- Article
Relationship Between Heart Rate, Muscle, and Peripheral Oxygen Saturation During Dry Static Apnea
- Dario Vrdoljak,
- Colin D. Hubbard and
- Geoff B. Coombs
- + 5 authors
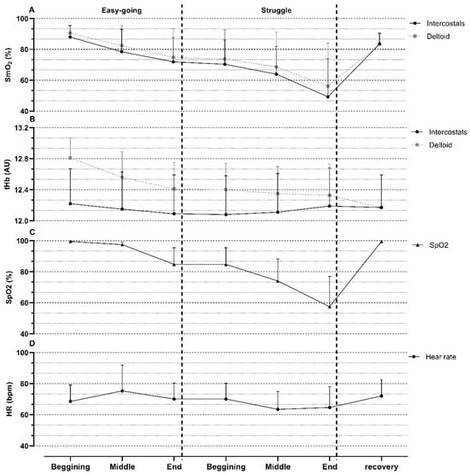
Background: During an apnea, oxygen depletion occurs at all tissue levels, so apnea duration is influenced by the mammalian dive reflex, which includes a bradycardia resulting in reduced cardiac oxygen consumption. This study aimed to examine the relationships between heart rate (HR), peripheral estimation of O2 (SpO2), deltoid and respiratory muscle oxygenation (SmO2), and apnea duration. Methods: The study included 10 breath-hold divers (BHD), 39 ± 10 years of age, with body height of 184.3 ± 3.5 cm, body mass of 84.0 ± 9.2 kg, and 16.2 ± 9.7 years of apnea experience. The BHD performed three preparatory apneas followed by three maximal apneas with 5 min of supine rest between each apnea. During all apneas (duration, 115–323 s; involuntary breathing movements (IBMs), 7–35), SmO2 (measured via NIRS on intercostals (respiratory) and deltoid (locomotor) muscles), heart rate, and SpO2 (measured via forehead sensor) were obtained. Results: The smallest disagreement in oxygen levels was between intercostal SmO2 and SpO2 during the easy-going phase (no IBMs), whereas deltoid desaturation values were more variable. During the struggle phase, Intercostal SmO2, moderately, and Deltoid SmO2, strongly, differed from SpO2. Correlations between apnea duration and O2 saturation showed that only Intercostal SmO2 (r = −0.71; p = 0.03) was significantly related to apnea duration. There was also a significant correlation between HR and SpO2 in the struggle phase (r = −0.58; p = 0.05). Conclusions: These findings suggest that during the struggle phase, SpO2 and SmO2 are not highly connected and that local and systemic oxygen levels in the blood are depleted at different rates. Furthermore, the HR response during the struggle phase affected only SpO2, which indicates that lowering the heart rate may help prevent more rapid deoxygenation. Lastly, the intercostal trend of deoxygenation could be interpreted as respiratory muscle work, suggesting that the increased work of respiratory muscles may prolong apnea duration.
13 December 2025



