrower sea bottom salinity range (SBS). In contrast, SP preferred marine environments with a thicker mixed layer thickness (MLT) and higher concentrations of bottom chlorophyll-a (Chl_b). The environmental characterization of suitable habitats revealed distinct patterns in resource utilization and environmental adaptation strategies between the two populations. This study provides fundamental data for understanding A. fangsiao population dynamics and underscores the importance of considering population-specific habitat preferences within dynamic marine environments. Full article
(This article belongs to the Special Issue Marine Ecological Ranch, Fishery Remote Sensing, and Smart Fishery)
Show Figures

Figure 1

26 pages, 4820 KB  
Review
Variable-Stiffness Underwater Robotic Systems: A Review
by Peiwen Lu, Busheng Dong, Xiang Gao, Fujian Zhang, Yunyun Song, Zhen Liu and Zhongqiang Zhang
J. Mar. Sci. Eng. 2025, 13(9), 1805; https://doi.org/10.3390/jmse13091805 - 18 Sep 2025
Viewed by 2337
Abstract
Oceans, which cover more than 70% of Earth’s surface, are home to vast biological and mineral resources. Deep-sea exploration encounters significant challenges due to harsh environmental factors, including low temperatures, high pressure, and complex hydrodynamic forces. These constraints have led to the widespread [...] Read more.
Oceans, which cover more than 70% of Earth’s surface, are home to vast biological and mineral resources. Deep-sea exploration encounters significant challenges due to harsh environmental factors, including low temperatures, high pressure, and complex hydrodynamic forces. These constraints have led to the widespread use of underwater robots as essential tools for deep-sea resource exploration and exploitation. Conventional underwater robots, whether rigid with fixed stiffness or fully flexible, fail to achieve the propulsion efficiency observed in biological fish. To overcome this limitation, researchers have developed adjustable stiffness mechanisms for robotic fish designs. This innovation strikes a balance between structural rigidity for stability and flexible adaptability to dynamic environments. By dynamically adjusting localized stiffness, these bio-inspired robots can alter their mechanical properties in real time. This capability improves propulsion efficiency, energy utilization, and resilience to external disturbances during operation. This paper begins by reviewing the evolution of underwater robots, from fixed-stiffness systems to adjustable-stiffness designs. Next, existing methods for stiffness adjustment are categorized into two approaches: offline component replacement and online real-time adaptation. The principles, implementation strategies, and comparative advantages of each approach are then analyzed. Finally, we identify the current challenges in adjustable-stiffness underwater robotics and propose future directions, such as advancements in intelligent sensing, autonomous stiffness adaptation, and enhanced performance in extreme environments. Full article
(This article belongs to the Special Issue Design and Application of Underwater Vehicles)
Show Figures

Figure 1

16 pages, 7159 KB  
Article
Comparison of Numerical Simulations of Propeller Open-Water Performance with Cavitation for High-Speed Planing Hulls
by Sungtek Park, Zhaoyuan Wang, Frederick Stern, Andrew Gunderson and John Scherer
J. Mar. Sci. Eng. 2025, 13(9), 1804; https://doi.org/10.3390/jmse13091804 - 18 Sep 2025
Viewed by 1151
Abstract
Numerical simulations of an open-water propeller are performed using CFDShip-Iowa. The propeller, originally designed by Mercury Marine for a 21 feet high-speed planing hull, is scaled to match a 42 feet hull configuration. Three advance ratios (J = 0.8, 1.1, and 1.4) [...] Read more.
Numerical simulations of an open-water propeller are performed using CFDShip-Iowa. The propeller, originally designed by Mercury Marine for a 21 feet high-speed planing hull, is scaled to match a 42 feet hull configuration. Three advance ratios (J = 0.8, 1.1, and 1.4) and two cavitation numbers (σ = 0.274 and 1.095) are considered in the computations, and the results are compared with those obtained from the commercial CFD solver STAR-CCM+. For the fully wetted conditions without cavitation, the overall trends of the computed thrust (Kt), torque (Kq), and propeller efficiency (η) with respect to the advance ratios are similar. The computed Kt, Kq, and η with cavitations generally agree with the STAR-CCM+ results except for η at σ = 0.274, where the latter shows a much higher value for J = 1.4. For σ = 1.095, the cavitation patterns and overall pressure distributions are similar for both codes. For σ = 0.274, the cavitation is more violent for CFDShip-Iowa than STAR-CCM+. CFDShip-Iowa shows better preservation of the cavities and blade-to-blade interactions, which are not captured in the simulations using STAR-CCM+, since a single blade with periodic boundary conditions are used. Full article
(This article belongs to the Special Issue Novelties in Marine Propulsion)
Show Figures

Figure 1

Previous Issue
Next Issue
Back to TopTop