Environmental DNA Reveals Fish Diversity Reestablishment of China’s Lake Ecosystem Driven by Extreme Drought and Human Intervention
Abstract
1. Introduction
2. Methods
2.1. Study Sites and Sampling
2.2. eDNA Extraction
2.3. PCR Amplification
2.4. Library Building and High-Throughput Sequencing
2.5. Bioinformatics Analysis
2.6. Diversity Index Analysis
2.7. Statistics Analysis
3. Results
3.1. eDNA Detection of Fish Species
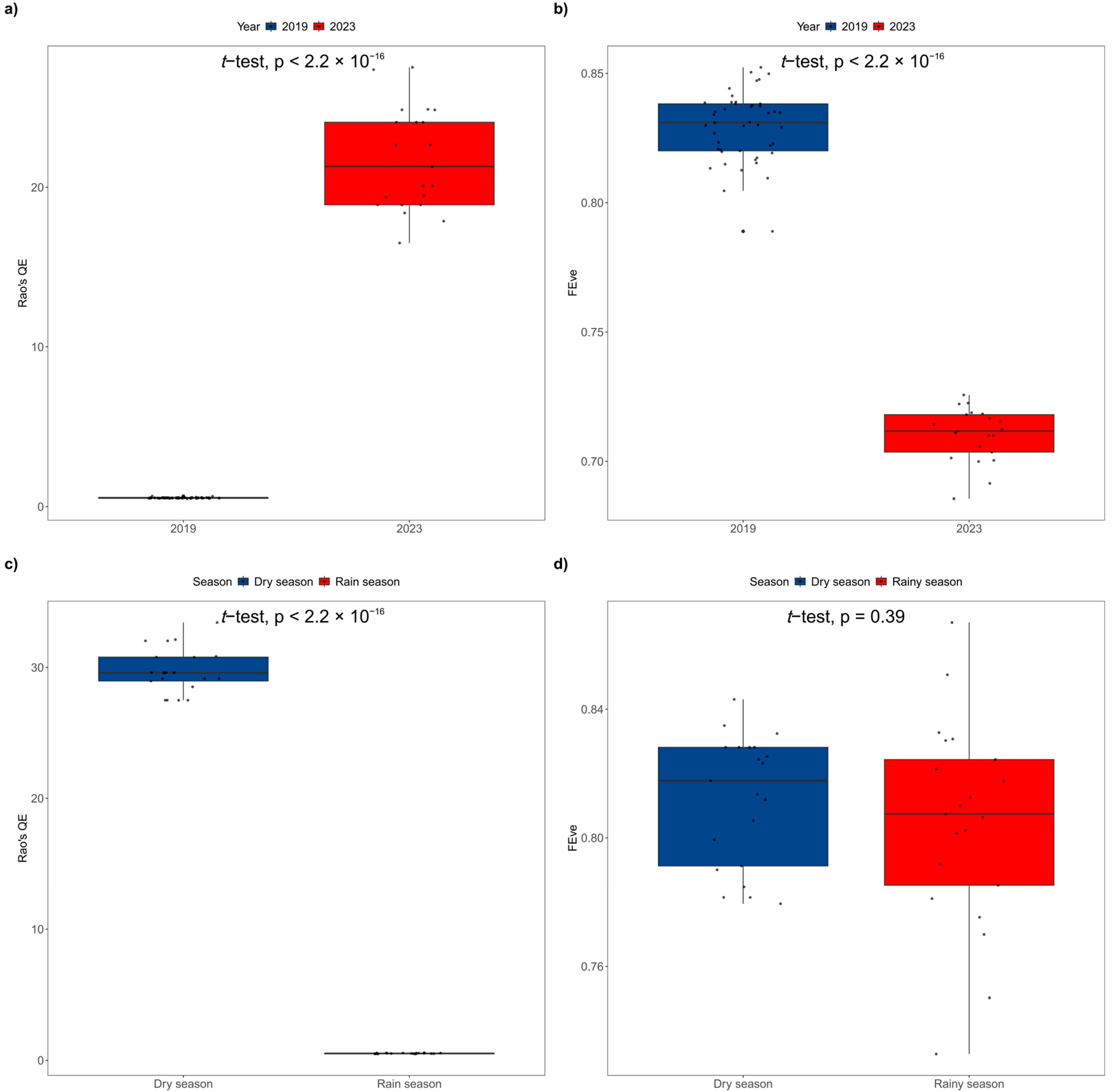
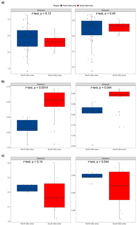
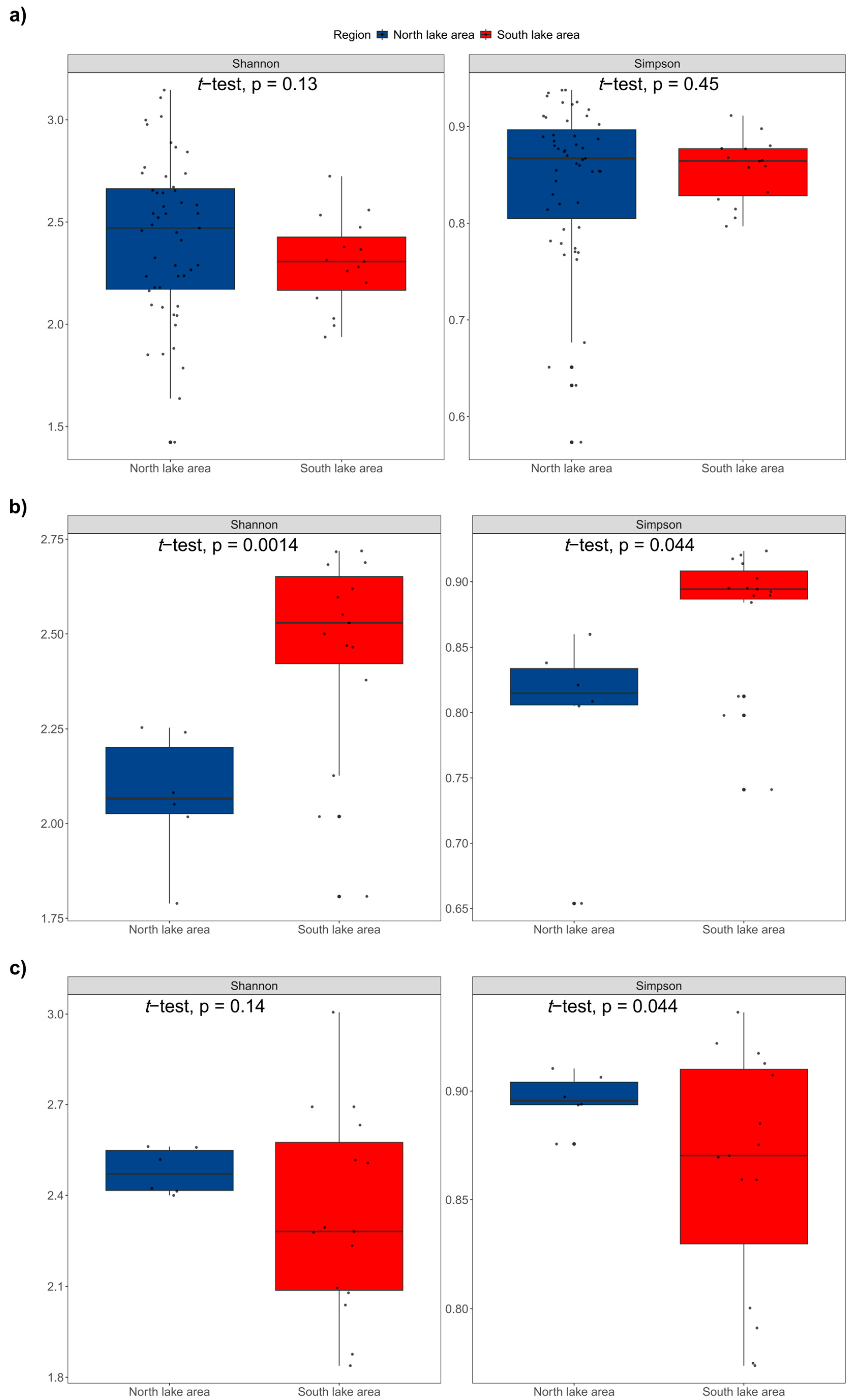
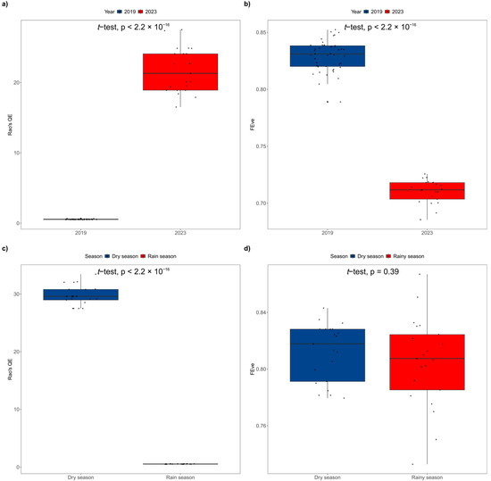
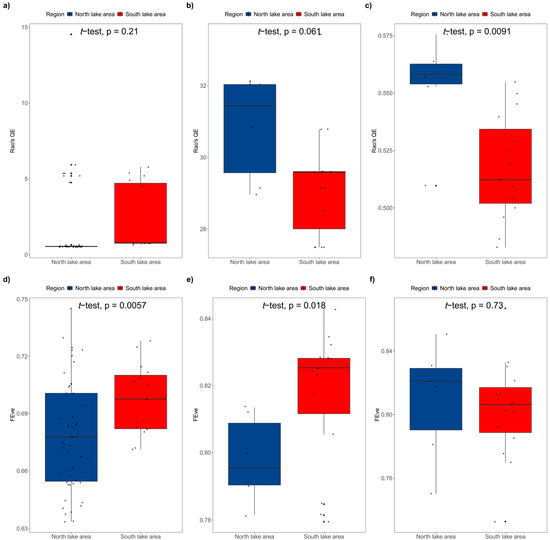
3.2. Temporal and Spatial Comparison of α- and β-TD
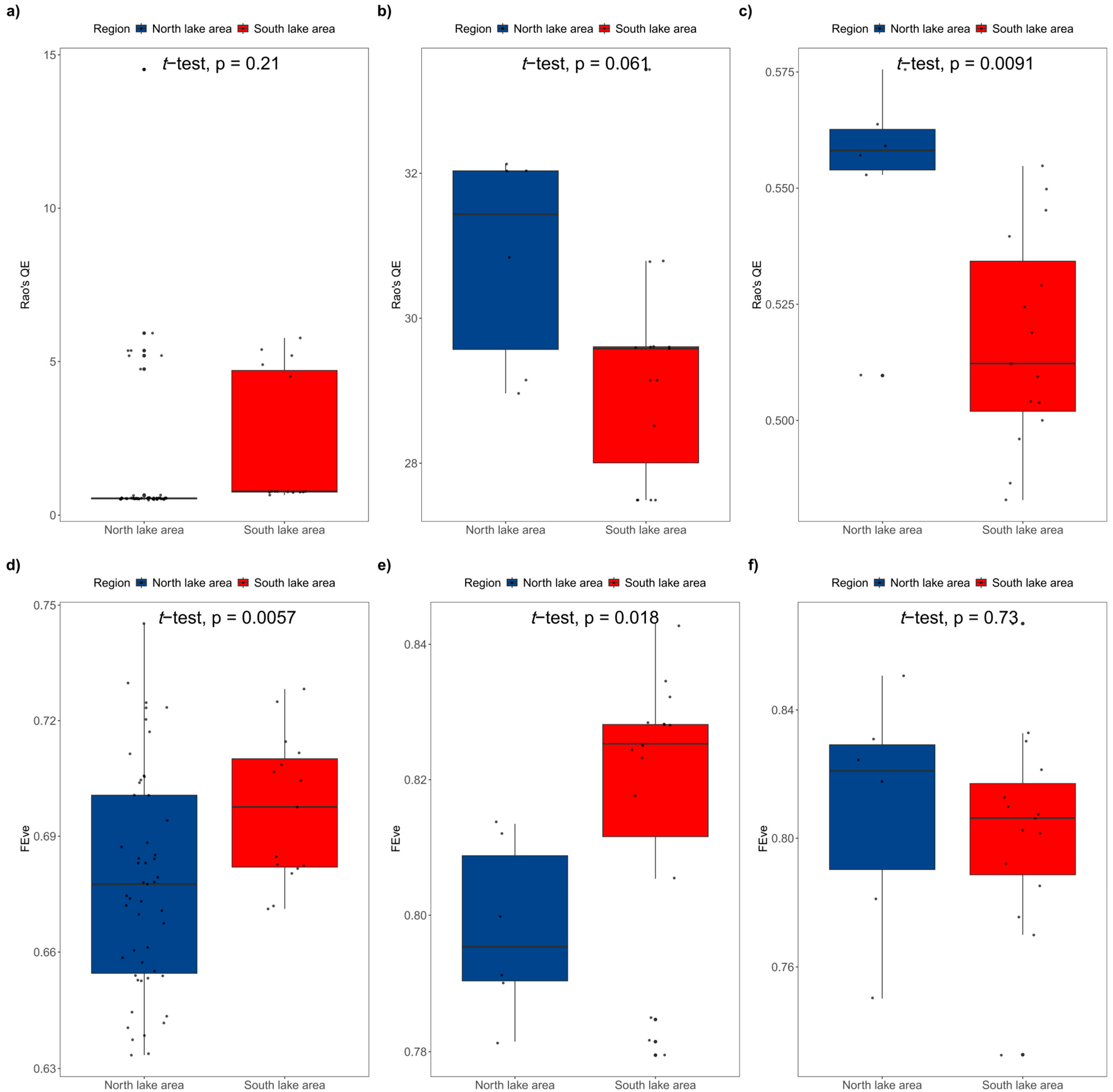
3.3. Temporal and Spatial Comparison of α- and β-FD
4. Discussion
4.1. Comparison of Fish Diversity in Poyang Lake Based on eDNA with Historical Records
4.2. Reestablishment of Fish Community After Extreme Drought in Poyang Lake
4.3. Response of Fish Community to Drought
4.4. Fish Community Recovery Is Affected by Human Intervention
5. Conclusions
Supplementary Materials
Author Contributions
Funding
Data Availability Statement
Acknowledgments
Conflicts of Interest
References
- Malmqvist, B.; Rundle, S.D.; Covich, A.P.; Hildrew, A.G.; Robinson, C.T.; Townsend, C.R. Prospects for streams and rivers: An ecological perspective. In Aquatic Systems: Trends and Global Perspectives; Polunin, N., Ed.; Cambridge University Press: Cambridge, UK, 2008; pp. 19–29. [Google Scholar]
- Woodward, G. Biodiversity, ecosystem functioning and food webs in fresh waters: Assembling the jigsaw puzzle. Freshw. Biol. 2009, 54, 2171–2187. [Google Scholar] [CrossRef]
- Sala, O.E.; Chapin, F.S., III; Armesto, J.J.; Berlow, E.; Bloomfield, J.; Dirzo, R.; Huber-Sanwald, E.; Huenneke, L.F.; Jackson, R.B.; Kinzig, A. Global biodiversity scenarios for the year. Science 2000, 287, 1770–1774. [Google Scholar] [CrossRef]
- Dudgeon, D.; Arthington, A.H.; Gessner, M.O.; Kawabata, Z.; Knowler, D.J.; Lévêque, C.; Naiman, R.J.; Prieur-Richard, A.; Soto, D.; Stiassny, M.L.J.; et al. Freshwater biodiversity: Importance, threats, status and conservation challenges. Biol. Rev. 2006, 81, 163–182. [Google Scholar] [CrossRef]
- Bradley, J.; Cardinale, J.; Duffy, E.; Gonzalez, A.; Hooper, D.U.; Perrings, C.; Venail, P.; Narwani, A.; Mace, G.M.; Tilman, D.; et al. Biodiversity loss and its impact on humanity. Nature 2012, 486, 59–67. [Google Scholar] [CrossRef]
- Duker, L.; Borre, L. Biodiversity Conservation of the World’s Lakes: A Preliminary Framework for Identifying Priorities; LakeNet Secretariat Monitor International: Annapolis, MD, USA, 2001. [Google Scholar]
- Vadeboncoeur, Y.; McIntyre, P.B.; Zanden, M.J.V. Borders of Biodiversity: Life at the Edge of the World’s Large Lakes. BioScience 2011, 61, 526–537. [Google Scholar] [CrossRef]
- Ma, R.; Yang, G.; Duan, H.; Jiang, J.; Wang, S.; Feng, X.; Li, A.; Kong, F.; Xue, B.; Wu, J.; et al. China’s lakes at present: Number, area and spatial distribution. Sci. China Earth Sci. 2011, 3, 394–401. [Google Scholar] [CrossRef]
- Wu, Y.H.; Ji, W.T. Researches on Poyang Lake National Nature Reserve, Jiangxi Province; China Forestry Publishing House: Beijing, China, 2002. [Google Scholar]
- Mei, Z.; Hao, Y.; Zheng, J.; Wang, Z.; Wang, K.; Wang, D. Population status and conservation outlooks of Yangtze finless porpoise in the Lake Poyang. J. Lake Sci. 2021, 33, 1289–1298. [Google Scholar] [CrossRef]
- National Forestry and Grassland Administration, Ministry of Agriculture and Rural Affairs (2021) National Classified Key Protected Wildlife List. [2021] No. 3. Available online: http://yyj.moa.gov.cn/gzdt/202102/t20210205_6361296.htm (accessed on 2 May 2021).
- Huang, Y.; Li, Y.; Ji, W.; Xu, P.; Wang, Z. Bird diversity and conservation status in Poyang Lake area. Wetl. Sci. 2016, 14, 311–327. [Google Scholar]
- Zhang, N.; Li, Y.; Shan, J.; Tu, X.; Zhang, Y.; Li, Y.; Wang, L.; Ying, Q. Community structure, abundance and spatial distribution of water birds wintering in Poyang Lake wetland. J. Lake Sci. 2019, 31, 183–194. [Google Scholar] [CrossRef]
- Thirumalai, K.; DiNezio, P.N.; Okumura, Y.; Deser, C. Extreme temperatures in Southeast Asia caused by El Niño and worsened by global warming. Nat. Commun. 2017, 8, 15531. [Google Scholar] [CrossRef]
- Zhang, C.; Zhang, S.; Ning, H. Trends of extreme weather and climate events in China in recent 60 years and their characteristics in China in recent 60 years and their characteristics in 2023. J. Arid. Meteorol. 2024, 4, 536–552. [Google Scholar]
- Li, W.; Jiang, M.; Xu, L.; Hu, S.; You, H.; Zhou, Q.; Chen, Z.; Zhang, L. Spatial and temporal characteristics of phytoplankton in Lake Poyang and its response to extreme flood and drying events. J. Lake Sci. 2024, 36, 1001–1013. [Google Scholar] [CrossRef]
- Zhang, X.; Jin, B.; Chen, J.; Wu, J.; Liu, G.; Ma, Z. Relationship between Habitat Use of Four Waterbird Species and Water Depth and Food Resource in Poyang Lake. Chin. J. Zool. 2014, 49, 657–665. [Google Scholar]
- Zhang, X.; Yu, D.; Wang, H.; Wan, A.; Jiang, Z.; Chen, S. Study of fish community structure in the main habitat of the finless porpoise, the Anqing section of Yangtze River. Acta Ecol. Sin. 2016, 36, 1–8. [Google Scholar] [CrossRef]
- Wang, S.; Dou, H. Lakes of China; Science Press: Beijing, China, 1998; pp. 215–218. [Google Scholar]
- Xing, Y.; Gao, W.; Shen, Z.; Zhang, Y.; Bai, J.; Cai, X.; Ouyang, J.; Zhao, Y. A review of environmental DNA field and laboratory protocols applied in fish ecology and environmental health. Front. Environ. Sci. 2022, 10, 725360. [Google Scholar] [CrossRef]
- Riaz, T.; Shehzad, W.; Viari, A.; Pompanon, F.; Taberlet, P.; Coissac, E. ecoPrimers: Inference of new DNA barcode markers from whole genome sequence analysis. Nucleic Acids Res. 2011, 39, e145. [Google Scholar] [CrossRef] [PubMed]
- Miya, M.; Sato, Y.; Fukunaga, T.; Sado, T.; Poulsen, J.Y.; Sato, K.; Minamoto, T.; Yamamoto, S.; Yamanaka, H.; Araki, H.; et al. MiFish, a set of universal PCR primers for metabarcoding environmental DNA from fishes: Detection of more than 230 subtropical marine species. R. Soc. Open Sci. 2015, 2, 1–33. [Google Scholar] [CrossRef]
- Coissac, E. OligoTag: A program for designing sets of tags for next-generation sequencing of multiplexed samples. Methods Mol. Biol. 2012, 888, 13–31. [Google Scholar]
- Bolger, A.M.; Lohse, M.; Usadel, B. Trimmomatic: A flexible trimmer for Illumina sequence data. Bioinformatics 2014, 30, 2114–2120. [Google Scholar] [CrossRef] [PubMed]
- Caporaso, J.G.; Kuczynski, J.; Stombaugh, J.; Bittinger, K.; Bushman, F.D.; Costello, E.K.; Fierer, N.; Peña, A.G.; Goodrich, J.K.; Gordon, J.I.; et al. QIIME allows analysis of high-throughput community sequencing data. Nat. Methods 2010, 7, 335–336. [Google Scholar] [CrossRef]
- Martin, M. Cutadapt Removes Adapter Sequences from High-Throughput Sequencing Reads. EMBnet J. 2011, 17, 10–12. [Google Scholar] [CrossRef]
- Rognes, T.; Flouri, T.; Nichols, B.; Quince, C.; Mahé, F. VSEARCH: A versatile open source tool for metagenomics. PeerJ 2016, 18, e2584. [Google Scholar] [CrossRef] [PubMed]
- Magurran, A.E. Measuring Biological Diversity; Blackwell Science Ltd.: Oxford, UK, 2004. [Google Scholar]
- Jarzyna, M.A.; Jetz, W. Taxonomic and functional diversity change is scale dependent. Nat. Commun. 2018, 9, 2565. [Google Scholar] [CrossRef]
- Safi, K.; Cianciaruso, M.V.; Loyola, R.D.; Brito, D.; Armour-Marshall, K.; Diniz-Filho, J.F. Understanding global patterns of mammalian functional and phylogenetic diversity. Philos. Trans. R. Soc. B 2011, 366, 2536–2544. [Google Scholar] [CrossRef] [PubMed]
- Cardoso, P.; Rigal, F.; Borges, P.A.V.; Carvalho, J.C. A new frontier in biodiversity inventory: A proposal for estimators of phylogenetic and functional diversity. Methods Ecol. Evol. 2014, 5, 452–461. [Google Scholar] [CrossRef]
- Poos, M.S.; Walker, S.C.; Jackson, D.A. Functional-diversity indices can be driven by methodological choices and species richness. Ecology 2009, 90, 341–347. [Google Scholar] [CrossRef] [PubMed]
- Mouchet, M.A.; Villeger, S.; Mason, N.W.H.; Mouillot, D. Functional diversity measures: An overview of their redundancy and their ability to discriminate community assembly rules. Funct. Ecol. 2010, 24, 867–876. [Google Scholar] [CrossRef]
- Hänfling, B.; Handley, L.; Read, D.S.; Hahn, C.; Li, J.; Nichols, P.; Blackman, R.C.; Oliver, A.; Winfield, I.J. Environmental DNA metabarcoding of lake fish communities reflects long-term data from established survey methods. Mol. Ecol. 2016, 25, 3101–3119. [Google Scholar] [CrossRef]
- Zhang, S.; Lu, Q.; Wang, Y.; Wang, X.; Zhao, J.; Yao, M. Assessment of Fish Communities Using Environmental DNA: Effect of Spatial Sampling Design in Lentic Systems of Different Sizes. Mol. Ecol. Resour. 2020, 20, 242–255. [Google Scholar] [CrossRef]
- Watson, D.J.; Balon, E.K. Ecomorphological analysis of fish taxocenes in rainforest streams of northern Borneo. J. Fish Biol. 1984, 25, 371–384. [Google Scholar] [CrossRef]
- Boyle, K.S.; Horn, M.H. Comparison of feeding guild structure and ecomorphology of intertidal fish assemblages from central California and central Chile. Mar. Ecol. Prog. Ser. 2006, 319, 65–84. [Google Scholar] [CrossRef]
- Karpouzi, V.S.; Stergiou, K.I. The relationships between mouth size and shape and body length for 18 species of marine fishes and their trophic implications. J. Fish Biol. 2003, 62, 1353–1365. [Google Scholar] [CrossRef]
- Toussaint, A.; Charpin, N.; Brosse, S.; Villeger, S. Global functional diversity of freshwater fish is concentrated in the Neotropics while functional vulnerability is widespread. Sci. Rep. 2016, 6, 2045–2322. [Google Scholar] [CrossRef]
- Webb, P.W. Form and function in fish swimming. Sci. Am. 1984, 25, 72–82. [Google Scholar] [CrossRef]
- Villeger, S.; Grenouillet, G.; Brosse, S. Decomposing functional-diversity reveals that low functional-diversity is driven by low functional turnover in European fish assemblages. Glob. Ecol. Biogeogr. 2013, 22, 671–681. [Google Scholar] [CrossRef]
- Gatz, A.J. Ecological morphology of freshwater stream fishes. Tulane Stud. Zool. Bot. 1979, 21, 91–124. [Google Scholar]
- Pool, T.K.; Grenouillet, G.; Villeger, S. Species contribute differently to the taxonomic, functional, and phylogenetic alpha and beta diversity of freshwater fish communities. Divers. Distrib. 2014, 20, 1235–1244. [Google Scholar] [CrossRef]
- Evans, N.T.; Olds, B.P.; Renshaw, M.A.; Turner, C.R.; Li, Y.; Jerde, C.L.; Mahon, A.R.; Pfrender, M.E.; Lamberti, G.A.; Lodge, D.M. Quantification of mesocosm fish and amphibian species diversity via environmental DNA metabarcoding. Mol. Ecol. Resour. 2016, 16, 29–41. [Google Scholar] [CrossRef]
- Lacoursière-Roussel, A.; Rosabal, M.; Bernatchez, L. Estimating Fish Abundance and biomass from eDNA Concentrations: Variability among capture methods and environmental conditions. Mol. Ecol. Resour. 2016, 16, 1401–1414. [Google Scholar] [CrossRef]
- Doi, H.; Uchii, K.; Matsuhashi, S.; Takahara, T.; Yamanaka, H.; Minamoto, T. Isopropanol precipitation method for collecting fish environmental DNA. Limnol. Oceanogr. Methods 2017, 15, 212–218. [Google Scholar] [CrossRef]
- Goswami, M.; Bhattacharyya, P.; Mukherjee, I.; Tribedi, P. Functional diversity: An important measure of ecosystem functioning. Adv. Microbiol. 2017, 7, 82–93. [Google Scholar] [CrossRef]
- Si, X.; Zhao, Y.; Chen, C.; Ren, P.; Zeng, D.; Wu, L.; Ding, P. Beta-diversity partitioning: Methods, applications and perspectives. Biodivers. Sci. 2017, 25, 464–480. [Google Scholar] [CrossRef]
- Laliberté, E.; Legendre, P. A Distance-Based Framework for Measuring Functional Diversity from Multiple Traits. Ecology 2010, 91, 299–305. [Google Scholar] [CrossRef]
- Grenié, M.; Gruson, H. Fundiversity: Easy Computation of Functional Diversity Indices, R Package Version 1.1.1. 2022. Available online: https://CRAN.R-project.org/package=fundiversity (accessed on 21 November 2022).
- Grenié, M.; Gruson, H. Fundiversity: A modular R package to compute functional diversity indices. Ecography 2023, 2023, e06585. [Google Scholar] [CrossRef]
- R Core Team. R: A Language and Environment for Statistical Computing. 2025. Available online: http://www.R.-project.org/ (accessed on 11 April 2025).
- Jiang, X.; Li, M.; Yang, S.; Wang, C.; Zhang, C.; Gao, X. Temporal Variation of Fish Metacommunity Structure in Poyang Lake. Resour. Environ. Yangtze Basin 2022, 31, 588–601. [Google Scholar]
- Yang, M.; Sheng, P.; Zhang, Y.; Guo, L.; Wang, H.; Gao, X.; Chen, Y. Characteristics of fish assemblages of Poyang Lake at the initial stage of the fishing ban. Acta Hydrobiol. Sin. 2022, 46, 1569–1579. [Google Scholar]
- Boulton, A.J. Parallels and contrasts in the effects of drought on stream macroinvertebrate assemblages. Freshw. Biol. 2014, 48, 1173–1185. [Google Scholar] [CrossRef]
- Lake, P.S. Ecological effects of perturbation by drought in flowing waters. Freshw. Biol. 2003, 48, 1161–1172. [Google Scholar] [CrossRef]
- Bond, N.R.; Lake, P.; Arthington, A.H. The impacts of drought on freshwater ecosystems: An Australian perspective. Hydrobiologia 2008, 600, 3–16. [Google Scholar] [CrossRef]
- Wang, Q.; Yang, D.; Weng, B.; Yuan, Y.; Yang, Z. Mechanism of influence of basin drought on freshwater lake wetland ecosystem. Wetl. Sci. 2012, 4, 396–403. [Google Scholar]
- Martinho, F.; Leitão, R.; Viegas, I.; Dolbeth, M.; Neto, J.M.; Cabral, H.N.; Pardal, M.A. The influence of an extreme drought event in the fish community of a southern Europe temperate estuary. Estuar. Coast. Shelf Sci. 2007, 75, 537–546. [Google Scholar] [CrossRef]
- Chessman, B.C. Identifying species at risk from climate change: Traits predict the drought vulnerability of freshwater fishes. Biol. Conserv. 2013, 160, 40–49. [Google Scholar] [CrossRef]
- Shen, Y.; Cheng, J.; Xu, L.; Li, R.; You, H.; Yang, H. Characteristics of zooplankton community structure in Poyang Lake and their influencing factors under extreme hydrological drought. Acta Ecol. Sin. 2023, 24, 10399–10412. [Google Scholar]
- Jiang, X.; Li, M.; Yang, S.; Lin, P.; Chang, T.; Wang, C.; Zhang, C.; Gao, X. Temporal variation of fish biodiversity in Poyang Lake. Acta Hydrobiol. Sin. 2023, 3, 376–388. [Google Scholar]
- Wang, S. Preliminary Studies on the Biology and Stock Biomass of Xenophysogobio boulengeri. Master’s Thesis, Southwest University, Chongqing, China, 2012. [Google Scholar]
- Zhu, Q. Habitat Selection of Acrossocheilus Fasciatus Based on Multidimensional Space and Temporal Scales. Master’s Thesis, Anhui Normal University, Wuhu, China, 2019. [Google Scholar]
- Dai, Z.; Xia, L.; Kong, P.; Zhan, M. Remote sensing monitoring and analysis of Poyang Lake water area changes over the past 20 years. Meteorol. Disaster Reduct. Res. 2021, 2, 127–132. [Google Scholar]
- Sun, F.; Ma, R. Hydrologic changes of Poyang Lake based on radar altimeter and optical sensor. Acta Geogr. Sin. 2020, 75, 544–557. [Google Scholar]
- Qi, L.; Huang, J.; Gao, J.; Guo, Y. Temporal and spatial simulation of water level and velocity during low water level statistical year in Lake Poyang. Resour. Environ. Yangtze Basin 2017, 26, 572–584. [Google Scholar]
- Yang, S.; Li, M.; Zhu, Q.; Wang, M.; Liu, H. Spatial and temporal variations of fish assemblages in Poyanghu Lake. Resour. Environ. Yangtze Basin 2015, 1, 54–64. [Google Scholar]
- Lennox, R.J.; Crook, D.A.; Moyle, P.B.; Struthers, D.P.; Cooke, S.J. Toward a better understanding of freshwater fish responses to an increasingly drought-stricken world. Rev. Fish Biol. Fish. 2019, 29, 71–92. [Google Scholar] [CrossRef]
- Botta-Dukát, Z. Rao’s quadratic entropy as a measure of functional diversity based on multiple traits. J. Veg. Sci. 2005, 16, 533–540. [Google Scholar] [CrossRef]
- Weigelt, A.; Schumacher, J.; Roscher, C.; Schmid, B. Does biodiversity increase spatial stability in plant community biomass? Ecol. Lett. 2008, 11, 338–347. [Google Scholar] [CrossRef]
- Magoulick, D.D.; Kobza, R.M. The role of refugia for fishes during drought: A review and synthesis. Freshw. Biol. 2003, 48, 1186–1198. [Google Scholar] [CrossRef]
- Unmack, P.J. Fish persistence and fluvial geomorphology in central Australia. J. Arid. Environ. 2001, 49, 653–669. [Google Scholar] [CrossRef]
- Graham, R.; Harris, J.H. Floodplain inundation and fish dynamics in the Murray-Darling Basin. In Current Concepts and Future Research: A Scoping Study; Cooperative Research Centre for Freshwater Ecology: Canberra, Australia, 2005; p. 52. [Google Scholar]
- Sun, J.; He, F.; Zhang, Y.; Liu, B.; Zhou, Q.; Wu, Z. The feeding behavior of grass carp (Ctenopharyngoden idellus) on different types of submerged plants. Acta Hydrobiol. Sin. 2015, 39, 997–1002. [Google Scholar]
- Yang, J.; Pan, X.; Chen, X.; Wang, X.; Zhao, Y.; Li, J.; Li, Z. Overview of the artificial enhancement and release of endemic freshwater fish in China. Zool. Res. 2013, 4, 267–280. [Google Scholar]
- Ministry of Agriculture and Rural Affairs Guiding Opinions on Doing a Good Job in the Restocking and Release of Aquatic Organisms During the 14th Five-Year Plan Period. Agriculture and Fishery Development [2022] No. 1. Available online: https://cjyzbgs.moa.gov.cn/tzgg/201912/t20191227_6334009.htm (accessed on 27 December 2019).
- Jiang, T.; Yang, J.; Xuan, Z.; Chen, X.; Liu, H. Preliminary report on the effects of resource recovery on anadromous Coilia nasus in Poyang Lake under the national 10-year fishing ban. Prog. Fish. Sci. 2022, 1, 24–30. [Google Scholar]
- Yang, S.; Ye, S.; Xu, J.; Li, M.; Liu, H. Evaluation of the effects on “10-year fishing ban” in Poyang Lake ecosystem based on ecopath model. Acta Hydrobiol. Sin. 2024, 48, 1402–1413. [Google Scholar]












| Functional Traits | Functional Groups | Types of Value | Values | Ecological Interpretation |
|---|---|---|---|---|
| Relative head length | Feeding habit | Numerical | Hl/Sl | High values may indicate ability to feed on relatively larger prey [36]. |
| Relative eye size | Feeding habit | Numerical | Ed/Hd | Visual range to prey detection [37]. |
| Relative eye anterior distance | Feeding habit, swimming | Numerical | Ead/Hl | High values may indicate lower feed ability. |
| Relative oral fissure size | Trophic | Numerical | (Mw × Md)/(Bw × Bd) | High values may indicate higher predation and ability to filter water [38]. |
| Relative head depth | Trophic | Numerical | Hd/Bd | High values may indicate deeper heads and higher trophic capabilities of a fish, and may also affect its hydrodynamics, increasing maneuverability [39]. |
| Relative caudal-peduncle size | Swimming | Numerical | (Cpl × Cpd)/(Sl × Bd) | High values may indicate high ability to swimming of a fish [36]. |
| Contribution to swimming | Swimming | Numerical | Cfd/Cpd | Caudal propulsion efficiency through reduction of drag, and high values may indicate swimming persistence [40,41]. |
| Relative body depth | Habitat preference, Swimming | Numerical | Bd/Sl | High values may indicate lower ability of swimming [42]. |
| Vertical position of water body | Habitat preference | Categorical | benthic, benthopelagic, pelagic | Benthic; benthopelagic; pelagic [43]. |
| Feeding type | Feeding habit | Categorical | carnivorous, omnivorous, herbivorous, filter feeder | |
| Living habits | Habitat preference | Categorical | settled, migratory | |
| Max body length | Habitat preference | Categorical | 0–30, 31–100, >100 | |
| Spawn Type | Reproductive habit | Categorical | sticky, drift, floating, sinking |
| Order | Family | Subfamily | Genus | Scientific Name | Common Name | Number of Sampling Site Detected (N * = 66) |
|---|---|---|---|---|---|---|
| Acipenseriformes | Acipenseridae | Acipenser | Acipenser sp. | 6 | ||
| Beloniformes | Hemiramphidae | Hemirhamphus | Hemirhamphus intermedius | Asian pencil halfbeak | 60 | |
| Clupeiformes | Engraulidae | Coilia | Coilia brachygnathus | Yangtze grenadier anchovy | 65 | |
| Clupeiformes | Engraulidae | Coilia | Coilia ectenes | Japanese grenadier anchovy | 10 | |
| Cypriniformes | Cobitidae | Parabotia | Parabotia fasciata | 5 | ||
| Cypriniformes | Cobitidae | Paramisgurnus | Paramisgurnus dabryanus | 25 | ||
| Cypriniformes | Cobitidae | Cobitis | Cobitis macrostigma | 24 | ||
| Cypriniformes | Cobitidae | Misgurnus | Misgurnus anguillicaudatus | Pond Loach | 11 | |
| Cypriniformes | Cyprinidae | Acheilognathinae | Acheilognathus | Acheilognathus chankaensis | Khanka spiny bitterling | 66 |
| Cypriniformes | Cyprinidae | Acheilognathinae | Acheilognathus | Acheilognathus gracilis | 27 | |
| Cypriniformes | Cyprinidae | Acheilognathinae | Acheilognathus | Acheilognathus imberbis | 27 | |
| Cypriniformes | Cyprinidae | Acheilognathinae | Acheilognathus | Acheilognathus macropterus | 11 | |
| Cypriniformes | Cyprinidae | Acheilognathinae | Rhodeus | Rhodeus fangi | 4 | |
| Cypriniformes | Cyprinidae | Acheilognathinae | Rhodeus | Rhodeus ocellatus | 30 | |
| Cypriniformes | Cyprinidae | Acheilognathinae | Rhodeus | Rhodeus sinensis | 19 | |
| Cypriniformes | Cyprinidae | Barbinae | Acrossocheilus | Acrossocheilus paradoxus | 4 | |
| Cypriniformes | Cyprinidae | Cultrinae | Chanodichthys | Chanodichthys dabryi | Humpback | 31 |
| Cypriniformes | Cyprinidae | Cultrinae | Chanodichthys | Chanodichthys erythropterus | Predatory carp | 33 |
| Cypriniformes | Cyprinidae | Cultrinae | Chanodichthys | Chanodichthys mongolicus | Mongolian redfin | 20 |
| Cypriniformes | Cyprinidae | Cultrinae | Culter | Culter alburnus | 38 | |
| Cypriniformes | Cyprinidae | Cultrinae | Culter | Culter oxycephaloides | 10 | |
| Cypriniformes | Cyprinidae | Cultrinae | Hemiculter | Hemiculter bleekeri | 11 | |
| Cypriniformes | Cyprinidae | Cultrinae | Hemiculter | Hemiculter leucisculus | Sharpbelly | 40 |
| Cypriniformes | Cyprinidae | Cultrinae | Megalobrama | Megalobrama amblycephala | Blunt snout bream | 66 |
| Cypriniformes | Cyprinidae | Cultrinae | Megalobrama | Megalobrama terminalis | Black Amur bream | 21 |
| Cypriniformes | Cyprinidae | Cultrinae | Parabramis | Parabramis pekinensis | White Amur bream | 21 |
| Cypriniformes | Cyprinidae | Cultrinae | Pseudolaubuca | Pseudolaubuca engraulis | 40 | |
| Cypriniformes | Cyprinidae | Cultrinae | Pseudolaubuca | Pseudolaubuca sinensis | 62 | |
| Cypriniformes | Cyprinidae | Cultrinae | Toxabramis | Toxabramis swinhonis | 13 | |
| Cypriniformes | Cyprinidae | Cyprininae | Carassius | Carassius auratus | Goldfish | 66 |
| Cypriniformes | Cyprinidae | Cyprininae | Cyprinus | Cyprinus carpio | Common carp | 66 |
| Cypriniformes | Cyprinidae | Danioninae | Opsariichthys | Opsariichthys acutipinnis | 66 | |
| Cypriniformes | Cyprinidae | Gobiobotinae | Gobiobotia | Gobiobotia filifer | 28 | |
| Cypriniformes | Cyprinidae | Gobioninae | Abbottina | Abbottina rivularis | Chinese false gudgeon | 64 |
| Cypriniformes | Cyprinidae | Gobioninae | Coreius | Coreius heterodon | 10 | |
| Cypriniformes | Cyprinidae | Gobioninae | Gnathopogon | Gnathopogon imberbis | 3 | |
| Cypriniformes | Cyprinidae | Gobioninae | Hemibarbus | Hemibarbus labeo | Barbel steed | 41 |
| Cypriniformes | Cyprinidae | Gobioninae | Microphysogobio | Microphysogobio elongatus | 11 | |
| Cypriniformes | Cyprinidae | Gobioninae | Pseudorasbora | Pseudorasbora parva | Stone moroko | 53 |
| Cypriniformes | Cyprinidae | Gobioninae | Sarcocheilichthys | Sarcocheilichthys sinensis | Chinese lake gudgeon | 23 |
| Cypriniformes | Cyprinidae | Gobioninae | Saurogobio | Saurogobio dabryi | Chinese lizard gudgeon | 66 |
| Cypriniformes | Cyprinidae | Gobioninae | Saurogobio | Saurogobio dumerili | 35 | |
| Cypriniformes | Cyprinidae | Gobioninae | Saurogobio | Saurogobio gymnocheilus | 45 | |
| Cypriniformes | Cyprinidae | Gobioninae | Saurogobio | Saurogobio lissilabris | 7 | |
| Cypriniformes | Cyprinidae | Gobioninae | Saurogobio | Saurogobio gracilicaudatus | 11 | |
| Cypriniformes | Cyprinidae | Gobioninae | Squalidus | Squalidus argentatus | 54 | |
| Cypriniformes | Cyprinidae | Hypophthmichthyinae | Aristichthys | Aristichthys nobilis | Bighead carp | 66 |
| Cypriniformes | Cyprinidae | Hypophthmichthyinae | Hypophthalmichthys | Hypophthalmichthys molitrix | Silver carp | 66 |
| Cypriniformes | Cyprinidae | Leuciscinae | Ctenopharyngodon | Ctenopharyngodon idellus | Grass carp | 66 |
| Cypriniformes | Cyprinidae | Leuciscinae | Elopichthys | Elopichthys bambusa | Yellow cheek | 18 |
| Cypriniformes | Cyprinidae | Leuciscinae | Mylopharyngodon | Mylopharyngodon piceus | 66 | |
| Cypriniformes | Cyprinidae | Leuciscinae | Ochetobius | Ochetobius elongatus | 43 | |
| Cypriniformes | Cyprinidae | Leuciscinae | Squaliobarbus | Squaliobarbus curriculus | Barbel chub | 25 |
| Cypriniformes | Cyprinidae | Leuciscinae | Rhynchocypris | Rhynchocypris oxycephalus | Chinese minnow | 11 |
| Cypriniformes | Cyprinidae | Xenocyprinae | Pseudobrama | Pseudobrama simoni | 48 | |
| Cypriniformes | Cyprinidae | Xenocyprinae | Xenocypris | Xenocypris davidi | 55 | |
| Cypriniformes | Cyprinidae | Xenocyprinae | Xenocypris | Xenocypris fangi | 11 | |
| Perciformes | Channidae | Channa | Channa argus | Snakehead | 66 | |
| Perciformes | Gobiidae | Gobiinae | Mugilogobius | Mugilogobius myxodermus | 24 | |
| Perciformes | Gobiidae | Gobiinae | Rhinogobius | Rhinogobius cliffordpopei | 55 | |
| Perciformes | Gobiidae | Gobiinae | Rhinogobius | Rhinogobius giurinus | 66 | |
| Perciformes | Mastacembelidae | Sinobdella | Sinobdella sinensis | 2 | ||
| Perciformes | Odontobutidae | Odontobutis | Odontobutis potamophila | 44 | ||
| Perciformes | Odontobutidae | Odontobutis | Odontobutis sinensis | 21 | ||
| Perciformes | Serranidae | Siniperca | Siniperca chuatsi | Mandarin fish | 51 | |
| Perciformes | Serranidae | Siniperca | Siniperca roulei | Slender mandarinfish | 2 | |
| Perciformes | Serranidae | Siniperca | Siniperca scherzeri | Leopard mandarin fish | 21 | |
| Perciformes | Eleotridae | Bostrychus | Bostrychus sinensis | 15 | ||
| Perciformes | Cichlidae | Oreochromis | Oreochromis mossambicus * | Mozambique tilapia | 16 | |
| Perciformes | Cichlidae | Sarotherodon | Sarotherodon galilaeus * | Mango tilapia | 16 | |
| Siluriformes | Bagridae | Leiocassis | Leiocassis crassilabris | 43 | ||
| Siluriformes | Bagridae | Pelteobagrus | Pelteobagrus eupogon | 43 | ||
| Siluriformes | Bagridae | Pelteobagrus | Pelteobagrus fulvidraco | Yellow catfish | 66 | |
| Siluriformes | Bagridae | Pelteobagrus | Pelteobagrus nitidus | 54 | ||
| Siluriformes | Bagridae | Pseudobagrus | Pseudobagrus ussuriensis | Ussuri catfish | 20 | |
| Siluriformes | Siluridae | Silurus | Silurus asotus | Amur catfish | 64 | |
| Siluriformes | Siluridae | Silurus | Silurus meridionalis | Chinese large-mouth catfish | 44 | |
| Synbranchiformes | Synbranchidae | Monopterus | Monopterus albus | 10 | ||
| Mugiliformes | Mugilidae | Planiliza | Planiliza affinis | 15 | ||
| Cyprinodontiformes | Poeciliidae | Gambusia | Gambusia affinis * | Mosquito fish | 19 | |
| Salmoniformes | Salmonidae | Salvelinus | Salvelinus fontinalis * | Brook char | 10 |
| Species | Average Abundance in 2019 | Average Abundance in 2023 | Contribute Rate (%) | Cum. Contribute Rate (%) |
|---|---|---|---|---|
| Pelteobagrus fulvidraco | 291.56 | 9.38 | 24.36 | 24.36 |
| Ctenopharyngodon idella | 10.81 | 130.40 | 11.31 | 35.67 |
| Pseudorasbora parva | 118.65 | 1.39 | 10.61 | 46.28 |
| Odontobutis potamophila | 2.90 | 50.34 | 4.56 | 50.84 |
| Megalobrama amblycephala | 46.47 | 8.86 | 3.25 | 54.09 |
| Cyprinus carpio | 43.38 | 62.18 | 3.19 | 57.28 |
| Hypophthalmichthys molitrix | 21.89 | 48.20 | 3.10 | 60.38 |
| Silurus asotus | 42.33 | 8.06 | 3.09 | 63.47 |
| Coilia brachygnathus | 33.93 | 8.30 | 2.59 | 66.06 |
| Squalidus argentatus | 28.39 | 0.54 | 2.54 | 68.60 |
| Pelteobagrus nitidus | 27.36 | 1.05 | 2.40 | 71.00 |
| Carassius auratus | 37.78 | 13.84 | 2.35 | 73.36 |
| Pseudobrama simoni | 20.47 | 0.47 | 1.71 | 75.07 |
| Mylopharyngodon piceus | 10.64 | 20.03 | 1.65 | 76.72 |
| Aristichthys nobilis | 24.74 | 10.58 | 1.40 | 78.12 |
| Siniperca scherzeri | 0.00 | 11.68 | 1.10 | 79.22 |
| Culter alburnus | 2.33 | 11.54 | 1.05 | 80.27 |
| Parabramis pekinensis | 0.00 | 10.71 | 0.98 | 81.25 |
| Siniperca chuatsi | 13.44 | 1.41 | 0.97 | 82.21 |
| Rhinogobius giurinus | 6.40 | 12.15 | 0.95 | 83.17 |
| Saurogobio dabryi | 11.33 | 8.89 | 0.87 | 84.04 |
| Saurogobio gymnocheilus | 8.85 | 0.00 | 0.83 | 84.87 |
| Abbottina rivularis | 9.47 | 2.48 | 0.76 | 85.63 |
| Hemiculter leucisculus | 2.68 | 8.99 | 0.76 | 86.39 |
| Channa argus | 9.77 | 4.08 | 0.73 | 87.11 |
| Megalobrama terminalis | 0.06 | 7.35 | 0.70 | 87.81 |
| Hemirhamphus intermedius | 9.34 | 1.68 | 0.70 | 88.51 |
| Silurus meridionalis | 7.43 | 0.00 | 0.66 | 89.17 |
| Pelteobagrus eupogon | 7.96 | 0.00 | 0.65 | 89.82 |
| Hemibarbus labeo | 1.25 | 7.66 | 0.64 | 90.46 |
| Squaliobarbus curriculus | 0.14 | 6.36 | 0.60 | 91.07 |
| Ochetobius elongatus | 6.18 | 0.00 | 0.56 | 91.63 |
| Opsariichthys acutipinnis | 0.00 | 5.82 | 0.54 | 92.17 |
| Rhinogobius cliffordpopei | 5.08 | 2.82 | 0.52 | 92.69 |
| Acheilognathus chankaensis | 4.39 | 7.07 | 0.50 | 93.18 |
| Xenocypris davidi | 3.43 | 4.78 | 0.48 | 93.67 |
| Pseudolaubuca sinensis | 5.96 | 3.72 | 0.47 | 94.13 |
| Odontobutis sinensis | 0.00 | 4.05 | 0.39 | 94.52 |
| Xenocypris fangi | 0.00 | 3.61 | 0.38 | 94.90 |
| Leiocassis crassilabris | 3.77 | 0.00 | 0.33 | 95.23 |
| Elopichthys bambusa | 0.00 | 3.24 | 0.32 | 95.55 |
| Chanodichthys mongolicus | 0.00 | 3.06 | 0.29 | 95.84 |
| Microphysogobio elongatus | 0.00 | 2.79 | 0.28 | 96.12 |
| Pseudolaubuca engraulis | 2.72 | 0.00 | 0.27 | 96.39 |
| Cobitis macrostigma | 2.15 | 0.00 | 0.20 | 96.59 |
| Misgurnus anguillicaudatus | 0.32 | 1.96 | 0.20 | 96.79 |
| Bostrychus sinensis | 0.00 | 2.03 | 0.20 | 96.99 |
| Chanodichthys dabryi | 2.02 | 0.00 | 0.20 | 97.18 |
| Saurogobio dumerili | 1.55 | 1.13 | 0.20 | 97.38 |
| Pseudobagrus ussuriensis | 0.06 | 2.00 | 0.19 | 97.57 |
| Rhynchocypris oxycephalus | 0.00 | 2.17 | 0.19 | 97.76 |
| Chanodichthys erythropterus | 1.31 | 1.06 | 0.18 | 97.94 |
| Paramisgurnus dabryanus | 0.73 | 1.46 | 0.18 | 98.12 |
| Rhodeus ocellatus | 1.88 | 0.00 | 0.18 | 98.30 |
| Mugilogobius myxodermus | 1.44 | 0.00 | 0.15 | 98.45 |
| Toxabramis swinhonis | 1.42 | 0.00 | 0.15 | 98.60 |
| Saurogobio gracilicaudatus | 0.00 | 1.53 | 0.13 | 98.73 |
| Monopterus albus | 0.00 | 1.53 | 0.13 | 98.86 |
| Hemiculter bleekeri | 0.00 | 1.37 | 0.12 | 98.99 |
| Planiliza affinis | 0.00 | 1.16 | 0.11 | 99.10 |
| Culter oxycephaloides | 0.00 | 1.19 | 0.11 | 99.21 |
| Acheilognathus gracilis | 1.09 | 0.00 | 0.10 | 99.31 |
| Acheilognathus imberbis | 1.09 | 0.00 | 0.10 | 99.40 |
| Gobiobotia filifer | 1.05 | 0.00 | 0.09 | 99.50 |
| Coreius heterodon | 0.00 | 0.84 | 0.09 | 99.58 |
| Sarcocheilichthys sinensis | 0.82 | 0.00 | 0.08 | 99.66 |
| Rhodeus sinensis | 0.93 | 0.00 | 0.08 | 99.74 |
| Acipenser sp. | 0.00 | 0.62 | 0.05 | 99.79 |
| Saurogobio lissilabris | 0.00 | 0.53 | 0.05 | 99.85 |
| Acheilognathus macropterus | 0.36 | 0.00 | 0.03 | 99.88 |
| Parabotia fasciata | 0.40 | 0.00 | 0.03 | 99.91 |
| Coilia ectenes | 0.32 | 0.00 | 0.03 | 99.94 |
| Rhodeus fangi | 0.27 | 0.00 | 0.02 | 99.97 |
| Siniperca roulei | 0.20 | 0.00 | 0.01 | 99.98 |
| Acrossocheilus paradoxus | 0.10 | 0.00 | 0.01 | 99.99 |
| Gnathopogon imberbis | 0.11 | 0.00 | 0.01 | 100.00 |
| Sinobdella sinensis | 0.05 | 0.00 | 0.00 | 100.00 |
Disclaimer/Publisher’s Note: The statements, opinions and data contained in all publications are solely those of the individual author(s) and contributor(s) and not of MDPI and/or the editor(s). MDPI and/or the editor(s) disclaim responsibility for any injury to people or property resulting from any ideas, methods, instructions or products referred to in the content. |
© 2025 by the authors. Licensee MDPI, Basel, Switzerland. This article is an open access article distributed under the terms and conditions of the Creative Commons Attribution (CC BY) license (https://creativecommons.org/licenses/by/4.0/).
Share and Cite
Xing, Y.; Li, K.; Gao, W.; Wang, Y.; Jiang, T.; Xi, R.; Li, H.; Zhao, Y. Environmental DNA Reveals Fish Diversity Reestablishment of China’s Lake Ecosystem Driven by Extreme Drought and Human Intervention. Diversity 2025, 17, 800. https://doi.org/10.3390/d17110800
Xing Y, Li K, Gao W, Wang Y, Jiang T, Xi R, Li H, Zhao Y. Environmental DNA Reveals Fish Diversity Reestablishment of China’s Lake Ecosystem Driven by Extreme Drought and Human Intervention. Diversity. 2025; 17(11):800. https://doi.org/10.3390/d17110800
Chicago/Turabian StyleXing, Yingchun, Kai Li, Wanru Gao, Yucheng Wang, Ting Jiang, Rui Xi, Huiqin Li, and Yahui Zhao. 2025. "Environmental DNA Reveals Fish Diversity Reestablishment of China’s Lake Ecosystem Driven by Extreme Drought and Human Intervention" Diversity 17, no. 11: 800. https://doi.org/10.3390/d17110800
APA StyleXing, Y., Li, K., Gao, W., Wang, Y., Jiang, T., Xi, R., Li, H., & Zhao, Y. (2025). Environmental DNA Reveals Fish Diversity Reestablishment of China’s Lake Ecosystem Driven by Extreme Drought and Human Intervention. Diversity, 17(11), 800. https://doi.org/10.3390/d17110800

