Journal Description
Oxygen
Oxygen
is an international, peer-reviewed, open access journal on the whole field of oxygen research published quarterly online by MDPI.
- Open Access free for readers, with article processing charges (APC) paid by authors or their institutions.
- High Visibility: indexed within ESCI (Web of Science), Scopus and other databases.
- Journal Rank: CiteScore - Q1 (Agricultural and Biological Sciences (miscellaneous))
- Rapid Publication: manuscripts are peer-reviewed and a first decision is provided to authors approximately 24 days after submission; acceptance to publication is undertaken in 3.6 days (median values for papers published in this journal in the first half of 2025).
- Recognition of Reviewers: APC discount vouchers, optional signed peer review, and reviewer names published annually in the journal.
- Oxygen is a companion journal of Antioxidants.
- Journal Cluster of Chemical Reactions and Catalysis: Catalysts, Chemistry, Electrochem, Inorganics, Molecules, Organics, Oxygen, Photochem, Reactions, Sustainable Chemistry.
Latest Articles
Relationship Between Heart Rate, Muscle, and Peripheral Oxygen Saturation During Dry Static Apnea
Oxygen 2025, 5(4), 27; https://doi.org/10.3390/oxygen5040027 - 13 Dec 2025
Abstract
►
Show Figures
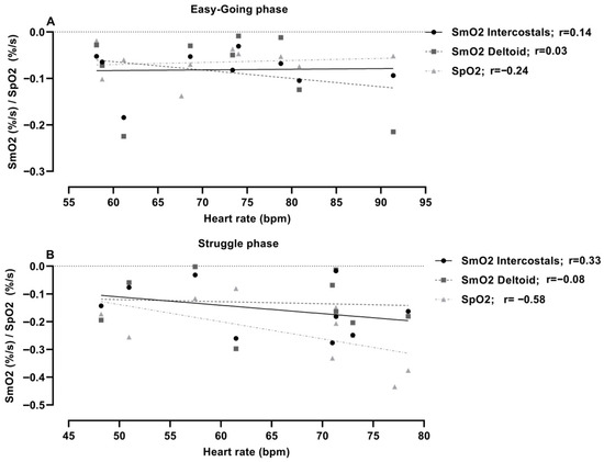
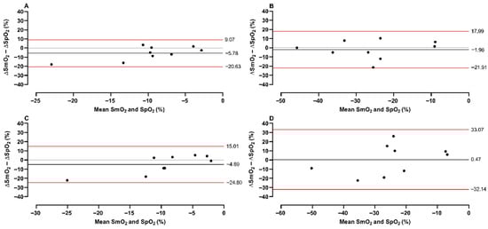
Background: During an apnea, oxygen depletion occurs at all tissue levels, so apnea duration is influenced by the mammalian dive reflex, which includes a bradycardia resulting in reduced cardiac oxygen consumption. This study aimed to examine the relationships between heart rate (HR), peripheral
[...] Read more.
Background: During an apnea, oxygen depletion occurs at all tissue levels, so apnea duration is influenced by the mammalian dive reflex, which includes a bradycardia resulting in reduced cardiac oxygen consumption. This study aimed to examine the relationships between heart rate (HR), peripheral estimation of O2 (SpO2), deltoid and respiratory muscle oxygenation (SmO2), and apnea duration. Methods: The study included 10 breath-hold divers (BHD), 39 ± 10 years of age, with body height of 184.3 ± 3.5 cm, body mass of 84.0 ± 9.2 kg, and 16.2 ± 9.7 years of apnea experience. The BHD performed three preparatory apneas followed by three maximal apneas with 5 min of supine rest between each apnea. During all apneas (duration, 115–323 s; involuntary breathing movements (IBMs), 7–35), SmO2 (measured via NIRS on intercostals (respiratory) and deltoid (locomotor) muscles), heart rate, and SpO2 (measured via forehead sensor) were obtained. Results: The smallest disagreement in oxygen levels was between intercostal SmO2 and SpO2 during the easy-going phase (no IBMs), whereas deltoid desaturation values were more variable. During the struggle phase, Intercostal SmO2, moderately, and Deltoid SmO2, strongly, differed from SpO2. Correlations between apnea duration and O2 saturation showed that only Intercostal SmO2 (r = −0.71; p = 0.03) was significantly related to apnea duration. There was also a significant correlation between HR and SpO2 in the struggle phase (r = −0.58; p = 0.05). Conclusions: These findings suggest that during the struggle phase, SpO2 and SmO2 are not highly connected and that local and systemic oxygen levels in the blood are depleted at different rates. Furthermore, the HR response during the struggle phase affected only SpO2, which indicates that lowering the heart rate may help prevent more rapid deoxygenation. Lastly, the intercostal trend of deoxygenation could be interpreted as respiratory muscle work, suggesting that the increased work of respiratory muscles may prolong apnea duration.
Full article
Open AccessArticle
Clinical Efficacy of Continuously Diffused Oxygen (CDO) Therapy and Cohort Comparison to Negative Pressure Wound Therapy (NPWT)
by
Matthew G. Mercurio, Lawrence A. Lavery, Animesh Agarwal and Alisha Oropallo
Oxygen 2025, 5(4), 26; https://doi.org/10.3390/oxygen5040026 - 2 Dec 2025
Abstract
►▼
Show Figures
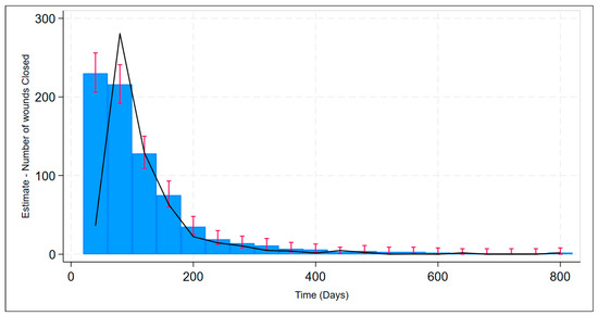
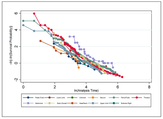
The purpose of this analysis is to report on the clinical efficacy of Continuous Diffusion of Oxygen (CDO) therapy in real-world clinical practice and compare those results to data published in controlled clinical studies. For the real-world clinical results, a Prospective Patients Database
[...] Read more.
The purpose of this analysis is to report on the clinical efficacy of Continuous Diffusion of Oxygen (CDO) therapy in real-world clinical practice and compare those results to data published in controlled clinical studies. For the real-world clinical results, a Prospective Patients Database (PPD) of 764 patients treated using CDO therapy in a broad range of clinical practices across a wide range of wound types and wound locations was analyzed. The objectives included analyzing the clinical efficacy of CDO therapy across multiple wound types and anatomical locations, testing the data for robustness, and comparing the efficacy to results from controlled clinical studies for CDO and NPWT. The PPD data is also analyzed for efficacy among the sexes and by age for older patients in the Medicare population. The robustness of the PPD data is tested using various non- and semi-parametric statistical tools, including the Kaplan–Meier and Cox proportional hazard (PH) models, among others. The results show that CDO therapy is highly efficacious with an average healing success rate of 76.3% in real-world application, ranging from 71.2% to 84.1% for different wound types. The Medicare age population had an average age of 78 years old and similar healing rates to the overall population, with slightly better results for pressure ulcers in the older patient population. The PPD data proved to be extremely robust in every test method, demonstrating substantially equivalent efficacy in various wound types and locations, as well as between men and women. The PPD results for CDO compared favorably to clinical trial results for CDO and NPWT. Both clinical trial and PPD data for CDO exhibited better healing rates when compared to NPWT. Kaplan–Meier analysis shows that CDO use in clinical practice has 79.2% full closure in 112 days, as compared to NPWT, which has 43.2% full closure in the same timeframe for similar wound sizes and severity. These results demonstrate not only that CDO is highly efficacious in clinical practice, but that the efficacy is also similar across all wound types and locations in the body. CDO also compares very favorably to NPWT.
Full article

Figure 1
Open AccessArticle
Sex- and Age-Specific Trajectories of Hemoglobin and Aerobic Power in Competitive Youth Athletes
by
Jonas Haferanke, Lisa Baumgartner, Maximilian Dettenhofer, Stefanie Huber, Frauke Mühlbauer, Tobias Engl, Renate Oberhoffer, Thorsten Schulz and Sebastian Freilinger
Oxygen 2025, 5(4), 25; https://doi.org/10.3390/oxygen5040025 - 22 Nov 2025
Abstract
Maximal aerobic power (V̇O2peak) in youth depends on hemoglobin (Hb)—mediated oxygen transport. While sex- and age-specific patterns are established in untrained cohorts, further research is needed in competitive adolescent athletes. We studied 124 young athletes matched by age and sex (62
[...] Read more.
Maximal aerobic power (V̇O2peak) in youth depends on hemoglobin (Hb)—mediated oxygen transport. While sex- and age-specific patterns are established in untrained cohorts, further research is needed in competitive adolescent athletes. We studied 124 young athletes matched by age and sex (62 boys, 62 girls; 10–16 years). Hb was measured from fasting blood samples, and V̇O2peak was determined via cardiopulmonary exercise testing (CPET). Boys showed higher Hb than girls (14.43 ± 0.85 g/dL vs. 13.6 ± 0.74 g/dL; p < 0.001) and a significant age-related increase (B = 0.29, p < 0.001), whereas girls remained stable. V̇O2peak was also higher in boys (50.03 ± 6.18 mL/min/kg, p < 0.001). Regression analysis identified Hb as a strong predictor of V̇O2peak (β = 0.40, p < 0.001). These findings demonstrate that classical developmental Hb trajectories persist in highly trained youth and confirm Hb as a key determinant of aerobic power. Monitoring hematological status, particularly in female athletes, is essential for optimizing performance and development.
Full article
(This article belongs to the Special Issue Feature Papers in Oxygen Volume III)
►▼
Show Figures

Graphical abstract
Open AccessArticle
Root Pruning Enhances Leaf Oxidative Stress and Anthocyanin Accumulation in Hydroponically Grown Red Leaf Lettuce
by
Masaru Sakamoto and Takahiro Suzuki
Oxygen 2025, 5(4), 24; https://doi.org/10.3390/oxygen5040024 - 22 Nov 2025
Abstract
►▼
Show Figures
Root pruning has been proposed as a practical method to regulate growth and metabolite accumulation in horticultural crops, yet its physiological and metabolic consequences in hydroponically grown lettuce remain poorly understood. In this study, we examined the effects of root pruning, applied two
[...] Read more.
Root pruning has been proposed as a practical method to regulate growth and metabolite accumulation in horticultural crops, yet its physiological and metabolic consequences in hydroponically grown lettuce remain poorly understood. In this study, we examined the effects of root pruning, applied two days before harvest, on biomass production, oxidative stress responses, and metabolite accumulation in red leaf lettuce. Root pruning suppressed root growth and reduced root water content in a severity-dependent manner. Shoot fresh weight also declined, whereas shoot dry weight was significantly reduced only under severe pruning. Young leaves of pruned plants exhibited transient reddish coloration, which was most pronounced under severe pruning. Quantitative analyses revealed that anthocyanin content increased up to 4.5-fold compared with the control, while total phenolic content also rose significantly. These metabolic changes were accompanied by pronounced oxidative stress, as indicated by elevated hydrogen peroxide accumulation and enhanced lipid peroxidation. In addition, leaf nitrate concentration decreased significantly in both moderate and severe pruning treatments. Collectively, these findings demonstrate that root pruning acts as a controllable stressor that triggers oxidative stress signaling, enhances antioxidant metabolite accumulation, and reduces nitrate content, highlighting its potential as a pre-harvest strategy for improving the nutritional and functional quality of hydroponic lettuce.
Full article

Figure 1
Open AccessReview
Biotransformation of Microalgal Biomass by Lactic Acid Bacteria and Saccharomyces cerevisiae: Implications for Food and Sustainability
by
Abdul-Rhman H. Muhammad, Diaa Attia Marrez, Mostafa Ahmed, Abdulrhman S. Shaker, Rasha S. Mohamed and Olfat S. Barakat
Oxygen 2025, 5(4), 23; https://doi.org/10.3390/oxygen5040023 - 5 Nov 2025
Abstract
►▼
Show Figures
This review indicates that microalgae may serve as a sustainable supply of bioactive compounds and lipids over the long run. It also discusses the significance of lactic acid bacteria (LAB) and Saccharomyces cerevisiae in biotransformation processes. Microalgae contribute to food security and environmental
[...] Read more.
This review indicates that microalgae may serve as a sustainable supply of bioactive compounds and lipids over the long run. It also discusses the significance of lactic acid bacteria (LAB) and Saccharomyces cerevisiae in biotransformation processes. Microalgae contribute to food security and environmental sustainability due to their rapid growth and diverse applications, including food, feed, and biofuels. Fermentation with LAB and S. cerevisiae enhances the nutritional and functional properties of microalgal biomass, rendering it more digestible, bioactive, and palatable. This review discusses the metabolic characteristics of LAB and S. cerevisiae, their ability to modify microalgal components through enzymatic action, and the resultant products, including enhanced fatty acid profiles and bioactive compounds. Furthermore, the biotransformation of pigments during LAB fermentation is examined, revealing significant alterations in the hue and bioactivity of the pigments, hence enhancing the appeal of microalgal products. Future perspectives emphasize the necessity for further investigation to identify optimal fermentation conditions and to explore the synergistic interactions between LAB and S. cerevisiae in the production of novel beneficial components from microalgae using both microbes.
Full article

Figure 1
Open AccessArticle
Structural Effects on the Reaction of Singlet Oxygen with Tertiary Amines in Aqueous Solution
by
Grace Sliwinski, Emily Lessard and Lisa M. Landino
Oxygen 2025, 5(4), 22; https://doi.org/10.3390/oxygen5040022 - 22 Oct 2025
Abstract
►▼
Show Figures
Photosensitized excitation of molecular oxygen generates singlet oxygen, a reactive oxygen species that has been studied in biological systems, synthetic methods and in aquatic ecosystems. The reaction of singlet oxygen with tertiary amines is important because they are widely used as electron donors
[...] Read more.
Photosensitized excitation of molecular oxygen generates singlet oxygen, a reactive oxygen species that has been studied in biological systems, synthetic methods and in aquatic ecosystems. The reaction of singlet oxygen with tertiary amines is important because they are widely used as electron donors in photochemical reactions. Herein we studied the reaction of singlet oxygen with multiple tertiary amines including ethylenediamine tetraacetic acid (EDTA), triethanolamine (TEOA) and triethylamine (TEA). Singlet oxygen was generated using the photosensitizers methylene blue or chlorin e6 and red light with output at 660 nm. TEOA and TEA generated more hydrogen peroxide (H2O2), the stable end product, than EDTA at all pH values tested and regardless of the photosensitizer used. Both histidine and imidazole scavenged singlet oxygen and decreased H2O2 yield. The extent of histidine scavenging was pH-dependent for the combination of methylene blue and EDTA but not for TEOA or TEA. The combination of chlorin e6 and EDTA generated less H2O2 because both contain multiple negative charges that limit their interaction. Multiple tertiary amines that are used as biochemical buffers produced similar quantities of H2O2 as EDTA, TEOA and TEA. However, these sulfonic acid-containing tertiary amines did not function as electron donors in a benzoquinone photoreduction assay.
Full article

Figure 1
Open AccessArticle
Monitoring of Nutrient Removal in Swine Effluents Using Sequential Reactors with Oxygen Control
by
Sedolfo Carrasquero-Ferrer, Gabriel Vaca-Suárez, Grace Viteri-Guzmán and Gilberto Colina-Andrade
Oxygen 2025, 5(4), 21; https://doi.org/10.3390/oxygen5040021 - 16 Oct 2025
Abstract
►▼
Show Figures
Swine effluents require effective treatment due to their high pollutant load, particularly nitrogen and phosphorus, which can cause eutrophication of water bodies. This study focused on monitoring nutrient removal in a sequential biological reactor through online measurements of parameters such as dissolved oxygen
[...] Read more.
Swine effluents require effective treatment due to their high pollutant load, particularly nitrogen and phosphorus, which can cause eutrophication of water bodies. This study focused on monitoring nutrient removal in a sequential biological reactor through online measurements of parameters such as dissolved oxygen (DO), pH, oxidation-reduction potential (ORP), and total alkalinity during the treatment of effluents from a pig slaughterhouse. A laboratory-scale reactor was used, operated with timer switches in an anaerobic–aerobic–anoxic sequence, a sludge retention time (SRT) of 25 days, and an operational cycle time of 16 h. The reactor demonstrated notable efficiency in contaminant removal, with an average organic matter removal of 87.1% measured as chemical oxygen demand (COD) and 95.5% as biochemical oxygen demand (BOD). Regarding nitrogen and phosphorus removal, a 69.4% reduction in total nitrogen (TN) and a 53.2% reduction in total phosphorus (TP) were observed. The pH, ORP, and DO profiles showed a clear correlation with the nutrient removal processes, allowing optimization of the phase durations in the reactor to enhance treatment efficiency.
Full article

Figure 1
Open AccessArticle
Oxidative Stress Score as an Indicator of Pathophysiological Mechanisms Underlying Cardiovascular Disease in Kidney Transplant Recipients
by
Valera-Arévalo Gemma, Paula Jara Caro, María del Mar Rodríguez-San Pedro, Claudia Yuste, María Gabriela Ortiz-Diaz, Rafael Ramírez, Matilde Alique, Natalia Guerra-Pérez, Julia Carracedo and Enrique Morales
Oxygen 2025, 5(4), 20; https://doi.org/10.3390/oxygen5040020 - 16 Oct 2025
Abstract
Chronic kidney disease is closely associated with an increased risk of cardiovascular disease. Although kidney transplantation represents the treatment of choice for patients with end-stage chronic kidney disease, it is also linked to significant cardiovascular risk. This study aimed to evaluate the relationship
[...] Read more.
Chronic kidney disease is closely associated with an increased risk of cardiovascular disease. Although kidney transplantation represents the treatment of choice for patients with end-stage chronic kidney disease, it is also linked to significant cardiovascular risk. This study aimed to evaluate the relationship between cardiovascular pathology and oxidative status in kidney transplant recipients, while also assessing the influence of disease etiology and humoral immune response on oxidative imbalance. A cross-sectional analysis was conducted in individuals with advanced chronic kidney disease (n = 36) and kidney transplant recipients (n = 40). A total of 18 healthy subjects were included. The enzymatic activities of xanthine oxidase, superoxide dismutase, and glutathione peroxidase, and levels of lipid peroxidation products, oxidized glutathione, and reduced glutathione were measured using spectrophotometry in plasma and mononuclear and polymorphonuclear leukocytes isolated using Ficoll density gradients. Individual oxidative status was evaluated using OXYSCORE. Kidney transplantation was associated with a higher incidence of cardiovascular disease (p < 0.01) and increased levels of both prooxidant (p < 0.01) and antioxidant parameters (p < 0.01). Elevated OXYSCORE values were observed particularly in patients with nephroangiosclerosis, diabetic kidney disease, polycystic kidney disease (p < 0.05), and cardiovascular comorbidities (p < 0.001). Additionally, the presence of anti-graft antibodies correlated with higher oxidative scores. These findings suggest that OXYSCORE may serve as a potential indicator of cardiovascular damage in kidney transplant recipients.
Full article
(This article belongs to the Topic Oxidative Stress and Inflammation, 3rd Edition)
►▼
Show Figures

Figure 1
Open AccessArticle
Ginger-Derived Compounds Alleviate Oxidative Stress and Genotoxicity in Trypanosoma evansi Infection: An Integrated In Vivo and In Silico Study
by
Waqas Ahmad, Muhammad Yasin Tipu, Muti ur Rehman Khan, Haroon Akbar, Aftab Ahmad Anjum and Muhammad Ovais Omer
Oxygen 2025, 5(3), 19; https://doi.org/10.3390/oxygen5030019 - 1 Sep 2025
Cited by 1
Abstract
►▼
Show Figures
Background/Objectives: Trypanosoma evansi (T. evansi) is an etiological agent of surra, and it causes significant economic losses in livestock. Rising trypanocide resistance demands alternatives that control parasitemia while mitigating oxidative and genotoxic damage. Therefore, the present study was designed to explore
[...] Read more.
Background/Objectives: Trypanosoma evansi (T. evansi) is an etiological agent of surra, and it causes significant economic losses in livestock. Rising trypanocide resistance demands alternatives that control parasitemia while mitigating oxidative and genotoxic damage. Therefore, the present study was designed to explore both the in vivo and in silico potential of Zingiber officinale (Z. officinale) as a novel phytotherapy to counter growing resistance against conventional trypanocides. Methods: Methanolic extract of Z. officinale (MZ) was orally administered at dosages of 200 mg/kg (MZ 200), 400 mg/kg (MZ 400), and 800 mg/kg (MZ 800) on a daily basis to the experimentally infected mice and compared against treated control (TC) and untreated control (UC) groups. After the infection, different parameters such as parasitemia counts, body weight changes, and the survival of infected mice were monitored for up to 7 days post-infection, while hematobiochemical parameters, oxidative stress profiles (catalase, malondialdehyde, and superoxide dismutase), and genotoxicity in brain tissues were compared at the end of the trial. Moreover, computational tools were used to predict the affinities of key bioactive compounds with twenty-one essential proteins of T. evansi. Results: The findings showed that the administration of MZ significantly (p < 0.05) reduced parasitemia and improved the survival rates in the experimentally infected mice in a dose-dependent manner. Noteworthy, significant (p < 0.05) improvements in hematological parameters and liver enzyme profiles were also recorded in MZ-treated groups. Compared to the untreated control, MZ-treated groups showed a significant amelioration in oxidative stress and genotoxicity in brain tissue in a dose-dependent fashion. The current study’s findings suggest that MZ potentially inhibits various essential proteins of T. evansi, including adenosine transporter-1, casein kinase, leucyl-tRNA synthetase, and multidrug resistance E protein. Among its constituents, 6-Isoshogaol and 6-Gingerol showed the most stable interactions in the molecular dynamics simulation. Conclusions: MZ efficiently reduced parasitemia, oxidative stress, and genotoxicity, and increased the survival rate in infected mice, suggesting it as a promising natural trypanicidal agent.
Full article

Graphical abstract
Open AccessArticle
Hydrogenation of Aromatic Ethers and Lactones: Does the Oxygen Functionality Really Improve the Thermodynamics of Reversible Hydrogen Storage in the Related LOHC Systems?
by
Riko Siewert, Artemiy A. Samarov, Sergey V. Vostrikov, Karsten Müller, Peter Wasserscheid and Sergey P. Verevkin
Oxygen 2025, 5(3), 18; https://doi.org/10.3390/oxygen5030018 - 30 Aug 2025
Abstract
►▼
Show Figures
Compounds known as liquid organic hydrogen carriers (LOHCs) offer a promising pathway for storing hydrogen. Beyond the use of pure hydrocarbons, the incorporation of oxygen atoms offers a way to modify thermodynamic properties and potentially improve suitability for hydrogen storage. This study explores
[...] Read more.
Compounds known as liquid organic hydrogen carriers (LOHCs) offer a promising pathway for storing hydrogen. Beyond the use of pure hydrocarbons, the incorporation of oxygen atoms offers a way to modify thermodynamic properties and potentially improve suitability for hydrogen storage. This study explores the effect of oxygen functionalization in aromatic ethers and lactones on the reaction equilibrium of reversible hydrogenation. To address this question, reaction enthalpies and entropies are calculated using both experimental and theoretically determined pure substance data. The equilibrium position shift in the hydrogenation of furan derivatives has been shown to follow a similar trend to that of their hydrocarbon counterparts upon the addition of aromatic rings. This shift is, however, more pronounced in the case of the furan-based systems. The effect is reflected in increasing Gibbs reaction energies during the dehydrogenation process. Both the formation of lactones and the addition of a second ring to the furan core leads to a further increase in the Gibbs reaction energy. The highest value is observed for dibenzofuran, with a Gibbs reaction energy of 36.6 kJ∙mol−1 at 500 K. These findings indicate that, from a thermodynamic perspective, hydrogen release is feasible at temperatures below 500 K, which is an important feature for the potential application as a hydrogen storage system.
Full article

Figure 1
Open AccessArticle
Assessment of the Antioxidant Activity of Lyophilized Cistus creticus Extract as a Functional Fortifier in Yogurt: A Cellular and Non-Cellular Evaluation
by
Panoraia Bousdouni, Eleni Dalaka, Aikaterini Kandyliari, Vasileios Gkalpinos, Nikolaos Parisis, Andreas G. Tzakos, Georgios Theodorou, Maria Kapsokefalou and Antonios E. Koutelidakis
Oxygen 2025, 5(3), 17; https://doi.org/10.3390/oxygen5030017 - 28 Aug 2025
Abstract
►▼
Show Figures
Experimental evidence indicates that aqueous extracts of the Cistus genus have significant antioxidant properties, suggesting their potential as food fortifiers. In the present study, the antioxidant capacity and total phenolic content of lyophilized Cistus creticus extract were examined before and after in vitro
[...] Read more.
Experimental evidence indicates that aqueous extracts of the Cistus genus have significant antioxidant properties, suggesting their potential as food fortifiers. In the present study, the antioxidant capacity and total phenolic content of lyophilized Cistus creticus extract were examined before and after in vitro digestion. Three concentrations of Cistus creticus extract were evaluated before and after in vitro gastrointestinal digestion, along with yogurt products fortified with these extracts, examined after digestion. Biochemical and cellular analyses were performed to assess these properties. The results showed statistically significant differences in total antioxidant capacity and total phenolic content, with values increasing from the lowest to the highest concentration studied, for both the lyophilized extracts and fortified yogurts after digestion. Additionally, cellular antioxidant activity after digestion was concentration-dependent (p < 0.05) within the range 25–500 mg/mL for both the extracts and fortified yogurts. In conclusion, based on the high phenolic content and the increased antioxidant capacity observed in epithelial cells, 250 mg of extract per 200 g of yogurt was proposed as the optimal fortification dose.
Full article

Figure 1
Open AccessReview
Current State of Knowledge on Amiodarone (AMD)-Induced Reactive Oxygen Species (ROS) Production in In Vitro and In Vivo Models
by
Konrad A. Szychowski
Oxygen 2025, 5(3), 16; https://doi.org/10.3390/oxygen5030016 - 26 Aug 2025
Cited by 2
Abstract
Amiodarone (AMD) is an effective antiarrhythmic drug whose long-term use is limited by multi-organ toxicities linked to oxidative stress. This review synthesizes current evidence on how AMD induces reactive oxygen species (ROS) generation in vitro and in vivo, and the mechanistic pathways involved.
[...] Read more.
Amiodarone (AMD) is an effective antiarrhythmic drug whose long-term use is limited by multi-organ toxicities linked to oxidative stress. This review synthesizes current evidence on how AMD induces reactive oxygen species (ROS) generation in vitro and in vivo, and the mechanistic pathways involved. AMD promotes ROS production through both direct and indirect mechanisms. Directly, AMD accumulates in mitochondria and impairs the electron transport chain, leading to electron leakage and superoxide formation. It also undergoes redox cycling, forming radical intermediates that trigger lipid peroxidation and deplete cellular antioxidants. AMD and its metabolites inhibit antioxidant enzymes (SOD, CAT, GPx) expression and/or activities and reduce glutathione level, compounding oxidative injury. Indirectly, AMD activates signaling pathways that exacerbate ROS generation. This compound can induce pro-inflammatory mediators such as TNF-α and modulate nuclear receptors such as AhR, PXR, CAR, and PPARs, altering the expression of metabolic enzymes and endogenous antioxidants. These processes are time- and dose-dependent: short exposures at low concentrations may transiently scavenge radicals, whereas chronic or higher-dose exposures consistently lead to net ROS accumulation. The oxidative effects of AMD vary by tissue and experimental models. In chronic models, organs such as the lung and liver show pronounced ROS-mediated injury, whereas acute or cell-based systems typically exhibit subtler changes. AMD-induced toxicity arises from multifactorial oxidative stress involving mitochondrial dysfunction, increased radical formation, depletion of antioxidant defenses, and activation of pro-oxidant signaling pathways. Recognizing these pathways suggests that antioxidant and mitochondria-targeted co-therapies could ameliorate the side effects of AMD.
Full article
(This article belongs to the Special Issue Feature Papers in Oxygen Volume III)
►▼
Show Figures

Figure 1
Open AccessArticle
Sulforaphane Prevents Cadmium Chloride-Induced Reproductive Toxicity in Caenorhabditis elegans
by
Estefani Yaquelin Hernández-Cruz, Elí Juárez-Peredo, Karla Alejandra Avendaño-Briseño, Jorge Escutia-Martínez, Karla Jaqueline Ramírez-Magaña, Tania Gómez-Sierra and José Pedraza-Chaverri
Oxygen 2025, 5(3), 15; https://doi.org/10.3390/oxygen5030015 - 31 Jul 2025
Abstract
►▼
Show Figures
Cadmium (Cd) is a highly toxic heavy metal that disrupts development and reproduction, primarily through oxidative stress. In this context, sulforaphane (SFN), an antioxidant compound, may serve as a promising agent to counteract Cd-induced oxidative damage and prevent developmental and reproductive abnormalities. This
[...] Read more.
Cadmium (Cd) is a highly toxic heavy metal that disrupts development and reproduction, primarily through oxidative stress. In this context, sulforaphane (SFN), an antioxidant compound, may serve as a promising agent to counteract Cd-induced oxidative damage and prevent developmental and reproductive abnormalities. This study aimed to evaluate the effect of SFN on reproductive toxicity induced by cadmium chloride (CdCl2) in the nematode Caenorhabditis elegans (C. elegans). Five experimental groups were established: (I) Control: no treatment, (II) dimethyl sulfoxide (DMSO): 48 h with 0.01% DMSO, (III) CdCl2: 24 h with 4600 µM CdCl2, (IV) SFN + CdCl2: 24 h with 100 µM SFN followed by 24 h with both SFN and CdCl2, and (V) SFN: 48 h with 100 µM SFN. Co-exposure to SFN and CdCl2 prevented the reduction in the percentage of adult nematodes and increased egg-laying. It also significantly improved hatching rates, allowing more embryos to reach the larval stage, and prevented reductions in body size. However, no effects were observed on glutathione S-transferase-4 (GST-4) levels in the transgenic CL2166 strain. In conclusion, SFN substantially prevents Cd-induced reproductive toxicity in C. elegans. Future studies should investigate the molecular mechanisms by which SFN enhances egg-laying and offspring viability in this model.
Full article

Figure 1
Open AccessArticle
Electron Spin Resonance Spectroscopy Suitability for Investigating the Oxidative Stability of Non-Alcoholic Beers
by
Maria Cristina Porcu and Daniele Sanna
Oxygen 2025, 5(3), 14; https://doi.org/10.3390/oxygen5030014 - 16 Jul 2025
Abstract
►▼
Show Figures
Seven lager beers and seven non-alcoholic counterparts, marketed by the same producers, were analyzed for their total phenolic content (TPC), radical scavenging activity (RSA) towards the DPPH radical and ThioBarbituric Index (TBI). All beers were also subjected to spin trapping experiments at 60
[...] Read more.
Seven lager beers and seven non-alcoholic counterparts, marketed by the same producers, were analyzed for their total phenolic content (TPC), radical scavenging activity (RSA) towards the DPPH radical and ThioBarbituric Index (TBI). All beers were also subjected to spin trapping experiments at 60 °C in the presence of PBN. To our knowledge, this is the first time that non-alcoholic beers (NABs) have been subjected to spin trapping experiments coupled with Electron Spin Resonance (ESR) spectroscopy. The evolution of the intensity of the PBN radical adducts during the first 150 min was represented graphically and the intensity at 150 min (I150) and the area under the curve (AUC), were measured. The I150 and the AUC of lagers and NABs are significantly different, whereas the TPC, the EC50 of the DPPH assay, and the TBI of the two groups are superimposed. A relationship, previously proposed by us, to correlate ESR spectroscopy parameters with others obtained from UV-Vis spectrophotometry, was also applied, demonstrating its practicability. Multivariate analysis shows that clustering in two separate groups occurs only if I150 and AUC are included in the model. Based on these results, ESR spectroscopy can be applied to study the oxidative stability of NABs.
Full article

Figure 1
Open AccessArticle
Degree of Hypoxia and Physiological Differences Between Fast and Slow Ascents to Very High Altitude
by
Clive Kelly, Shireen Saxena and Kieran Kelly
Oxygen 2025, 5(3), 13; https://doi.org/10.3390/oxygen5030013 - 8 Jul 2025
Abstract
Introduction: Rapid ascent to altitudes of over 5000 m above sea level are associated with dramatic changes in adaptive physiology. The effects of a gradual ascent on symptoms, oximetry, and heart rate are described and compared with the effects of a rapid
[...] Read more.
Introduction: Rapid ascent to altitudes of over 5000 m above sea level are associated with dramatic changes in adaptive physiology. The effects of a gradual ascent on symptoms, oximetry, and heart rate are described and compared with the effects of a rapid ascent to the same altitude by a comparable cohort. Methods: A group of 13 individuals (six females) representing 10 countries from five continents ascended gradually from Lukla (2300 m) to Everest Base Camp (5300 m) in Nepal over an 8-day period, then descended over a further 4 days. All symptoms and medication were recorded, along with pulse oximetry (SpO2) and heart rate (HR) every 500 m of ascent. The results were then compared with those obtained at equivalent altitudes using similar methodology from a fast ascent of Mount Kilimanjaro to an equivalent altitude by a comparable cohort over 4 days. Results: The gradual ascent group had a median age of 33 years (range 25–66), and all successfully completed the trek. No severe headache, vomiting, orthopnoea, or productive cough occurred, although minor nausea and mild headache were common. Baseline oximetry fell from a median of 96% (93–97%) to a median of 78% (53–86%) at 8 days but recovered to 94% (89–99%) inside 4 days. Corresponding HR rose from a baseline median of 72 bpm (57–85) to a median of 103 bpm (78–115) at 8 days, then recovered to 80 bpm (54–94) after 4 days. Neither age nor gender correlated with outcomes. Individually, HR correlated inversely with oximetry, but there was no group correlation between these two variables. By contrast, a more rapid 4-day ascent from the same starting height, with similar baseline values for HR and oximetry, to the same final altitude was associated with more severe headache, breathlessness, and vomiting. Fast ascent was associated with a significantly more marked reduction in oximetry to a median of 71% (52–76) and an increase in HR to a median of 110 bpm (88–140). The fast ascent group also required significantly more medication, rated their experience as less enjoyable, and had a 100% incidence of acute mountain sickness compared to 0% in the slow ascent group. Discussion: Oxygen desaturation and tachycardia are inevitable consequences of ascending above 5000 m, but the degree to which this occurs can be reduced by slowing ascent times and taking rest days every 1000 m of ascent. This practice is associated with fewer symptoms and greater safety, with less need for either prophylactic or therapeutic medication. Careful consideration should be given to rates of ascent when climbing to altitudes at or above 5000 m.
Full article
Open AccessEditorial
Oxygen: Highlights from the Journal to Mid-2025
by
John T. Hancock
Oxygen 2025, 5(3), 12; https://doi.org/10.3390/oxygen5030012 - 30 Jun 2025
Abstract
As aerobic organisms, we cannot live without molecular oxygen (O2), but we also have to work hard to live with it [...]
Full article
Open AccessArticle
Physical Activity and Pain Perception in Residents Under Conditions of Chronic Hypoxia
by
Margot Evelin Bernedo-Itusaca, Kely Melina Vilca-Coaquira, Ángel Gabriel Calisaya-Huacasi, Madeleyne Rosmery Cosi-Cupi, Stanley Rivaldo Leqque-Santi, Shantal Cutipa-Tinta, Alberto Salazar-Granara, Yony Martin-Pino Vanegas, Alcides Flores-Paredes, Shihui Guo, William Li, Moua Yang, Ginés Viscor and Ivan Hancco Zirena
Oxygen 2025, 5(3), 11; https://doi.org/10.3390/oxygen5030011 - 30 Jun 2025
Abstract
►▼
Show Figures
(1) Background: Previous studies indicate that individuals who engage in regular physical activity have a higher pain threshold than those who do not exercise. However, it remains unclear how this phenomenon behaves in individuals exposed to chronic hypoxia. This study evaluates pain
[...] Read more.
(1) Background: Previous studies indicate that individuals who engage in regular physical activity have a higher pain threshold than those who do not exercise. However, it remains unclear how this phenomenon behaves in individuals exposed to chronic hypoxia. This study evaluates pain perception at high altitude between high-altitude natives who exercised regularly and those who did not practice physical activity. (2) Methods: Eighty-four healthy volunteers aged 20 to 30 years old with a body mass index (BMI) within the normal range (18.5–24.9) residing in the city of Puno (3825 m) were recruited. The unilateral ischemia pain provocation test was used, applying pressure with a manual sphygmomanometer to generate transient ischemia in the arm while the patient opens and closes their hand. Onset, peak, and resolution times of pain, heart rate, and oxygen saturation were recorded. (3) Results: The average time to pain onset in the right arm was 30.2 s ± 14.1 during light physical activity, whereas, during moderate physical activity, it increased to 32.5 s ± 15.4. In the left arm, the average time until pain sensation was 27.9 s ± 16.8 during light physical activity and increased to 34.6 s ± 18.5 with moderate physical activity. Regarding the progression of pain intensity, the average time to reach unbearable pain in the right arm was 54.1 s ± 16.4 during light physical activity and 53.8 s ± 19.6 during moderate physical activity; in the left arm, it was 53.0 s ± 19.6 during light physical activity, increasing to 59.3 s ± 24.5 during moderate physical activity. (4) Conclusions: A more stable and slightly higher pain tolerance in the dominant arm was observed.
Full article

Figure 1
Open AccessArticle
Screening the Oxygen Reduction Reaction Performance of Carbon-Supported Pt-M (M = Ni, Cu, Co) Binary Electrocatalysts via Tuning Metal–Support Interaction
by
Amisha Beniwal, Hariom Gurjar, Khushabu Shekhawat, Ashima Bagaria and Dinesh Bhalothia
Oxygen 2025, 5(3), 10; https://doi.org/10.3390/oxygen5030010 - 27 Jun 2025
Cited by 1
Abstract
►▼
Show Figures
Platinum-based catalysts remain the benchmark for the oxygen reduction reaction (ORR) in fuel cells, owing to their exceptional catalytic activity in the harsh chemical environment. However, optimizing Pt utilization and improving performance through support engineering are essential for commercial viability. In this study,
[...] Read more.
Platinum-based catalysts remain the benchmark for the oxygen reduction reaction (ORR) in fuel cells, owing to their exceptional catalytic activity in the harsh chemical environment. However, optimizing Pt utilization and improving performance through support engineering are essential for commercial viability. In this study, we synthesized carbon-supported binary Pt-M (M = Ni, Cu, Co) electrocatalysts to investigate the influence of metal–support interactions on ORR activity. The Pt-M nanoparticles were fabricated on carbon supports, enabling the systematic screening of electronic and structural interactions. Among all compositions, Pt@Co exhibited the highest ORR mass activity, delivering 817 mA mgPt−1 at 0.85 V and 464 mA mgPt−1 at 0.90 V vs. RHE, surpassing both commercial Pt/C (J.M. 20 wt.%) and its Pt@Ni, Pt@Cu, and Pt@CNT counterparts. Structural and spectroscopic analyses reveal a strong electronic interaction between Pt and Co, leading to localized electron transfer from Co to Pt domains. This electronic modulation facilitates an optimal surface binding energy, enhancing oxygen adsorption–desorption kinetics and ORR activity. These findings highlight the critical role of transition metal–support synergy in the rational design of high-performance Pt-based electrocatalysts for next-generation fuel cell applications.
Full article

Figure 1
Open AccessReview
Antioxidant Treatments for Fibromyalgia
by
Melissa S. Totten and Precious K. Wondzi
Oxygen 2025, 5(3), 9; https://doi.org/10.3390/oxygen5030009 - 23 Jun 2025
Cited by 1
Abstract
Fibromyalgia is a syndrome that causes chronic musculoskeletal pain accompanied by symptoms such as fatigue, sleep disorders, headaches, anxiety, and depression. People diagnosed with fibromyalgia usually have higher levels of reactive oxygen species and lower antioxidant capacity compared to healthy individuals. This condition
[...] Read more.
Fibromyalgia is a syndrome that causes chronic musculoskeletal pain accompanied by symptoms such as fatigue, sleep disorders, headaches, anxiety, and depression. People diagnosed with fibromyalgia usually have higher levels of reactive oxygen species and lower antioxidant capacity compared to healthy individuals. This condition can contribute to elevated oxidative stress in the body, especially within the lipid-rich nervous system. Treatment with antioxidants through diet or supplements is one method being investigated to reduce the symptoms of fibromyalgia. This narrative review focuses on the latest research, specifically peer-reviewed publications within the last 10 years, on potential antioxidant treatments for patients with fibromyalgia. Relevant micronutrients, such as vitamin B12, vitamin D, and iron, and supplements such as melatonin, coenzyme Q, alpha-lipoic acid, and palmitoylethanolamide are discussed. Based on the current evidence, many of these antioxidants show potential for the management of fibromyalgia symptoms as standalone treatments or in combination with other antioxidants or pharmacological agents. More clinical research is required to understand the long-term efficacy and safety of these micronutrients and supplements, as well as their overall health impact.
Full article
Open AccessArticle
Pentoxifylline Enhances Sperm Quality, Reduces Oxidative Stress in Semen, and Decreases Sperm DNA Damage in Men with Asthenozoospermia Undergoing Assisted Reproductive Technology
by
Oumaima Ammar, Marwa Ben Ali Gannoun, Tesnim Ajina, Assila Hadj Ali, Manel Boussabbeh, Amira Sallem, Zohra Haouas, Mariarosaria Di Tommaso and Meriem Mehdi
Oxygen 2025, 5(2), 8; https://doi.org/10.3390/oxygen5020008 - 31 May 2025
Abstract
►▼
Show Figures
Oxidative stress (OS) contributes to poor sperm parameters and increased sperm DNA fragmentation (sDF), yet effective therapeutic strategies remain limited. This study aimed to evaluate the in vitro efficacy of pentoxifylline (PTX) in improving sperm motility and reducing OS and sDF in men
[...] Read more.
Oxidative stress (OS) contributes to poor sperm parameters and increased sperm DNA fragmentation (sDF), yet effective therapeutic strategies remain limited. This study aimed to evaluate the in vitro efficacy of pentoxifylline (PTX) in improving sperm motility and reducing OS and sDF in men with isolated asthenozoospermia. Thirty semen samples from patients with asthenozoospermia were processed using density gradient centrifugation. Each sample was divided into two aliquots: one treated with PTX at a dose of 3.6 mM and the other without PTX treatment. The sperm viability and motility were assessed at 30 min, 1 h, 2 h, and 24 h post-treatment. OS was evaluated using nitro blue tetrazolium staining and a chemiluminescence assay. sDF was assessed using the alkaline Comet assay. The sperm samples treated with PTX, compared to the controls, exhibited a significant increase in total sperm motility (71.8 ± 23.03% versus 47.47 ± 4.88%, respectively; p < 0.0001). However, no significant difference was observed in the sperm viability. PTX treatment significantly reduced ROS production and sDF levels compared to controls (p < 0.01). These findings suggest that in vitro PTX supplementation enhances sperm motility and reduces the nuclear sperm injury associated with seminal ROS production. Therefore, PTX supplementation in vitro may be beneficial in assisted reproductive technology procedures involving men with asthenozoospermia.
Full article

Figure 1
Highly Accessed Articles
Latest Books
E-Mail Alert
News
Topics
Topic in
Agronomy, Beverages, Horticulturae, Oxygen
Plants and Crops as Sources of Phytochemicals for Development of Functional Foods and Beverages
Topic Editors: Nenad Naumovski, Željko DolijanovićDeadline: 31 December 2025
Topic in
Antioxidants, Biomedicines, IJMS, Life, Oxygen, Cosmetics, Nutraceuticals
Oxidative Stress and Inflammation, 3rd Edition
Topic Editors: Maria Letizia Manca, Amparo Nacher, Matteo Perra, Ines Castangia, Mohamad AllawDeadline: 31 July 2026
Topic in
Antioxidants, Biology, Nitrogen, Oxygen, Clinical Bioenergetics, Plants, Biomedicines
Cell Signaling and Redox Biology: From Molecular Mechanisms to Therapeutic Applications
Topic Editors: John T. Hancock, Sergej M. Ostojic, Jiankang Liu, Juan de Dios Alché RamírezDeadline: 31 December 2026
Special Issues
Special Issue in
Oxygen
Feature Papers in Oxygen Volume III
Guest Editor: John T. HancockDeadline: 31 March 2026



