- Article
Ruthenium, Rhodium, and Iridium α-Diimine Complexes as Precatalysts in Carbon Dioxide Hydrogenation and Formic Acid Decomposition
- Juan C. Segura-Silva,
- Miguel A. Cabrera-Briseño,
- Ricardo González-Cruz,
- Sara A. Cortes-Llamas,
- José G. Alvarado-Rodríguez,
- Elvia Becerra-Martínez,
- A. Aaron Peregrina-Lucano and
- I. Idalia Rangel-Salas
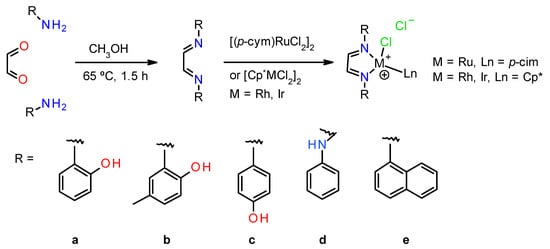
This study describes a series of water-soluble half-sandwich ruthenium(II), rhodium(III), and iridium(III) complexes with α-diimine ligands containing substituted aromatic groups. These ligands were derived from glyoxal and 2-aminophenol (a), 4...

