Oxidative Stress Score as an Indicator of Pathophysiological Mechanisms Underlying Cardiovascular Disease in Kidney Transplant Recipients
Abstract
1. Introduction
2. Materials and Methods
2.1. Study Design and Participants
2.2. Blood Collection and Preparation
2.3. Leukocyte Density Gradient Separation
2.4. Oxidative Stress Parameters
2.4.1. Xanthine Oxidoreductase Activity
2.4.2. Glutathione Peroxidase Activity
2.4.3. Lipid Peroxidation Assay
2.4.4. Glutathione Content Assay
2.4.5. Superoxide Dismutase Activity
2.4.6. Protein Content Assay
2.4.7. OXY-SCORE Index Determination
2.5. Metabolic Syndrome Diagnosis
2.6. Statistics
3. Results
3.1. Study Population Baseline Characteristics
3.2. Cardiovascular Disease Incidence Influenced by Etiology
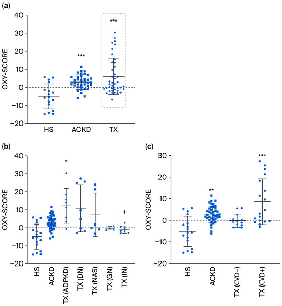
3.3. Alterations in Oxidative Stress Markers Detected in Plasma and Immune Cell Populations
4. Discussion
5. Conclusions
Author Contributions
Funding
Institutional Review Board Statement
Informed Consent Statement
Data Availability Statement
Acknowledgments
Conflicts of Interest
Abbreviations
| ACKD | advanced chronic kidney disease |
| ACVA | acute cerebrovascular accident |
| ADPKD | autosomal dominant polycystic kidney disease |
| AH | arterial hypertension |
| BCA | bicinchoninic acid |
| BI | body mass index |
| CCI | chronic cardiac insufficiency |
| CKD | chronic kidney disease |
| CVD | cardiovascular disease |
| DN | diabetic nephropathy |
| eGFR | estimated glomerular filtration rate |
| GPx | glutathione peroxidase |
| GSH | reduced glutathione |
| GSSG | glutathione disulfide |
| GN | glomerulonephritis |
| HD | hemodialysis |
| HS | healthy subjects |
| IN | interstitial nephritis |
| LDL | low density lipoprotein |
| MDA | malondialdehyde |
| MN | mononuclear leukocyte |
| NAS | nephroangiosclerosis |
| OPT | o-phtalaldehyde |
| PBS | phosphate-buffered solution |
| PD | peritoneal dialysis |
| PMN | polymorphonuclear leukocyte |
| RAAS | renin–angiotensin–aldosterone system |
| ROS | reactive oxygen species |
| SD | standard deviation |
| SOD | superoxide dismutase |
| TBARS | thiobarbituric acid reactive substance |
| TG | triglycerides |
| TX | kidney transplantation |
| XO | xanthine oxidase |
Appendix A
| HS (n = 18) | TX (NAS) (n = 6) | TX (DN) (n = 8) | TX (ADPKD) (n = 8) | TX (IN) (n = 7) | TX (GN) (n = 4) | |
|---|---|---|---|---|---|---|
| XO Activity (mU/mL) | 0.04 ± 0.012 | 0.29 ± 0.39 | 0.17 ± 0.15 | 0.6 ± 0.1 | 0.44 ± 0.44 | 1.8 ± 0.06 |
| SOD Activity (U/mL) | 0.65 ± 1.47 | 1.55 ± 1.38 | 4.1 ± 3.5 | 3.8 ± 3.2 | 10.1 ± 17.8 | 1.7 ± 0.7 |
| GPx Activity (U/mL) | 60.2 ± 15.6 | 701.8 ± 1053.27 | 290.1 ± 293.6 | 1075 ± 1969 | 835 ± 1073 | 342.9 ± 141 |
| TBARS (nmol/mL) | 5.9 ± 2.4 | 37 ± 39 | 20.9 ± 10.4 | 39.9 ± 49.2 | 33.7 ± 48.05 | 13.9 ± 3.3 |
| GSH (umol/mL) | 1.7 ± 0.53 | 1.6 ± 0.8 | 1.4 ± 0.5 | 1.7 ± 0.5 | 2.1 ± 1.33 | 1.8 ± 0.9 |
| HS (n = 18) | TX (NAS) (n = 6) | TX (DN) (n = 8) | TX (ADPKD) (n = 8) | TX (IN) (n = 7) | TX (GN) (n = 4) | |
|---|---|---|---|---|---|---|
| XO Activity (mU/mL) | 2.7 ± 1.1 | 4. 8 ± 1.3 | 2 ± 0.5 | 5.1 ± 3.4 | 6.4 ± 2.8 | 0.80 ± 0.014 |
| SOD Activity (U/mL) | 0.4 ± 0.3 | 1.1 ± 0.9 | 2.1 ± 2 | 9.2 ± 8.3 | 18 ± 4 | 0.46 |
| GPx Activity (U/mL) | 0.8 ± 1.1 | 1.7 ± 1.6 | 8.7 ± 1 | 5.4 ± 7.7 | 1.5 ± 1.3 | 0.12 ± 0.08 |
| MDA (nmol/mL) | 3.5 ± 2.9 | 6.73 ± 1 | 42.3 ± 33.8 | 15.7 ± 15.4 | 6.4 ± 3.6 | 8.037 ± 2.016 |
| GSH (umol/mL) | 5.9 ± 5.2 | 27 ± 18.3 | 13.7 ± 11.7 | 46.8 ± 87.1 | 336 ± 112 | 3.215 ± 2.51 |
| GSSG (umol/mL) | 3.1 ± 2.1 | 37.1 ± 40.3 | 17 ± 16.9 | 53.8 ± 80.6 | - | - |
| GSSG/GSH | 0.9 ± 0.9 | 2.9 ± 4.3 | 2.8 ± 2.5 | 2.1 ± 2.1 | - | - |
| HS (n = 18) | TX (NAS) (n = 6) | TX (DN) (n = 8) | TX (ADPKD) (n = 8) | TX (IN) (n = 7) | TX (GN) (n = 4) | |
|---|---|---|---|---|---|---|
| XO Activity (mU/mL) | 2.4 ± 1.8 | 1.8 ± 0.5 | 1.6 ± 0.66 | 5.7 ± 4.8 | 1.9 ± 0.9 | - |
| SOD Activity (U/mL) | 0.5 ± 0.8 | 2.2 ± 2.1 | 3.1 ± 1.7 | 9.5 ± 12.7 | 8.2 ± 1.2 | 2.1 ± 1.18 |
| GPx Activity (U/mL) | 0.3 ± 0.1 | 1 ± 1.1 | 1.4 ± 1.4 | 0.47 ± 0.06 | 1.8 ± 0.82 | 0.57 ± 0.28 |
| MDA (nmol/mL) | 3.3 ± 2.1 | 3.5 ± 1 | 3.9 ± 1 | 7.9 ± 0.06 | 6.3 ± 1.2 | - |
| GSH (umol/mL) | 1.3 ± 2.4 | 3.7 ± 1.8 | 9.6 ± 16.1 | 15.6 ± 15.4 | 3.3 ± 1.1 | - |
| GSSG (umol/mL) | 0.2 ± 0.07 | 7.6 ± 5.7 | 7.2 ± 3.9 | 17.8 ± 9.9 | - | - |
| GSSG/GSH | 0.4 ± 0.3 | 3.3 ± 1.8 | 14.8 ± 25.9 | 1.7 ± 0.7 | - | - |
References
- House, A.A.; Wanner, C.; Sarnak, M.J.; Piña, I.L.; McIntyre, C.W.; Komenda, P.; Kasiske, B.L.; Deswal, A.; de Filippi, C.R.; Cleland, J.G.F.; et al. Heart failure in chronic kidney disease: Conclusions from a Kidney Disease: Improving Global Outcomes (KDIGO) Controversies Conference. Kidney Int. 2019, 95, 1304–1317. [Google Scholar] [CrossRef]
- Zijlstra, L.E.; Trompet, S.; Mooijaart, S.P.; van Buren, M.; Sattar, N.; Stott, D.J.; Jukema, J.W. The association of kidney function and cognitive decline in older patients at risk of cardiovascular disease: A longitudinal data analysis. BMC Nephrol. 2020, 5, 81. [Google Scholar] [CrossRef]
- Priyadarshani, W.V.D.; de Namor, A.F.D.; Silva, S.R.P. Rising of a global silent killer: Critical analysis of chronic kidney disease of uncertain aetiology (CKDu) worldwide and mitigation steps. Environ. Geochem. Health 2023, 45, 2647–2662. [Google Scholar] [CrossRef] [PubMed]
- Cheung, C.Y.; Tang, S.C.W. Personalized immunosuppression after kidney transplantation. Nephrology 2022, 27, 475–483. [Google Scholar] [CrossRef]
- Vida, C.; Oliva, C.; Yuste, C.; Ceprián, N.; Caro, P.J.; Valera, G.; González de Pablos, I.; Morales, E.; Carracedo, J. Oxidative stress in patients with advanced ckd and renal replacement therapy: The key role of peripheral blood leukocytes. Antioxidants 2021, 10, 1155. [Google Scholar] [CrossRef]
- Veglia, F.; Cavalca, V.; Tremoli, E. OXY-SCORE: A global index to improve evaluation of oxidative stress by combining pro- and antioxidant markers. In Advanced Protocols in Oxidative Stress II; Humana Press: Totowa, NJ, USA, 2010. [Google Scholar] [CrossRef]
- Cerqueira, A.; Quelhas-Santos, J.; Sampaio, S.; Ferreira, I.; Relvas, M.; Marques, N.; Dias, C.C.; Pestana, M. Endothelial dysfunction is associated with cerebrovascular events in pre-dialysis CKD patients: A prospective study. Life 2021, 11, 128. [Google Scholar] [CrossRef]
- Maraj, M.; Kuśnierz-Cabala, B.; Dumnicka, P.; Gawlik, K.; Pawlica-Gosiewska, D.; Gala-Błądzińska, A.; Ząbek-Adamska, A.; Ceranowicz, P.; Kuźniewski, M. Redox balance correlates with nutritional status among patients with end-stage renal disease treated with maintenance hemodialysis. Oxidative Med. Cell. Longev. 2019, 2019, 6309465. [Google Scholar] [CrossRef]
- Cecerska-Heryć, E.; Heryć, R.; Dutkiewicz, G.; Michalczyk, A.; Grygorcewicz, B.; Serwin, N.; Napiontek-Balińska, S.; Dołęgowska, B. Xanthine oxidoreductase activity in platelet-poor and rich plasma as an oxidative stress indicator in patients requiring renal replacement therapy. BMC Nephrol. 2022, 23, 35. [Google Scholar] [CrossRef] [PubMed]
- Cañas, L.; Iglesias, E.; Pastor, M.C.; Barallat, J.; Juega, J.; Bancu, I.; Lauzurica, R. Inflammation and oxidation: Do they improve after kidney transplantation? Relationship with mortality after transplantation. Int. Urol. Nephrol. 2017, 49, 533–540. [Google Scholar] [CrossRef]
- Yepes-Calderón, M.; Sotomayor, C.G.; Gans, R.O.B.; Berger, S.P.; Leuvenink, H.G.D.; Tsikas, D.; Rodrigo, R.; Navis, G.J.; Bakker, S.J.L. Post-transplantation plasma malondialdehyde is associated with cardiovascular mortality in renal transplant recipients: A prospective cohort study. Nephrol. Dial. Transplant. 2020, 35, 512–519. [Google Scholar] [CrossRef] [PubMed]
- Soleymanian, T.; Hamid, G.; Arefi, M.; Najafi, I.; Ganji, M.R.; Amini, M.; Hakemi, M.; Tehrani, M.R.; Larijani, B. Non-diabetic renal disease with or without diabetic nephropathy in type 2 diabetes: Clinical predictors and outcome. Ren. Fail. 2015, 37, 572–575. [Google Scholar] [CrossRef]
- Rangaswami, J.; Mathew, R.O.; Parasuraman, R.; Tantisattamo, E.; Lubetzky, M.; Rao, S.; Yaqub, M.S.; Birdwell, K.A.; Bennett, W.; Dalal, P.; et al. Cardiovascular disease in the kidney transplant recipient: Epidemiology, diagnosis and management strategies. Nephrol. Dial. Transplant. 2019, 34, 760–773. [Google Scholar] [CrossRef]
- Klawitter, J.; Reed-Gitomer, B.Y.; McFann, K.; Pennington, A.; Klawitter, J.; Abebe, K.Z.; Klepacki, J.; Cadnapaphornchai, M.A.; Brosnahan, G.; Chonchol, M.; et al. Endothelial dysfunction and oxidative stress in polycystic kidney disease. Am. J. Physiol. Ren. Physiol. 2014, 307, F1198–F1206. [Google Scholar] [CrossRef]
- Qasim, M.T.; Mohammed, Z.I. The Impact of glomerulonephritis on cardiovascular disease: Exploring pathophysiological links and clinical implications. J. Rare Cardiovasc. Dis. 2025, 5, 3–8. [Google Scholar]
- Martinez-Hervas, S.; Real, J.T.; Ivorra, C.; Priego, A.; Chaves, F.J.; Pallardo, F.V.; Viña, J.R.; Redon, J.; Carmena, R.; Ascaso, J.F. Increased plasma xanthine oxidase activity is related to nuclear factor kappa beta activation and inflammatory markers in familial combined hyperlipidemia. Nutr. Metab. Cardiovasc. Dis. 2010, 20, 734–739. [Google Scholar] [CrossRef] [PubMed]
- Kushiyama, A.; Okubo, H.; Sakoda, H.; Kikuchi, T.; Fujishiro, M.; Sato, H.; Kushiyama, S.; Iwashita, M.; Nishimura, F.; Fukushima, T.; et al. Xanthine oxidoreductase is involved in macrophage foam cell formation and atherosclerosis development. Arterioscler. Thromb. Vasc. Biol. 2012, 32, 291–298. [Google Scholar] [CrossRef] [PubMed]
- Yu, H.; Chen, X.; Guo, X.; Chen, D.; Jiang, L.; Qi, Y.; Shao, J.; Tao, L.; Hang, J.; Lu, G.; et al. The clinical value of serum xanthine oxidase levels in patients with acute ischemic stroke. Redox Biol. 2023, 60, 102623. [Google Scholar] [CrossRef]
- Oki, R.; Hamasaki, Y.; Komaru, Y.; Miyamoto, Y.; Matsuura, R.; Akari, S.; Nakamura, T.; Murase, T.; Doi, K.; Nangaku, M. Plasma xanthine oxidoreductase is associated with carotid atherosclerosis in stable kidney transplant recipients. Nephrology 2022, 27, 363–370. [Google Scholar] [CrossRef]
- Pérez-García, R.; Ramírez Chamond, R.; de Sequera Ortiz, P.; Albalate, M.; Puerta Carretero, M.; Ortega, M.; Ruiz Caro, M.C.; Alcazar Arroyo, R. Citrate dialysate does not induce oxidative stress or inflammation in vitro as compared to acetate dialysate. Nefrologia 2017, 37, 630–637. [Google Scholar] [CrossRef]
- Mamode, N.; Bestard, O.; Claas, F.; Furian, L.; Griffin, S.; Legendre, C.; Pengel, L.; Naesens, M. European Guideline for the Management of Kidney Transplant Patients with HLA Antibodies: By the European Society for Organ Transplantation Working Group. Transpl. Int. 2022, 35, 10511. [Google Scholar] [CrossRef]
- Ayala, A.; Muñoz, M.F.; Argüelles, S. Lipid Peroxidation: Production, Metabolism, and Signaling Mechanisms of Malondialdehyde and 4-Hydroxy-2-Nonenal. Oxidative Med. Cell. Longev. 2014, 2014, 360438. [Google Scholar] [CrossRef]
- Andrade, F.; Darrah, E.; Rosen, A. Autoantibodies in Rheumatoid Arthritis. In Kelley and Firestein’s Textbook of Rheumatology, 10th ed.; Firestein, G.S., Budd, R.C., Gabriel, S.E., McInnes, I.B., O’Dell, J.R., Eds.; Elsevier: Amsterdam, The Netherlands, 2017; pp. 831–845. [Google Scholar] [CrossRef]
- Wojtaszek, E.; Oldakowska-Jedynak, U.; Kwiatkowska, M.; Glogowski, T.; Malyszko, J. Evaluation of oxidant and antioxidant status in living donor renal allograft transplant recipients. Mol. Cell. Biochem. 2016, 413, 1–8. [Google Scholar] [CrossRef] [PubMed]
- Martín-Timón, I.; Sevillano-Collantes, C.; Segura-Galindo, A. Type 2 diabetes and cardiovascular disease: Have all risk factors the same strength? World J. Diabetes 2014, 5, 444–470. [Google Scholar] [CrossRef]
- Gutteridge, J.M.C.; Halliwell, B. Mini-Review: Oxidative stress, redox stress or redox success? Biochem. Biophys. Res. Commun. 2018, 502, 183–186. [Google Scholar] [CrossRef]
- Moreno, J.M.; Ruiz, M.C.; Ruiz, N. Modulation factors of oxidative status in stable renal transplantation. Transplant. Proc. 2005, 37, 1428–1430. [Google Scholar] [CrossRef]
- Younus, H. Therapeutic potentials of superoxide dismutase. Int. J. Health Sci. 2018, 12, 88–93. [Google Scholar]
- Zachara, B.A.; Wlodarczyk, Z.; Andruszkiewicz, J. Glutathione and glutathione peroxidase activities in blood of patients in early stages following kidney transplantation. Ren. Fail. 2005, 27, 751–755. [Google Scholar] [CrossRef]
- Ruiz, M.C.; Medina, A.; Moreno, J.M. Relationship between oxidative stress parameters and atherosclerotic signs in the carotid artery of stable renal transplant patients. Transplant. Proc. 2005, 37, 3796–3798. [Google Scholar] [CrossRef]
- Prasai, P.K.; Shrestha, B.; Orr, A.W.; Pattillo, C.B. Decreases in GSH:GSSG activate vascular endothelial growth factor receptor 2 (VEGFR2) in human aortic endothelial cells. Redox Biol. 2018, 19, 22–27. [Google Scholar] [CrossRef] [PubMed]
- Heras Benito, M. Nephroangiosclerosis: An update. Hipertens. Riesgo Vasc. 2023, 40, 98–103. [Google Scholar] [CrossRef] [PubMed]
- Lassègue, B.; Griendling, K.K. NADPH oxidases: Functions and pathologies in the vasculature. Arterioscler. Thromb. Vasc. Biol. 2010, 30, 653–661. [Google Scholar] [CrossRef]
- Bigagli, E.; Raimondi, L.; Mannucci, E.; Colombi, C. Lipid and protein oxidation products, antioxidant status and vascular complications in poorly controlled type 2 diabetes. Br. J. Diabetes Vasc. Dis. 2012, 12, 33–39. [Google Scholar] [CrossRef]
- Bandeira, S.M.; Guedes, G.S.; da Fonseca, L.J. Characterization of blood oxidative stress in type 2 diabetes mellitus patients: Increase in lipid peroxidation and SOD activity. Oxidative Med. Cell. Longev. 2012, 2012, 819310. [Google Scholar] [CrossRef] [PubMed]
- Strom, A.; Kaul, K.; Brüggemann, J.; Ziegler, I.; Rokitta, I.; Püttgen, S.; Szendroedi, J.; Müssig, K.; Roden, M.; Ziegler, D. Lower serum extracellular superoxide dismutase levels are associated with polyneuropathy in recent-onset diabetes. Exp. Mol. Med. 2017, 49, e394. [Google Scholar] [CrossRef] [PubMed]
- Adeshara, K.A.; Diwan, A.G.; Jagtap, T.R.; Advani, K.; Siddiqui, A.; Tupe, R.S. Relationship between plasma glycation with membrane modification, oxidative stress and expression of glucose trasporter-1 in type 2 diabetes patients with vascular complications. J. Diabetes Its Complicat. 2017, 31, 439–448. [Google Scholar] [CrossRef]
- Chapman, A.B.; Devuyst, O.; Eckardt, K.U.; Gansevoort, R.T.; Harris, T.; Horie, S.; Kasiske, B.L.; Odland, D.; Pei, Y.; Perrone, R.D.; et al. Autosomal-dominant polycystic kidney disease (ADPKD): Executive summary from a Kidney Disease: Improving Global Outcomes (KDIGO) Controversies Conference. Kidney Int. 2015, 88, 17–27. [Google Scholar] [CrossRef]
- Maser, R.L.; Vassmer, D.; Magenheimer, B.S.; Calvet, J.P. Oxidant stress and reduced antioxidant enzyme protection in polycystic kidney disease. J. Am. Soc. Nephrol. 2002, 13, 991–999. [Google Scholar] [CrossRef]
- Angeletti, A.; Bruschi, M.; Kajana, X.; Spinelli, S.; Verrina, E.; Lugani, F.; Caridi, G.; Murtas, C.; Candiano, G.; Prunotto, M.; et al. Mechanisms Limiting Renal Tissue Protection and Repair in Glomerulonephritis. Int. J. Mol. Sci. 2023, 24, 8318. [Google Scholar] [CrossRef]
- Praga, M.; Sevillano, A.; Gonzalez, E. Changes in the aetiology, clinical presentation and management of acute interstitial nephritis, an increasingly common cause of acute kidney injury. Nephrol. Dial. Transplant. 2015, 30, 1472–1479. [Google Scholar] [CrossRef]
- Odegaard, A.O.; Jacobs, D.R.; Sanchez, O.A. Oxidative stress, inflammation, endothelial dysfunction and incidence of type 2 diabetes. Cardiovasc. Diabetol. 2016, 15, 51. [Google Scholar] [CrossRef]
- Montiel, V.; Lobysheva, I.; Gérard, L.; Vermeersch, M.; Perez-Morga, D.; Castelein, T.; Mesland, J.B.; Hantson, P.; Collienne, C.; Gruson, D.; et al. Oxidative stress-induced endothelial dysfunction and decreased vascular nitric oxide in COVID-19 patients. EbioMedicine 2022, 77, 103893. [Google Scholar] [CrossRef]
- Li, X.; Lin, Y.; Wang, S.; Zhou, S.; Ju, J.; Wang, X.; Chen, Y.; Xia, M. Extracellular superoxide dismutase is associated with left ventricular geometry and heart failure in patients with cardiovascular disease. J. Am. Heart Assoc. 2020, 9, 101345. [Google Scholar] [CrossRef] [PubMed]
- Zawada, A.M.; Carrero, J.J.; Wolf, M.; Feuersenger, A.; Stuard, S.; Gauly, A.; Winter, A.C.; Ramos, R.; Fouque, D.; Canaud, B. Serum Uric Acid and Mortality Risk Among Hemodialysis Patients. Kidney Int. Rep. 2020, 5, 1196–1206. [Google Scholar] [CrossRef] [PubMed]
- Rybka, J.; Kupczyk, D.; Kedziora-Kornatowska, K.; Motyl, J.; Czuczejko, J.; Szewczyk-Golec, K.; Kozakiewicz, M.; Pawluk, H.; Carvalho, L.A.; Kędziora, J. Glutathione-related antioxidant defense system in elderly patients treated for hypertension. Cardiovasc. Toxicol. 2011, 11, 1–9. [Google Scholar] [CrossRef] [PubMed]
- Damy, T.; Kirsch, M.; Khouzami, L.; Caramelle, P.; Le Corvoisier, P.; Roudot-Thoraval, F.; Dubois-Randé, J.L.; Hittinger, L.; Pavoine, C.; Pecker, F. Glutathione deficiency in cardiac patients is related to the functional status and structural cardiac abnormalities. PLoS ONE 2009, 4, e4871. [Google Scholar] [CrossRef]






| Characteristics | HS (n = 18) | ACKD (n = 36) | TX (n = 40) |
|---|---|---|---|
| Demographic data | |||
| Age (years ± sd) | 54.83 ± 16.25 | 61.16 ± 16.48 | 56.22 ± 13.55 |
| Gender (women (%)) | 12 (52.2) | 14 (38.9) | 13 (32.5) |
| Cardiovascular disease | |||
| CVD (n (%)) | 0 (0) | 23 (63.9) ** | 20 (50) ** |
| Ischemic cardiopathy (n (%)) | 0 (0) | 16 (44.4) ** | 16 (40) ** |
| Acute cardiovascular accident (n (%)) | 0 (0) | 6 (16.7) | 9 (22.5) |
| Vasculopathy (n (%)) | 0 (0) | 4 (11.1) | 18 (45) ** # |
| Chronic heart failure (n (%)) | 0 (0) | 3 (8.3) | 2 (5) |
| Comorbidities | |||
| Arterial hypertension (n (%)) | 1 (5.8) | 32 (88.9) *** | 39 (97.5) *** |
| Dyslipidemia (n (%)) | 0 (0) | 27 (75) *** | 21 (52.5) *** |
| Diabetes mellitus (n (%)) | 1 (5.5) | 16 (44.4) ** | 16 (40) ** |
| Hyperuricemia (n (%)) | 0 (0) | 25 (69.4) *** | 8 (20) * # |
| Metabolic syndrome (n (%)) | 0 (0) | 9 (25) * | 6 (15) |
| Kidney Transplant Clinical Profile | |||
| Antibodies against transplantation (n (%)) | - | - | 21 (52.5) |
| Time since transplantation (n (%)) | - | - | 17 less than 5 years (42.5) 23 more than 5 years (57.5) |
| Etiology of CKD (n (%)) | - | 7 NAS (19.4) 13 DN (36.1) 1 ADPKD (2.7) 6 IN (16.7) 6 GN (16.7) 3 Others (8.4) | 6 NAS (15) 8 DN (20) 8 ADPKD (20) 7 IN (17.5) 4 GN (10) 7 Others (17.5) |
Disclaimer/Publisher’s Note: The statements, opinions and data contained in all publications are solely those of the individual author(s) and contributor(s) and not of MDPI and/or the editor(s). MDPI and/or the editor(s) disclaim responsibility for any injury to people or property resulting from any ideas, methods, instructions or products referred to in the content. |
© 2025 by the authors. Licensee MDPI, Basel, Switzerland. This article is an open access article distributed under the terms and conditions of the Creative Commons Attribution (CC BY) license (https://creativecommons.org/licenses/by/4.0/).
Share and Cite
Gemma, V.-A.; Caro, P.J.; Rodríguez-San Pedro, M.d.M.; Yuste, C.; Ortiz-Diaz, M.G.; Ramírez, R.; Alique, M.; Guerra-Pérez, N.; Carracedo, J.; Morales, E. Oxidative Stress Score as an Indicator of Pathophysiological Mechanisms Underlying Cardiovascular Disease in Kidney Transplant Recipients. Oxygen 2025, 5, 20. https://doi.org/10.3390/oxygen5040020
Gemma V-A, Caro PJ, Rodríguez-San Pedro MdM, Yuste C, Ortiz-Diaz MG, Ramírez R, Alique M, Guerra-Pérez N, Carracedo J, Morales E. Oxidative Stress Score as an Indicator of Pathophysiological Mechanisms Underlying Cardiovascular Disease in Kidney Transplant Recipients. Oxygen. 2025; 5(4):20. https://doi.org/10.3390/oxygen5040020
Chicago/Turabian StyleGemma, Valera-Arévalo, Paula Jara Caro, María del Mar Rodríguez-San Pedro, Claudia Yuste, María Gabriela Ortiz-Diaz, Rafael Ramírez, Matilde Alique, Natalia Guerra-Pérez, Julia Carracedo, and Enrique Morales. 2025. "Oxidative Stress Score as an Indicator of Pathophysiological Mechanisms Underlying Cardiovascular Disease in Kidney Transplant Recipients" Oxygen 5, no. 4: 20. https://doi.org/10.3390/oxygen5040020
APA StyleGemma, V.-A., Caro, P. J., Rodríguez-San Pedro, M. d. M., Yuste, C., Ortiz-Diaz, M. G., Ramírez, R., Alique, M., Guerra-Pérez, N., Carracedo, J., & Morales, E. (2025). Oxidative Stress Score as an Indicator of Pathophysiological Mechanisms Underlying Cardiovascular Disease in Kidney Transplant Recipients. Oxygen, 5(4), 20. https://doi.org/10.3390/oxygen5040020

