-
Bayesian Structure Learning Reveals Disconnected Correlation Patterns Between Morphometry and Biomarkers in White Stork -
Infrequent Cooperative Breeding in a Short-Lived Migratory Songbird, the Wilson’s Warbler -
Arrival and Peak Abundance of Barn Swallows Hirundo rustica in Three Regions of South Africa in Relation to Climate Indices, Deduced from Bird Atlas Data -
Habitat Trends for Cranes in the Central Valley of California
Journal Description
Birds
Birds
is an international, peer-reviewed, open access journal on ornithology published quarterly online by MDPI.
- Open Access— free for readers, with article processing charges (APC) paid by authors or their institutions.
- High Visibility: indexed within ESCI (Web of Science), Scopus, AGRIS, and other databases.
- Rapid Publication: manuscripts are peer-reviewed and a first decision is provided to authors approximately 23.3 days after submission; acceptance to publication is undertaken in 2.7 days (median values for papers published in this journal in the second half of 2025).
- Journal Rank: JCR - Q1 (Ornithology) / CiteScore - Q2 (Animal Science and Zoology)
- Recognition of Reviewers: Reviewers who provide timely, thorough peer-review reports receive vouchers entitling them to a discount on the APC of their next publication in any MDPI journal. While single-blind peer review is standard, reviewers have the option available for signed peer review, and reviewer names are published annually in the journal.
- Birds is a companion journal of Animals.
Impact Factor:
1.4 (2024);
5-Year Impact Factor:
1.7 (2024)
Latest Articles
Perch Height as a Driver of Foraging Behaviour and Hunting Success in Kingfisher Communities of Tropical Indian Wetlands
Birds 2026, 7(1), 5; https://doi.org/10.3390/birds7010005 - 14 Jan 2026
Abstract
►
Show Figures
Sympatric species are closely related taxa that coexist within the same habitat through niche partitioning, and kingfishers serve as an ideal group for studying such ecological mechanisms. The present study examined the perch height in relation to foraging behaviour and hunting success of
[...] Read more.
Sympatric species are closely related taxa that coexist within the same habitat through niche partitioning, and kingfishers serve as an ideal group for studying such ecological mechanisms. The present study examined the perch height in relation to foraging behaviour and hunting success of five kingfisher species: Common Kingfisher (Alcedo atthis), White-throated Kingfisher (Halcyon smyrnensis), Pied Kingfisher (Ceryle rudis), Stork-billed Kingfisher (Pelargopsis capensis), and Black-capped Kingfisher (Halcyon pileata). The study was conducted between 2021 and 2023, across seven habitat types in Kerala, India (Kadalundi–Vallikkunnu Community Reserve (KVCR) mangroves, Kallampara mangroves, Vadakkumpad mangroves, Vazhakkad agroecosystem, Mavoor wetland, Sanketham wetland, and Elathur beach). A generalized linear mixed model (GLMM) with a binomial distribution and logit link function was used to analyze hunting success across species. The model indicated that the effect of perch height on hunting success varied among species, though neither perch height nor species identity alone had a significant effect. Most species favored mid-height perches (2–5 m) for foraging, with the Common Kingfisher exhibiting moderate success across all heights and habitats. The Pied Kingfisher showed significantly reduced success at higher perches, while the Stork-billed Kingfisher achieved the highest success at mid-heights (2–5 m). The White-throated Kingfisher showed a non-significant negative association with capture success, whereas the Black-capped Kingfisher exhibited a neutral to positive relationship across perch heights. Among all variables tested, prey availability emerged as the sole significant predictor of hunting success, indicating that prey abundance is the principal determinant of foraging efficiency in tropical wetlands, rather than environmental conditions. Our findings confirm a pattern of vertical stratification in resource partitioning among sympatric kingfisher species and underscore the importance of conserving habitats that retain natural perch sites of varying heights.
Full article
Open AccessArticle
New Breeding Information on the Endangered Pinto’s Spinetail Synallaxis infuscata in the Atlantic Rainforest of Northeastern Brazil
by
Anita Studer and Leïla Perroulaz
Birds 2026, 7(1), 4; https://doi.org/10.3390/birds7010004 - 9 Jan 2026
Abstract
►▼
Show Figures
Information on the breeding of the Pinto’s Spinetail (Synallaxis infuscata), an endangered Brazilian Furnariid, is scarce. This study aims to complement it, by looking at nest and clutch parameters, breeding period, and nest success. Once nests were found, they were closely
[...] Read more.
Information on the breeding of the Pinto’s Spinetail (Synallaxis infuscata), an endangered Brazilian Furnariid, is scarce. This study aims to complement it, by looking at nest and clutch parameters, breeding period, and nest success. Once nests were found, they were closely monitored from a hide. Between 1986 and 2018, 33 nests were found in the Pedra Talhada Forest near Quebrangulo. Nests were found year-round, except in middle of the dry season. Nests were of the closed/retort type, weighing 552.1 g, and measuring 37.6 × 28.8 cm, with a side arm of 30.6 × 4.9 cm, on average. The clutch size averaged 2.10 eggs, which measured 22.3 × 17.2 mm and weighed 3.2 g. They were white and had an oval to pointed-oval shape. Mean incubation period was 21.5 days and mean nestling period 14.71 days. The apparent nest success was 27.3%, while Mayfield’s was 21.8%. Predation was the main cause of nest failure, accounting for 81% of cases. The breeding data we collected on S. infuscata falls within the range of observations of a comprehensive analysis on other Synallaxis species. This breeding information is important for conservation, as rates of nest loss are a key factor in evaluating population viability.
Full article

Figure 1
Open AccessArticle
Factors Influencing the Number of Chicks of Waterbird Species Nesting Across an Urban Gradient
by
Karolina Cieślińska, Romana Cieślińska and Brygida Manikowska-Ślepowrońska
Birds 2026, 7(1), 3; https://doi.org/10.3390/birds7010003 - 7 Jan 2026
Abstract
►▼
Show Figures
Rapid global urbanization has led to the loss and degradation of many natural habitats, causing numerous bird species to inhabit and breed in cities. Here we investigated the influence of multiple factors on the number of chicks of the four common waterbird species,
[...] Read more.
Rapid global urbanization has led to the loss and degradation of many natural habitats, causing numerous bird species to inhabit and breed in cities. Here we investigated the influence of multiple factors on the number of chicks of the four common waterbird species, from Anatidae [Mallard (Anas platyrhynchos), Mute Swan (Cygnus olor)] and from Rallidae [Eurasian Coot (Fulica atra), Common Moorhen (Gallinula chloropus)], nesting in Gdańsk (Poland) in 2020 and 2021. We found that the harsh winter before the 2021 season may have resulted in a lower number of chicks in rallids. Rainfall and higher temperatures during breeding season increased the number of rallids’ chicks. Larger waterbodies were associated with a lower number of chicks (except for Moorhen). However, a longer shoreline was related to a higher number of chicks of all species. The Normalized Difference Moisture Index, indicating absence of urban fabric, positively impacted the number of chicks of all species, except for Mallard. The distance of waterbody from areas with varying degrees of urbanization had a diverse effect on the number of chicks of each species, except for Swan. Our results emphasize the importance of urban reservoirs for breeding birds and highlight the need to preserve natural features, such as allowing bank vegetation and reeds to grow, to provide nesting sites and shelter.
Full article

Figure 1
Open AccessArticle
Nutritional Profiles of Plants Consumed by Military Macaw During the Breeding and Non-Breeding Seasons in the Alto Balsas Basin, Mexico
by
Valeria López-Hernández, Leopoldo D. Vázquez-Reyes, Ana María Contreras-González, Victor H. Jiménez-Arcos, Jorge Tanit Rodríguez-Malacara, Megan P. Trejo-Boyso, Taisha Lara-Moreno, Jose Alfredo Rodriguez, Cesar Mateo Flores-Ortiz and Francisco Alberto Rivera-Ortiz
Birds 2026, 7(1), 2; https://doi.org/10.3390/birds7010002 - 25 Dec 2025
Abstract
►▼
Show Figures
The Military Macaw is a Neotropical psittacid that is endangered in Mexico. It faces significant threats due to habitat loss and the illegal pet trade. However, little is known about the nutritional characteristics of the plant resources available to this species throughout its
[...] Read more.
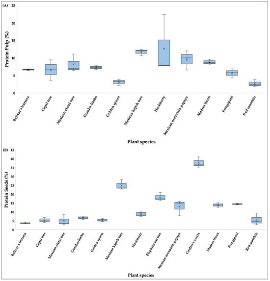
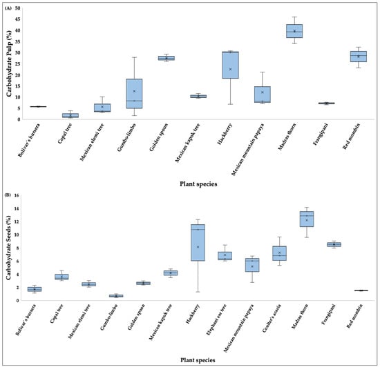
The Military Macaw is a Neotropical psittacid that is endangered in Mexico. It faces significant threats due to habitat loss and the illegal pet trade. However, little is known about the nutritional characteristics of the plant resources available to this species throughout its annual cycle. This study aimed to characterize the nutritional profile of the fruits consumed by macaws in the Alto Balsas Basin, Mexico, and to infer potential seasonal patterns in the availability of the fruits they feed on in relation to the Macaws’ reproductive phenology. We identified 13 plant species that have been consistently reported as components of the diet of the macaws within the Alto Balsas Basin using a literature review, field observations, and local interviews. We conducted bromatological analyses to assess the content of moisture, protein, lipids, carbohydrates, and fiber for the pulp and seeds of all 13 identified plant species. Although we did not measure quantitative food intake, we integrated these data with reproductive phenology and resource availability to infer potential patterns of nutritional use. The results revealed significant differences in nutritional content among the different species, as well as seasonal variation in the nutritional profiles of available resources that coincide with the physiological demands of the macaw life cycle. During the non-breeding season, the availability of species whose fruits have high lipid and carbohydrate contents, such as Bursera spp., hackberry and madras thorn, may provide essential energy. Conversely, during the breeding season, resources with higher lipid and protein content (such as Mexican kapok tree and red mombin) could support the increased energetic investment associated with courtship, egg production, and chick provisioning. Although our study did not directly quantify the amount of each food item consumed, the integration of nutritional and ecological data provides a preliminary view of how resource quality may influence seasonal foraging patterns, offering valuable insights for the conservation and management of this species.
Full article

Figure 1
Open AccessBrief Report
Evidence of Intraspecific Brood Parasitism and Abnormal Egg-Laying Behavior in the Lesser Kestrel (Falco naumanni)
by
Adiv Gal, Malamati A. Papakosta, Christos G. Vlachos, Dimitrios D. Bakaloudis, Vassilis Goutner and Reuven Yosef
Birds 2026, 7(1), 1; https://doi.org/10.3390/birds7010001 - 25 Dec 2025
Abstract
►▼
Show Figures
Intraspecific brood parasitism (IBP), where one female lays eggs in another’s nest, is considered rare in raptors, including typically monogamous and solitary or semi-colonial falcons. The Lesser Kestrel (Falco naumanni) is a colonial falcon with a usual clutch size of one
[...] Read more.
Intraspecific brood parasitism (IBP), where one female lays eggs in another’s nest, is considered rare in raptors, including typically monogamous and solitary or semi-colonial falcons. The Lesser Kestrel (Falco naumanni) is a colonial falcon with a usual clutch size of one to five eggs, yet two independent cases of anomalously large clutches consistent with suspected IBP are described from long-term studies in Greece and Israel. In central Greece (Armenio; 39°29′ N, 22°41′ E), a nest box colony monitored since 1998 produced a clutch of eight unhatched eggs in 2017; egg volumes formed two statistically distinct groups (V1 = 850.74 ± 27.72 vs. V2 = 926.78 ± 18.87 mm3; t = 4.146, p = 0.006), suggestive of contributions from two females. In Israel (Alona District; 32°35′ N, 35°05′ E), a nest under an asbestos roof contained a mixed clutch of eight eggs laid over two seasons (2003–2004), with four new eggs added to four unhatched eggs from the previous year; only one egg hatched and the chick was subsequently predated by a Little Owl (Athene noctua). Given the species’ typical clutch size and the occurrence of double clutches, these cases are interpreted as rare instances of parasitic egg-laying. Their extreme rarity—only one event over more than 20 years of monitoring ~120 pairs annually in Greece—underscores how uncommon IBP appears to be in Lesser Kestrels and how easily such events may be overlooked without intensive, long-term monitoring. The results emphasize the need to combine detailed field observations with molecular parentage analyses, quantify IBP frequency, and clarify the ecological and evolutionary relevance of alternative reproductive strategies in this and other colonial raptors.
Full article

Figure 1
Open AccessArticle
Singing Behavior and Availability of Golden-Cheeked Warblers
by
Jennifer L. Reidy
Birds 2025, 6(4), 66; https://doi.org/10.3390/birds6040066 - 18 Dec 2025
Abstract
►▼
Show Figures
Incomplete detection during auditory point counts includes the component that individuals are present but silent (“availability”). If the probability of being ‘available’ is less than one and is not random with respect to time or space, population estimates that fail to address availability
[...] Read more.
Incomplete detection during auditory point counts includes the component that individuals are present but silent (“availability”). If the probability of being ‘available’ is less than one and is not random with respect to time or space, population estimates that fail to address availability will be biased. I recorded minute-by-minute singing of 60 male Golden-cheeked Warblers (Setophaga chrysoparia) in 2010–2011 (133 surveys; 6517 min) to estimate availability, evaluate predictors, and provide survey guidance. The per-minute availability was 0.45 (95% confidence intervals [CI]: 0.37–0.54). The availability was higher for unpaired versus paired males (0.82 [0.64–0.92] versus 0.30 [0.20–0.42]) and when ≥1 conspecific was singing (0.61 [0.46–0.75] vs. 0.54 [0.39–0.68]). Availability declined across both day of year and hour of day. Aggregating to common survey lengths, the probability of ≥ 1 song per bin increased with duration but showed the same temporal declines: 3 min = 0.61 (0.52–0.70), 5 min = 0.72 (0.63–0.79), and 10 min = 0.83 (0.74–0.90). Temperature had a modest positive effect, clearest at the 10 min bins. Interaction terms among day, hour, and temperature were unsupported (all likelihood ratio tests p > 0.10). These findings indicate that availability is <1 and varies predictably with day and time, implying that point count protocols should standardize survey windows or model availability explicitly.
Full article

Figure 1
Open AccessEditorial
Ornithological Publishing: The First Five Years of Birds
by
Jukka Jokimäki
Birds 2025, 6(4), 65; https://doi.org/10.3390/birds6040065 - 17 Dec 2025
Abstract
►▼
Show Figures
Birds was founded on September 2020 [...]
Full article

Figure 1
Open AccessCommunication
Behavioural Responses of Captive Large-billed Crows to Owl Decoys with Different Motion Patterns
by
Momoyo Fujioka, Maki Yamamoto and Masaki Shirai
Birds 2025, 6(4), 64; https://doi.org/10.3390/birds6040064 - 9 Dec 2025
Abstract
►▼
Show Figures
Corvids exhibit avoidance behaviour when foraging in the presence of potentially risky stimuli, yet it remains unclear how stimulus characteristics influence the strength of such responses. In this paper, we present wild-caught Large-billed Crows (Corvus macrorhynchos) with five conditions: no visual
[...] Read more.
Corvids exhibit avoidance behaviour when foraging in the presence of potentially risky stimuli, yet it remains unclear how stimulus characteristics influence the strength of such responses. In this paper, we present wild-caught Large-billed Crows (Corvus macrorhynchos) with five conditions: no visual stimulus, a cardboard box (non-biological, stationary), an immobile owl decoy (biological, stationary), a continuous-motion owl decoy (biological, moving), and a sensor-activated-motion owl decoy (biological, moving, and sudden). Avoidance was quantified using feeding latency, landing frequency, total time spent in the feeding area, and food consumption. Compared with the condition with no visual stimulus, the presence of any visual stimulus elicited increased latency, indicating that crows detect and respond to objects near food. Among the four objects, the sensor-activated-motion owl decoy produced stronger avoidance responses of the crows than the non-biological and stationary object (cardboard box). This indicates that they evaluate not only the presence of an object but also its motion characteristics and/or perceived biological cues when adjusting their foraging behaviour. Although sample size and individual variation impose limitations, these findings suggest that both the presence of visual stimuli and/or the complexity of their appearance play key roles in shaping avoidance behaviour in corvids.
Full article

Figure 1
Open AccessArticle
Beneath the Feathers: Hidden Burden of Serratospiculum and Other Endoparasites in Falcons Raised in Captivity in Serbia
by
Dajana Davitkov, Tamara Ilic, Milan Vidakovic, Sofija Solaja, Vladimir Nesic and Nemanja M. Jovanovic
Birds 2025, 6(4), 63; https://doi.org/10.3390/birds6040063 - 4 Dec 2025
Abstract
►▼
Show Figures
Parasitic infections represent an important health challenge in falcons (Falconidae), where they may negatively influence survival, reproduction, and performance. This study is the first investigation in Serbia assessing the prevalence and diversity of endoparasites in captive falcons, with special emphasis on Serratospiculum spp.
[...] Read more.
Parasitic infections represent an important health challenge in falcons (Falconidae), where they may negatively influence survival, reproduction, and performance. This study is the first investigation in Serbia assessing the prevalence and diversity of endoparasites in captive falcons, with special emphasis on Serratospiculum spp. A total of 145 live birds (hybrid falcon, Falco peregrinus, F. cherrug, F. rusticolus) and 1 dead individual were examined. Diagnostic procedures included necropsy, coprological analysis, and molecular detection. Endoparasites were confirmed in 55.2% of fecal samples. The most frequent were Caryospora spp. (41.4%), followed by Porrocaecum spp. (18.6%), Capillaria spp. (3.4%), and Serratospiculum spp. (2.8%). Statistically significant differences were observed between sexes, locations, and preventive health management. Falcons kept under preventive measures showed a markedly lower prevalence compared with those lacking such care. These findings highlight the persistent occurrence of endoparasites in Serbian falcons and underscore the importance of preventive programs. Regular deworming, strict hygiene, and vector control represent essential strategies for minimizing infections, particularly of Serratospiculum spp., which poses a serious respiratory health threat.
Full article

Figure 1
Open AccessArticle
Touchdown Rate and Success in Vole Hunting by Wintering Hen Harriers (Circus cyaneus): Roles of Intrinsic and Extrinsic Factors
by
Remo Probst and Renate Probst
Birds 2025, 6(4), 62; https://doi.org/10.3390/birds6040062 - 21 Nov 2025
Abstract
►▼
Show Figures
Raptors wintering in temperate regions face strong energetic constraints due to low temperatures and limited prey availability. Understanding how intrinsic traits and environmental conditions shape hunting performance helps to clarify the mechanisms underlying winter foraging efficiency. We studied wintering Hen Harriers (Circus
[...] Read more.
Raptors wintering in temperate regions face strong energetic constraints due to low temperatures and limited prey availability. Understanding how intrinsic traits and environmental conditions shape hunting performance helps to clarify the mechanisms underlying winter foraging efficiency. We studied wintering Hen Harriers (Circus cyaneus) in Austria over five consecutive winters (2020/21–2024/25) to quantify touchdown attempt rate and outcome in relation to sex, age, territorial status, and weather. Using generalized linear mixed models, we analyzed 1829 recorded touchdowns with individual identity as a random effect. Territorial females showed slightly higher attempt rates than males, whereas non-territorial females exhibited a tendency toward lower touchdown success. Adult males achieved the highest per-attempt efficiency, but age alone had no significant effect. Touchdown outcomes improved under cloud cover and declined with wind speed, while temperature showed no influence. Attempt rate was unaffected by any environmental variable. These results demonstrate that both intrinsic and extrinsic factors jointly determine winter foraging performance: males, with their smaller body size and agility, can persist even in vole-poor habitats by compensating through efficient flight and prey capture; territorial females benefit from stable access to vole-rich patches; and non-territorial females remain constrained by competition and limited access to prey. The findings highlight the need to maintain open farmland and vole-rich habitat to support diverse overwintering strategies.
Full article

Figure 1
Open AccessArticle
Density-Dependent and Predator-Specific Nest Defense Strategies in Colonially Breeding Saunders’s Gulls
by
Seon-Ju Lee, Bo-Yeon Hwang and Jongmin Yoon
Birds 2025, 6(4), 61; https://doi.org/10.3390/birds6040061 - 11 Nov 2025
Abstract
►▼
Show Figures
Nest defense is a key component of avian reproductive success, yet its intensity and expression often depend on ecological and social contexts. We investigated the nest defense behaviors of Saunders’s Gulls (Saundersilarus saundersi) breeding in Incheon Bay of South Korea in
[...] Read more.
Nest defense is a key component of avian reproductive success, yet its intensity and expression often depend on ecological and social contexts. We investigated the nest defense behaviors of Saunders’s Gulls (Saundersilarus saundersi) breeding in Incheon Bay of South Korea in 2022 in relation to nest density and perceived threats. Using decoy presentations of three heterospecifics, Oriental Magpie (Pica serica; diurnal avian nest predator), common raccoon dog (Nyctereutes procyonoides; nocturnal mammalian nest predator), and Little Tern (Sternula albifrons; neutral co-nester), we quantified latency to respond, bombing attack rate, and the number of mobbing individuals at high- and low-density nesting sites within a breeding colony. Mixed models revealed that latency to respond and attack rates varied strongly with stimulus type, with diurnal predator magpies eliciting the fastest and most intense responses, followed by nocturnal predator raccoon dogs and co-nester terns. Nest density influenced the number of mobbing individuals, which was significantly greater at high-density sites. Principal Component Analysis reduced the three behavioral metrics into a composite score, which correlated negatively with latency and positively with bombing attack rate and mobbing intensity. This score varied with both nest density and stimulus type. Our findings demonstrate that Saunders’s Gulls adjust their nest defense strategies according to both the social context and predator type, highlighting the importance of density-dependent collective nest defense in colonial breeders.
Full article

Figure 1
Open AccessArticle
Passive Acoustic Monitoring Provides Insights into Avian Use of Energycane Cropping Systems in Southern Florida
by
Leroy J. Walston, Jules F. Cacho, Ricardo A. Lesmes-Vesga, Hardev Sandhu, Colleen R. Zumpf, Bradford Kasberg, Jeremy Feinstein and Maria Cristina Negri
Birds 2025, 6(4), 60; https://doi.org/10.3390/birds6040060 - 10 Nov 2025
Abstract
►▼
Show Figures
Birds are important indicators of ecosystem health and provide a range of benefits to society. It is important, therefore, to understand the impacts of agricultural land use changes on bird populations. The cultivation of energycane (EC)—a sugarcane hybrid—for biofuel production represents one form
[...] Read more.
Birds are important indicators of ecosystem health and provide a range of benefits to society. It is important, therefore, to understand the impacts of agricultural land use changes on bird populations. The cultivation of energycane (EC)—a sugarcane hybrid—for biofuel production represents one form of agricultural land use change in southern Florida. We used passive acoustic monitoring (PAM) to examine bird community use of experimental EC fields and other agricultural land uses at two study sites in southern Florida. We deployed 16 acoustic recorders in different study plots and used the automatic species identifier BirdNET to identify 40 focal bird species. We found seasonal differences in daily avian species diversity and richness between EC experimental plots and reference agricultural fields (corn fields, orchards, pastureland), and between time periods (pre-planting, post-planting). Daily avian species diversity and richness were lower in the EC experimental plots during Fall and Winter months when plants reached maximum height (>400 cm in some areas). Despite seasonal differences in daily measures of species diversity and richness, we found no differences in cumulative species richness, suggesting that there may be little overall (season-long) effects of EC production. These findings could provide insight to avian seasonal habitat preferences and underscore the potential limitations of PAM in areas experiencing dynamic vegetation changes. More research is needed to better understand if utilization of EC cropping systems results in positive or negative effects on avian populations (e.g., foraging habitat quality, predator–prey dynamics, nest success).
Full article

Graphical abstract
Open AccessArticle
Genetic Identity of the Red-legged Partridge (Alectoris rufa, Phasianidae) from the Island of Madeira
by
Monica Guerrini, Hans-Martin Berg, Sylke Frahnert, Manuel Biscoito and Filippo Barbanera
Birds 2025, 6(4), 59; https://doi.org/10.3390/birds6040059 - 5 Nov 2025
Abstract
►▼
Show Figures
The Red-legged Partridge (Alectoris rufa, Phasianidae) is a non-migrant gamebird endemic to southwestern Europe that was introduced into Mediterranean and Atlantic islands in historical times. This is the case for Madeira, Portugal, where a population morphologically assigned to A. r. hispanica
[...] Read more.
The Red-legged Partridge (Alectoris rufa, Phasianidae) is a non-migrant gamebird endemic to southwestern Europe that was introduced into Mediterranean and Atlantic islands in historical times. This is the case for Madeira, Portugal, where a population morphologically assigned to A. r. hispanica has been present since the XV century. We assessed its genetic identity using 2248 (Cytochrome-b, Cyt-b + Control Region, CR) and 297 bp-long (CR) mitochondrial DNA sequences obtained from modern and archival (1900–1964, including Caccabis rufa maderensis syntypes) partridges, respectively. These sequences were compared against an already published dataset covering the entire Iberian A. rufa range. We found that all the haplotypes of modern birds from Madeira were private to this island. The putative subspecies was confirmed, and northern Portugal with northwestern Spain turned out to host the closest mainland populations. This result was in line with the origin of the first human settlers of Madeira from, among other historical provinces, Douro Litoral and Minho, the latter neighboring Galicia. Despite relatively recent A. rufa importations from continental Europe, we did not find any significant change over time in the haplotypic pattern of Madeiran partridges as well as any evidence for maternal introgression from species such as the congeneric Chukar Partridge (A. chukar). Studies relying on genome-wide markers and including the only captive-bred population of Madeira are needed to gain more comprehensive information for the management of the local A. rufa.
Full article

Graphical abstract
Open AccessArticle
Reintroduction of Indian Grey Hornbills in Gir, India: Insights into Ranging, Habitat Use, Nesting and Behavioural Patterns
by
Mohan Ram, Devesh Gadhavi, Aradhana Sahu, Nityanand Srivastava, Tahir Ali Rather, Tanisha Dagur, Vidhi Modi, Lahar Jhala, Yashpal Zala and Dushyantsinh Jhala
Birds 2025, 6(4), 58; https://doi.org/10.3390/birds6040058 - 24 Oct 2025
Abstract
►▼
Show Figures
Reintroduction efforts of wildlife species seek to re-establish self-sustaining populations of targeted species within their historical ranges. Our study focuses on the Indian Grey Hornbill, which faced local extinction in the Gir National Park and Sanctuary, Gujarat, India. The last recorded direct sighting
[...] Read more.
Reintroduction efforts of wildlife species seek to re-establish self-sustaining populations of targeted species within their historical ranges. Our study focuses on the Indian Grey Hornbill, which faced local extinction in the Gir National Park and Sanctuary, Gujarat, India. The last recorded direct sighting of the Indian Grey Hornbill in the study area dates back to the 1930s. Its presence gradually declined, leading to its eventual extinction in the region between 1950 and 1960. Since the declaration of Gir Forest as a sanctuary in 1965 and subsequently as a national park in 1975, habitat conditions have significantly improved. This positive trend created an opportunity for the reintroduction of the hornbills to establish a self-sustaining population. The reintroduction was conducted in two phases. During the first phase, twenty-eight birds were captured from known hornbill ranges within Gujarat, and five of them were equipped with PTT/GSM satellite transmitters. And in the second phase, twelve birds were captured, and six of them were fitted with PTTs to study their ranging patterns, habitat associations, and potential breeding activities. During the establishment or initial phase of reintroduction, the birds exhibited exploratory behaviour, resulting in larger home ranges (mean ± Standard Deviation, SD) (60.87 ± 68.51 km2), which gradually reduced to smaller home ranges (5.73 ± 10.50 km2) during later stages. Similarly, the daily and monthly distances travelled by the birds were significantly greater in the initial phase than in the later one. Nest site selection correlated significantly with girth at breast height (GBH) and tall trees. Our study provides essential information for hornbill reintroduction in the Gir landscape, aiding future conservation efforts for Indian Grey Hornbills.
Full article

Figure 1
Open AccessArticle
AI-Assisted Binoculars Improve Learning in Novice Birders
by
Christoph Randler and Florian Dechant
Birds 2025, 6(4), 57; https://doi.org/10.3390/birds6040057 - 24 Oct 2025
Abstract
►▼
Show Figures
AI tools like Passive Acoustic Monitoring (PAM) and apps like iNaturalist and Merlin are increasingly used in bird monitoring and species identification. The purpose of this study was to assess whether AI-assisted binoculars improve bird species knowledge, particularly in novice birders, and to
[...] Read more.
AI tools like Passive Acoustic Monitoring (PAM) and apps like iNaturalist and Merlin are increasingly used in bird monitoring and species identification. The purpose of this study was to assess whether AI-assisted binoculars improve bird species knowledge, particularly in novice birders, and to examine users’ motivation and experience. This study focuses on the learning impact of users, not data quality or accuracy of the device itself. Participants were recruited via social media, mostly novices (10 women, 9 men, 1 diverse). Four experimental groups (A–D, with N = 5 participants each) were designated. Participants used AI-supported binoculars to identify 10 bird species and the same binoculars with AI function switched off to identify another 10 bird species based on two sets of different species (counterbalanced to avoid order effects). This allowed a between-group as well as a within-subject comparison. We used a pre-test/post-test design for learning. Significant knowledge gains occurred only when using AI binoculars (Wilcoxon tests, p = 0.008). Pooled data across the intervention groups showed strong learning effects for AI-assisted users (Z = −3.736, p = 0.001). No significant learning occurred under control conditions. As a conclusion, AI-assisted binoculars significantly enhance bird identification learning in novices, but as a cautionary note, the study needs to be extended to live birds and in longitudinal settings.
Full article

Figure 1
Open AccessArticle
Trends in Landcover Suitability for Sandhill Cranes Wintering in the Central Valley of California
by
Gary L. Ivey, Andrew J. Caven, Dorn M. Moore and Sara K. Gomez-Maier
Birds 2025, 6(4), 56; https://doi.org/10.3390/birds6040056 - 24 Oct 2025
Abstract
The Central Valley of California provides critical wintering habitat for Sandhill Cranes (Antigone canadensis), which rely on wetlands, grasslands, and grain crops to meet their energetic needs. However, temporary row crops that support Sandhill Cranes and other wintering birds are ostensibly
[...] Read more.
The Central Valley of California provides critical wintering habitat for Sandhill Cranes (Antigone canadensis), which rely on wetlands, grasslands, and grain crops to meet their energetic needs. However, temporary row crops that support Sandhill Cranes and other wintering birds are ostensibly being replaced by permanent woody crops, which offer little value for wetland and grassland-dependent species. To better understand how landcover changes may be affecting habitat availability for these wintering cranes, we analyzed landcover trends within priority crane wintering areas from 2008 to 2023. We employed a mixed-methods approach that allowed us to describe both linear and non-linear trends over time and across regions. Our findings indicate a significant decrease in landcover types suitable as crane habitat over the 16-year period ( = −0.90, p < 0.001), with an average annual decline of approximately −1.15 ± 0.21% (B± 95% CI). The best-fit trendline showed that habitat suitability in priority wintering areas decreased from over 81% in 2008 to under 65% in 2023. Specifically, grasslands, rice fields, and alfalfa acreage declined across priority wintering areas, while woody landcover—including orchards, vineyards, and riparian forest breaks—increased significantly ( = 0.88, p < 0.001; B = 1.14 ± 0.20%). These landscape-level changes may constrain the regional carrying capacity for Sandhill Cranes and reduce their overall resilience.
Full article
(This article belongs to the Special Issue Resilience of Birds in Changing Environments)
►▼
Show Figures

Figure 1
Open AccessArticle
Close Relatives, Different Niches: Urban Ecology of Two Range-Expanding Thrushes Recently Meeting in the Argentinian Pampas
by
Miriam Soledad Vazquez, Alberto L. Scorolli and Sergio M. Zalba
Birds 2025, 6(4), 55; https://doi.org/10.3390/birds6040055 - 17 Oct 2025
Abstract
►▼
Show Figures
Urbanization reshapes bird communities by filtering species according to their ecological traits, often reducing richness, altering relative abundances, and favoring a subset of functionally tolerant species that dominate urban assemblages. Some native taxa are able to inhabit cities, even using them as stepping
[...] Read more.
Urbanization reshapes bird communities by filtering species according to their ecological traits, often reducing richness, altering relative abundances, and favoring a subset of functionally tolerant species that dominate urban assemblages. Some native taxa are able to inhabit cities, even using them as stepping stones for range expansion. We examined urban habitat use, microhabitat selection, and potential niche partitioning between two range-expanding thrushes (Austral Thrush [Turdus falcklandii] and Rufous-bellied Thrush [Turdus rufiventris]) in two urban settlements in the Pampas region, Argentina. Using 131 transects across green areas and urbanized zones, we related abundance patterns to habitat features at the transect scale and evaluated microhabitat selection at the individual level. Austral Thrush abundance increased with herbaceous cover, tree cover, and even concrete surfaces, suggesting a relatively high tolerance to fragmented green spaces within dense urban matrices. In contrast, Rufous-bellied Thrush showed a positive association with tree cover, avoided tall buildings, and reached higher abundance in the smaller city, consistent with its recent arrival in the region and preference for less intensively urbanized environments. Microhabitat data revealed marked vertical stratification: Austral Thrush foraged almost exclusively at ground level on grassy or bare substrates, while Rufous-bellied Thrush used trees, shrubs, and vines more frequently. These differences reflect fine-scale resource partitioning that may contribute to reducing niche overlap and favor the coexistence of both species in recently colonized urban areas, while recognizing that such dynamics occur within broader bird assemblages where multiple species interact and compete for space and resources. Our findings highlight that even closely related species can respond divergently to urban structure, and that maintaining structural and substrate heterogeneity within cities may help support native bird diversity.
Full article

Figure 1
Open AccessArticle
Wintering Red Kites in Central Spain: Macrohabitat Selection and Population Density Estimate
by
Alan Omar Bermúdez-Cavero, Edgar Bernat-Ponce, José Antonio Gil-Delgado and Andrés López-Peinado
Birds 2025, 6(4), 54; https://doi.org/10.3390/birds6040054 - 13 Oct 2025
Abstract
►▼
Show Figures
The Red Kite (Milvus milvus), a Western Palearctic raptor, experienced a severe population decline across its range during the 19th and 20th centuries, nearly disappearing as a breeding species in Spain. Although conservation and reintroduction efforts have facilitated recovery, information on
[...] Read more.
The Red Kite (Milvus milvus), a Western Palearctic raptor, experienced a severe population decline across its range during the 19th and 20th centuries, nearly disappearing as a breeding species in Spain. Although conservation and reintroduction efforts have facilitated recovery, information on its wintering ecology remains limited. We evaluated the population size and habitat selection of wintering Red Kites in and around the La Mancha Húmeda Biosphere Reserve (MHBR), Central Spain, and assessed whether survey route type affected detectability. Surveys comprised 325 vehicle-based line transects along paved roads and dirt tracks during the winters of 2021–2022 and 2022–2023, and the 2022 breeding season. Detection rates and density did not differ between route types. Across 212 winter transects, we recorded 124 individuals, with none detected during 113 breeding season transects. Density estimates were consistent across winters (1.3–1.4 individuals/km2), yielding a population estimate of approximately 1430 individuals. Habitat analysis indicated clear selection for open agricultural mosaics dominated by fallow land and vineyards, while rugged terrain was avoided. These results identify MHBR as an important wintering area. Yet, super-intensive agriculture is a poor habitat due to its uniformity. Enhancing heterogeneous open landscapes, including farmland, is essential for Red Kite colonization and expansion.
Full article

Figure 1
Open AccessArticle
Hissing Predicts Lower Tonic Immobility and Higher Nest Success in Female Great Tits (Parus major)
by
Tatjana Krama, Ronalds Krams, Didzis Elferts, Colton B. Adams, Dina Cirule and Indrikis A. Krams
Birds 2025, 6(4), 53; https://doi.org/10.3390/birds6040053 - 13 Oct 2025
Abstract
►▼
Show Figures
Antipredator behavior can vary consistently among individuals, yet links between proactive nest defense and passive fear strategies are rarely quantified in the wild. We tested whether hissing, a conspicuous, snake-like display at the nest, predicts tonic immobility (TI) and breeding success in female
[...] Read more.
Antipredator behavior can vary consistently among individuals, yet links between proactive nest defense and passive fear strategies are rarely quantified in the wild. We tested whether hissing, a conspicuous, snake-like display at the nest, predicts tonic immobility (TI) and breeding success in female Great Tits (Parus major). In pine forests in southeastern Latvia (2023–2024), we presented a taxidermic Great Spotted Woodpecker (Dendrocopos major) at nest-box entrances during incubation and scored whether females hissed and how many calls they produced. The same females were later assayed for TI by brief supine restraint when nestlings were 3–4 days old. Of 141 incubating females, 105 (74.5%) hissed. TI duration differed sharply between groups: non-hissing females showed significantly longer TI than hissing females. Nest failure was significantly lower in hissing than non-hissing female nests. These results reveal a strong negative association between proactive defense and passive fearfulness, and they show that hissing can translate into higher reproductive success in a Woodpecker-dominated predator environment. We conclude that defense strategies covary within individuals along a personality axis and that predator community composition may shape selection on these strategies.
Full article

Figure 1
Open AccessReview
A Review of Coronaviruses in Wild Birds and Opportunities for Future Research on Migratory Waterfowl
by
Allison A. Vestal-Laborde, Rebecca C. Christofferson, Kevin M. Ringelman and Ashley M. Long
Birds 2025, 6(4), 52; https://doi.org/10.3390/birds6040052 - 1 Oct 2025
Abstract
►▼
Show Figures
Coronaviruses (CoVs) were first described in poultry in the early 1930s and formally recognized as pathogens of both animal and human populations in the late 1960s. They are now considered among the most abundant viral families in the world. Though their distribution and
[...] Read more.
Coronaviruses (CoVs) were first described in poultry in the early 1930s and formally recognized as pathogens of both animal and human populations in the late 1960s. They are now considered among the most abundant viral families in the world. Though their distribution and diversity remain understudied in wild animals, representatives from 13 orders of wild birds worldwide have tested positive for CoVs of the gamma and delta genera over the last 25 years. Many of these wild bird species are in the orders Charadriiformes (shorebirds and their relatives) and Anseriformes (waterfowl including ducks, geese, and swans). Waterfowl are particularly concerning as potential reservoirs for CoVs because they are globally distributed; often congregate in large, mixed-species flocks; and may exist in close proximity to humans and domesticated animals. This review describes the history and current knowledge of CoVs in birds, provides an updated list of global detections of CoVs in 124 species of wild birds as reported in the peer-reviewed literature since 2000, and highlights topics for future research that would help elucidate the role of waterfowl in CoV transmission. Our review reiterates the need for continuous surveillance to detect and monitor CoVs across all bird species and for standardization in data reporting and analysis of both negative and positive results. Such information is critical to understand the potential role of free-ranging birds in the maintenance, evolution, and transmission of the virus. Further, we believe that research on the potential impacts of coronavirus infections and coinfections on avian demographics, especially reproduction in waterfowl, is warranted given known consequences in domestic poultry.
Full article

Figure 1
Highly Accessed Articles
Latest Books
E-Mail Alert
News
Topics
Topic in
Animals, Biology, Birds, Veterinary Sciences, Wild
Wildlife Intelligent Monitoring: Advancing Conservation Through Visual and Acoustic Monitoring Technologies
Topic Editors: Jiangjian Xie, Junguo ZhangDeadline: 31 July 2026
Topic in
Animals, Birds, Diversity, Life
Ecology, Management and Conservation of Vertebrates: 2nd Edition
Topic Editors: Miguel Lizana, Víctor Colino-RabanalDeadline: 31 July 2027
Conferences
Special Issues
Special Issue in
Birds
Unveiling the Breeding Biology and Life History Evolution in Birds
Guest Editors: Shaobin Li, Changcao Wang, Weibin GuoDeadline: 30 September 2026
Special Issue in
Birds
Spatial Variation in Birdsong: Ecological Drivers and Behavioural Functions
Guest Editors: Jie Xie, Juan Gabriel Colonna, Shufei DuanDeadline: 30 September 2026
Special Issue in
Birds
Resilience of Birds in Changing Environments: Second Edition
Guest Editors: Jason Davis, Sarah L. FoltzDeadline: 31 October 2026



