Abstract
Antibiotic residues such as ciprofloxacin in aquatic systems contribute to antimicrobial resistance and environmental contamination. Conventional treatment processes are often insufficient for removing pharmaceutical contaminants. In this study, activated carbon synthesized from coconut husk using orthophosphoric acid was evaluated for ciprofloxacin adsorption through equilibrium, kinetic, and thermodynamic analyses. The adsorption capacities were 42.34 mg/g for commercial activated carbon (AC) and 36.72 mg/g for synthesized coconut husk activated carbon (CHAC), at an initial ciprofloxacin concentration of 50 mg/L, achieving 85% and 73% removal, respectively. The experimental data obtained were analyzed using five isotherm models (Langmuir, Freundlich, Temkin, Dubinin–Radushkevich, and Sips). The Sips isotherm better describes AC sorption data than the Freundlich isotherm model for the CHAC, indicating heterogeneous surface coverage. The kinetic model investigation showed a better fit with the Elovich model for AC and the pseudo-second-order model for CHAC, as indicated by higher R2 values and lower sum-of-squares errors. Thermodynamic parameters indicated spontaneous and exothermic processes, while SEM analysis confirmed surface porosity and heterogeneity. The results demonstrate that the chemically activated coconut husk is an efficient, low-cost, and sustainable material for mitigating pharmaceutical contamination and addressing antimicrobial resistance in water systems.
1. Introduction
Antimicrobial resistance (AMR) is an emerging global crisis that is reducing the effectiveness of drugs and threatens the potency of modern medicine [1]. Once hailed as a medical breakthrough [2], antibiotics have become a double-edged sword, with their widespread use and environmental contamination now accelerating AMR [3]. The burden is staggering; in 2019 alone, an estimated 4.9 million deaths worldwide were associated with drug-resistant infections, which emphasizes the scale of the threat [4]. In the United States, despite an 18% decline in drug resistance-related deaths reported by the Centers for Disease Control and Prevention [5], about 2.8 million infections still occur annually, resulting in about 35,000 deaths and imposing an economic burden of nearly $4.6 billion. In addition to the impact on people, AMR also compromises food security, economic stability, and quality of life. The World Bank projects that by 2050, AMR could generate an additional US$1 trillion in annual healthcare costs, while by 2030, global gross domestic product (GDP) losses are projected to be between US$1 trillion and US$3.4 trillion each year [6]. Recognizing this, the CDC has identified environmental interventions, such as reducing antibiotic residues in soil and water, as one strategy to reduce drug-resistant diseases. Fluoroquinolones, such as ciprofloxacin, are particularly concerning because they are among the most prescribed antibiotics and are frequently detected in aquatic environments [7,8]. The presence of fluorine atoms in the quinolone backbone significantly enhances the antibacterial potency of fluoroquinolones, increasing activity by up to tenfold [9]. Their persistence and potential to drive resistance, as depicted in Figure 1, not only threaten ecosystems but also amplify the urgency for effective removal technologies.
Figure 1.
Percentage of nontyphoidal Salmonella isolates non-susceptible to ciprofloxacin in the United States, 2009–2017. Ciprofloxacin resistance rose steadily from 2% in 2009 to 8% in 2017, highlighting a growing public health concern [5].
Ciprofloxacin (CIP), chemically known as 1-cyclopropyl-6-fluoro-1,4-dihydro-4-oxo-7-(1-piperazinyl)-3-quinoline carboxylic acid, is frequently detected in surface water, groundwater, and even treated effluents due to its incomplete removal by conventional wastewater treatment systems [10]. The antibiotic CIP is utilized in human medicine and animal husbandry for the treatment and prevention of diseases, as well as for growth promotion. However, it is only partially metabolized in humans and animals, with about 50–70% excreted unchanged and approximately 10% excreted as metabolites. This significant amount of unchanged CIP is eliminated through feces and urine, leading to its persistence in the environment [11,12]. Major contributors to environmental contamination include hospital effluents, domestic sewage, and agricultural runoff [13,14,15]. Monitoring studies have consistently reported high detection frequencies: CIP is found in 94–100% of municipal wastewater influents and 83–97% of treated effluents (up to 3.5 µg/L) [16]; in rivers, detection ranges from 70 to 85% (5–320 ng/L), and in urban groundwater from 60 to 72% (1–90 ng/L) [17]. Even at trace levels, CIP exerts selective pressure on microorganisms, accelerating resistance development and harming aquatic ecosystems [18,19]. Kenyon (2022) established a positive correlation between the concentration of ciprofloxacin in countries’ rivers and the prevalence of fluoroquinolone resistance in E. coli, which is dependent on the country’s human consumption rate of CIP and its use in animal husbandry [20].
Various methods have been studied for the removal of antibiotics from water, including biological treatment [21,22], electrochemical oxidation [23], advanced oxidation processes [24,25], adsorption [26,27], and membrane filtration [28,29]. Among these, activated carbon is the most widely used adsorbent, due to its high surface area and efficiency [30,31], but its high cost and regeneration challenges limit large-scale or decentralized applications [32,33].
Several studies have explored adsorption-based approaches for removing ciprofloxacin from water, with increasing attention on low-cost agricultural-waste-derived adsorbents as sustainable alternatives to commercial activated carbon. These adsorbents from agricultural residues, including corn cob [34], rice husk, brewery bagasse [35], and sawdust [36], have demonstrated promising ciprofloxacin uptake capacities under laboratory conditions. Hamadeen and Elkhatib [37] advanced biochar design through the development of nanostructured activated biochar. Also, Al-Jubouri et al. [38] enhanced adsorption efficiencies by employing zeolite–carbon composites, offering insights into the underlying mechanisms. Recently, Idrees et al. [39] created a composite photocatalyst featuring Ag-doped graphitic carbon nitride combined with biochar. Despite these advances, research that benchmarks agricultural-waste-derived adsorbents against commercial activated carbon, combined with detailed mechanistic studies, remains limited [40]. Addressing this gap is essential to developing cost-effective and sustainable water treatment technologies capable of mitigating ciprofloxacin contamination and its role in antimicrobial resistance.
Agricultural residues are being studied as promising alternatives for water treatment due to their abundance, lignocellulosic composition, and natural porosity. Among these, coconut husk stands out: global coconut production exceeds 62 million tons annually, leaving behind vast quantities of husk that are often underutilized or discarded as waste. Valorizing this biomass into high-performance adsorbents not only supports circular economy principles but also addresses pressing environmental and health concerns. In this study, a sustainable adsorbent was produced from coconut husk, which was chemically activated with orthophosphoric acid for ciprofloxacin removal, and its performance was systematically benchmarked against commercial activated carbon. While various adsorbents have been employed for fluoroquinolone removal, few studies offer both a valorization approach and a mechanistic understanding in direct comparison with commercial standards. By integrating sustainable material valorization with competitive performance and mechanistic insight, this study advances low-cost water treatment solutions that directly support antimicrobial resistance mitigation and circular economy objectives.
2. Materials and Methods
2.1. Chemicals and Adsorbents
2.1.1. Chemicals
Ciprofloxacin (CIP, ≥99% purity) was purchased from Bonds Pharmaceuticals, Aawe, Oyo state of Nigeria. Orthophosphoric acid (H3PO4) was purchased from Sigma-Aldrich chemicals (Darmstadt, Germany). Commercial activated carbon (AC) was obtained from Sigma-Aldrich (St. Louis, MO 63103, USA; Product number C2764, CAS Number 7440-44-0) and used as a reference adsorbent for performance comparison. Distilled water was used throughout the study.
2.1.2. Coconut Husk Adsorbent Preparation and Characterization
Coconut husk was collected locally, washed with distilled water to remove impurities, dried at 105 °C for 24 h, and ground to a uniform particle size (<1 mm). The husk was then chemically modified with phosphoric acid (H3PO4) to enhance adsorption properties. The slurry formed was carefully moved into an evaporating dish and set in an oven at 500 °C for one hour. The carbonized material was allowed to cool and rinse with distilled water until neutral. This was afterwards oven-dried at 105 °C till a constant weight was achieved. The prepared coconut husk activated carbon (CHAC) was stored in an airtight container for further use.
The physicochemical properties of the synthesized CHAC adsorbent were characterized and compared with those of commercial AC using Fourier-transform infrared spectroscopy (FTIR), scanning electron microscopy (SEM), and Brunauer–Emmett–Teller (BET) surface area analysis. FTIR analysis was performed using a PerkinElmer 3000MX spectrometer (PerkinElmer Inc., Waltham, MA, USA) to identify surface functional groups relevant to adsorption processes. The surface morphology and pore structure of CHAC were examined using JSM-6610LV scanning electron microscopy (JEOL Ltd., Tokyo, Japan). The specific surface area and pore characteristics were determined through nitrogen adsorption–desorption isotherms using a BET JWGB 76502057en surface area analyzer (JW-DA, Beijing, China). These characterization techniques collectively provided insights into the functional groups, porosity, and morphological features that influence the adsorption performance of CHAC.
2.2. Preparation of Ciprofloxacin Standard Solutions
A stock solution of CIP (1000 mg/L) was prepared by dissolving 1.0 g of CIP in distilled water and diluting to 1 L. In this study, CIP was utilized in its pharmaceutical-grade salt form, which has a higher aqueous solubility than the neutral free base. This property allows for complete dissolution of CIP in the 10–50 mg/L concentration range used in the research.
Working standard solutions of 10, 20, 30, 40, and 50 mg/L were prepared by transferring 2, 4, 6, 8, and 10 mL of the stock solution into 200 mL volumetric flasks, respectively, and diluting to volume with distilled water. The UV–Vis absorbance of each solution was measured at 278 nm using a 752N UV–Vis spectrophotometer (Hinotek, Ningbo, China), and a calibration curve was constructed by plotting absorbance versus concentration. The linearity of the Beer–Lambert relationship was confirmed over the tested concentration range (R2 > 0.999), enabling accurate quantification of CIP in adsorption experiments.
2.3. Batch Adsorption Experiments
Adsorption studies were carried out in 20 mL polypropylene tubes, each containing 10 mL of a CIP solution at initial concentrations ranging from 10 to 50 mg/L, with a fixed adsorbent mass of 0.01 g. This specific adsorbent mass was chosen to ensure measurable removal while still maintaining detectable residual concentrations suitable for reliable kinetic and isotherm analysis. Twelve tubes were carefully labeled with the corresponding contact time and experimental condition for each test scenario. They were then placed in a Jinotech HH-420 thermostatically controlled magnetic stirrer (Hinotek, Ningbo, China) set to 200 rpm to ensure consistent mixing and temperature throughout the adsorption process, conducted at 30, 40, and 50 °C for 0 to 5 h.
At predetermined time intervals of 0, 5, 10, 15, 20, 30, 40, 60, 90, 120, 180, 240, and 300 min, an individual tube was removed from the stirrer. An aliquot was immediately withdrawn and filtered through a 0.22 μm syringe filter to eliminate suspended adsorbent particles. The clear filtrate was then analyzed using a UV–Vis spectrophotometer to determine the residual CIP concentration. This meticulous procedure ensured that each time point was sampled independently, minimizing any disturbance to the remaining tubes and maintaining consistent adsorption conditions throughout the experimental series.
The amount of CIP adsorbed per unit mass of adsorbent at any time (qt) and at equilibrium (qe) was calculated as follows:
where
qt = amount of CIP adsorbed per unit mass at time ‘t’ (mg/g);
qe = amount of CIP adsorbed per unit mass at equilibrium (mg/g);
Co = initial concentration of CIP (mg/L);
Ct = final concentration of CIP after adsorption at time t (mg/L);
Ce = concentration of CIP adsorbed at equilibrium (mg/L);
V (L) is the solution volume, and M (g) is the mass of the adsorbent used.
The removal efficiency of CIP (%) was determined using Equation (3):
2.4. Adsorption Modeling (Isotherms and Kinetics)
Numerous studies on adsorption have investigated both linear and non-linear isotherms and kinetic models, with a discernible inclination towards the latter due to their superior accuracy. The application of non-linear models effectively mitigates complications arising from error distributions and ensures more reliable data fitting [41,42]. This study specifically focuses on assessing nonlinear isotherm and kinetic models for CIP adsorption using MATLAB R2025b to ensure precise parameter estimation. The non-linear formulations of the selected models are detailed in Table 1. The fitting was performed using MATLAB and Origin 2025b, and goodness-of-fit was evaluated using correlation coefficients (R2), root mean square error (RMSE) and sum of squared errors (SSE).
Table 1.
Nonlinear forms of models, model parameters, and assumptions.
3. Results and Discussion
3.1. FTIR Characterization
FTIR spectroscopy was employed to elucidate the surface functional groups responsible for ciprofloxacin adsorption on both commercial activated carbon and coconut-husk chemically activated carbons. The spectra for AC and CHAC are presented in Figure 2a. In Figure 2b, CHAC exhibits more diverse and intense functional group signatures than AC, particularly in the low-wavenumber region, reflecting the influence of chemical activation.
Figure 2.
(a) FTIR transmittance spectra (4000–500 cm−1) confirming the presence and relative intensity of surface functional groups on both adsorbents. (b) FTIR peak positions of AC and CHAC showing major functional groups, with additional low-wavenumber bands observed only in CHAC (asterisks indicate no corresponding IR peaks for AC/CHAC).
AC exhibited broad peaks near 3400 cm−1, attributed to O–H stretching vibrations of hydroxyl groups, and a peak at 2920 cm−1 corresponding to C–H stretching from aliphatic chains. The strong absorbance at 1630 cm−1 indicates C=O stretching from carboxylic acids or conjugated ketones, while peaks in the region 1050–1150 cm−1 are associated with C–O stretching of alcohols, ethers, and esters. A peak at 972.49 cm−1, corresponding to the C-NH3 vibration in AC, is absent in CHAC; this might have been due to the AC precursor. In addition, a peak at 587.24 cm−1, corresponding to the chloroalkane group, is observed in CHAC but absent in AC. In CHAC, the intensity of the O–H and C=O bands decreased, suggesting structural rearrangement or decomposition of labile oxygen-containing groups during chemical activation.
3.2. SEM Characterization of Surface Morphology
Commercial activated carbon AC has a highly porous structure characterized by well-developed cavities and rough surfaces, as shown in Figure 3a. This morphology is beneficial for adsorption because it provides a high surface area, facilitating access to active sites. These findings are consistent with previous studies on activated carbon [40,52]. In contrast, the CHAC structure in Figure 3b appears smoother and more compact, with minimal visible porosity, suggesting a potentially lower initial adsorptive capacity [53].
Figure 3.
SEM micrographs of (a) AC and (b) CHAC; all images are 9000× magnification with 50 μm scale bars.
3.3. BET Surface Area Analysis
The BET analysis revealed distinct differences in the textural properties of AC and CHAC as observed in Table 2, emphasizing how precursor chemistry and activation methods influence their adsorption behavior.
Table 2.
BET surface area and porosity parameters of AC and CHAC.
AC demonstrated a higher specific surface area of 1050.25 m2/g compared to CHAC, which recorded 960.45 m2/g. Both materials exhibited comparable total pore volumes: AC at 0.607 cm3/g and CHAC at 0.606 cm3/g, indicating similar overall pore capacities despite differences in surface area. Nevertheless, AC contained a greater mesopore area, reflecting its pores that enhance adsorption through strong confinement effects. In contrast, CHAC displayed slightly smaller average pore diameters and lower porosity. These textural differences suggest that while AC provides more extensive adsorption domains, CHAC still offers significant porosity and surface accessibility, reinforcing its potential as a sustainable alternative adsorbent.
3.4. Influence of Initial CIP Concentration on Adsorption Kinetics
The rate of adsorption is not only governed by the intrinsic properties of the adsorbent but is also strongly influenced by the initial concentration of the adsorbate. As shown in Figure 4, increasing the initial CIP concentration from 10 mg/L to 50 mg/L resulted in a progressive increase in adsorption capacity over time for both AC and CHAC. This rise is attributed to the increased mass transfer driving force at higher contaminant loadings, which facilitates faster diffusion and greater interaction with available active sites during the initial stages of adsorption [54,55].
Figure 4.
Adsorption kinetics of CIP on (a) AC and (b) CHAC at varying initial concentrations (10–50 mg/L). Higher initial concentrations promoted faster uptake and increased adsorption capacities, with equilibrium achieved more rapidly at elevated loadings.
Activated carbon demonstrated a rapid initial adsorption capacity, particularly at a concentration of 10 mg/L, with an adsorption capacity of 8.029 mg/g within the first 90 min. In contrast, the CHAC adsorbent exhibited a significantly lower adsorption capacity of 3.50 mg/g at the same initial concentration. These results align with previous studies reporting that activated carbon materials typically exhibit superior kinetic performance due to their microporous structures and high density of accessible adsorption sites [56,57].
Conversely, the CHAC displayed slower adsorption kinetics and lower qt values at all concentrations except the initial 50 mg/L. The kinetic data indicate that AC is more effective at rapidly adsorbing CIP from aqueous solutions. However, at higher contaminant concentrations, CHAC demonstrated a superior adsorption capacity of 37.96 mg/L, compared to AC’s 31.53 mg/L at an initial CIP concentration of 50 mg/L. This characteristic renders CHAC particularly well-suited for applications characterized by elevated contaminant loadings. Regardless of the initial CIP concentration (10–50 mg/L), both adsorbents exhibited a rapid initial adsorption phase, followed by a more gradual approach to equilibrium. Based on the plateau-region adsorption capacity over time curves, the equilibrium time for AC was approximately 240 min, while CHAC reached equilibrium earlier, at around 180 min. The more rapid stabilization observed for CHAC can be attributed to its narrower pore structure and the greater accessibility of its surface functional groups. These equilibrium times provide a reliable basis for determining appropriate contact durations for subsequent equilibrium and isotherm experiments.
3.5. Influence of Initial CIP Concentration on Equilibrium Adsorption and Saturation Behavior
The initial concentration of the adsorbate plays a critical role in governing adsorption behavior, as it influences the driving force for mass transfer between the bulk solution and the adsorbent surface [54,57]. At low concentrations, adsorption is primarily influenced by the availability of active sites. As concentration increases, saturation may occur, limiting further uptake. At higher concentrations, the frequency of molecular collisions increases, boosting the likelihood of adsorption—until the active sites become fully saturated. To investigate this phenomenon, the equilibrium adsorption capacity (qe) of both AC and CHAC was evaluated across a range of initial CIP concentrations. The results are presented in Figure 5.
Figure 5.
Adsorption capacity at equilibrium (qe) of AC and CHAC versus initial CIP concentration (Co). AC shows a plateau beyond 40 mg/L, indicating site saturation, while CHAC continues to increase qe, reflecting improved adsorption performance.
Figure 5 illustrates the impact of increasing initial CIP concentration (Co) on the equilibrium adsorption capacity (qe) for both AC and CHAC adsorbents. As Co increases from 10 to 40 mg/L, a proportional increase in qe is observed for both adsorbents, indicating enhanced mass transfer and a greater driving force for adsorption. However, a critical threshold is apparent at 40 mg/L for AC, beyond which further increases in concentration do not significantly improve adsorption. This suggests that most available active sites are saturated. This plateau behavior is consistent with the Langmuir adsorption model, which assumes monolayer coverage of adsorbate molecules on a homogeneous surface with a limited number of active sites [54,57]. Such saturation thresholds have been extensively documented in the literature. For instance, Yu et al. [54] reported adsorption plateaus for pharmaceuticals naproxen, carbamazepine, and nonyphenol at specific concentrations during granular activated carbon treatment. Similarly, Varga et al. [57] identified a well-defined saturation point for various pharmaceuticals under batch adsorption conditions, while Appa et al. [58] confirmed capacity-limited behavior during the removal of primidone. CHAC showed a consistent increase in adsorption capacity from 10 to 50 mg/L, without a plateau. This observation suggests that CHAC maintains available adsorption sites even at elevated pollutant loadings, likely due to the presence of oxygenated functional groups and a heterogeneous pore structure. Such behavior aligns with findings in the literature on chemically activated biomass carbons, which often require higher pollutant concentrations to achieve true saturation [56,59,60]. The kinetic plots (adsorption capacity versus time) delineate the dynamics of the adsorption process; however, the equilibrium isotherm plot (adsorption capacity versus concentration) is pivotal for assessing the equilibrium capacity. The lack of a plateau in the adsorption profile of CHAC is recognized as a limitation, and it is recommended that subsequent investigations extend the concentration range beyond 50 mg/L to accurately ascertain its saturation capacity.
3.6. Influence of Temperature on Adsorption Capacity and Removal Efficiency
The effect of temperature on the adsorption capacity for an initial concentration of 10 mg/L at varied temperatures is presented in Figure 6. The adsorption performance of AC (Figure 6a) improved significantly from 30 °C to 40 °C, with a rapid increase in uptake and an earlier equilibrium time, reaching a maximum capacity of approximately 10 mg/g at 40 °C. This trend is likely due to enhanced mobility of the CIP molecules and the activation of additional adsorption sites at moderate temperatures. However, a decline in capacity at 50 °C indicates a potential threshold beyond which thermal agitation begins to disrupt adsorbate–adsorbent interactions or promotes desorption. Similar thermal behavior has been reported for nutshell-based carbons in pharmaceutical removal systems, where optimal temperature windows maximize efficiency before thermal deactivation sets in [52].
Figure 6.
Impact of temperature at 30, 40, and 50 °C on the adsorption of concentration 10 mg/L of CIP on (a) AC (b) CHAC.
In contrast, the CHAC adsorbent (Figure 6b) exhibited a reversed trend: the highest adsorption capacity (~5.5 mg/g) was observed at 30 °C, with performance decreasing progressively at higher temperatures. This indicates that adsorption on CHAC is typical of physisorption-dominated processes, where weak van der Waals forces are susceptible to disruption by increased kinetic energy [40,53]. The decline in uptake may also be attributed to structural relaxation or shrinkage of the biomass matrix, thereby reducing the number of available active sites. As illustrated in Figure 6a, AC shows a significant temperature effect during the initial and intermediate stages: the rate of qt increases more rapidly at 40 °C than at 30 °C or 50 °C, and the curves converge around 240 min, when equilibrium is achieved. For CHAC, as shown in Figure 6b, the temperature dependence is evident up to roughly 180 min; thereafter, the qt values at 30, 40, and 50 °C stabilize, indicating that equilibrium has been reached. Beyond these points (approximately 180 min for CHAC and 240 min for AC), further contact time and temperature variations have little effect on qt, confirming an equilibrium-controlled regime. While adsorption capacity provides insight into the extent of CIP uptake at equilibrium, evaluating removal efficiency over time offers a more application-oriented perspective, particularly relevant for process design and performance assessment.
While the percentage-removal curves are not presented, the observed trends closely correspond with the adsorption-capacity profiles. AC demonstrated significantly enhanced uptake at 40 °C, achieving near-complete removal (>99%) within the first 60 min, indicating accelerated adsorption kinetics at elevated temperatures. In contrast, CHAC reached its highest removal efficiency at 30 °C, with a gradual decline in performance at 40 °C and 50 °C. This behavior suggests that AC maintains thermally robust adsorption characteristics across the tested temperature range, whereas CHAC shows greater sensitivity to thermal variations, performing optimally at ambient conditions. Overall, the results confirm that AC offers more thermally stable and efficient CIP adsorption, whereas CHAC may be better suited for applications operating closer to room temperature.
3.7. Adsorption Isotherm Modeling
The equilibrium adsorption data for CIP on AC and CHAC adsorbents at 30 °C, 40 °C, and 50 °C were fitted using five classical isotherm models: Langmuir, Freundlich, Temkin, Dubinin–Radushkevich (D–R), and Sips. The regression analysis revealed that all models adequately described the adsorption process, but with varying degrees of precision based on temperature and model assumptions. The isotherm models are compared with the experimental data for 30 °C in Figure 7, and the fitting data are presented in Table 3.
Figure 7.
Comparative analysis of adsorption isotherm models for (a) AC and (b) CHAC at 30 °C. The experimental data were analyzed using various isotherm models, including the Langmuir, Freundlich, Temkin, Dubinin–Radushkevich (D-R), and Sips models. The results indicate that the adsorption characteristics of AC are best represented by the Sips model, whereas CHAC is more accurately described by the Freundlich model.
Table 3.
Isotherm model parameters for the adsorption of pharmaceutical contaminants onto AC and CHAC at different temperatures. Fitted values for Langmuir, Freundlich, Temkin, D-R, and Sips models.
The Langmuir model, which assumes monolayer adsorption on a homogenous surface, yielded high R2 values across the three temperatures for AC, suggesting that monolayer adsorption is a dominant mechanism for CIP contaminant uptake in AC-CIP. This finding is consistent with previous works that reported Langmuir suitability for the adsorption of antibiotics and NSAIDs [61,62]. However, deviations from ideality were better captured by the Sips isotherm, a hybrid of Langmuir and the Freundlich models. The inclusion of a heterogeneity exponent (n) enabled Sips to account for site energy variations and surface heterogeneity, especially at higher initial concentrations and temperatures. In some cases, the Sips model achieved a marginally better fit than Langmuir (higher R2, lower RMSE), confirming its robustness for real-world environmental matrices [63].
The Freundlich model further supported the heterogeneity of the adsorbent surface. The n values consistently exceeded unity, indicating favorable adsorption, especially at low equilibrium concentrations [64].
Although the Freundlich exponent n was below unity for CHAC at all temperatures considered, the Freundlich model provided the best statistical description of the equilibrium data (highest R2, lowest RMSE, and SSE) relative to the other models. Values of n < 1 are commonly observed for heterogeneous carbon-based adsorbents and reflect a broad distribution of site energies and relatively stronger adsorption at low concentrations rather than failure of the model; thus, the Freundlich equation more faithfully represents multilayer adsorption on heterogeneous surfaces in this system. This interpretation aligns with various studies showing that chemically modified and doped activated carbons exhibit Freundlich behavior with n < 1, indicating reduced adsorption intensity with concentration. This reflects surface heterogeneity and concentration-dependent adsorption [65].
The Temkin model introduced insights into thermodynamic behavior by accounting for adsorbate–adsorbent interactions. The calculated binding energy (bT) values ranged within the physisorption limit (<40 kJ/mol), validating the non-covalent nature of the interactions. This is indicative of π–π electron donor–acceptor interactions, hydrogen bonding, and van der Waals forces often observed in pharmaceutical sorption [40]. In addition, the Dubinin–Radushkevich (D–R) model provided the mean free energy of adsorption (E). Across all temperatures, the E values were below 8 kJ/mol, supporting the dominance of physisorption rather than ion exchange or chemical bonding [66]. The D–R model also accounted for micropore filling, which is critical in thermally modified biomass adsorbents. To summarize, the Sips model provided a superior fit to the isothermal data across all temperatures for CIP uptake on AC, with Sips slightly outperforming Langmuir at elevated temperatures, suggesting that surface heterogeneity becomes more pronounced as temperature rises. For AC-CIP, the ranking of the isotherm model fits is as follows: Sips > Langmuir > Freundlich > Temkin > D-R. In the case of CHAC-CIP, the Freundlich model provided the best fit, confirming the presence of non-uniform energy distributions and heterogeneous layer adsorption. For CHAC-CIP, the isotherm model fits are ranked as Freundlich > D-R > Temkin > Langmuir > Sips. These findings align with previous research on pharmaceutical uptake onto adsorbents under varying thermodynamic conditions [67,68].
3.8. Kinetic Modeling Discussion
The adsorption kinetics were analyzed using the pseudo-first-order (PFO), pseudo-second-order (PSO), and Elovich models. The results are presented in Table 4 and Table 5, and Figure 8. While the PFO and PSO models are commonly applied to adsorption systems, their fitting results for AC revealed systematic deviations as the system approached equilibrium. This trend has also been observed in activated carbon systems used for the adsorption of antibiotics and endocrine-disrupting compounds [40]. In contrast, the Elovich model provided an excellent description of the AC-CIP experimental data, with significantly higher correlation coefficients and lower residual errors. The Elovich model is generally associated with systems in which the adsorption surface is heterogeneous and the adsorption energy distribution is not uniform. The superior fitting observed here suggests that the adsorbent surface comprises energetically diverse sites, consistent with the morphological and structural characterization of the prepared material. The initial rapid uptake of CIP on AC, followed by a slower adsorption phase, is well captured by the logarithmic term in the Elovich equation, reflecting a progressive decrease in the available active sites as surface coverage increases. Furthermore, the Elovich parameter α (initial adsorption rate) increased with increasing initial concentration, confirming that the driving force for mass transfer is strongly dependent on the initial solute gradient. The parameter β, related to surface coverage and activation energy for chemisorption, indicated that adsorption proceeded via a heterogeneous activation-controlled pathway. This is in line with previous reports that antibiotic adsorption onto lignocellulosic-derived adsorbents is governed by a combination of surface functional group interactions and intraparticle diffusion resistance.
Table 4.
Kinetic model results for the uptake of CIP on AC fitted to pseudo-first-order, pseudo-second-order, and Elovich models.
Table 5.
Kinetic model results for the uptake of CIP on CHAC fitted to pseudo-first-order, pseudo-second-order, and Elovich models.
Figure 8.
Adsorption kinetic models for (a) AC and (b) CHAC adsorbents at 30 °C. The experimental data were fitted to pseudo-first-order, pseudo-second-order, and Elovich models.
Overall, the preference for the Elovich model highlights the complexity of the adsorption process on a heterogeneous surface. This finding highlights the importance of considering heterogeneous kinetic models when evaluating adsorption mechanisms in sustainable water treatment systems. For CHAC, the Elovich model fits best at lower concentrations of 10 and 20 mg/L, the PSO model consistently provided the best fit to the experimental data, as indicated by the highest correlation coefficients (R2) and the lowest root-mean-square error (RMSE) values. The high agreement between the experimentally determined and PSO-predicted equilibrium adsorption capacities (qe) is consistent with prior studies involving carbonaceous sorbents for pharmaceuticals [69,70]. Overall, the kinetic analysis confirms that the PSO model is the most suitable for describing the adsorption dynamics under the studied conditions.
While the Temkin and Dubinin–Radushkevich isotherm models indicated adsorption energies characteristic of physisorption, the kinetic data were best described by the pseudo-second-order and Elovich models, which are often associated with chemisorption. This apparent discrepancy can be reconciled by recognizing that adsorption on heterogeneous carbonaceous surfaces involves multiple mechanisms: stronger site-specific interactions may govern the initial kinetics, whereas equilibrium uptake is dominated by weaker physical forces such as van der Waals interactions and pore filling. Similar observations have been reported in prior adsorption studies, where kinetic and isotherm models capture different facets of a complex sorption process [71].
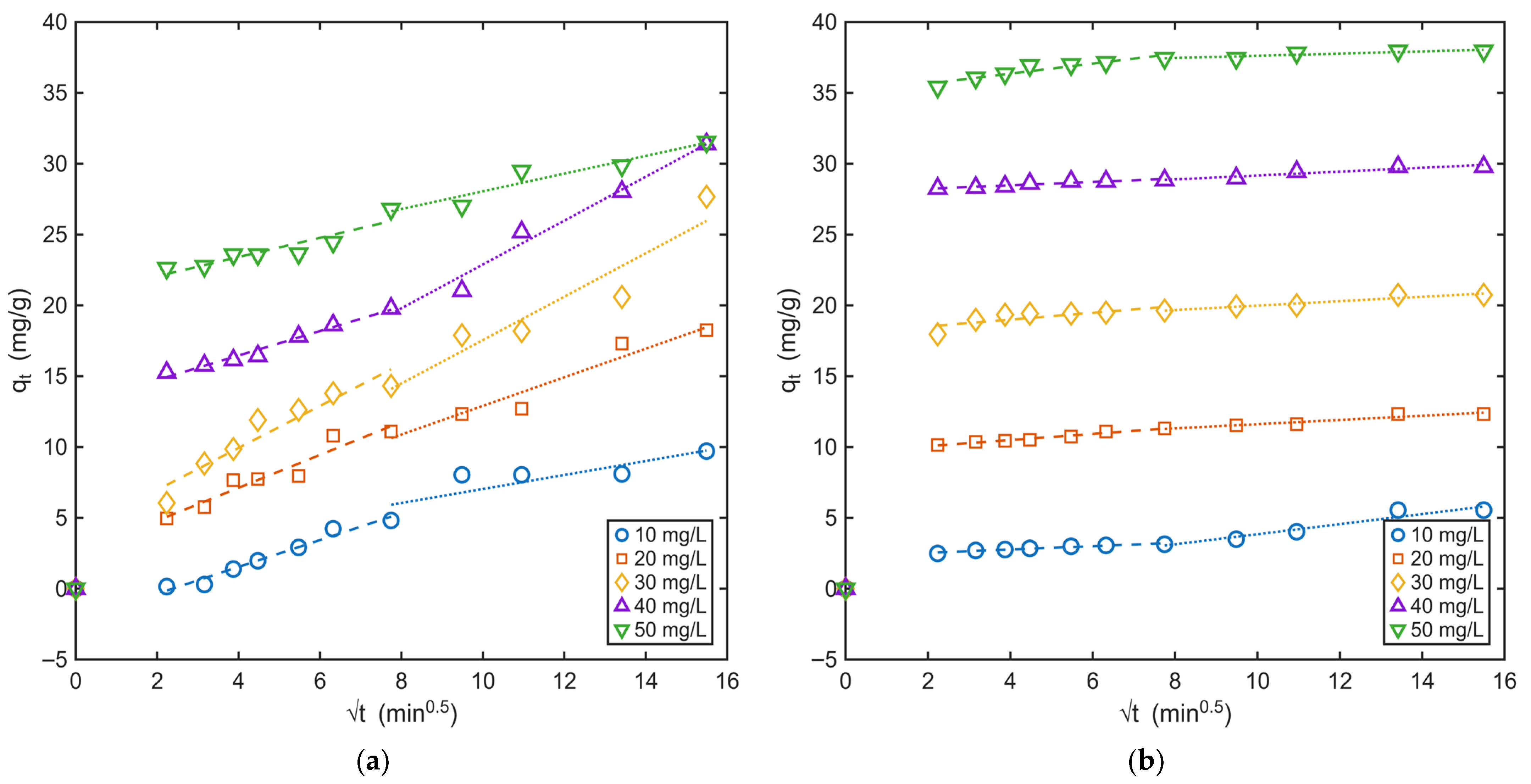
To further probe the diffusion mechanism, the intraparticle diffusion model (Weber–Morris) was applied. The plots of qt versus √t were multilinear as depicted in Figure 9, suggesting that the adsorption process proceeds via multiple stages, including initial boundary layer diffusion followed by slower intraparticle diffusion.
Figure 9.
Intra-particle diffusion kinetic model for (a) AC and (b) CHAC adsorbents at 30 °C with varying initial concentration of CIP, showing segmented phases and lines not through the origin.
The regression lines do not pass through the origin, indicating that intraparticle diffusion is not the sole rate-limiting step; rather, it likely occurs in conjunction with other mechanisms, such as external mass transfer and surface reaction. The observations recorded in Table 6 and Table 7 further validate the hypothesis of significant external film diffusion resistance, as evidenced by the negative y-intercept [72].
Table 6.
Intraparticle diffusion kinetic parameters for the adsorption of CIP onto AC at five different initial concentrations. Model parameters (intraparticle diffusion rate constant, kid, and intercept, C) were obtained from linear regression qt versus t1/2.
Table 7.
Intraparticle diffusion kinetic parameters for the adsorption of CIP onto CHAC at five different initial concentrations. Model parameters (intraparticle diffusion rate constant, kid, and intercept, C) were obtained from linear regression qt versus t1/2.
This complex kinetic behavior aligns with the heterogeneous nature of the AC and CHAC surface and the variable physicochemical properties of pharmaceutical pollutants [52,67]. The role of intraparticle diffusion emphasizes the importance of considering both surface interactions and porous structure characteristics when optimizing adsorption systems for the removal of pharmaceuticals. Comparable dual-mechanism behavior has been reported elsewhere, as noted by Adelodun et al. [73]. Chemically modified activated carbons exhibited kinetics best described by pseudo-second-order models, while isotherm and thermodynamic data indicated that physisorption dominated. Similarly, Giraldo et al. [74] found that surface oxidation increased adsorption capacity and affected kinetic fits, but the magnitudes of adsorption energies remained within the range typical of physisorption. This dual consideration is crucial for enhancing the efficacy of these systems in various environmental remediation applications.
3.9. Adsorption Thermodynamics
Thermodynamic evaluation of the adsorption process was conducted by estimating equilibrium constants at three different temperatures (30–50 °C and applying the Van’t Hoff equation. The results are presented in Table 8. The derived thermodynamic parameters indicated that the adsorption of CIP onto both AC and CHAC adsorbents is spontaneous and exothermic, as evidenced by the negative values of Gibbs free energy (ΔG°) across all temperatures and the negative enthalpy change (ΔH° = −23.1927 kJ/mol and −16.6238 kJ/mol, respectively).
Table 8.
Thermodynamic parameters for the adsorption of CIP on AC and CHAC at three different temperatures (303, 313, and 323 K). Enthalpy change, entropy change, and Gibbs energies were calculated.
Additionally, the positive entropy change (ΔS°) suggests increased disorder at the solid–solution interface, likely due to desolvation and restructuring of water molecules around the adsorbate and active sites. The magnitude and direction of these thermodynamic parameters agree with previous findings for pharmaceutical adsorption on carbonaceous materials [40,75], supporting a process dominated by π–π interactions and hydrogen bonding.
4. Conclusions
This study examines the effectiveness of commercial activated carbon and coconut husk activated carbon in removing the antibiotic ciprofloxacin from water. SEM analysis revealed increased porosity and surface heterogeneity after adsorption. Isotherm modeling showed that commercial activated carbon exhibited monolayer coverage, while coconut husk favored the Freundlich model. The Temkin and Dubinin–Radushkevich models indicated that the adsorption mechanism was primarily physical, influenced by surface heterogeneity. Thermodynamic assessments confirmed that the process is spontaneous and exothermic. The findings suggest that chemically modified biomass can serve as a cost-effective and sustainable adsorbent for water purification, comparable to commercial options. Future research should focus on pilot-scale applications and regeneration studies to explore the full potential of these alternative adsorbents.
Author Contributions
E.O.O. and M.A. (conceptualization). E.O.O. and M.A. (methodology and investigation). E.O.O. (formal analysis). M.A. (supervision). E.O.O. (data curation, visualization, writing—original draft). E.O.O. and M.A. (writing—review and editing). All authors have read and agreed to the published version of the manuscript.
Funding
This research received no external funding.
Data Availability Statement
The original contributions presented in this study are included in the article. Further inquiries can be directed to the corresponding author.
Conflicts of Interest
The authors declare no conflicts of interest.
References
- Rossolini, G.M.; Bochenska, M.; Fumagalli, L.; Dowzicky, M. Trends of major antimicrobial resistance phenotypes in enterobacterales and gram-negative non-fermenters from ATLAS and EARS-net surveillance systems: Italian vs. European and global data, 2008–2018. Diagn. Microbiol. Infect. Dis. 2021, 101, 115512. [Google Scholar] [CrossRef]
- Hutchings, M.I.; Truman, A.W.; Wilkinson, B. Antibiotics: Past, present and future. Curr. Opin. Microbiol. 2019, 51, 72–80. [Google Scholar] [CrossRef]
- Ishwarya, R.; Sivakumar, S.; Vaseeharan, B.; Elumalai, P. AMR in Freshwater and Marine Environments. In Antimicrobial Resistance in Aquaculture and Aquatic Environments; Elumalai, P., Lakshmi, S., Eds.; Springer: Singapore, 2025. [Google Scholar] [CrossRef]
- World Health Organization. Antimicrobial Resistance: Global Report on Surveillance; WHO: Geneva, Switzerland, 2024. [Google Scholar]
- Centers for Disease Control and Prevention. Antibiotic Resistance Threats in the United States, 2019; U.S. Department of Health and Human Services: Atlanta, GA, USA, 2019. [CrossRef]
- Jonas, O.B.; Irwin, A.; Berthe, F.C.J.; Le Gall, F.G.; Marquez, P.V. Drug-resistant infections: A threat to our economic future (Vol. 1 of 2): Executive summary (English). In HNP/Agriculture Global Antimicrobial Resistance Initiative; World Bank Group: Washington, DC, USA, 2017; Available online: http://documents.worldbank.org/curated/en/455311493396671601 (accessed on 2 July 2025).
- Cheng, S.; Zhang, R.; Liu, Q.; Shangwei, H.; Sun, J.; Xing, L. Occurrence, removal, and ecological risk of antibiotics and antibiotic resistance genes in township wastewater treatment plants in the upper reaches of the Yangtze River, China. Environ. Sci. Pollut. Res. 2025, 32, 1223–1235. [Google Scholar] [CrossRef]
- Osińska, A.; Korzeniewska, E.; Harnisz, M.; Felis, E.; Bajkacz, S.; Jachimowicz, P.; Niestępski, S.; Konopka, I. Small-scale wastewater treatment plants as a source of the dissemination of antibiotic resistance genes in the aquatic environment. J. Hazard. Mater. 2020, 381, 121221. [Google Scholar] [CrossRef]
- Brown, S.A. Fluoroquinolones in animal health. J. Vet. Pharmacol. Ther. 1996, 19, 1–14. [Google Scholar] [CrossRef]
- Zhou, T.; Zhang, Z.; Liu, H.; Dong, S.; Nghiem, L.D.; Gao, L.; Chaves, A.V.; Zamyadi, A.; Li, X.; Wang, Q. A review on microalgae-mediated biotechnology for removing pharmaceutical contaminants in aqueous environments: Occurrence, fate, and removal mechanism. J. Hazard. Mater. 2023, 443, 130213. [Google Scholar] [CrossRef] [PubMed]
- Bathula, S.; Thottathil, S.; Puttaiahgowda, Y.M. MOFs and MOF-Based Composites for the Adsorptive Removal of Ciprofloxacin. Macromol. Mater. Eng. 2025, 310, 2400238. [Google Scholar] [CrossRef]
- Gupta, S.P.; Samanta, S.K. Thermal activation of persulfate for degradation of ciprofloxacin in water: Mechanism, influencing factors and toxicity assessment. J. Water Process Eng. 2025, 72, 107646. [Google Scholar] [CrossRef]
- Sathyan, S.P.; Prathish, K.P.; Shende, A.D. Antibiotic residues in hospital effluents: Impacts and mitigation. In Sustainable Waste Management (Advances in Science, Technology & Innovation); Mandpe, A., Paliya, S., Shah, M.P., Eds.; Springer: Cham, Switzerland, 2025. [Google Scholar] [CrossRef]
- Hernandez Monroy, L.; Tavares, J.R.; Dumont, M. Photodegradation of ciprofloxacin using an alginate/TiO2 hydrogel for water remediation. J. Environ. Chem. Eng. 2025, 13, 115868. [Google Scholar] [CrossRef]
- Gothwal, R.; Shashidhar, T. Antibiotic Pollution in the Environment: A Review. CLEAN Soil Air Water 2015, 43, 479–489. [Google Scholar] [CrossRef]
- Rizzo, L.; Manaia, C.; Merlin, C.; Schwartz, T.; Dagot, C.; Ploy, M.; Michael, I.; Fatta-Kassinos, D. Urban wastewater treatment plants as hotspots for antibiotic resistant bacteria and genes spread into the environment: A review. Sci. Total Environ. 2013, 447, 345–360. [Google Scholar] [CrossRef]
- Chen, Y.; Tan, Y.; Wang, Y.; Ma, Y.; Li, P.; Du, Z.; Yang, L.; Wu, L.; Cui, S.; Ding, Y.; et al. Estimating Sources, Fluxes, and Ecological Risks of Antibiotics in the Wuhan Section of the Yangtze River, China: A Year-Long Investigation. Environ. Toxicol. Chem. 2023, 42, 605–619. [Google Scholar] [CrossRef]
- Vamsi, E.B.; Reshma, M.; Devatha, C.P. Adsorption of ciprofloxacin antibiotic using chitosan graphene oxide hybrid beads. Case Stud. Chem. Environ. Eng. 2024, 10, 100982. [Google Scholar] [CrossRef]
- Xu, L.; Zhang, H.; Xiong, P.; Zhu, Q.; Liao, C.; Jiang, G. Occurrence, fate, and risk assessment of typical tetracycline antibiotics in the aquatic environment: A review. Sci. Total Environ. 2021, 753, 141975. [Google Scholar] [CrossRef] [PubMed]
- Kenyon, C. Concentrations of Ciprofloxacin in the World’s Rivers Are Associated with the Prevalence of Fluoroquinolone Resistance in Escherichia coli: A Global Ecological Analysis. Antibiotics 2022, 11, 3. [Google Scholar] [CrossRef] [PubMed]
- Dey, P.; Parai, D.; Banerjee, M.; Hossain, S.T.; Mukherjee, S.K. Naringin sensitizes the antibiofilm effect of ciprofloxacin and tetracycline against Pseudomonas aeruginosa biofilm. Int. J. Med. Microbiol. 2020, 310, 151410. [Google Scholar] [CrossRef]
- Zhu, T.; Su, Z.; Lai, W.; Zhang, Y.; Liu, Y. Insights into the fate and removal of antibiotics and antibiotic resistance genes using biological wastewater treatment technology. Sci. Total Environ. 2021, 776, 145906. [Google Scholar] [CrossRef]
- Wu, C.; Ge, J.; Gu, F.; Bai, L. Electrochemical oxidation technique to pharmaceutical pollutants removal. Chemosphere 2023, 337, 139373. [Google Scholar] [CrossRef]
- Akbari Beni, F.; Gholami, A.; Ayati, A.; Niknam Shahrak, M.; Sillanpää, M. UV-Switchable Phosphotungstic Acid Sandwiched between ZIF-8 and Au Nanoparticles to Improve Simultaneous Adsorption and UV Light Photocatalysis toward Tetracycline Degradation. Microporous Mesoporous Mater. 2020, 303, 110275. [Google Scholar] [CrossRef]
- Sruthi, L.; Janani, B.; Sudheer Khan, S. Ibuprofen removal from aqueous solution via light-harvesting photocatalysis by nano-heterojunctions: A review. Sep. Purif. Technol. 2021, 279, 119709. [Google Scholar] [CrossRef]
- Duarte, E.D.; Oliveira, M.G.; Spaolonzi, M.P.; Costa, H.P.; Silva, M.G.S.T.; Vieira, M.G.A. Adsorption of pharmaceutical products from aqueous solutions on functionalized carbon nanotubes by conventional and green methods: A critical review. J. Clean. Prod. 2022, 372, 133743. [Google Scholar] [CrossRef]
- Yu, F.; Li, Y.; Han, S.; Ma, J. Adsorptive removal of antibiotics from aqueous solution using carbon materials. Chemosphere 2016, 153, 365–385. [Google Scholar] [CrossRef]
- Acero, J.L.; Benitez, F.J.; Real, F.J.; Teva, F. Removal of Emerging Contaminants from Secondary Effluents by Micellar-Enhanced Ultrafiltration. Sep. Purif. Technol. 2017, 181, 123–131. [Google Scholar] [CrossRef]
- Gu, Y.; Huang, J.; Zeng, G.; Shi, L.; Shi, Y.; Yi, K. Fate of pharmaceuticals during membrane bioreactor treatment: Status and perspectives. Bioresour. Technol. 2018, 268, 733–748. [Google Scholar] [CrossRef] [PubMed]
- Labuto, G.; Carvalho, A.P.; Mestre, A.S.; Dos Santos, M.S.; Modesto, H.R.; Martins, T.D.; Lemos, S.G.; Da Silva, H.D.; Carrilho, E.N.V.M.; Carvalho, W.A. Individual and competitive adsorption of ibuprofen and caffeine from primary sewage effluent by yeast-based activated carbon and magnetic carbon nanocomposite. Sustain. Chem. Pharm. 2022, 28, 100703. [Google Scholar] [CrossRef]
- Shahinpour, A.; Tanhaei, B.; Ayati, A.; Beiki, H.; Sillanpää, M. Binary dyes adsorption onto novel designed magnetic clay-biopolymer hydrogel involves characterization and adsorption performance: Kinetic, equilibrium, thermodynamic, and adsorption mechanism. J. Mol. Liq. 2022, 366, 120303. [Google Scholar] [CrossRef]
- Nguyen, H.T.T.; Nguyen, D.T.C.; Dao, T.T. Characterization and ciprofloxacin adsorption properties of activated carbons prepared from various agricultural wastes by KOH activation. Cellul. Chem. Technol. 2020, 54, 673–686. [Google Scholar] [CrossRef]
- Bednárek, J.; Matějová, L.; Koutník, I.; Vráblová, M.; Cruz, G.J.F.; Strašák, T.; Šiler, P.; Hrbáč, J. Revelation of high-adsorption-performance activated carbon for removal of fluoroquinolone antibiotics from water. Biomass Convers. Biorefinery 2024, 14, 2585–2599. [Google Scholar] [CrossRef]
- Gotore, O.; Itayama, T.; Dang, B.; Nguyen, T.; Ramaraj, R.; Osamu, N.; Shuji, T.; Maseda, H. Adsorption analysis of ciprofloxacin and delafloxacin onto the corn cob derived-biochar under different pyrolysis conditions. Biomass Convers. Biorefinery 2024, 14, 10373–10388. [Google Scholar] [CrossRef]
- Meseguer, V.F.; Ortuño, J.F.; Aguilar, M.I.; Lloréns, M.; Belén, A.; Fuentes, E. Ciprofloxacin Uptake from an Aqueous Solution via Adsorption with K2CO3-Activated Biochar Derived from Brewing Industry Bagasse. Processes 2024, 12, 199. [Google Scholar] [CrossRef]
- Silori, R.; Zang, J.; Raval, N.P.; Giri, B.S.; Mahlknecht, J.; Mora, A.; Dueñas-Moreno, J.; Tauseef, S.M.; Kumar, M. Adsorptive removal of ciprofloxacin and sulfamethoxazole from aqueous matrices using sawdust and plastic waste-derived biochar: A sustainable fight against antibiotic resistance. Bioresour. Technol. 2023, 387, 129537. [Google Scholar] [CrossRef]
- Hamadeen, H.M.; Elkhatib, E.A. New nanostructured activated biochar for effective removal of antibiotic ciprofloxacin from wastewater: Adsorption dynamics and mechanisms. Environ. Res. 2022, 210, 112929. [Google Scholar] [CrossRef]
- Al-Jubouri, S.M.; Al-Jendeel, H.A.; Rashid, S.A.; Al-Batty, S. Antibiotics Adsorption from Contaminated Water by Composites of ZSM-5 Zeolite Nanocrystals Coated Carbon. J. Water Process Eng. 2022, 47, 102745. [Google Scholar] [CrossRef]
- Idrees, I.; Zafar, M.; Umer, M.A.; Rehman, F.; Razzaq, A.; Kim, S.; Yang, Y.; Kim, W.Y. Silver (Ag) doped graphitic carbon nitride (g-C3N4)/biochar composite photocatalyst for improved photocatalytic degradation of ciprofloxacin (CIP). Results Phys. 2025, 68, 108071. [Google Scholar] [CrossRef]
- Chauhan, S.; Shafi, T.; Dubey, B.K.; Chowdhury, S. Biochar-mediated removal of pharmaceutical compounds from aqueous matrices via adsorption. Waste Dispos. Sustain. Energy 2023, 5, 37. [Google Scholar] [CrossRef] [PubMed]
- Chakraborty, P.; Show, S.; Ur Rahman, W.; Halder, G. Linearity and non-linearity analysis of isotherms and kinetics for ibuprofen remotion using superheated steam and acid modified biochar. Process Saf. Environ. Prot. 2019, 126, 193–204. [Google Scholar] [CrossRef]
- Das, P.; Banerjee, P.; Rathour, R.; Misra, R. Assessment on linear and non-linear analysis for the estimation of pseudo-second-order kinetic parameters for removal of dye using graphene nanosheet. Desalination Water Treat. 2015, 56, 502–508. [Google Scholar] [CrossRef]
- Langmuir, I. The constitution and fundamental properties of solids and liquids. Part I. Solids. J. Am. Chem. Soc. 1916, 38, 2221–2295. [Google Scholar] [CrossRef]
- Freundlich, H.M.F. Over the adsorption in solution. J. Phys. Chem. 1906, 57, 1100–1107. [Google Scholar]
- Temkin, M.I. Kinetics of ammonia synthesis on promoted iron catalysts. Acta Physiochim. URSS 1940, 12, 327–356. [Google Scholar]
- Dubinin, M.M.; Radushkevich, L.V. The Equation of the Characteristic Curve of Activated Charcoal. Proc. Acad. Sci. Phys. Chem. Sect. 1947, 55, 331–333. [Google Scholar]
- Sips, R. On the structure of a catalyst surface. J. Chem. Phys. 1948, 16, 490. [Google Scholar] [CrossRef]
- Corbett, J.F. Pseudo first-order kinetics. J. Chem. Educ. 1972, 49, 663. [Google Scholar] [CrossRef]
- Ho, Y.; McKay, G. Pseudo-second order model for sorption processes. Process Biochem. 1999, 34, 451–465. [Google Scholar] [CrossRef]
- Chien, S.H.; Clayton, W.R. Application of Elovich Equation to the Kinetics of Phosphate Release and Sorption in Soils. Soil Sci. Soc. Am. J. 1980, 44, 265–268. [Google Scholar] [CrossRef]
- Weber, W.J., Jr.; Morris, J.C. Kinetics of adsorption on carbon from solution. J. Sanit. Eng. Div. 1963, 89, 31–59. [Google Scholar] [CrossRef]
- Seymen, S.T.; Eroğlu, H.A.; Kadıoğlu, E.N.; Umar, M.; Hamid, A.; Khan, H.; Hussain, S.; Akbal, F. Comprehensive study on efficient diclofenac sodium removal using walnut and pistachio shell activated carbon: ANN, kinetics, isotherms, thermodynamics and DFT calculations. Biomass Bioenergy 2025, 202, 108216. [Google Scholar] [CrossRef]
- Zafar, F.F.; Barati, B.; Sanaei, D.; Yousefzadeh, S.; Ahmadi, E.; Ansari, M.; Ghalhari, M.R.; Rasoulzadeh, H.; Zheng, X.; Wang, S.; et al. Application of Agricultural Waste-Based Activated Carbon for Antibiotic Removal in Wastewaters: A Comprehensive Review. Water 2025, 17, 1190. [Google Scholar] [CrossRef]
- Yu, Z.; Peldszus, S.; Huck, P.M. Adsorption characteristics of selected pharmaceuticals and an endocrine disrupting compound—Naproxen, carbamazepine, and nonylphenol—On activated carbon. Water Res. 2008, 42, 2873–2882. [Google Scholar] [CrossRef] [PubMed]
- Xue, Y.; Guo, Y.; Zhang, X.; Kamali, M.; MAminabhavi, T.; Appels, L.; Dewil, R. Efficient adsorptive removal of ciprofloxacin and carbamazepine using modified pinewood biochar—A kinetic, mechanistic study. Chem. Eng. J. 2022, 450, 137896. [Google Scholar] [CrossRef]
- Całus-Makowska, K.; Grosser, A.; Grobelak, A.; Białek, H.; Siedlecka, E. Kinetic study of the simultaneous removal of ibuprofen, carbamazepine, sulfamethoxazole, and diclofenac from water using biochar and activated carbon adsorption, and TiO2 photocatalysis. Desalination Water Treat. 2024, 320, 100817. [Google Scholar] [CrossRef]
- Varga, M.; ELAbadsa, M.; Tatár, E.; Mihucz, V.G. Removal of selected pharmaceuticals from aqueous matrices with activated carbon under batch conditions. Microchem. J. 2019, 148, 661–672. [Google Scholar] [CrossRef]
- Appa, R.; Mhaisalkar, V.A.; Naoghare, P.K.; Lataye, D. Adsorption of an Emerging Contaminant (Primidone) onto Activated Carbon: Kinetic, Equilibrium, Thermodynamic, and Optimization Studies. Environ. Monit. Assess. 2019, 191, 215. [Google Scholar] [CrossRef]
- Lin, L.; Jiang, W.; Xu, P. Comparative study on pharmaceuticals adsorption in reclaimed water desalination concentrate using biochar: Impact of salts and organic matter. Sci. Total Environ. 2017, 601–602, 857–864. [Google Scholar] [CrossRef]
- Varela, C.F.; Moreno-Aldana, L.; Agámez-Pertuz, Y.Y. Adsorption of pharmaceutical pollutants on ZnCl2-activated biochar from corn cob: Efficiency, selectivity and mechanism. J. Bioresour. Bioprod. 2024, 9, 58–73. [Google Scholar] [CrossRef]
- Ajala, O.A.; Akinnawo, S.O.; Bamisaye, A.; Adedipe, D.T.; Adesina, M.O.; Okon-Akan, O.A.; Adebusuyi, T.A.; Ojedokun, A.T.; Adegoke, K.A.; Bello, O.S. Adsorptive Removal of Antibiotic Pollutants from Wastewater Using Biomass/Biochar-Based Adsorbents. RSC Adv. 2023, 13, 4678–4693. [Google Scholar] [CrossRef] [PubMed]
- Nie, W.; Che, Q.; Chen, D.; Cao, H.; Deng, Y. Comparative Study for Propranolol Adsorption on the Biochars from Different Agricultural Solid Wastes. Materials 2024, 17, 2793. [Google Scholar] [CrossRef]
- Al-Ghouti, M.; Khraisheh, M.; Ahmad, M.; Allen, S. Thermodynamic Behaviour and the Effect of Temperature on the Removal of Dyes from Aqueous Solution Using Modified Diatomite: A Kinetic Study. J. Colloid Interface Sci. 2005, 287, 6–13. [Google Scholar] [CrossRef]
- Peiris, C.; Gunatilake, S.R.; Mlsna, T.E.; Mohan, D.; Vithanage, M. Biochar based removal of antibiotic sulfonamides and tetracyclines in aquatic environments: A critical review. Bioresour. Technol. 2017, 246, 150–159. [Google Scholar] [CrossRef]
- Allahkarami, E.; Dehghan Monfared, A.; Silva, L.F.; Dotto, G.L. Toward a Mechanistic Understanding of Adsorption Behavior of Phenol onto a Novel Activated Carbon Composite. Sci. Rep. 2023, 13, 27507. [Google Scholar] [CrossRef] [PubMed]
- Hu, Q.; Zhang, Z. Application of the Dubinin-Radushkevich isotherm model at the solid/solution interface: A theoretical analysis. J. Mol. Liq. 2019, 277, 646–648. [Google Scholar] [CrossRef]
- Zubair, M.; Aziz, H.A.; Ihsanullah, I.; Ahmad, M.A.; Al-Harthi, M.A. Engineered biochar supported layered double hydroxide-cellulose nanocrystals composite-: Synthesis, characterization and azo dye removal performance. Chemosphere 2022, 307, 136054. [Google Scholar] [CrossRef]
- Cui, Q.; Huang, Y.; Ma, X.; Li, S.; Bai, R.; Li, H.; Liu, W.; Wei, H. Research on the Adsorption Mechanism and Performance of Cotton Stalk-Based Biochar. Molecules 2024, 29, 5841. [Google Scholar] [CrossRef] [PubMed]
- Alawa, B.; Singh, S.; Chakma, S.; Kishor, R.; Stålsby Lundborg, C.; Diwan, V. Development of Novel Biochar Adsorbent Using Agricultural Waste Biomass for Enhanced Removal of Ciprofloxacin from Water: Insights into the Isotherm, Kinetics, and Thermodynamic Analysis. Chemosphere 2025, 375, 144252. [Google Scholar] [CrossRef]
- Tan, I.; Ahmad, A.; Hameed, B. Adsorption isotherms, kinetics, thermodynamics and desorption studies of 2,4,6-trichlorophenol on oil palm empty fruit bunch-based activated carbon. J. Hazard. Mater. 2009, 164, 473–482. [Google Scholar] [CrossRef]
- Omenat-Morán, D.; Durán-Valle, C.J.; Martínez-Cañas, M.A. Kinetic and Mechanistic Analysis of Phenol Adsorption on Activated Carbons from Kenaf. Molecules 2024, 29, 4941. [Google Scholar] [CrossRef] [PubMed]
- Alakhras, F.; Bel Hadj Hmida, E.S.; Anastopoulos, I.; Trabelsi, Z.; Mabrouk, W.; Ouerfelli, N.; Fauvarque, J.F. Diffusion Analysis and Modeling of Kinetic Behavior for Treatment of Brine Water Using Electrodialysis Process. Water Sci. Eng. 2021, 14, 36–45. [Google Scholar] [CrossRef]
- Adelodun, A.A.; Ngila, J.C.; Kim, D.G.; Jo, Y.M. Isotherm, Thermodynamic and Kinetic Studies of Selective CO2 Adsorption on Chemically Modified Carbon Surfaces. Aerosol Air Qual. Res. 2016, 16, 3312–3329. [Google Scholar] [CrossRef]
- Giraldo, L.; Vargas, D.P.; Carlos, J. Study of CO2 Adsorption on Chemically Modified Activated Carbon With Nitric Acid and Ammonium Aqueous. Front. Chem. 2020, 8, 543452. [Google Scholar] [CrossRef]
- Martins, A.C.; Pezoti, O.; Cazetta, A.L.; Bedin, K.C.; Yamazaki, D.A.; Bandoch, G.F.; Asefa, T.; Visentainer, J.V.; Almeida, V.C. Removal of tetracycline by NaOH-activated carbon produced from macadamia nut shells: Kinetic and equilibrium studies. Chem. Eng. J. 2015, 260, 291–299. [Google Scholar] [CrossRef]
Disclaimer/Publisher’s Note: The statements, opinions and data contained in all publications are solely those of the individual author(s) and contributor(s) and not of MDPI and/or the editor(s). MDPI and/or the editor(s) disclaim responsibility for any injury to people or property resulting from any ideas, methods, instructions or products referred to in the content. |
© 2025 by the authors. Licensee MDPI, Basel, Switzerland. This article is an open access article distributed under the terms and conditions of the Creative Commons Attribution (CC BY) license (https://creativecommons.org/licenses/by/4.0/).








