Diversity and Selection of Superior Algarrobos (Neltuma pallida) Phenotypes in the Natural Dry Forests of Peru for Sustainable Conservation and Genetic Improvement
Abstract
1. Introduction
2. Materials and Methods
2.1. Study Area
2.2. Tree Sampling Methodology
2.3. Edaphoclimatic Data Collection
2.4. Phenotypic Evaluation
2.5. Identification of Superior Trees
2.6. Assess Population Differentiation in Phenotypic Traits
2.7. Data Processing and Statistical Analysis
3. Results
3.1. Edaphoclimatic Characterization
3.2. Morphological Diversity
3.3. Phenotypic Diversity in Quantitative Traits
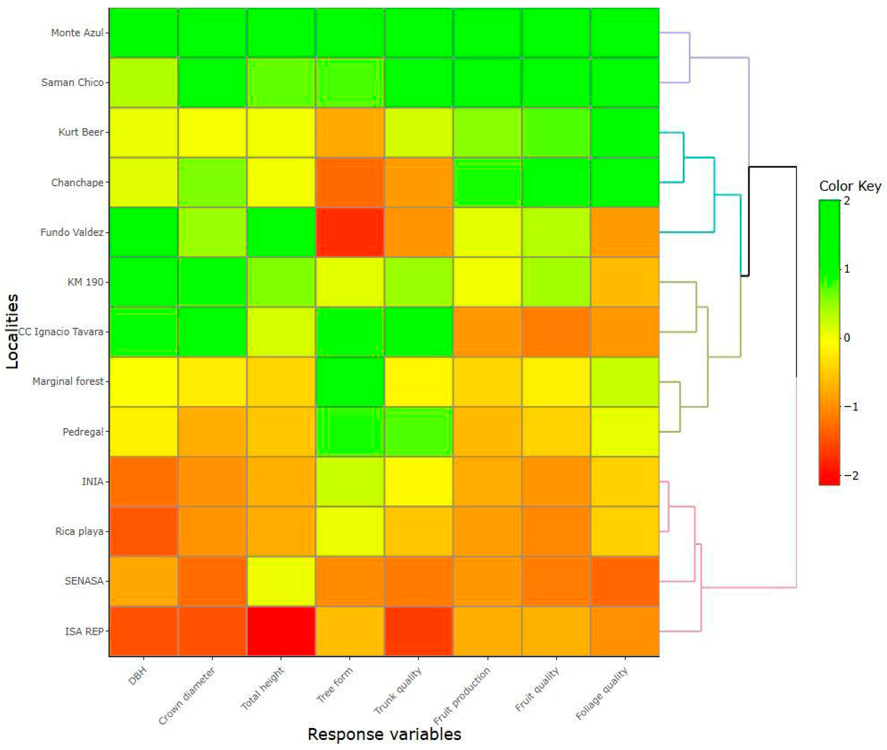
3.4. Assess Population Differentiation in Phenotypic Traits and Tree Selection
4. Discussion
4.1. Edaphoclimatic Conditions
4.2. Morphological Diversity in Algarrobo Populations
4.3. Population Differentiation and Identification of Superior Trees
4.4. Limitations and Perspectives
5. Conclusions
Supplementary Materials
Author Contributions
Funding
Institutional Review Board Statement
Data Availability Statement
Acknowledgments
Conflicts of Interest
References
- Hughes, C.E.; Ringelberg, J.J.; Lewis, G.P.; Catalano, S.A. Disintegration of the Genus Prosopis L. (Leguminosae, Caesalpinioideae, Mimosoid Clade). PhytoKeys 2022, 205, 147–189. [Google Scholar] [CrossRef]
- Bessega, C.; Saidman, B.O.; Darquier, M.R.; Ewens, M.; Sánchez, L.; Rozenberg, P.; Vilardi, J.C. Consistency between Marker- and Genealogy-Based Heritability Estimates in an Experimental Stand of Prosopis alba (Leguminosae). Am. J. Bot. 2009, 96, 458–465. [Google Scholar] [CrossRef] [PubMed]
- Grados, N.; Cruz, G.; Albán, L.; Felker, P. Peruvian Prosopis pallida: Its Potential to Provide Human and Livestock Food for Tropical Arid Lands of the World. In Prosopis as a Heat Tolerant Nitrogen Fixing Desert Food Legume; Puppo, M.C., Felker, P., Eds.; Academic Press: Cambridge, MA, USA, 2022; pp. 241–251. ISBN 978-0-12-823320-7. [Google Scholar]
- Beresford-Jones, D.G.; Arce, S.T.; Whaley, O.Q.; Chepstow-Lusty, A.J. The Role of Prosopis in Ecological and Landscape Change in the Samaca Basin, Lower Ica Valley, South Coast Peru from the Early Horizon to the Late Intermediate Period. Lat. Am. Antiq. 2009, 20, 303–332. [Google Scholar] [CrossRef]
- Beresford-Jones, D.G.; Whaley, O.Q. Prosopis in the History of the Coast of Peru. In Prosopis as a Heat Tolerant Nitrogen Fixing Desert Food Legume; Puppo, M.C., Felker, P., Eds.; Academic Press: Cambridge, MA, USA, 2022; pp. 95–103. ISBN 978-0-12-823320-7. [Google Scholar]
- Duval, V.S.; Cámara-Artigas, R. Diversidad y captura de carbono en un bosque secundario de caldén (Prosopis caldenia) en La Pampa, Argentina. Estud. Geogr. 2021, 82, e073. [Google Scholar] [CrossRef]
- Salazar, P.C.; Navarro-Cerrillo, R.M.; Ancajima, E.; Duque Lazo, J.; Rodríguez, R.; Ghezzi, I.; Mabres, A. Effect of Climate and ENSO Events on Prosopis pallida Forests along a Climatic Gradient. Forestry 2018, 91, 552–562. [Google Scholar] [CrossRef]
- Barboza, E.; Bravo, N.; Cotrina-Sanchez, A.; Salazar, W.; Gálvez-Paucar, D.; Gonzales, J.; Saravia, D.; Valqui-Valqui, L.; Cárdenas, G.P.; Ocaña, J.; et al. Modeling the Current and Future Habitat Suitability of Neltuma Pallida in the Dry Forest of Northern Peru under Climate Change Scenarios to 2100. Ecol. Evol. 2024, 14, e70158. [Google Scholar] [CrossRef]
- Vera, E.; Cruz, C.; Barboza, E.; Salazar, W.; Canta, J.; Salazar, E.; Vásquez, H.V.; Arbizu, C.I. Change of Vegetation Cover and Land Use of the Pómac Forest Historical Sanctuary in Northern Peru. Int. J. Environ. Sci. Technol. 2024, 21, 8919–8930. [Google Scholar] [CrossRef]
- La Torre, R.; Hamilton, J.P.; Saucedo-Bazalar, M.; Caycho, E.; Vaillancourt, B.; Wood, J.C.; Ramírez, M.; Buell, C.R.; Orjeda, G. A Chromosome-Level Genome Assembly of the Peruvian Algarrobo (Neltuma pallida) Provides Insights on Its Adaptation to Its Unique Ecological Niche. G3 Genes Genomes Genet. 2025, 15, jkae283. [Google Scholar] [CrossRef] [PubMed]
- Rosales-Islas, E.; Barrera-Tello, D.; Sánchez-González, A.; Galván-Hernández, D.M.; Hernández-León, S.; Octavio-Aguilar, P. Caracterización morfológica y genética de las poblaciones de Abies en Hidalgo, México: Importancia de la identidad taxonómica para el aprovechamiento forestal. Bot. Sci. 2023, 101, 417–434. [Google Scholar] [CrossRef]
- Bessega, C.; Pometti, C.; Ewens, M.; Saidman, B.O.; Vilardi, J.C. Evidences of Local Adaptation in Quantitative Traits in Prosopis alba (Leguminosae). Genetica 2015, 143, 31–44. [Google Scholar] [CrossRef]
- Castañeda-Garzón, S.L.; Argüelles-Cárdenas, J.H.; Zuluaga-Peláez, J.J.; Moreno-Barragán, J. Evaluación de la variabilidad fenotípica en Simarouba amara Aubl., mediante descriptores cualitativos y cuantitativos. Orinoquia 2021, 25, 67–77. [Google Scholar] [CrossRef]
- Castro, W.; Seminario, R.; Nauray, W.; Acevedo-Juárez, B.; De-la-Torre, M.; Avila-George, H. Multispectral Drone Imagery Dataset for plus and Non-plus Neltuma Pallida Trees in Northern Peru. Data Brief 2025, 60, 111645. [Google Scholar] [CrossRef]
- Ipinza, R.; Gutiérrez, B.; Emhart, V. Mejora Genética Forestal Operativa; Universidad Austral de Chile: Valdivia, Chile, 1998; ISBN 978-956-288-072-5. [Google Scholar]
- Tomback, D.F.; Keane, R.E.; Schoettle, A.W.; Sniezko, R.A.; Jenkins, M.B.; Nelson, C.R.; Bower, A.D.; DeMastus, C.R.; Guiberson, E.; Krakowski, J.; et al. Tamm Review: Current and Recommended Management Practices for the Restoration of Whitebark Pine (Pinus albicaulis Engelm.), an Imperiled High-Elevation Western North American Forest Tree. For. Ecol. Manag. 2022, 522, 119929. [Google Scholar] [CrossRef]
- Zobel, B.; Talbert, J. Applied Forest Tree Improvement; Caldwell, N.J., Ed.; Blackburn Press: Caldwell, NJ, USA, 1984; ISBN 978-1-930665-81-1. [Google Scholar]
- Alban, L.; Matorel, M.; Romero, J.; Grados, N.; Cruz, G.; Felker, P. Cloning of Elite, Multipurpose Trees of the Prosopis juliflora/pallida Complex in Piura, Peru. Agrofor. Syst. 2002, 54, 173–182. [Google Scholar] [CrossRef]
- Salazar, W.; Cruz-Grimaldo, C.; Lastra, S.; Rengifo, R.; Vargas-de-la-Cruz, C.; Godoy-Padilla, D.; Sessarego, E.; Cruz, J.; Solórzano, R. Nutritional Quality of the “Algarrobo” Neltuma pallida Fruit and Its Relationship with Soil Properties and Vegetation Indices in the Dry Forests of Northern Peru. Sustainability 2025, 17, 8296. [Google Scholar] [CrossRef]
- Castañeda-Garzón, S.L.; Arenas-Rubio, I.; Argüelles-Cárdenas, J.H.; Montero-Cantillo, Y.D.; Gutiérrez-Berdugo, I.A.; Zuluaga-Peláez, J.J. Caracterización de una plantación juvenil de Cavanillesia platanifolia en la Zona Bananera Colombiana. Madera Bosques 2023, 29, e2922495. [Google Scholar] [CrossRef]
- Paredes Ulloa, C.O.; Viafara, D.; Dueñas, Y.D.; Villalta Mazabanda, B.A.V.; Machado Cuzco, J.A.; Reyes Mera, J.J. Caracterización e Identificación de Especies Forestales Nativas como Fuentes de Semilla en la Amazonía Ecuatoriana. Cienc. Lat. Rev. Científica Multidiscip. 2025, 9, 3242–3258. [Google Scholar] [CrossRef]
- López Lauenstein, D.; Vega, C.; Verga, A.; Lascano, H.R.; Marchelli, P. Local Adaptative Strategies for Coping with Drought Stress in Neltuma alba (Leguminosae, Caesalpinioideae) Are Associated with the Timing of Leaf Senescence. New For. 2025, 56, 28. [Google Scholar] [CrossRef]
- O’Reilly-Wapstra, J.M.; Miller, A.M.; Hamilton, M.G.; Williams, D.; Glancy-Dean, N.; Potts, B.M. Chemical Variation in a Dominant Tree Species: Population Divergence, Selection and Genetic Stability across Environments. PLoS ONE 2013, 8, e58416. [Google Scholar] [CrossRef] [PubMed]
- Whitlock, M.C. Evolutionary Inference from QST. Mol. Ecol. 2008, 17, 1885–1896. [Google Scholar] [CrossRef]
- Brommer, J.E. Whither Pst? The Approximation of Qst by Pst in Evolutionary and Conservation Biology. J. Evol. Biol. 2011, 24, 1160–1168. [Google Scholar] [CrossRef]
- Power, D.A.V. Nasa Power|Data Access Viewer (DAV). Available online: https://power.larc.nasa.gov/data-access-viewer/ (accessed on 22 July 2025).
- Ministerio del Ambiente. Ministerio del Ambiente Mapa Nacional de Ecosistemas del Perú; Ministerio del Ambiente: Lima, Peru, 2019. [Google Scholar]
- MacDicken, K.G. Global Forest Resources Assessment 2015: What, Why and How? For. Ecol. Manag. 2015, 352, 3–8. [Google Scholar] [CrossRef]
- Ministerio del Ambiente. Guía de Inventario de la Flora y Vegetación; Ministerio del Ambiente: Lima, Peru, 2015. [Google Scholar]
- Roque, E.A.R.; Barrena Arroyo, V.M.; Ocaña Canales, J.C. Tamaño óptimo de parcela de inventarios forestales en bosques secos (Lambayeque, Perú). Cienc. Práct. 2023, 3, 3–17. [Google Scholar] [CrossRef]
- Carter, M.R.; Gregorich, E.G. (Eds.) Soil Sampling and Methods of Analysis, 2nd ed.; CRC Press: Boca Raton, FL, USA, 2007; ISBN 978-0-429-12622-2. [Google Scholar]
- NOM-021-RECNAT-2000; Specifications for Soil Fertility, Salinity and Classification. Secretaría de Medio Ambiente y Recursos Naturales (SEMARNAT): Mexico City, Mexico, 2002.
- Bayarri, S.; Costell, E. Sensory Evaluation of Fruit and Vegetable Flavors. In Handbook of Fruit and Vegetable Flavors; John Wiley & Sons Ltd.: Hoboken, NJ, USA, 2010; pp. 45–57. ISBN 978-0-470-62283-4. [Google Scholar]
- Lawless, H.T.; Heymann, H. Sensory Evaluation of Food: Principles and Practices; Food Science Text Series; Springer: New York, NY, USA, 2010; ISBN 978-1-4419-6487-8. [Google Scholar]
- Civille, G.V.; Carr, B.T.; Osdoba, K.E. Sensory Evaluation Techniques, 6th ed.; CRC Press: Boca Raton, FL, USA, 2024; ISBN 978-1-003-35208-2. [Google Scholar]
- Blondeau Da Silva, S.; Da Silva, A. Pstat: An R Package to Assess Population Differentiation in Phenotypic Traits. R J. 2018, 10, 447–454. [Google Scholar] [CrossRef]
- Aitchison, J. The Statistical Analysis of Compositional Data. J. R. Stat. Soc. Ser. B (Methodol.) 1982, 44, 139–160. [Google Scholar] [CrossRef]
- Spitze, K. Population Structure in Daphnia Obtusa: Quantitative Genetic and Allozymic Variation. Genetics 1993, 135, 367–374. [Google Scholar] [CrossRef]
- Merilä, J.; Crnokrak, P. Comparison of Genetic Differentiation at Marker Loci and Quantitative Traits. J. Evol. Biol. 2001, 14, 892–903. [Google Scholar] [CrossRef]
- R Core Team. R: A Language and Environment for Statistical Computing; R Foundation for Statistical Computing: Vienna, Austria, 2025. [Google Scholar]
- Allaire, J.J.; Dervieux, C. Quarto: R Interface to “Quarto” Markdown Publishing System; CRAN: Wien, Austria, 2025. [Google Scholar] [CrossRef]
- Marcelo-Bazán, F.E.; Mantilla-Chávez, W.; Paredes-Pajares, K.P.; Chávez-Cercado, D.M.; Baselly-Villanueva, J.R.; Álvarez-Álvarez, P. Identification of the Optimal Substrate for Sexual Propagation of Cinchona officinalis L.: Implications for Conservation and Sustainable Use. For. Sci. 2025, 71, 397–422. [Google Scholar] [CrossRef]
- Husson, F.; Josse, J.; Le, S.; Mazet, J. FactoMineR: Multivariate Exploratory Data Analysis and Data Mining; CRAN: Wien, Austria, 2024. [Google Scholar] [CrossRef]
- Kassambara, A.; Mundt, F. Factoextra: Extract and Visualize the Results of Multivariate Data Analyses; CRAN: Wien, Austria, 2020. [Google Scholar] [CrossRef]
- Oksanen, J.; Simpson, G.L.; Blanchet, F.G.; Kindt, R.; Legendre, P.; Minchin, P.R.; O’Hara, R.B.; Solymos, P.; Stevens, M.H.H.; Szoecs, E.; et al. Vegan: Community Ecology Package; CRAN: Wien, Austria, 2025. [Google Scholar] [CrossRef]
- Lenth, R.V.; Bolker, B.; Buerkner, P.; Giné-Vázquez, I.; Herve, M.; Jung, M.; Love, J.; Miguez, F.; Piaskowski, J.; Riebl, H.; et al. Emmeans: Estimated Marginal Means, Aka Least-Squares Means; CRAN: Wien, Austria, 2024. [Google Scholar] [CrossRef]
- Galili, T.; O’Callaghan, A.; Sidi, J.; Joo, J.; Benjamini, Y. Heatmaply: Interactive Cluster Heat Maps Using “Plotly” and “Ggplot2”; CRAN: Wien, Austria, 2023. [Google Scholar] [CrossRef]
- Blondeau Da Silva, S.; Da Silva, A. Pstat: Assessing Pst Statistics; CRAN: Wien, Austria, 2017. [Google Scholar]
- Chequer Charan, D.; Pometti, C.; Cony, M.; Vilardi, J.C.; Saidman, B.O.; Bessega, C. Genetic Variance Distribution of SSR Markers and Economically Important Quantitative Traits in a Progeny Trial of Prosopis chilensis (Leguminosae): Implications for the ‘Algarrobo’ Management Programme. Forestry 2021, 94, 204–218. [Google Scholar] [CrossRef]
- Villagra, P.E.; Boninsegna, J.A.; Alvarez, J.A.; Cony, M.; Cesca, E.; Villalba, R. Dendroecology of Prosopis flexuosa Woodlands in the Monte Desert: Implications for Their Management. Dendrochronologia 2005, 22, 209–213. [Google Scholar] [CrossRef]
- Yang, J.; Huang, Y.; Jiang, X.; Chen, H.; Liu, M.; Wang, R. Potential Geographical Distribution of the Edangred Plant Isoetes under Human Activities Using MaxEnt and GARP. Glob. Ecol. Conserv. 2022, 38, e02186. [Google Scholar] [CrossRef]
- Jiang, J.; Wang, Y.-P.; Yang, Y.; Yu, M.; Wang, C.; Yan, J. Interactive Effects of Nitrogen and Phosphorus Additions on Plant Growth Vary with Ecosystem Type. Plant Soil 2019, 440, 523–537. [Google Scholar] [CrossRef]
- Hoffland, E.; Kuyper, T.W.; Comans, R.N.J.; Creamer, R.E. Eco-Functionality of Organic Matter in Soils. Plant Soil 2020, 455, 1–22. [Google Scholar] [CrossRef]
- Neina, D. The Role of Soil pH in Plant Nutrition and Soil Remediation. Appl. Environ. Soil Sci. 2019, 2019, 5794869. [Google Scholar] [CrossRef]
- Ni, Y.; Yang, T.; Ma, Y.; Zhang, K.; Soltis, P.S.; Soltis, D.E.; Gilbert, J.A.; Zhao, Y.; Fu, C.; Chu, H. Soil pH Determines Bacterial Distribution and Assembly Processes in Natural Mountain Forests of Eastern China. Glob. Ecol. Biogeogr. 2021, 30, 2164–2177. [Google Scholar] [CrossRef]
- Bello, S.K.; Alayafi, A.H.; AL-Solaimani, S.G.; Abo-Elyousr, K.A.M. Mitigating Soil Salinity Stress with Gypsum and Bio-Organic Amendments: A Review. Agronomy 2021, 11, 1735. [Google Scholar] [CrossRef]
- Meglioli, P.A.; Alvarez, J.A.; Lana, N.B.; Cony, M.A.; Villagra, P.E. Salt Tolerance of Native Trees Relevant to the Restoration of Degraded Landscapes in the Monte Region, Argentina. Restor. Ecol. 2025, 33, e14246. [Google Scholar] [CrossRef]
- Amin, I.; Rasool, S.; Mir, M.A.; Wani, W.; Masoodi, K.Z.; Ahmad, P. Ion Homeostasis for Salinity Tolerance in Plants: A Molecular Approach. Physiol. Plant. 2021, 171, 578–594. [Google Scholar] [CrossRef] [PubMed]
- Zhang, M.; Liu, Y.; Han, G.; Zhang, Y.; Wang, B.; Chen, M. Salt Tolerance Mechanisms in Trees: Research Progress. Trees 2021, 35, 717–730. [Google Scholar] [CrossRef]
- Sadia, S.; Waheed, M.; Firdous, S.; Arshad, F.; Fonge, B.A.; Al-Andal, A. Ecological Analysis of Plant Community Structure and Soil Effects in Subtropical Forest Ecosystem. BMC Plant Biol. 2024, 24, 1275. [Google Scholar] [CrossRef]
- Baselly-Villanueva, J.R.; Bazán, F.E.M.; Casas, G.G.; Lozano, A.I.L.; Castedo-Dorado, F.; Álvarez-Álvarez, P. Relación de los factores ambientales con la productividad de Eucalyptus globulus en los Andes norperuanos. Bosque 2024, 45, 103–118. [Google Scholar] [CrossRef]
- Rufasto-Peralta, Y.L.; Baselly-Villanueva, J.R.; Alva-Mendoza, D.M.; Seminario-Cunya, A.; Elera-Gonzales, D.G.; Villena-Velásquez, J.J. Estimación de la calidad de sitio de Cinchona pubescens (Rubiaceae), en el bosque montano La Palma, Chota, Perú. Lilloa 2023, 60, 259–279. [Google Scholar] [CrossRef] [PubMed]
- Sun, W.; Yuan, X.; Liu, Z.-J.; Lan, S.; Tsai, W.; Zou, S.-Q. Multivariate Analysis Reveals Phenotypic Diversity of Euscaphis japonica Population. PLoS ONE 2019, 14, e0219046. [Google Scholar] [CrossRef] [PubMed]
- Yadav, R.K.; Gautam, S.; Palikhey, E.; Joshi, B.K.; Ghimire, K.H.; Gurung, R.; Adhikari, A.R.; Pudasaini, N.; Dhakal, R. Agro-Morphological Diversity of Nepalese Naked Barley Landraces. Agric. Food Secur. 2018, 7, 86. [Google Scholar] [CrossRef]
- Bessega, C.; Cony, M.; Pometti, C. Genetic Zones of Neltuma flexuosa, the Algarrobo Tree from the Monte Desert in Argentina. For. Ecol. Manag. 2025, 586, 122715. [Google Scholar] [CrossRef]
- Vega, M.V.; Saidman, B.O.; Vilardi, J.C.; Vega, M.V.; Saidman, B.O.; Vilardi, J.C. Spatial Structure of Phenotypic Traits in Seven Provenances of Neltuma alba (Fabaceae). Boletín Soc. Argent. Botánica 2023, 58, 6. [Google Scholar] [CrossRef]
- Esparza-Orozco, A.; Carranza-Becerra, L.; Delgadillo-Ruiz, L.; Bollaín y Goytia, J.J.; Gaytán-Saldaña, N.A.; Mandujano-García, C.D.; Delgadillo-Ruiz, E.; Michel-López, C.Y.; Huerta-García, J.; Valladares-Carranza, B.; et al. Environmental Heterogeneity Drives Secondary Metabolite Diversity from Mesquite Pods in Semiarid Regions. Ecologies 2025, 6, 19. [Google Scholar] [CrossRef]
- Vidaković, A.; Liber, Z.; Šatović, Z.; Idžojtić, M.; Volenec, I.; Zegnal, I.; Pintar, V.; Radunić, M.; Poljak, I. Phenotypic Diversity of Almond-Leaved Pear (Pyrus spinosa Forssk.) along Eastern Adriatic Coast. Forests 2021, 12, 1630. [Google Scholar] [CrossRef]
- Wang, C.; Gong, H.; Feng, M.; Tian, C. Phenotypic Variation in Leaf, Fruit and Seed Traits in Natural Populations of Eucommia ulmoides, a Relict Chinese Endemic Tree. Forests 2023, 14, 462. [Google Scholar] [CrossRef]
- Castillo, M.L.; Schaffner, U.; van Wilgen, B.W.; Montaño, N.M.; Bustamante, R.O.; Cosacov, A.; Mathese, M.J.; Le Roux, J.J. Genetic Insights into the Globally Invasive and Taxonomically Problematic Tree Genus Prosopis. AoB Plants 2021, 13, plaa069. [Google Scholar] [CrossRef]
- Darquier, M.R.; Bessega, C.F.; Cony, M.; Vilardi, J.C.; Saidman, B.O. Evidence of Heterogeneous Selection on Quantitative Traits of Prosopis flexuosa (Leguminosae) from Multivariate QST–FST Test. Tree Genet. Genomes 2013, 9, 307–320. [Google Scholar] [CrossRef]
- Ramírez-Valiente, J.A.; Solé-Medina, A.; Pyhäjärvi, T.; Savolainen, O.; Cervantes, S.; Kesälahti, R.; Kujala, S.T.; Kumpula, T.; Heer, K.; Opgenoorth, L.; et al. Selection Patterns on Early-Life Phenotypic Traits in Pinus sylvestris Are Associated with Precipitation and Temperature along a Climatic Gradient in Europe. New Phytol. 2021, 229, 3009–3025. [Google Scholar] [CrossRef] [PubMed]
- Brancalion, P.H.S.; Oliveira, G.C.X.; Zucchi, M.I.; Novello, M.; van Melis, J.; Zocchi, S.S.; Chazdon, R.L.; Rodrigues, R.R. Phenotypic Plasticity and Local Adaptation Favor Range Expansion of a Neotropical Palm. Ecol. Evol. 2018, 8, 7462–7475. [Google Scholar] [CrossRef]
- Vallejos, J.; Badilla, Y.; Picado, F.; Murillo, O. Metodología para la selección e incorporación de árboles plus en programas de mejoramiento genético forestal. Agron. Costarric. 2010, 34, 105–119. [Google Scholar] [CrossRef]
- Duarte, D.; Jurcic, E.J.; Dutour, J.; Villalba, P.V.; Centurión, C.; Grattapaglia, D.; Cappa, E.P. Genomic Selection in Forest Trees Comes to Life: Unraveling Its Potential in an Advanced Four-Generation Eucalyptus grandis Population. Front. Plant Sci. 2024, 15, 1462285. [Google Scholar] [CrossRef]
- López, B.C.; Sabaté, S.; Gracia, C.A.; Rodríguez, R. Wood Anatomy, Description of Annual Rings, and Responses to ENSO Events of Prosopis pallida H.B.K., a Wide-Spread Woody Plant of Arid and Semi-Arid Lands of Latin America. J. Arid Environ. 2005, 61, 541–554. [Google Scholar] [CrossRef]






| Variable | Minimum | Maximum | Mean | Deviation | |
|---|---|---|---|---|---|
| Edaphic | CaCO3 (%) | 0.09 | 2.1 | 1.03 | 0.7 |
| EC (dS/m) | 0.03 | 7.69 | 0.78 | 2.08 | |
| P (ppm) | 8.42 | 250.1 | 84.88 | 94.85 | |
| OM (%) | 0.19 | 6.7 | 2.29 | 2.31 | |
| N (%) | 0.03 | 0.2 | 0.09 | 0.04 | |
| K (ppm) | 11.1 | 1321.13 | 415 | 396.57 | |
| pH | 5.59 | 8.68 | 7.37 | 1.01 | |
| Climatic | CS (MJ/m2/day) | 11.2 | 11.4 | 11.32 | 0.09 |
| pp (mm/year) | 190.8 | 495.6 | 264.31 | 86.83 | |
| RH (%) | 60.4 | 73.1 | 62.59 | 3.33 | |
| Tmean (°C) | 22.9 | 26.3 | 25.25 | 0.97 | |
| WS (m/s) | 2.1 | 4 | 3.18 | 0.66 | |
| Tmax (°C) | 31.4 | 39.3 | 37.85 | 2.15 | |
| Tmin (°C) | 14 | 20.4 | 16.45 | 1.49 | |
| Physiographic | SLI (m) | 5 | 180 | 71.08 | 50.16 |
| Slope (%) | 0.33 | 5.13 | 2.61 | 1.49 | |
| DW (m) | 14.17 | 2817.37 | 751.48 | 894.24 |
| Variable | Evaluation Criteria |
|---|---|
| Tree form | 1 = Multi-stemmed (<1.2 m) with branches >30° |
| 2 = Intermediate | |
| 3 = Single stem (<1.2 m) with branches ≤30° | |
| Trunk quality | 1 = Defective |
| 2 = Fair with defects | |
| 3 = No defects or only minor defects | |
| Forking | 1 = Below DBH |
| 2 = At DBH | |
| 3 = No branching | |
| Fruit production | 0 = No fruits |
| 1 = Up to 25% of the branches | |
| 2 = Up to 50% | |
| 3 = Up to 75% | |
| 4 = Up to 100% | |
| Fruit quality | 0 = Very bitter |
| 1 = Bitter | |
| 2 = Sweet | |
| 3 = Very sweet | |
| Foliage quality | 1 = Foliage on up to 1/3 of the branches |
| 2 = Up to 2/3 of the branches | |
| 3 = Full foliage on all branches |
| Variable | Score Ranges |
|---|---|
| Diameter at breast height (DBH) (cm) | 1 = 10–35 cm |
| 2 = 36–60 cm | |
| 3 = 61–85 cm | |
| 4 = >86 cm | |
| Total height (m) | 1 = 4.0–9.0 m |
| 2 = 9.1–14.0 m | |
| 3 = 14.1–19.0 m | |
| 4 = 19.1–24.0 m | |
| 5 = 24.1–29.0 m | |
| Branch height (m) | 1 = 0–2.0 m |
| 2 = 2.1–4.0 m | |
| 3 = 4.1–6.0 m | |
| 4 = 6.1–8.0 m | |
| 5 = >8.1 m | |
| Crown diameter (m) | 1 = 0–5.0 m |
| 2 = 6.0–10.0 m | |
| 3 = 11.0–15.0 m | |
| 4 = 16.0–20.0 m | |
| 5 = >21 m |
| SN | Qualitative Traits | Shannon-Weaver Index | Descriptor’s States | Frequency | Proportion (%) |
|---|---|---|---|---|---|
| 1 | Tree form | 1.09 | 1 = Multi-stemmed (<1.2 m) with branches > 30° | 195 | 30.9 |
| 2 = Intermediate | 239 | 37.88 | |||
| 3 = Single stem (<1.2 m) with branches ≤ 30° | 197 | 31.22 | |||
| 2 | Trunk quality | 1.09 | 1 = Defective | 195 | 30.9 |
| 2 = Fair with defects | 248 | 39.3 | |||
| 3 = No defects or only minor defects | 188 | 29.79 | |||
| 3 | Forking | 0.55 | 1 = Below DBH | 25 | 3.96 |
| 2 = At DBH | 82 | 13 | |||
| 3 = No forking | 524 | 83.04 | |||
| 4 | Fruit production | 1.3 | 0 = No fruits | 332 | 52.61 |
| 1 = Up to 25% of the branches | 93 | 14.74 | |||
| 2 = Up to 50% | 117 | 18.54 | |||
| 3 = Up to 75% | 52 | 8.24 | |||
| 4 = Up to 100% | 37 | 5.86 | |||
| 5 | Fruit quality | 1 | 0 = Very bitter | 337 | 53.41 |
| 1 = Bitter | 14 | 2.22 | |||
| 2 = Sweet | 223 | 35.34 | |||
| 3 = Very sweet | 57 | 9.03 | |||
| 6 | Foliage quality | 1.07 | 1 = Foliage on up to 1/3 of the branches | 139 | 22.03 |
| 2 = Up to 2/3 of the branches | 265 | 42 | |||
| 3 = Full foliage on all branches | 227 | 35.97 |
| Trait | Pst Values | 95% Low Bound CI | 95% Up Bound CI |
|---|---|---|---|
| DBH | 0.92 | 0.90 | 0.94 |
| Crown diameter | 0.83 | 0.79 | 0.88 |
| Branch height | 0.93 | 0.91 | 0.95 |
| Total height | 0.94 | 0.93 | 0.95 |
| Tree form | 0.96 | 0.95 | 0.97 |
| Trunk quality | 0.90 | 0.87 | 0.93 |
| Fruit production | 0.98 | 0.97 | 0.98 |
| Fruit quality | 0.96 | 0.95 | 0.97 |
| Foliage quality | 0.93 | 0.91 | 0.95 |
Disclaimer/Publisher’s Note: The statements, opinions and data contained in all publications are solely those of the individual author(s) and contributor(s) and not of MDPI and/or the editor(s). MDPI and/or the editor(s) disclaim responsibility for any injury to people or property resulting from any ideas, methods, instructions or products referred to in the content. |
© 2025 by the authors. Licensee MDPI, Basel, Switzerland. This article is an open access article distributed under the terms and conditions of the Creative Commons Attribution (CC BY) license (https://creativecommons.org/licenses/by/4.0/).
Share and Cite
Casas-Niño, S.; Baselly-Villanueva, J.R.; Salazar-Hinostroza, E.J.; Chumbimune-Vivanco, S.Y.; Nauray, W.; Tirabante-Terrones, N.; Ramirez Rojas, M.; Lozano-Isla, F. Diversity and Selection of Superior Algarrobos (Neltuma pallida) Phenotypes in the Natural Dry Forests of Peru for Sustainable Conservation and Genetic Improvement. Diversity 2025, 17, 802. https://doi.org/10.3390/d17110802
Casas-Niño S, Baselly-Villanueva JR, Salazar-Hinostroza EJ, Chumbimune-Vivanco SY, Nauray W, Tirabante-Terrones N, Ramirez Rojas M, Lozano-Isla F. Diversity and Selection of Superior Algarrobos (Neltuma pallida) Phenotypes in the Natural Dry Forests of Peru for Sustainable Conservation and Genetic Improvement. Diversity. 2025; 17(11):802. https://doi.org/10.3390/d17110802
Chicago/Turabian StyleCasas-Niño, Sebastian, Juan Rodrigo Baselly-Villanueva, Evelin Judith Salazar-Hinostroza, Sheyla Yanett Chumbimune-Vivanco, William Nauray, Nery Tirabante-Terrones, Max Ramirez Rojas, and Flavio Lozano-Isla. 2025. "Diversity and Selection of Superior Algarrobos (Neltuma pallida) Phenotypes in the Natural Dry Forests of Peru for Sustainable Conservation and Genetic Improvement" Diversity 17, no. 11: 802. https://doi.org/10.3390/d17110802
APA StyleCasas-Niño, S., Baselly-Villanueva, J. R., Salazar-Hinostroza, E. J., Chumbimune-Vivanco, S. Y., Nauray, W., Tirabante-Terrones, N., Ramirez Rojas, M., & Lozano-Isla, F. (2025). Diversity and Selection of Superior Algarrobos (Neltuma pallida) Phenotypes in the Natural Dry Forests of Peru for Sustainable Conservation and Genetic Improvement. Diversity, 17(11), 802. https://doi.org/10.3390/d17110802

