Journal Description
Insects
Insects
is an international, peer-reviewed, open access journal on entomology published monthly online by MDPI.
- Open Access— free for readers, with article processing charges (APC) paid by authors or their institutions.
- High Visibility: indexed within Scopus, SCIE (Web of Science), PubMed, PMC, PubAg, and other databases.
- Journal Rank: JCR - Q1 (Entomology) / CiteScore - Q1 (Insect Science)
- Rapid Publication: manuscripts are peer-reviewed and a first decision is provided to authors approximately 18.1 days after submission; acceptance to publication is undertaken in 2.9 days (median values for papers published in this journal in the first half of 2025).
- Recognition of Reviewers: reviewers who provide timely, thorough peer-review reports receive vouchers entitling them to a discount on the APC of their next publication in any MDPI journal, in appreciation of the work done.
- Journal Cluster of Animal Science: Animals, Arthropoda, Birds, Insects, Journal of Zoological and Botanical Gardens, Pets, Poultry, Ruminants and Veterinary Sciences.
Impact Factor:
2.9 (2024);
5-Year Impact Factor:
3.3 (2024)
Latest Articles
The Effect of Growth and Nutrition in Black Soldier Fly Larvae Fed by Hemp Seed Oil Mixed Diets
Insects 2025, 16(11), 1081; https://doi.org/10.3390/insects16111081 (registering DOI) - 23 Oct 2025
Abstract
The black soldier fly (BSF), Hermetia illucens, has gained increasing attention as a sustainable protein source for animal feed. This study investigated the effects of dietary supplementation with hemp seed oil (HSO) at 0.5–6% concentrations on the growth performance and nutritional composition of
[...] Read more.
The black soldier fly (BSF), Hermetia illucens, has gained increasing attention as a sustainable protein source for animal feed. This study investigated the effects of dietary supplementation with hemp seed oil (HSO) at 0.5–6% concentrations on the growth performance and nutritional composition of black soldier fly larvae (BSFL). Larval development, survival rate, body weight, and adult longevity were evaluated under controlled conditions. In addition, chemical characterization of HSO was performed, and the proximate composition, mineral content, and amino acid profile of dried larvae were analyzed. The results indicated that HSO supplementation had no statistically significant effect on developmental time, survival rate, biomass accumulation, or adult lifespan compared to the control. Gas Chromatography–Mass Spectrometry (GC-MS) profiling of HSO revealed a wide range of bioactive compounds, including unsaturated fatty acids (UFAs), phytosterols, cannabinoids, and tocopherols. The BSFL showed high levels of fat and energy, with essential amino acids and minerals present in favorable concentrations for feed applications. The HSO improves the protein levels at the 0.5–1.0% concentration, with negative correlations at higher concentrations. The findings suggest that HSO can be integrated into BSFL diets without adverse effects on growth performance, while potentially enhancing the functional value of the larvae. This supports the feasibility of incorporating hemp by-products into insect-rearing systems to promote circular and value-added feed production.
Full article
(This article belongs to the Section Insect Physiology, Reproduction and Development)
►
Show Figures
Open AccessArticle
Toxicity of Hypaconitine from Aconitum coreanum (H. Lév.) Rapaics Against the Oriental Armyworm, Mythimna separata (Walker)
by
Xiuwei Li, Jiaqi Xing, Meng Yang, Naiwei Chen and Yaping Liang
Insects 2025, 16(11), 1080; https://doi.org/10.3390/insects16111080 - 22 Oct 2025
Abstract
Mythimna separata (Walker) (Lepidoptera: Noctuidae) is a major migratory pest causing severe damage to cereal crops such as maize, wheat, and rice across Asia, and is also found in many parts of Oceania. With increasing insecticide resistance, botanical alternatives are urgently needed. This
[...] Read more.
Mythimna separata (Walker) (Lepidoptera: Noctuidae) is a major migratory pest causing severe damage to cereal crops such as maize, wheat, and rice across Asia, and is also found in many parts of Oceania. With increasing insecticide resistance, botanical alternatives are urgently needed. This study evaluated the insecticidal potential of hypaconitine, a C19-diterpenoid alkaloid from Aconitum coreanum, against M. separata larvae. Hypaconitine exhibited significant stomach toxicity and strong antifeedant activity. It also caused pronounced growth inhibition, prolonged larval and pupal development, reduced pupation and adult emergence, induced morphological deformities, and significantly shortened adult longevity. Crucially, biochemical assays revealed sustained, time- and concentration-dependent upregulation of key detoxification enzymes—carboxylesterase (CarE), glutathione S-transferase (GST), and cytochrome P450 (CYP450)—over 72 h, indicating that hypaconitine imposes severe metabolic fitness costs rather than being readily detoxified. These effects collectively demonstrate that hypaconitine’s insecticidal efficacy arises not only from direct toxicity but also from exploiting the physiological trade-offs inherent in xenobiotic defense. Its multi-modal action—combining larvicidal, antifeedant, growth-regulatory, and metabolism-disrupting effects—presents a novel strategy for bioinsecticide development with a lower risk of resistance evolution. These findings highlight hypaconitine as a promising candidate for sustainable, integrated management of M. separata and other resistant lepidopteran pests.
Full article
(This article belongs to the Section Insect Pest and Vector Management)
►▼
Show Figures

Figure 1
Open AccessArticle
Chemical Contaminants in Cerumen Samples from Ecuadorian Stingless Bees: Reporting Glyphosate, Aminomethylphosphonic Acid, and the Presence of Metals and Metalloids
by
Joseline Sofía Ocaña-Cabrera, Jorge Ron-Román, Sarah Martin-Solano and Claude Saegerman
Insects 2025, 16(11), 1079; https://doi.org/10.3390/insects16111079 - 22 Oct 2025
Abstract
Stingless bee cerumen is a mixture of wax and plant resins. Foragers of stingless bees are exposed to various chemical contaminants during their plant visits and collection activities. These contaminants have the potential to be transferred into the nest. This study aimed to
[...] Read more.
Stingless bee cerumen is a mixture of wax and plant resins. Foragers of stingless bees are exposed to various chemical contaminants during their plant visits and collection activities. These contaminants have the potential to be transferred into the nest. This study aimed to elucidate the existence of chemical contaminants in Ecuadorian cerumen. To this end, the following aims were established: (i) to determine and quantify glyphosate (GLY), aminomethylphosphonic acid (AMPA), some other pesticides, metals and metalloids in cerumen and (ii) to establish possible risks associated with the presence of these chemical contaminants to the health of stingless bees and humans. The quantification of chemical contaminants was conducted using gas chromatography (GC), liquid chromatography (LC), and ion chromatography (IC) coupled to mass spectrometry (MS). Glyphosate (0.02–0.2 mg/kg) and AMPA (0.028 mg/kg) were detected in four of the pooled samples (n = 14) from the northern and southern highland regions. Other pesticide traces were not detected in any cerumen samples. Metals (Cd, Cr, Pb, Ni, Sn) and metalloids (As, Sb, Se) were found in all samples, including highlands and the lower Amazon. The potential risks of exposure to glyphosate and AMPA for stingless bees and humans appear to be minimal (except for the specific conditions given for Tetragonisca angustula) and safe, respectively. It seems that cerumen may serve as an effective biomonitoring matrix for assessing the environmental health of stingless bee nests. Establishing guidelines and regulations for the safe use and handling of products derived from the stingless bee consumption is therefore imperative.
Full article
(This article belongs to the Section Social Insects and Apiculture)
►▼
Show Figures

Figure 1
Open AccessArticle
Comprehensive Analysis of Cathepsin Genes in Hemiptera: Functional Characterization of the Venomous Cathepsin B from Sycanus bifidus
by
Wenkai Liang, Sha Liu, Yuqin Wang, Chaoyan Wu, Wenxiu Wang and Jiaying Zhu
Insects 2025, 16(11), 1078; https://doi.org/10.3390/insects16111078 - 22 Oct 2025
Abstract
Cathepsins represent a crucial group of protein enzymes involved in insect metabolism. Within the Hemiptera order, comprising a diverse array of predatory, blood-feeding, and herbivorous species, the understanding of cathepsin types and their roles as venom components in predatory bugs remains limited. This
[...] Read more.
Cathepsins represent a crucial group of protein enzymes involved in insect metabolism. Within the Hemiptera order, comprising a diverse array of predatory, blood-feeding, and herbivorous species, the understanding of cathepsin types and their roles as venom components in predatory bugs remains limited. This investigation systematically identified cathepsin genes present in Hemiptera genomes, highlighting a prevalence of cathepsin B and L, with cathepsin D exhibiting a higher gene count in the Heteroptera suborder. Examining the predatory assassin bug Sycanus bifidus, eight cathepsin genes were notably expressed in its venom glands, with the SbCAB2 gene from the cathepsin B subfamily demonstrating the highest expression in the posterior main gland, indicating its significance as a venom component. Subsequent expression and purification of the recombinant SbCAB2 protein revealed heightened hydrolytic activity (0.91 U/mg protein) compared to extracts from the anterior main gland, accessory gland, and gut. Functional assays demonstrated that SbCAB2, at lower doses (0.625–2.5 μg), can impede phenoloxidase activity in Tenebrio molitor pupal hemolymph, with a 2.5 μg dose inhibiting 86.5% of this activity, thereby preventing hemolymph melanization. Conversely, a higher dose of 10 μg led to effects akin to human placental cathepsin B, promoting melanization in T. molitor pupal hemolymph. These findings lay the foundation for further exploration of the adaptive evolution of cathepsin genes in Hemiptera and offer crucial insights into the functional role of venomous cathepsins in predatory bugs.
Full article
(This article belongs to the Section Insect Molecular Biology and Genomics)
►▼
Show Figures

Graphical abstract
Open AccessArticle
Prey Preference of Neoseiulus californicus (McGregor) (Mesostigmata: Phytoseiidae) When Offered Two Strawberry Pests, Scirtothrips dorsalis Hood (Thysanoptera: Thripidae) and Tetranychus urticae Koch (Acari: Tetranychidae)
by
Allan Busuulwa, Abigail Campos Gutiérrez and Sriyanka Lahiri
Insects 2025, 16(11), 1077; https://doi.org/10.3390/insects16111077 - 22 Oct 2025
Abstract
Mites and thrips often infest strawberry crops across the globe, with devastating outcomes for growers. In fact, Tetranychus urticae Koch and Scirtothrips dorsalis Hood are major pests of strawberries in Florida, USA, often infesting plants at the same time. Chemical control is ineffective
[...] Read more.
Mites and thrips often infest strawberry crops across the globe, with devastating outcomes for growers. In fact, Tetranychus urticae Koch and Scirtothrips dorsalis Hood are major pests of strawberries in Florida, USA, often infesting plants at the same time. Chemical control is ineffective because both pests have developed resistance to many pesticides; therefore, many growers are presently utilizing predatory mites. Currently, Amblyseius swirskii Anthis-Henriot is released for S. dorsalis and Phytoseiulus persimilis Athias-Henriot for T. urticae, but this dual-release strategy is costly and can reduce effectiveness since A. swirskii can prey on P. persimilis. This study evaluated whether Neoseiulus californicus (McGregor) could provide a single practical alternative for managing both pests. We assessed its feeding preference in laboratory using no-choice and choice tests where an adult predator was offered different life stages of T. urticae and larvae of S. dorsalis. Results showed that in no-choice tests, N. californicus consumed more T. urticae eggs compared to T. urticae adults. Also, S. dorsalis larvae and T. urticae deutonymphs were consumed in similar proportions. In choice tests, feeding shifted toward mobile prey with higher consumption of S. dorsalis larvae and T. urticae deutonymphs and adults. These results demonstrate that N. californicus is a flexible predator with potential to control both pests and should be investigated further for its potential as a cost-effective tool in strawberry pest management.
Full article
(This article belongs to the Special Issue Advances in the Bio-Ecology and Control of Plant-Damaging Acari)
►▼
Show Figures

Figure 1
Open AccessArticle
Effect of Solvents on the Structure of the Gut Microbiota of Honeybees (Apis mellifera)
by
Kang Wang, Jinmeng Ma, Ting Ji, Haibo Zhang and Ling Yin
Insects 2025, 16(11), 1076; https://doi.org/10.3390/insects16111076 - 22 Oct 2025
Abstract
The gut microbiota of social bees is vital for host health, yet pesticide exposure can disrupt these communities. Because most active ingredients are poorly soluble, toxicological tests often use cosolvents, but their effects remain unclear. We assessed four common cosolvents (DMSO, DMF, acetone,
[...] Read more.
The gut microbiota of social bees is vital for host health, yet pesticide exposure can disrupt these communities. Because most active ingredients are poorly soluble, toxicological tests often use cosolvents, but their effects remain unclear. We assessed four common cosolvents (DMSO, DMF, acetone, and Tween 80) at laboratory-relevant concentrations on honeybee survival, pollen consumption, body weight, and gut microbiota. In parallel, in vitro assays tested their impact on five dominant gut symbionts. The results showed no significant changes in survival, feeding, body weight, bacterial load, community composition, or core taxa abundance. Similarly, cosolvents did not inhibit bacterial growth in vitro. These findings demonstrate that commonly used cosolvents exert no detectable influence on honeybee physiology or gut microbiota. Although negative, this evidence is critical: it rules out cosolvents as hidden confounders, improving confidence in pesticide toxicology studies and providing essential reference data for pollinator risk assessment.
Full article
(This article belongs to the Special Issue Biology and Conservation of Honey Bees)
►▼
Show Figures

Figure 1
Open AccessArticle
Transcriptional Response of ABCH Transporter Genes to Host Allelochemicals in Dendroctonus armandi and Their Functional Analysis
by
Bin Liu, Jinrui Zhu and Xiaoman Ning
Insects 2025, 16(11), 1075; https://doi.org/10.3390/insects16111075 - 22 Oct 2025
Abstract
Bark beetles depend on detoxifying enzymes to counteract the defensive terpenoids produced by host trees. Insect ABC transporters play a critical role in the detoxification of insecticides and plant secondary metabolites. However, the specific functions of ABC genes in the metabolism of host
[...] Read more.
Bark beetles depend on detoxifying enzymes to counteract the defensive terpenoids produced by host trees. Insect ABC transporters play a critical role in the detoxification of insecticides and plant secondary metabolites. However, the specific functions of ABC genes in the metabolism of host allelochemicals remain unclear in D. armandi. In this study, we observed that verapamil significantly enhanced the mortality of host allelochemicals in beetles, indicating that ABC transporter genes are involved in the metabolism of monoterpenes by D. armandi. We then sequenced and characterized the full-length cDNAs of three ABCH subfamily genes (DaABCH1–DaABCH3) from D. armandi. Spatiotemporal expression profiling revealed that all three genes were upregulated during developmental transitions (egg to larva and pupa to adult) and tissue-specific enrichment in detoxification-related organs (Malpighian tubules, fat body, and midgut). Additionally, DaABCH3 expression was detected in the hindgut and brain. Furthermore, DaABCH1 and DaABCH2 were significantly induced by treatment with α-pinene and limonene, whereas DaABCH3 was induced by β-pinene and limonene. Importantly, silencing DaABCH1 significantly increased mortality in adults fumigated with α-pinene and limonene. These results strongly suggest that DaABCH1 acts as a key regulator modulating D. armandi’s sensitivity to host plant allelochemicals. This finding provides a conceptual basis for developing novel control strategies against this economically significant forest pest.
Full article
(This article belongs to the Special Issue Bark and Wood-Boring Insects: Past and Present Research and Essential Future Knowledge—2nd Edition)
►▼
Show Figures

Graphical abstract
Open AccessArticle
Parasitization Activity by Eretmocerus iulii over the Orange Spiny Whitefly, Aleurocanthus spiniferus, in Sicily
by
Alessia Farina and Carmelo Rapisarda
Insects 2025, 16(10), 1074; https://doi.org/10.3390/insects16101074 - 21 Oct 2025
Abstract
Since its first report in 2020, Aleurocanthus spiniferus has rapidly spread in Sicily, causing alarm among citrus growers. To assess biocontrol possibilities, its spontaneous natural enemies were observed and, from summer 2023, sporadic parasitization was noted by an unknown species of the genus
[...] Read more.
Since its first report in 2020, Aleurocanthus spiniferus has rapidly spread in Sicily, causing alarm among citrus growers. To assess biocontrol possibilities, its spontaneous natural enemies were observed and, from summer 2023, sporadic parasitization was noted by an unknown species of the genus Eretmocerus, recently described as E. iulii. Parasitization over the OSW was studied regularly from November 2023 at two sites and from August 2024 at a third site (all of them in eastern Sicily). At the first two sites, parasitization was very low (<1%) at the beginning of the observations, increased during autumn 2023 (not exceeding 10%), decreased during winter 2023–2024 and rapidly increased again during spring 2024, peaking in May–June with over 30%. After declining during the hot and dry summer 2024, parasitization increased again in autumn 2024, reaching 15–20% higher values compared to the previous autumn, and continued to rise gradually until the end of the monitoring period. A similar parasitization trend was noted at the third site. At all three sites, increasing parasitization coincides with a lower density of OSW nymphs. These findings show the potential of E. iulii as a promising biological control agent, offering a sustainable solution to mitigate the effect of this whitefly on citrus production in Sicily.
Full article
(This article belongs to the Special Issue Insects Ecology and Biological Control Applications)
►▼
Show Figures

Figure 1
Open AccessArticle
Tetraniliprole Triggers Transgenerational Hormesis in an Invasive Insect Herbivore: Molecular and Biological Insights
by
Farman Ullah, Zeeshan Ullah, Ali Güncan, Guru-Pirasanna-Pandi Govindharaj, Hina Gul, Prabhu Prasanna Pradhan, Ghulam Murtaza, Xiaowei Li, Nicolas Desneux and Yaobin Lu
Insects 2025, 16(10), 1073; https://doi.org/10.3390/insects16101073 - 21 Oct 2025
Abstract
The South American tomato pinworm, Tuta absoluta (Meyrick), is among the most destructive invasive pests of tomato globally. The diamide insecticide tetraniliprole is increasingly used for its management. This study examines the sublethal effects of tetraniliprole on T. absoluta larvae, with a focus
[...] Read more.
The South American tomato pinworm, Tuta absoluta (Meyrick), is among the most destructive invasive pests of tomato globally. The diamide insecticide tetraniliprole is increasingly used for its management. This study examines the sublethal effects of tetraniliprole on T. absoluta larvae, with a focus on its transgenerational impacts. Bioassays demonstrated that tetraniliprole was highly toxic to third-instar T. absoluta larvae, with an LC50 of 0.029 mg/L. Sublethal (LC10) and low lethal concentrations (LC30) were used to investigate their impact on developmental, reproductive, and population parameters across two subsequent generations (F1 and F2). In the parental (F0) generation, exposure to tetraniliprole at both concentrations significantly prolonged larval and pupal durations and reduced adult longevity and fecundity. In both F1 and F2 generations, concentration-dependent effects were observed—LC10 accelerated development and enhanced fecundity and population growth, indicative of a hormetic response, whereas LC30 delayed development and suppressed reproduction and survival. Life table analyses revealed significant changes in the r, λ, and T, particularly under LC30. Additionally, the RT-qPCR analysis revealed the downregulation of development and reproduction-related genes (Vg, VgR, and JHBP) in the F0 generation following exposure to tetraniliprole (LC10 and LC30). In contrast, these genes were upregulated in the progeny generations (F1 and F2) at LC10. Furthermore, the overexpression of key detoxification genes, particularly CYP4M116 and CYP6AW1, persisted across all three generations. Taken together, these findings reveal a substantial risk of unintended population resurgence (hormesis effects) at sublethal concentrations, underscoring the importance of integrating transgenerational consequences into insecticide resistance management programs for sustainable control of this key insect pest.
Full article
(This article belongs to the Special Issue Insecticide Resistance and Toxicology: Challenges in Pest Management and Basic Research—2nd Edition)
►▼
Show Figures

Figure 1
Open AccessArticle
Potential Geographic Distribution and Suitable Area of Three Species of Diabrotica (Coleoptera: Chrysomelidae) Beetles in Corn-Planting Regions of China
by
Yening Jin, Fan Shao, Sizhu Zheng, Yumeng Wang, Gao Hu and Fajun Chen
Insects 2025, 16(10), 1072; https://doi.org/10.3390/insects16101072 - 20 Oct 2025
Abstract
Corn rootworms of Diabrotica virgifera virgifera Le Conte, 1868; Diabrotica undecimpunctata howardi Barber, 1947, and Diabrotica barberi R.F. Smith & Lawrence, 1967 are important pests of corn crops that natively occur in America and have a potential risk of spreading into China through
[...] Read more.
Corn rootworms of Diabrotica virgifera virgifera Le Conte, 1868; Diabrotica undecimpunctata howardi Barber, 1947, and Diabrotica barberi R.F. Smith & Lawrence, 1967 are important pests of corn crops that natively occur in America and have a potential risk of spreading into China through natural spreading or anthropogenic invasion. In this study, the potential geographic distribution and suitable area of these three Diabrotica species based on their global distribution samples and relevant bioclimatic variables were estimated, and an overlay analysis was further carried out in combination with the actual distribution of corn-growing regions, especially in China, in order to assess the potential invasion risks of these Diabrotica beetles, especially in the corn-planting regions of China. The results indicated that six bioclimatic variables (i.e., bio2 (mean diurnal range), bio4 (temperature seasonality), bio5 (max temperature of the warmest month), bio6 (min temperature of coldest month), bio13 (precipitation of wettest month), and bio14 (precipitation of driest month)) were selected for the analysis of the potential geographic distribution and suitable areas of these Diabrotica beetles. The suitable area ranges of D. undecimpunctata and D. virgifera virgifera are relatively large in China, i.e., 21.01–48.46° N and 74.01–131.26° E for D. undecimpunctata and 21.58–41.42° N and 78.71–124.43° E for D. virgifera virgifera, respectively, while D. barberi occupies only a small area in China, i.e., 34.21–46.81° N and 108.80–133.75° E. Based on the overlay analysis of the potential geographic distribution of these three Diabrotica species and the actual distribution of corn-growing regions in China, D. undecimpunctata and D. virgifera virgifera have the largest potential geographic distribution areas, totaling 2.618 × 107 ha and 1.814 × 107 ha in 22 and 20 provinces respectively, while D. barberi has the lowest potential geographic distribution area just in 8 provinces, totaling 44.37 × 104 ha, indicating a low-suitability area. Moreover, under the four climate scenarios (i.e., SSP1_2.6, SSP2_4.5, SSP3_7.0, and SSP5_8.5) in the 2030s and 2050s, these Diabrotica beetles have the potential for sporadic increases or decreases surrounding the potential suitable areas under the current scenario. However, it is worth noting that the high-suitability areas of D. undecimpunctata and D. virgifera virgifera decreased, and their medium- and low-suitability areas increased accordingly. It is presumed that Diabrotica beetles, especially D. virgifera virgifera and D. undecimpunctata, have a high risk of potential invasion into China because there is a large potentially suitable area distribution for their possible occurrence in the maize-planting regions of China.
Full article
(This article belongs to the Section Insect Pest and Vector Management)
►▼
Show Figures

Figure 1
Open AccessArticle
Long-Term Phenological Shifts in Butterfly Species from Transylvania, Romania—A Case Study
by
Cristina Costache, László Rakosy and Demetra Rakosy
Insects 2025, 16(10), 1071; https://doi.org/10.3390/insects16101071 - 20 Oct 2025
Abstract
Insects can respond rapidly to climate change through population fluctuations, range shifts, altered voltinism, life cycle changes, flight period adjustments, behavioural shifts, and changes in habitat or food preference—often varying by region due to local environmental and anthropogenic factors. While the phenological cycles
[...] Read more.
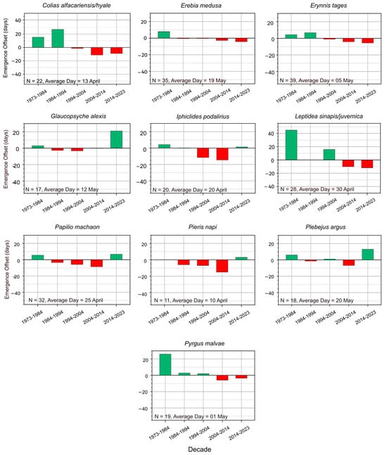
Insects can respond rapidly to climate change through population fluctuations, range shifts, altered voltinism, life cycle changes, flight period adjustments, behavioural shifts, and changes in habitat or food preference—often varying by region due to local environmental and anthropogenic factors. While the phenological cycles of diurnal lepidopterans have been extensively studied in countries with large monitoring networks, eastern and southeastern Europe remain under-researched. This study provides the first insights into phenological shifts in 16 butterfly species in Cluj-Napoca (Transylvania, Romania) between 1921 and 2023, using a unique dataset combining historical and recent records. The species studied include spring-emerging, multivoltine, and migratory butterflies. Phenological trends were analyzed in relation to long-term climatic data. Results show that spring species now emerge approximately 15 days earlier, and autumn species extend their flight periods by up to 23 days. These changes correlate with multi-decadal trends in temperature and precipitation. We also discuss changes in voltinism and migratory behaviour and the potential impacts of climate change on butterfly populations in the study region.
Full article
(This article belongs to the Section Insect Ecology, Diversity and Conservation)
►▼
Show Figures

Figure 1
Open AccessArticle
The parasitoids of Parlatoria ziziphi (Lucas) (Hemiptera: Diaspididae): with descriptions of two new species of Aphytis (Hymenoptera: Aphelinidae) from China, and a note on Aphytis species with black-tipped mid tibiae in the male
by
Jingtao Xi, Junqing Ge, Jian Huang, Andrew Polaszek and Zhuhong Wang
Insects 2025, 16(10), 1070; https://doi.org/10.3390/insects16101070 - 20 Oct 2025
Abstract
During investigations in the Fujian and Hunan Provinces of China, 5 parasitoids associated with Parlatoria ziziphi were identified based on morphological characteristics and 28SrDNA sequences. They comprised 4 ectoparasitoids: A. chrysomphali (Mercet), Aphytis jinshanensis Wang & Huang, sp.n., Aphytis nigromaculata Wang &
[...] Read more.
During investigations in the Fujian and Hunan Provinces of China, 5 parasitoids associated with Parlatoria ziziphi were identified based on morphological characteristics and 28SrDNA sequences. They comprised 4 ectoparasitoids: A. chrysomphali (Mercet), Aphytis jinshanensis Wang & Huang, sp.n., Aphytis nigromaculata Wang & Huang, sp.n., and A. nr. melinus DeBach, and 1 endoparasitoid, Encarsia citrina (Craw). The 2 new species are described and illustrated in detail, and the relationships of the 4 Aphytis parasitoids treated here are analyzed, resulting in a phylogenetic tree based on 28SrDNA sequences. Moreover, the 5 Aphytis species (including 1 new species described in this work) having the mid-tibia tipped with black in the male are summarized with their scale hosts and distribution, and an identification key to these species is provided.
Full article
(This article belongs to the Special Issue Taxonomy and Biology of Parasitoids and Potential for Their Biological Control)
►▼
Show Figures

Figure 1
Open AccessBrief Report
Repellency of Silver-Gray Plastic Film on Megalurothrips usitatus (Thysanoptera: Thripidae) in Cowpea (Vigna ungiculata)
by
Yuanming Chi, Yilin Zhu, Ning Nong, Zihan Zhao, Mingyue Feng, Xueyuan Cui, Maoqing Li, Yanyu Chen and Wangpeng Shi
Insects 2025, 16(10), 1069; https://doi.org/10.3390/insects16101069 - 20 Oct 2025
Abstract
Megalurothrips usitatus (Bagnall) (Thysanoptera: Thripidae) is a serious insect pest, causing severe damage to crops in Southeast Asia and Hainan Province, China. The misuse of chemical pesticides has led to high resistance in pests to many pesticides. Physical control is an alternative method
[...] Read more.
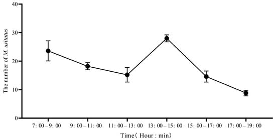
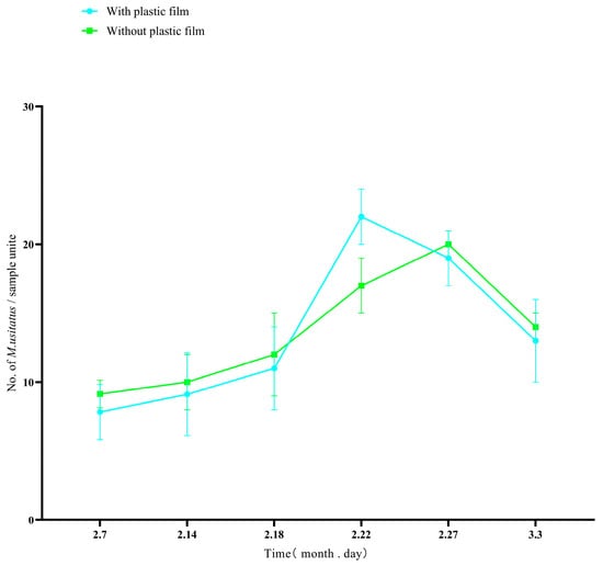
Megalurothrips usitatus (Bagnall) (Thysanoptera: Thripidae) is a serious insect pest, causing severe damage to crops in Southeast Asia and Hainan Province, China. The misuse of chemical pesticides has led to high resistance in pests to many pesticides. Physical control is an alternative method that is environmentally friendly. We investigated the effects of silver-gray plastic film on the behavior of M. usitatus on cowpea (Vigna ungiculata). The observations of behavior found that the silver-gray plastic film has different repellent effects on female and male thrips, with a repellency rate of over 90% for male thrips, while it repels female thrips at a rate of 85% in the laboratory. Field surveys have found that the number of M. usitatus arrived at the first peak at 7:00–9:00 a.m., and then gradually decreased, reaching its lowest point by noon, and then gradually increased to reach the second peak at 13:00–15:00 p.m. on a sunny day. In the climbing period of yardlong beans, before flowering, despite the increasing numbers of thrips, we found that the number of thrips in the silver-gray plastic film hanging area was significantly lower than that in the control area. During the early and late stages of flowering, the number of thrips in the silver-gray plastic film hanging area was significantly lower than that in the control area, but during the peak flowering period, there was no significant difference in thrips numbers between the areas with silver-gray plastic film and the control areas. These results indicate that the silver-gray plastic film is a potential method to decrease damage from M. usitatus, especially in the early stages of crop growth.
Full article
(This article belongs to the Section Insect Pest and Vector Management)
►▼
Show Figures

Figure 1
Open AccessArticle
Valorization of Water Lettuce (Pistia stratiotes L.) Through Bioconversion for Black Soldier Fly Larvae (Hermetia illucens): Larvae Growth, Survival Rate, and Nutritional Quality
by
Juste Vital Vodounnou, Romaric Iko, Rendani Luthada-Raswiswi, Sèlomè Wilfried Sintondji, Cayen Sédro Alofa, Gildas Djidohokpin, Farokh Niass and Jean-Claude Micha
Insects 2025, 16(10), 1068; https://doi.org/10.3390/insects16101068 - 20 Oct 2025
Abstract
The rapid proliferation of water lettuce, Pistia stratiotes, poses significant ecological challenges. This study investigates the use of Pistia stratiotes as a substrate for producing black soldier fly larvae. The experiment used 40 g of black soldier fly larvae (BSFL) pupae for
[...] Read more.
The rapid proliferation of water lettuce, Pistia stratiotes, poses significant ecological challenges. This study investigates the use of Pistia stratiotes as a substrate for producing black soldier fly larvae. The experiment used 40 g of black soldier fly larvae (BSFL) pupae for all five substrates (T0, T25, T50, T75, and T100). Each treatment had three replicates. The physicochemical parameters, such as the temperature and pH, ranged from 27.30 °C to 27.40 °C and from 7.03 to 7.60, respectively. The survival rates ranged from 90.13% to 94.73%. The biochemical parameters showed significant differences, including dry matter, organic matter, ash, crude protein, crude lipid, crude fiber, carbohydrate, and energy (p < 0.05). Regarding the larvae’s growth and substrate use, the BSFL production varied depending on the rearing substrate. The highest growth was observed in substrates without water lettuce leaf (WLL) (T0), followed by those in treatment at 25% (T25) and 50% (T50) inclusion of WLL and then the substrate made solely of WLL (T100). The substrates degradation rate in this study varied significantly, ranging from 46.40% to 67.38%. The physicochemical characteristics of the substrates are associated with the growth performance of the BSFL, and the inclusion of WLL influenced the nutritional composition of the larvae.
Full article
(This article belongs to the Special Issue Unexplored Potentials of the Black Soldier Fly: Behavioral Ecology, Reproductive Efficiency, and Ecological Contributions)
►▼
Show Figures

Graphical abstract
Open AccessArticle
Synergistic Effects of Beauveria bassiana and Insecticides for Integrated Management of Bactrocera dorsalis (Hendel) (Diptera: Tephritidae)
by
Xiaole Wang, Yunfei Li, Yuping Zha, Yubin Tian, Jing Wang, Hanbing Li, Zhihui Zhu and Wanlun Cai
Insects 2025, 16(10), 1067; https://doi.org/10.3390/insects16101067 - 19 Oct 2025
Abstract
Bactrocera dorsalis (Hendel) (Diptera: Tephritidae) is a significant agricultural pest that causes substantial economic losses globally. While chemical insecticides are commonly used for its management, increasing resistance and environmental concerns underscore the need for alternative control strategies. This study evaluated the potential of
[...] Read more.
Bactrocera dorsalis (Hendel) (Diptera: Tephritidae) is a significant agricultural pest that causes substantial economic losses globally. While chemical insecticides are commonly used for its management, increasing resistance and environmental concerns underscore the need for alternative control strategies. This study evaluated the potential of integrating the entomopathogenic fungus Beauveria bassiana strain Bb-33 (Hypocreales: Clavicipitaceae) with reduced doses of chemical insecticides for sustainable B. dorsalis management. The compatibility of B. bassiana Bb-33 with six commonly used insecticides—spinosad, emamectin benzoate, avermectin, thiamethoxam, beta-cypermethrin, and imidacloprid—was assessed. Among them, emamectin benzoate exhibited the least inhibitory effects on spore germination, mycelial growth, and sporulation of B. bassiana. Laboratory bioassays demonstrated synergistic interactions between B. bassiana Bb-33 and emamectin benzoate, particularly when the ratio of emamectin benzoate to B. bassiana exceeded 4:1, as indicated by co-toxicity coefficients greater than 100. However, greenhouse trials revealed that the combined formulation had lower efficacy in reducing B. dorsalis adult populations and pupal emergence rates compared to emamectin benzoate alone, though it was more effective than B. bassiana Bb-33 applied independently. Importantly, this composite formula reduces pesticide usage, which highlights its potential to mitigate environmental impacts. This study underscores the promise of integrating B. bassiana Bb-33 with reduced doses of emamectin benzoate as a viable strategy for managing B. dorsalis. Despite its current limitations in greenhouse trials, further optimization of formulation stability and application methods could enhance its field performance, offering an effective and environmentally friendly alternative to conventional chemical control methods.
Full article
(This article belongs to the Section Insect Pest and Vector Management)
►▼
Show Figures

Graphical abstract
Open AccessArticle
Diet-Driven Variations in Longevity and Fecundity of the Endangered Tiger Beetle Cicindela anchoralis (Coleoptera: Carabidae)
by
Deokjea Cha, Anya Lim and Jong-Kook Jung
Insects 2025, 16(10), 1066; https://doi.org/10.3390/insects16101066 - 18 Oct 2025
Abstract
Diet is a key factor modulating the trade-off between fecundity and longevity, a cornerstone of life-history theory. While laboratory studies have demonstrated that high-protein-to-carbohydrate (P:C) ratio diets increase reproductive output at the cost of lifespan, it remains unclear how this trade-off operates in
[...] Read more.
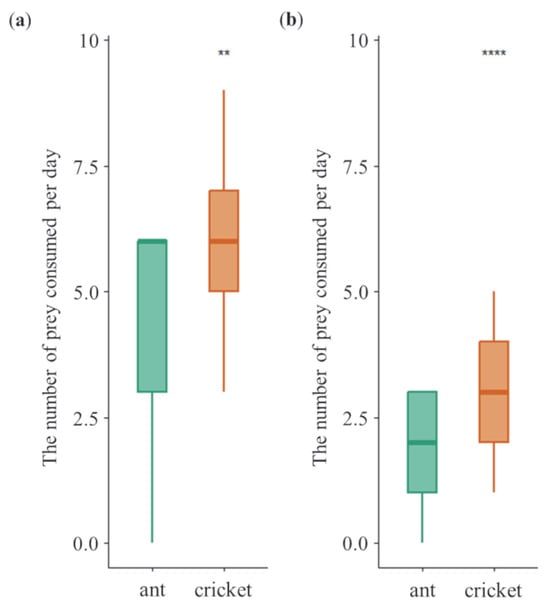
Diet is a key factor modulating the trade-off between fecundity and longevity, a cornerstone of life-history theory. While laboratory studies have demonstrated that high-protein-to-carbohydrate (P:C) ratio diets increase reproductive output at the cost of lifespan, it remains unclear how this trade-off operates in species exposed to natural dietary variability and prey choice. We tested whether diet-mediated trade-offs between fecundity and longevity are modulated by prey-insect type in the endangered tiger beetle, Cicindela anchoralis, a species with a short adult lifespan. Tiger beetles were offered a choice between a high-P:C diet (cricket) and low-P:C diet (ant). Tiger beetles consuming the high-P:C diet exhibited increased fecundity and reduced longevity, while those feeding on the low-P:C diet showed the opposite pattern. Despite these consequences, both sexes showed a consistent preference for the high-P:C diet, suggesting that beetles prioritize reproductive output over lifespan. These results suggest that prey-insect selection might be an adaptive way to boost reproductive success within a limited adult lifespan, which may raise tiger beetles’ intrinsic rate of natural increase. Our findings highlight the ecological relevance of diet-driven life-history trade-offs and offer practical guidance for mass propagation strategies to support endangered tiger beetle recovery.
Full article
(This article belongs to the Special Issue Beetles in Integrative Entomology: Biology, Taxonomy, and Conservation)
►▼
Show Figures

Figure 1
Open AccessArticle
Liu-pao Tea as a Source of Botanical Oviposition Attractants for Aedes Mosquitoes
by
Li-Hua Xie, Tong Liu, Wen-Qiang Yang, Yu-Gu Xie, Si-Yu Zhao and Xiao-Guang Chen
Insects 2025, 16(10), 1065; https://doi.org/10.3390/insects16101065 - 17 Oct 2025
Abstract
Oviposition attractants can enhance both the surveillance and control of container-breeding Aedes mosquitoes. Although green tea has been reported to attract Ae. aegypti, the specific bioactive botanical compounds responsible remain unidentified. We evaluated teas across fermentation stages (non-fermented, fully fermented, and post-fermented)
[...] Read more.
Oviposition attractants can enhance both the surveillance and control of container-breeding Aedes mosquitoes. Although green tea has been reported to attract Ae. aegypti, the specific bioactive botanical compounds responsible remain unidentified. We evaluated teas across fermentation stages (non-fermented, fully fermented, and post-fermented) at 5 g/L for gravid Ae. albopictus using dual-choice assays. The most attractive tea (Liu-pao) was further tested across concentrations (0.5–5 g/L) and infusion ages (1–28 days). Autoclaved vs. non-autoclaved infusions assessed microbial contributions, while headspace volatiles were analyzed via HS-SPME-GC-MS. Individual compounds (cedrol and linalool oxide) were bioassayed. Only Liu-pao tea consistently attracted Ae. albopictus (OAI ≥ 0.3), peaking at 5 g/L after 7–14 days (OAIs 0.73/0.67). A 0.5 g/L infusion aged 21–28 days also attracted Ae. aegypti (OAIs 0.89/0.63). Autoclaving did not reduce attraction, confirming volatile compounds, not live microbe-mediated effects. Cedrol (1 mg/L) elicited moderate attraction (OAI 0.29) in Ae. albopictus, while linalool oxide was inactive. Post-fermented Liu-pao tea acts as a potent botanical attractant for Aedes mosquitoes. Cedrol contributes partially, but whole tea infusions outperform single compounds. These findings support developing multi-volatile “attract-and-kill” strategies targeting gravid mosquitoes.
Full article
(This article belongs to the Special Issue Biology, Ecology and Management of Mosquitoes Affecting Humans and Animals—2nd Edition)
►▼
Show Figures

Graphical abstract
Open AccessArticle
The Mitochondrial Hsp90 Homolog PmTRAP1 Mediates Thermal Tolerance in the Papaya Mealybug, Paracoccus marginatus
by
Yanting Chen, Xiaomin Zhao, Chenyu Lv, Jianwei Zhao, Mengzhu Shi, Jianwei Fu and Jianyu Li
Insects 2025, 16(10), 1064; https://doi.org/10.3390/insects16101064 - 17 Oct 2025
Abstract
The papaya mealybug, Paracoccus marginatus, a significant invasive pest in tropical and subtropical regions, exhibits a notable capacity to withstand high-temperature stress. To elucidate the molecular basis of this thermotolerance, we investigated the role of heat shock protein 90 (Hsp90) genes in
[...] Read more.
The papaya mealybug, Paracoccus marginatus, a significant invasive pest in tropical and subtropical regions, exhibits a notable capacity to withstand high-temperature stress. To elucidate the molecular basis of this thermotolerance, we investigated the role of heat shock protein 90 (Hsp90) genes in this species. The full-length cDNA sequences of three Hsp90 genes—PmHsp90-1, PmHsp90-2, and PmTRAP1—were cloned, subjected to bioinformatic analysis, and their expression profiles under heat stress were detected. RNAi-mediated suppression of PmTRAP1 was conducted to evaluate survival under extreme high-temperature conditions. The open reading frames (ORFs) of PmHsp90-1, PmHsp90-2, and PmTRAP1 are 2175 bp, 2178 bp, and 2085 bp in length, encoding proteins comprising 724, 725, and 694 amino acids, respectively. Phylogenetic and structural analyses confirmed that PmHsp90-1 and PmHsp90-2 are cytosolic isoforms, each containing a characteristic C-terminal MEEVD motif, while PmTRAP1 was identified as the mitochondrial isoform. All three genes were significantly upregulated under heat stress. RNAi-mediated knockdown of PmTRAP1 markedly reduced the survival rate of P. marginatus under extreme high temperature. These findings demonstrate that PmTRAP1 is essential for heat tolerance in the papaya mealybug. This study provides crucial insights into the molecular mechanisms of thermal adaptation in insects and identifies PmTRAP1 as a potential target for future research on managing insect responses to environmental stress.
Full article
(This article belongs to the Special Issue Research on Insect Molecular Biology)
►▼
Show Figures

Figure 1
Open AccessArticle
Polyandry in Noctuid Moths: Taxonomic, Bionomic, and Evolutionary Implications
by
Zoltán Varga, Antal Nagy, Csenge Lelle Kovács and Szabolcs Szanyi
Insects 2025, 16(10), 1063; https://doi.org/10.3390/insects16101063 - 17 Oct 2025
Abstract
Polyandry influences sexual behaviour and supports sexual selection in moths, incl. Noctuids. In polyandry, a female mates with multiple males within a few days. Copulation is a multi-phase process, as sperm are packed into spermatophores and transferred to the female genitalia. This process
[...] Read more.
Polyandry influences sexual behaviour and supports sexual selection in moths, incl. Noctuids. In polyandry, a female mates with multiple males within a few days. Copulation is a multi-phase process, as sperm are packed into spermatophores and transferred to the female genitalia. This process is costly, since spermatophore production and transfer is time-consuming. When this process is repeated, it results in sexual selection and enhances heterozygosity. Pest and migrating Noctuids are often polyandrous. Polyandry is common in the “pest clade” of Noctuidae (e.g., Euxoa, Dichagyris). We hypothesised that the asymmetric allocation of sensory and stimulating functions on the genitalia enhance sexual selection and promote speciation. In polyandrous species of the subtribe Poliina, we show that the evolution of the secondary asymmetry of male external genitalia is connected to an increase in species diversity. Some species inhabiting temperate forests were found to be moderately (Orthosia) or highly (Conistra) polyandrous, in connection with their different life cycles and despite similar reproductive timing. Based on fecundity data of some common species, we hypothesised that habitat generalists should be more polyandrous than habitat specialists. However, our data are insufficient to determine whether ecology and/or phylogeny influence the level of polyandry. Other factors, such as the connection between the sex ratio and the level of polyandry, should be surveyed in future studies, considering their relevance to plant protection.
Full article
(This article belongs to the Special Issue Arthropod Reproductive Biology)
►▼
Show Figures

Figure 1
Open AccessArticle
Intergenerational Effects of Gamma Radiation on Biology and Transcriptome of Invasive Tomato Leaf Miner, Tuta absoluta
by
Yuhan Pan, Haixia Zhang, Qinghe Zhang, Farman Ullah, Yiming Pan, Yaru Wang, Limin Chen, Xiaowei Li, Jinming Zhang, Shuxing Zhou, Yaobin Lu and Youming Hou
Insects 2025, 16(10), 1062; https://doi.org/10.3390/insects16101062 - 17 Oct 2025
Abstract
The tomato leaf miner, Tuta absoluta, is a major pest affecting economically important crops like tomatoes, causing significant global economic losses and exhibiting increasing resistance to pesticides. The sterile insect technique (SIT) is an environmentally friendly control method that is sustainable for
[...] Read more.
The tomato leaf miner, Tuta absoluta, is a major pest affecting economically important crops like tomatoes, causing significant global economic losses and exhibiting increasing resistance to pesticides. The sterile insect technique (SIT) is an environmentally friendly control method that is sustainable for both ecosystems and human health. This study used age-stage, two-sex life tables, transcriptomics, and bioinformatics to analyze how irradiation affects the reproductive capacity of male T. absoluta. Compared to the control group, the irradiated offspring showed reduced total lifespan, pre-adult survival rate, net reproductive rate, and intrinsic growth rate. Transcriptomic analysis identified 232 differentially expressed genes (DEGs). GO and KEGG enrichment analyses revealed that irradiation impacted biological processes in male adults related to key biomolecules, hormone metabolism and synthesis, and immune responses. Of the 14 selected genes validated through RT-qPCR, 13 were identified as potential regulators of male reproductive capacity, offering possible targets for controlling T. absoluta using inherited sterility-based SIT strategies. Overall, this study provides a theoretical basis for applying SIT in field control and identifies potential genetic targets for managing T. absoluta populations through a genetic sterile insect technique.
Full article
(This article belongs to the Section Insect Physiology, Reproduction and Development)
►▼
Show Figures

Figure 1

Journal Menu
► ▼ Journal Menu-
- Insects Home
- Aims & Scope
- Editorial Board
- Reviewer Board
- Topical Advisory Panel
- Instructions for Authors
- Special Issues
- Topics
- Sections & Collections
- Article Processing Charge
- Indexing & Archiving
- Editor’s Choice Articles
- Most Cited & Viewed
- Journal Statistics
- Journal History
- Journal Awards
- Editorial Office
Journal Browser
► ▼ Journal BrowserHighly Accessed Articles
Latest Books
E-Mail Alert
News
Topics
Topic in
Infectious Disease Reports, Insects, IJERPH, Pathogens, TropicalMed, Zoonotic Diseases
Vector-Borne Disease Spatial Epidemiology, Disease Ecology, and Zoonoses
Topic Editors: Chad L. Cross, Louisa Alexandra MessengerDeadline: 31 December 2025
Topic in
Animals, Arthropoda, Diversity, Insects, Life, Pathogens
Arthropod Biodiversity: Ecological and Functional Aspects, 2nd Edition
Topic Editors: Paolo Solari, Roberto M. Crnjar, Anita Giglio, Gianluca TettamantiDeadline: 31 January 2026
Topic in
Applied Microbiology, Forests, Insects, JoF, Microorganisms
Diversity of Insect-Associated Microorganisms
Topic Editors: Dilnora E. Gouliamova, Teun BoekhoutDeadline: 28 February 2026
Topic in
Animals, Arthropoda, Insects, Vaccines, Veterinary Sciences, Pathogens
Ticks and Tick-Borne Pathogens: 2nd Edition
Topic Editors: Alina Rodriguez-Mallon, Alejandro Cabezas-CruzDeadline: 31 March 2026

Special Issues
Special Issue in
Insects
Biology, Ecology and Management of Sap-Sucking Pests
Guest Editor: Giuseppe Eros Massimino CocuzzaDeadline: 30 October 2025
Special Issue in
Insects
Current Advances in Pollinator Insects
Guest Editors: Nenad Zaric, Ljubiša StanisavljevićDeadline: 30 October 2025
Special Issue in
Insects
The Efficacy of Insecticides and Botanicals Against Pests—2nd Edition
Guest Editor: Luis Carlos MartinezDeadline: 31 October 2025
Special Issue in
Insects
Insect Pollinators and Pollination Service Provision
Guest Editors: Ruan Veldtman, Willem De Lange, Wenda ChengDeadline: 31 October 2025
Topical Collections
Topical Collection in
Insects
Butterfly Diversity and Conservation
Collection Editors: David G. James, Kathleen L. Prudic
Topical Collection in
Insects
Psyllid Vectors: From Genetics to Pest Integrated Management
Collection Editor: Nabil Killiny
Topical Collection in
Insects
Cultural Entomology: Our Love-hate Relationship with Insects
Collection Editor: Joseph R. Coelho