Previous Issue
Volume 9, September
 
 

Drones, Volume 9, Issue 10 (October 2025) – 57 articles

  • Issues are regarded as officially published after their release is announced to the table of contents alert mailing list.
  • You may sign up for e-mail alerts to receive table of contents of newly released issues.
  • PDF is the official format for papers published in both, html and pdf forms. To view the papers in pdf format, click on the "PDF Full-text" link, and use the free Adobe Reader to open them.
Order results
Result details
Section
Select all
Export citation of selected articles as:
20 pages, 960 KB  
Article
A Machine Learning-Based Hybrid Approach for Safeguarding VLC-Enabled Drone Systems
by Ge Shi, Hongyang Zhou, Huixin Wu, Fupeng Wei and Wei Cheng
Drones 2025, 9(10), 721; https://doi.org/10.3390/drones9100721 (registering DOI) - 16 Oct 2025
Abstract
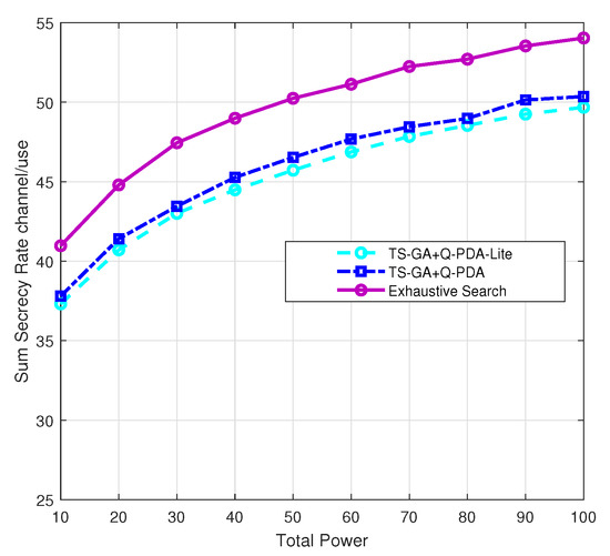
This paper explores the physical layer security performance of collaborative drone fleets enabled by visible light communication (VLC) in a multi-eavesdropper scenario, where multiple drones leverage VLC to serve terrestrial users. To strengthen system security, we formulate a sum worst-case secrecy rate maximization [...] Read more.
This paper explores the physical layer security performance of collaborative drone fleets enabled by visible light communication (VLC) in a multi-eavesdropper scenario, where multiple drones leverage VLC to serve terrestrial users. To strengthen system security, we formulate a sum worst-case secrecy rate maximization problem. To address the non-convex optimization challenge of this problem, we develop two innovative Q-learning-based position decision algorithms (Q-PDA and Q-PDA-lite) with a dynamic reward mechanism, allowing drones to adaptively optimize their positions. Additionally, we propose an enhanced Tabu Search-based grouping algorithm (TS-GA) to establish the suboptimal user equipment (UE)–drone association by balancing candidate solution exploration and tabu constraint exploitation. Simulation results demonstrate that the proposed Q-PDA and Q-PDA-lite achieve worst-case secrecy rates significantly exceeding those of Random-PDA and K-means-PDA. While Q-PDA-lite exhibits 2% lower performance than Q-PDA, it offers reduced complexity. Additionally, the proposed TS-GA achieves a worst-case secrecy rate that substantially outperforms random grouping, UE-channel-gain-based grouping, and channel-gain-based grouping. Collectively, the hybrid approach integrating Q-PDA and TS-GA achieves 10% near-global optimality with guaranteed convergence, while preserving computational efficiency. Furthermore, this hybrid approach outperforms other combinations in terms of security metrics. Full article
38 pages, 34977 KB  
Article
Flight-Parameter-Based Motion Vector Prediction for Drone Video Compression
by Altuğ Şimşek, Ahmet Öncü and Günhan Dündar
Drones 2025, 9(10), 720; https://doi.org/10.3390/drones9100720 (registering DOI) - 16 Oct 2025
Abstract
Block-based hybrid video coders typically use inter-prediction and bidirectionally coded (B) frames to improve compression efficiency. For this purpose, they employ look-ahead buffers, perform out-of-sequence frame coding, and implement similarity search-based general-purpose algorithms for motion estimation. While effective, these methods increase computational complexity [...] Read more.
Block-based hybrid video coders typically use inter-prediction and bidirectionally coded (B) frames to improve compression efficiency. For this purpose, they employ look-ahead buffers, perform out-of-sequence frame coding, and implement similarity search-based general-purpose algorithms for motion estimation. While effective, these methods increase computational complexity and may not suit delay-sensitive practical applications such as real-time drone video transmission. If future motion can be predicted from external metadata, encoding can be optimized with lower complexity. In this study, a mathematical model for predicting motion vectors in drone video using only flight parameters is proposed. A remote-controlled drone with a fixed downward-facing camera recorded 4K video at 50 fps during autonomous flights over a marked terrain. Four flight parameters were varied independently, altitude, horizontal speed, vertical speed, and rotational rate. OpenCV was used to detect ground markers and compute motion vectors for temporal distances of 5 and 25 frames. Polynomial surface fitting was applied to derive motion models for translational, rotational, and elevational motion, which were later combined. The model was validated using complex motion scenarios (e.g., circular, ramp, helix), yielding worst-case prediction errors of approximately −1 ± 3 and −6 ± 14 pixels at 5 and 25 frames, respectively. The results suggest that flight-aware modeling enables accurate and low-complexity motion vector prediction for drone video coding. Full article
23 pages, 12369 KB  
Article
Dual-Objective Model Predictive Control for Longitudinal Tracking and Connectivity-Aware Trajectory Optimization of Fixed-Wing UAVs
by Abdurrahman Talha Yildiz and Kemal Keskin
Drones 2025, 9(10), 719; https://doi.org/10.3390/drones9100719 (registering DOI) - 16 Oct 2025
Abstract
This paper presents a dual-objective Model Predictive Control (MPC) framework for fixed-wing unmanned aerial vehicles (UAVs). The framework was designed with two goals in mind: improving longitudinal motion control and optimizing the flight trajectory when connectivity and no-fly zone constraints are present. A [...] Read more.
This paper presents a dual-objective Model Predictive Control (MPC) framework for fixed-wing unmanned aerial vehicles (UAVs). The framework was designed with two goals in mind: improving longitudinal motion control and optimizing the flight trajectory when connectivity and no-fly zone constraints are present. A multi-input–multi-output model derived from NASA’s Generic Transport Model (T-2) was used and linearized for controller design. We compared the MPC controller with a Linear Quadratic Regulator (LQR) in MATLAB simulations. The results showed that MPC reached the reference values faster, with less overshoot and phase error, particularly under sinusoidal reference inputs. These differences became even more evident when the UAV had to fly in windy conditions. Trajectory optimization was carried out using the CasADi framework, which allowed us to evaluate paths that balance two competing requirements: reaching the target quickly and maintaining cellular connectivity. We observed that changing the weights of the cost function had a strong influence on the trade-off between direct flight and reliable communication, especially when multiple base stations and no-fly zones were included. Although the study was limited to simulations at constant altitude, the results suggest that MPC can serve as a practical tool for UAV missions that demand both accurate flight control and robust connectivity. Future work will extend the framework to more complete models and experimental validation. Full article
(This article belongs to the Special Issue Path Planning, Trajectory Tracking and Guidance for UAVs: 3rd Edition)
16 pages, 1850 KB  
Article
Rapid Optimal Matching Design of Heterogeneous Propeller Propulsion Systems for High-Altitude Unmanned Airships
by Miao Zhang, Xiangyu Wang, Zhiwei Zhang, Bo Wang, Junjie Cheng and Jian Zhang
Drones 2025, 9(10), 718; https://doi.org/10.3390/drones9100718 (registering DOI) - 16 Oct 2025
Abstract
In order to enhance the wind-resistance capability and achieve a lightweight design of high-altitude unmanned airships, this study proposes a rapid optimization method for a heterogeneous propeller propulsion system. This system integrates contra-rotating and ducted propellers to exploit their respective aerodynamic advantages. First, [...] Read more.
In order to enhance the wind-resistance capability and achieve a lightweight design of high-altitude unmanned airships, this study proposes a rapid optimization method for a heterogeneous propeller propulsion system. This system integrates contra-rotating and ducted propellers to exploit their respective aerodynamic advantages. First, surrogate models of the contra-rotating propeller, contra-rotating motor, ducted propeller, and ducted motor were constructed using an optimal Latin hypercube sampling method based on the max–min criterion. Then, within the optimization framework, propeller–motor matching principles and energy balance constraints were incorporated to minimize the total weight of the propulsion and energy systems. A case study on a conventional high-altitude unmanned airship demonstrates that, under the same wind-resistance capability, the adoption of the heterogeneous propeller electric propulsion system reduces the total propulsion-and-energy system weight by 24.94%. This method integrates the advantages of contra-rotating and ducted propellers, thereby overcoming the limitations of conventional propulsion architectures. It provides a new approach for designing lightweight, efficient, and long-endurance propulsion systems for near-space high-altitude platforms. Full article
(This article belongs to the Special Issue Design and Flight Control of Low-Speed Near-Space Unmanned Systems)
Show Figures

Figure 1

25 pages, 2877 KB  
Article
Integration of Field Data and UAV Imagery for Coffee Yield Modeling Using Machine Learning
by Sthéfany Airane dos Santos Silva, Gabriel Araújo e Silva Ferraz, Vanessa Castro Figueiredo, Margarete Marin Lordelo Volpato, Danton Diego Ferreira, Marley Lamounier Machado, Fernando Elias de Melo Borges and Leonardo Conti
Drones 2025, 9(10), 717; https://doi.org/10.3390/drones9100717 (registering DOI) - 16 Oct 2025
Abstract
The integration of machine learning (ML) techniques with unmanned aerial vehicle (UAV) imagery holds strong potential for improving yield prediction in agriculture. However, few studies have combined biophysical field variables with UAV-derived spectral data, particularly under conditions of limited sample size. This study [...] Read more.
The integration of machine learning (ML) techniques with unmanned aerial vehicle (UAV) imagery holds strong potential for improving yield prediction in agriculture. However, few studies have combined biophysical field variables with UAV-derived spectral data, particularly under conditions of limited sample size. This study evaluated the performance of different ML algorithms in predicting Arabica coffee (Coffea arabica) yield using field-based biophysical measurements and spectral variables extracted from multispectral UAV imagery. The research was conducted over two crop seasons (2020/2021 and 2021/2022) in a 1.2-hectare experimental plot in southeastern Brazil. Three modeling scenarios were tested with Random Forest, Gradient Boosting, K-Nearest Neighbors, Multilayer Perceptron, and Decision Tree algorithms, using Leave-One-Out cross-validation. Results varied considerably across seasons and scenarios. KNN performed best with raw data, while Gradient Boosting was more stable after variable selection and synthetic data augmentation with SMOTE. Nevertheless, limitations such as small sample size, seasonal variability, and overfitting, particularly with synthetic data, affected overall performance. Despite these challenges, this study demonstrates that integrating UAV-derived spectral data with ML can support yield estimation, especially when variable selection and phenological context are carefully addressed. Full article
Show Figures

Figure 1

24 pages, 13118 KB  
Article
A Workflow for Urban Heritage Digitization: From UAV Photogrammetry to Immersive VR Interaction with Multi-Layer Evaluation
by Chengyun Zhang, Guiye Lin, Yuyang Peng and Yingwen Yu
Drones 2025, 9(10), 716; https://doi.org/10.3390/drones9100716 (registering DOI) - 16 Oct 2025
Abstract
Urban heritage documentation often separates 3D data acquisition from immersive interaction, limiting both accuracy and user impact. This study develops and validates an end-to-end workflow that integrates UAV photogrammetry with terrestrial LiDAR and deploys the fused model in a VR environment. Applied to [...] Read more.
Urban heritage documentation often separates 3D data acquisition from immersive interaction, limiting both accuracy and user impact. This study develops and validates an end-to-end workflow that integrates UAV photogrammetry with terrestrial LiDAR and deploys the fused model in a VR environment. Applied to Piazza Vittorio Emanuele II in Rovigo, Italy, the approach achieves centimetre-level registration, completes roofs and upper façades that ground scanning alone cannot capture, and produces stable, high-fidelity assets suitable for real-time interaction. Effectiveness is assessed through a three-layer evaluation framework encompassing vision, behavior, and cognition. Eye-tracking heatmaps and scanpaths show that attention shifts from dispersed viewing to concentrated focus on landmarks and panels. Locomotion traces reveal a transition from diffuse roaming to edge-anchored strategies, with stronger reliance on low-visibility zones for spatial judgment. Post-VR interviews confirm improved spatial comprehension, stronger recognition of cultural values, and enhanced conservation intentions. The results demonstrate that UAV-enabled completeness directly influences how users perceive, navigate, and interpret heritage spaces in VR. The workflow is cost-effective, replicable, and transferable, offering a practical model for under-resourced heritage sites. More broadly, it provides a methodological template for linking drone-based data acquisition to measurable cognitive and cultural outcomes in immersive heritage applications. Full article
(This article belongs to the Special Issue Implementation of UAV Systems for Cultural Heritage)
Show Figures

Figure 1

38 pages, 72154 KB  
Article
Dynamic Self-Triggered Fuzzy Formation Control for UAV Swarm with Prescribed-Time Convergence
by Jianhua Lu, Zehao Yuan and Ning Wang
Drones 2025, 9(10), 715; https://doi.org/10.3390/drones9100715 (registering DOI) - 15 Oct 2025
Abstract
This study focuses on the cooperative formation control problem of six-degree-of-freedom (6-DOF) fixed-wing unmanned aerial vehicles (UAVs) under constraints of limited communication resources and strict time requirements. The core innovation of the proposed framework lies in the deep integration of a dynamic self-triggered [...] Read more.
This study focuses on the cooperative formation control problem of six-degree-of-freedom (6-DOF) fixed-wing unmanned aerial vehicles (UAVs) under constraints of limited communication resources and strict time requirements. The core innovation of the proposed framework lies in the deep integration of a dynamic self-triggered communication mechanism (DSTCM) with a prescribed-time control strategy. Furthermore, a fuzzy control strategy is designed to effectively suppress system disturbances, enhancing the robustness of the formation. The designed DSTCM not only retains the adaptive triggering threshold characteristic of dynamic event-triggered communication, significantly reducing communication frequency, but also completely eliminates the need for continuous state monitoring required by traditional event-triggered mechanisms. As a result, both communication and onboard computational resources are effectively conserved. In parallel, a novel time-varying unilateral constrained performance function is introduced to construct a prescribed-time controller, which guarantees that the formation tracking error converges to a predefined residual set within a user-specified time. The convergence process is independent of initial conditions and strictly adheres to full-state constraints. A rigorous Lyapunov-based stability analysis demonstrates that all signals in the closed-loop UAV velocity and attitude system are semi-globally uniformly ultimately bounded (SGUUB). Furthermore, the proposed DSTCM ensures the existence of a strictly positive lower bound on the inter-event triggering intervals of the UAVs, thereby avoiding the occurrence of Zeno behavior. Numerical simulation results are provided to verify the effectiveness and superiority of the proposed control scheme. Full article
(This article belongs to the Section Artificial Intelligence in Drones (AID))
Show Figures

Figure 1

29 pages, 7541 KB  
Article
An Underwater Salvage Robot for Retrieving Foreign Objects in Nuclear Reactor Pools
by Ming Zhong, Zihan Gao, Zhengxiong Mao, Ruifei Lyu and Yaxin Liu
Drones 2025, 9(10), 714; https://doi.org/10.3390/drones9100714 - 15 Oct 2025
Abstract
In this paper, an underwater salvage robot is developed to retrieve foreign objects scattered in nuclear reactor pools. The robot mainly consists of an ROV platform and a 3-DOF Delta robotic arm. Utilizing fused IMU and LED beacon visual data for localization, it [...] Read more.
In this paper, an underwater salvage robot is developed to retrieve foreign objects scattered in nuclear reactor pools. The robot mainly consists of an ROV platform and a 3-DOF Delta robotic arm. Utilizing fused IMU and LED beacon visual data for localization, it achieves pool traversal via six dynamically controlled thrusters. An improved YOLOv8s algorithm is employed to identify foreign objects in underwater environments. During traversal, the robot identifies and retrieves foreign objects along the way. The prototype of the robot was subjected to a series of experiments in an indoor pool. Results show that the improved YOLOv8 algorithm achieves 92.2% mAP, surpassing the original YOLOv8s and Faster-RCNN by 3.7 and 3.3 percentage points, respectively. The robot achieved a foreign-object identification rate of 95.42% and a retrieval success rate of 90.64% under dynamic traversal conditions, indicating that it meets the operational requirements and has significant engineering application value. Full article
Show Figures

Figure 1

3 pages, 755 KB  
Correction
Correction: Liu et al. UAV Path Planning in Threat Environment: A*-APF Algorithm for Spatio-Temporal Grid Optimization. Drones 2025, 9, 661
by Longhao Liu, Le Ru, Wenfei Wang, Hailong Xi, Rui Zhu, Shiliang Li and Zhenghao Zhang
Drones 2025, 9(10), 713; https://doi.org/10.3390/drones9100713 - 15 Oct 2025
Abstract
Error in Figure/Table [...] Full article
Show Figures

Figure 2

18 pages, 9205 KB  
Article
Investigation of Aerodynamic Interference Between Vertically Aligned Quadcopters at Varying Rotor Speeds and Separations
by Khan Muhammad Arslan, Liangyu Zhao and Kuiju Xue
Drones 2025, 9(10), 712; https://doi.org/10.3390/drones9100712 - 15 Oct 2025
Abstract
With the rapid proliferation of drone applications, multi-UAV formation flights are becoming increasingly prevalent. While most existing studies focus on the aerodynamics of a single drone, aerodynamic interactions within UAV formations—particularly in close-proximity hovering configurations—remain inadequately understood. This study employs computational fluid dynamics [...] Read more.
With the rapid proliferation of drone applications, multi-UAV formation flights are becoming increasingly prevalent. While most existing studies focus on the aerodynamics of a single drone, aerodynamic interactions within UAV formations—particularly in close-proximity hovering configurations—remain inadequately understood. This study employs computational fluid dynamics simulations to investigate the aerodynamic interactions between two hovering quadcopters at vertical distances of 1 m and 0.5 m, operating under different RPMs. The results indicate that, when the two quadrotors are spaced 1 m apart, increasing RPM enhances the downward airflow from the upper quadcopter, which benefits the lower quadcopter. When the vertical spacing is reduced to 0.5 m, the aerodynamic interaction between the UAVs becomes more pronounced. This configuration can be advantageous if the drones remain perfectly aligned at lower RPMs. However, at higher RPMs, especially above 5000, the intensified vortices disturb the lower UAV, causing destabilization. Additionally, the reduced spacing amplifies the downwash effect, increasing the risk of collisions and loss of control. This work highlights the importance of managing the spacing and RPMs of drone pairs to optimize performance and ensure stability in multiple drone formations. Full article
Show Figures

Figure 1

28 pages, 3488 KB  
Article
A Cooperative Longitudinal-Lateral Platoon Control Framework with Dynamic Lane Management for Unmanned Ground Vehicles Based on A Dual-Stage Multi-Objective MPC Approach
by Shunchao Wang, Zhigang Wu and Yonghui Su
Drones 2025, 9(10), 711; https://doi.org/10.3390/drones9100711 - 14 Oct 2025
Abstract
Cooperative longitudinal–lateral trajectory optimization is essential for unmanned ground vehicle (UGV) platoons to improve safety, capacity, and efficiency. However, existing approaches often face unstable formation under low penetration rates and rely on fragmented control strategies. This study develops a cooperative longitudinal–lateral trajectory tracking [...] Read more.
Cooperative longitudinal–lateral trajectory optimization is essential for unmanned ground vehicle (UGV) platoons to improve safety, capacity, and efficiency. However, existing approaches often face unstable formation under low penetration rates and rely on fragmented control strategies. This study develops a cooperative longitudinal–lateral trajectory tracking framework tailored for UGV platooning, embedded in a hierarchical control architecture. Dual-stage multi-objective Model Predictive Control (MPC) is proposed, decomposing trajectory planning into pursuit and platooning phases. Each stage employs adaptive weighting to balance platoon efficiency and traffic performance across varying operating conditions. Furthermore, a traffic-aware organizational module is designed to enable the dynamic opening of UGV-dedicated lanes, ensuring that platoon formation remains compatible with overall traffic flow. Simulation results demonstrate that the adaptive weighting strategy reduces the platoon formation time by 41.6% with only a 1.29% reduction in the average traffic speed. In addition, the dynamic lane management mechanism yields longer and more stable UGV platoons under different penetration levels, particularly in high-flow environments. The proposed cooperative framework provides a scalable solution for advancing UGV platoon control and demonstrates the potential of unmanned systems in future intelligent transportation applications. Full article
(This article belongs to the Section Innovative Urban Mobility)
Show Figures

Figure 1

19 pages, 1196 KB  
Article
Fixed-Time Formation Control for MAV/UAVs with Switching Threshold Event-Triggered Strategy
by Xueyan Han, Maolong Lv, Di Shen, Yuyuan Shi, Boyang Zhang and Peng Yu
Drones 2025, 9(10), 710; https://doi.org/10.3390/drones9100710 - 14 Oct 2025
Abstract
The cooperative flight of manned and unmanned aerial vehicles (MAV/UAVs) has recently become a focus in the research of civilian and humanitarian fields, in which formation control is crucial. This paper takes the improvement of convergence performance and resource conservation as the entry [...] Read more.
The cooperative flight of manned and unmanned aerial vehicles (MAV/UAVs) has recently become a focus in the research of civilian and humanitarian fields, in which formation control is crucial. This paper takes the improvement of convergence performance and resource conservation as the entry point to study control problems of cooperative formation configuration of MAV/UAVs. Following the backstepping recursive design procedures, an event-triggered fixed-time formation control strategy for MAV/UAVs operating under modeling uncertainties and external disturbances is presented. Moreover, a novel switching threshold event-triggered mechanism is introduced, which dynamically adjusts control signal updates based on system states. Compared with periodic sampling control (Controller 1), fixed threshold strategies (Controller 2) and relative threshold strategies (Controller 3), this mechanism enhances resource efficiency and prevents Zeno behavior. On the basis of Lyapunov stability theory, the closed-loop system is shown to be stable in the sense of the fixed-time concept. Numerical simulations are carried out in Simulink to validate the effectiveness of the theoretical findings. The results show that compared with the three comparison methods, the proposed control method saves 86%, 34%, and 43% of control transmission burden respectively, which significantly reduces the number of triggered events. Full article
Show Figures

Figure 1

23 pages, 11567 KB  
Article
Georeferenced UAV Localization in Mountainous Terrain Under GNSS-Denied Conditions
by Inseop Lee, Chang-Ky Sung, Hyungsub Lee, Seongho Nam, Juhyun Oh, Keunuk Lee and Chansik Park
Drones 2025, 9(10), 709; https://doi.org/10.3390/drones9100709 - 14 Oct 2025
Abstract
In Global Navigation Satellite System (GNSS)-denied environments, unmanned aerial vehicles (UAVs) relying on Vision-Based Navigation (VBN) in high-altitude, mountainous terrain face severe challenges due to geometric distortions in aerial imagery. This paper proposes a georeferenced localization framework that integrates orthorectified aerial imagery with [...] Read more.
In Global Navigation Satellite System (GNSS)-denied environments, unmanned aerial vehicles (UAVs) relying on Vision-Based Navigation (VBN) in high-altitude, mountainous terrain face severe challenges due to geometric distortions in aerial imagery. This paper proposes a georeferenced localization framework that integrates orthorectified aerial imagery with Scene Matching (SM) to achieve robust positioning. The method employs a camera projection model combined with Digital Elevation Model (DEM) to orthorectify UAV images, thereby mitigating distortions from central projection and terrain relief. Pre-processing steps enhance consistency with reference orthophoto maps, after which template matching is performed using normalized cross-correlation (NCC). Sensor fusion is achieved through extended Kalman filters (EKFs) incorporating Inertial Navigation System (INS), GNSS (when available), barometric altimeter, and SM outputs. The framework was validated through flight tests with an aircraft over 45 km trajectories at altitudes of 2.5 km and 3.5 km in mountainous terrain. The results demonstrate that orthorectification improves image similarity and significantly reduces localization error, yielding lower 2D RMSE compared to conventional rectification. The proposed approach enhances VBN by mitigating terrain-induced distortions, providing a practical solution for UAV localization in GNSS-denied scenarios. Full article
(This article belongs to the Special Issue Autonomous Drone Navigation in GPS-Denied Environments)
Show Figures

Figure 1

30 pages, 46947 KB  
Article
Safety-Aware Pre-Flight Trajectory Planning for Urban UAVs with Contingency Plans for Mechanical and GPS Failure Scenarios
by Amin Almozel, Ania Adil and Eric Feron
Drones 2025, 9(10), 708; https://doi.org/10.3390/drones9100708 - 14 Oct 2025
Abstract
Urban drone operations are exposed to unpredictable risks, including engine failure and deliberate signal interference. A recent and ongoing disruption in Jeddah, Saudi Arabia, has seen widespread GPS spoofing that misleads devices by hundreds of kilometers, illustrating how fragile unmanned aerial vehicle (UAV) [...] Read more.
Urban drone operations are exposed to unpredictable risks, including engine failure and deliberate signal interference. A recent and ongoing disruption in Jeddah, Saudi Arabia, has seen widespread GPS spoofing that misleads devices by hundreds of kilometers, illustrating how fragile unmanned aerial vehicle (UAV) operations can become when over-reliant on GNSS-based navigation. Such disruptions highlight the urgent need for contingency planning in drone traffic management systems. This study introduces a safety-aware pre-flight path planning framework that proactively integrates emergency landing and GPS fallback options into UAV trajectory pre-flight planning. The planner considers proximity to predesignated emergency landing zones, communication coverage, and airspace restrictions, enabling UAVs to safely complete their operations. The approach is evaluated across realistic mission profiles such as delivery, inspection, and surveillance. Results show that the planner successfully maintains mission feasibility while embedding emergency readiness throughout each flight. This work contributes toward safer, failure-resilient drone integration in urban airspace, ensuring that contingency plans are proactively incorporated into path planning before the failure even occurs. Full article
(This article belongs to the Section Innovative Urban Mobility)
Show Figures

Figure 1

26 pages, 10166 KB  
Article
ADG-YOLO: A Lightweight and Efficient Framework for Real-Time UAV Target Detection and Ranging
by Hongyu Wang, Zheng Dang, Mingzhu Cui, Hanqi Shi, Yifeng Qu, Hongyuan Ye, Jingtao Zhao and Duosheng Wu
Drones 2025, 9(10), 707; https://doi.org/10.3390/drones9100707 - 13 Oct 2025
Viewed by 169
Abstract
The rapid evolution of UAV technology has increased the demand for lightweight airborne perception systems. This study introduces ADG-YOLO, an optimized model for real-time target detection and ranging on UAV platforms. Building on YOLOv11n, we integrate C3Ghost modules for efficient feature fusion and [...] Read more.
The rapid evolution of UAV technology has increased the demand for lightweight airborne perception systems. This study introduces ADG-YOLO, an optimized model for real-time target detection and ranging on UAV platforms. Building on YOLOv11n, we integrate C3Ghost modules for efficient feature fusion and ADown layers for detail-preserving downsampling, reducing the model’s parameters to 1.77 M and computation to 5.7 GFLOPs. The Extended Kalman Filter (EKF) tracking improves positional stability in dynamic environments. Monocular ranging is achieved using similarity triangle theory with known target widths. Evaluations on a custom dataset, consisting of 5343 images from three drone types in complex environments, show that ADG-YOLO achieves 98.4% mAP0.5 and 85.2% mAP0.5:0.95 at 27 FPS when deployed on Lubancat4 edge devices. Distance measurement tests indicate an average error of 4.18% in the 0.5–5 m range for the DJI NEO model, and an average error of 2.40% in the 2–50 m range for the DJI 3TD model. These results suggest that the proposed model provides a practical trade-off between detection accuracy and computational efficiency for resource-constrained UAV applications. Full article
Show Figures

Figure 1

21 pages, 8957 KB  
Article
Autonomous Navigation of Unmanned Ground Vehicles Based on Micro-Shell Resonator Gyroscope Rotary INS Aided by LDV
by Hangbin Cao, Yuxuan Wu, Longkang Chang, Yunlong Kong, Hongfu Sun, Wenqi Wu, Jiangkun Sun, Yongmeng Zhang, Xiang Xi and Tongqiao Miao
Drones 2025, 9(10), 706; https://doi.org/10.3390/drones9100706 - 13 Oct 2025
Viewed by 128
Abstract
Micro-Shell Resonator Gyroscopes have obvious SWaP (Size, Weight and Power) advantages and applicable accuracy for the autonomous navigation of Unmanned Ground Vehicles (UGVs), especially under GNSS-denied environments. When the Micro-Shell Resonator Gyroscope Rotary Inertial Navigation System (MSRG–RINS) operates in the whole-angle mode, its [...] Read more.
Micro-Shell Resonator Gyroscopes have obvious SWaP (Size, Weight and Power) advantages and applicable accuracy for the autonomous navigation of Unmanned Ground Vehicles (UGVs), especially under GNSS-denied environments. When the Micro-Shell Resonator Gyroscope Rotary Inertial Navigation System (MSRG–RINS) operates in the whole-angle mode, its bias varies as an even-harmonic function of the pattern angle, which leads to difficulty in estimating and compensating the bias based on the MSRG in the process of attitude measurement. In this paper, an attitude measurement method based on virtual rotation self-calibration and rotary modulation is proposed for the MSRG–RINS to address this problem. The method utilizes the characteristics of the two operating modes of the MSRG, the force-rebalanced mode and whole-angle mode, to perform virtual rotation self-calibration, thereby eliminating the characteristic bias of the MSRG. In addition, the reciprocating rotary modulation method is used to suppress the residual bias of the MSRG. Furthermore, the magnetometer-aided initial alignment of the MSRG–RINS is carried out and the state-transformation extended Kalman filter is adopted to solve the large misalignment-angle problem under magnetometer assistance so as to enhance the rapidity and accuracy of initial attitude acquisition. Results from real-world experiments substantiated that the proposed method can effectively suppress the influence of MSRG’s bias on attitude measurement, thereby achieving high-precision autonomous navigation in GNSS-denied environments. In the 1 h, 3.7 km, long-range in-vehicle autonomous navigation experiments, the MSRG–RINS, integrated with a Laser Doppler Velocimetry (LDV), attained a heading accuracy of 0.35° (RMS), a horizontal positioning error of 4.9 m (RMS), and a distance-traveled accuracy of 0.24% D. Full article
Show Figures

Figure 1

27 pages, 2667 KB  
Article
Design of a Reinforcement Learning-Based Speed Compensator for Unmanned Aerial Vehicle in Complex Environments
by Guanyu Chen, Pengyu Feng and Xinhua Wang
Drones 2025, 9(10), 705; https://doi.org/10.3390/drones9100705 - 13 Oct 2025
Viewed by 102
Abstract
Due to the complexity of the marine environment and the uncertainty of ship movements, altitude control of UAV is particularly important when approaching and landing on the deck of a ship. This paper focuses on unmanned helicopters as its research subject. Conventional altitude [...] Read more.
Due to the complexity of the marine environment and the uncertainty of ship movements, altitude control of UAV is particularly important when approaching and landing on the deck of a ship. This paper focuses on unmanned helicopters as its research subject. Conventional altitude control systems may have difficulty in ensuring fast and stable landings under certain extreme conditions. Therefore, designing a new UAV altitude control method that can adapt to complex sea conditions has become a current problem to be solved. Designing a reinforcement learning based rotational speed compensator for UAV as a redundant controller to optimise UAV altitude control performance for the above problem. The compensator is capable of adjusting the UAV’s rotational speed in real time to compensate for altitude deviations due to external environmental disturbances and the UAV’s own dynamic characteristics. By introducing reinforcement learning algorithms, especially the DDPG algorithm, this compensator is able to learn the optimal RPM adjustment strategy in a continuous trial-and-error process, which improves the UAV’s rapidity and stability during the landing process. Full article
Show Figures

Figure 1

33 pages, 9086 KB  
Article
UAV Accident Forensics via HFACS-LLM Reasoning: Low-Altitude Safety Insights
by Yuqi Yan, Boyang Li and Gabriel Lodewijks
Drones 2025, 9(10), 704; https://doi.org/10.3390/drones9100704 - 13 Oct 2025
Viewed by 156
Abstract
UAV accident investigation is essential for safeguarding the fast-growing low-altitude airspace. While near-daily incidents are reported, they were rarely analyzed in depth as current inquiries remain expert-dependent and time-consuming. Because most jurisdictions mandate formal reporting only for serious injury or substantial property damage, [...] Read more.
UAV accident investigation is essential for safeguarding the fast-growing low-altitude airspace. While near-daily incidents are reported, they were rarely analyzed in depth as current inquiries remain expert-dependent and time-consuming. Because most jurisdictions mandate formal reporting only for serious injury or substantial property damage, a large proportion of minor occurrences receive no systematic investigation, resulting in persistent data gaps and hindering proactive risk management. This study explores the potential of using large language models (LLMs) to expedite UAV accident investigations by extracting human-factor insights from unstructured narrative incident reports. Despite their promise, the off-the-shelf LLMs still struggle with domain-specific reasoning in the UAV context. To address this, we developed a human factors analysis and classification system (HFACS)-guided analytical framework, which blends structured prompting with lightweight post-processing. This framework systematically guides the model through a two-stage procedure to infer operators’ unsafe acts, their latent preconditions, and the associated organizational influences and regulatory risk factors. A HFACS-labelled UAV accident corpus comprising 200 abnormal event reports with 3600 coded instances has been compiled to support evaluation. Across seven LLMs and 18 HFACS categories, macro-F1 ranged 0.58–0.76; our best configuration achieved macro-F1 0.76 (precision 0.71, recall 0.82), with representative category accuracies > 93%. Comparative assessments indicate that the prompted LLM can match, and in certain tasks surpass, human experts. The findings highlight the promise of automated human factor analysis for conducting rapid and systematic UAV accident investigations. Full article
Show Figures

Figure 1

22 pages, 9295 KB  
Article
FedGTD-UAVs: Federated Transfer Learning with SPD-GCNet for Occlusion-Robust Ground Small-Target Detection in UAV Swarms
by Liang Zhao, Xin Jia and Yuting Cheng
Drones 2025, 9(10), 703; https://doi.org/10.3390/drones9100703 - 12 Oct 2025
Viewed by 225
Abstract
Swarm-based UAV cooperative ground target detection faces critical challenges including sensitivity to small targets, susceptibility to occlusion, and data heterogeneity across distributed platforms. To address these issues, we propose FedGTD-UAVs—a privacy-preserving federated transfer learning (FTL) framework optimized for real-time swarm perception tasks. Our [...] Read more.
Swarm-based UAV cooperative ground target detection faces critical challenges including sensitivity to small targets, susceptibility to occlusion, and data heterogeneity across distributed platforms. To address these issues, we propose FedGTD-UAVs—a privacy-preserving federated transfer learning (FTL) framework optimized for real-time swarm perception tasks. Our solution integrates three key innovations: (1) an FTL paradigm employing centralized pre-training on public datasets followed by federated fine-tuning of sparse parameter subsets—under severe non-Independent and Identically Distributed (non-IID) data distributions, this paradigm ensures data privacy while maintaining over 98% performance; (2) an Space-to-Depth Convolution (SPD-Conv) backbone that replaces lossy downsampling with lossless space-to-depth operations, preserving fine-grained spatial features critical for small targets; (3) a lightweight Global Context Network (GCNet) module leverages contextual reasoning to effectively capture long-range dependencies, thereby enhancing robustness against occluded objects while maintaining real-time inference at 217 FPS. Extensive validation on VisDrone2019 and CARPK benchmarks demonstrates state-of-the-art performance: 44.2% mAP@0.5 (surpassing YOLOv8s by 12.1%) with 3.2× superior accuracy-efficiency trade-off. Compared to traditional centralized learning methods that rely on global data sharing and pose privacy risks, as well as the significant performance degradation of standard federated learning under non-IID data, this framework successfully resolves the core conflict between data privacy protection and detection performance maintenance, providing a secure and efficient solution for real-world deployment in complex dynamic environments. Full article
Show Figures

Figure 1

19 pages, 16829 KB  
Article
An Intelligent Passive System for UAV Detection and Identification in Complex Electromagnetic Environments via Deep Learning
by Guyue Zhu, Cesar Briso, Yuanjian Liu, Zhipeng Lin, Kai Mao, Shuangde Li, Yunhong He and Qiuming Zhu
Drones 2025, 9(10), 702; https://doi.org/10.3390/drones9100702 - 12 Oct 2025
Viewed by 205
Abstract
With the rapid proliferation of unmanned aerial vehicles (UAVs) and the associated rise in security concerns, there is a growing demand for robust detection and identification systems capable of operating reliably in complex electromagnetic environments. To address this challenge, this paper proposes a [...] Read more.
With the rapid proliferation of unmanned aerial vehicles (UAVs) and the associated rise in security concerns, there is a growing demand for robust detection and identification systems capable of operating reliably in complex electromagnetic environments. To address this challenge, this paper proposes a deep learning-based passive UAV detection and identification system leveraging radio frequency (RF) spectrograms. The system employs a high-resolution RF front-end comprising a multi-beam directional antenna and a wideband spectrum analyzer to scan the target airspace and capture UAV signals with enhanced spatial and spectral granularity. A YOLO-based detection module is then used to extract frequency hopping signal (FHS) regions from the spectrogram, which are subsequently classified by a convolutional neural network (CNN) to identify specific UAV models. Extensive measurements are carried out in both line-of-sight (LoS) and non-line-of-sight (NLoS) urban environments. The proposed system achieves over 96% accuracy in both detection and identification under LoS conditions. In NLoS conditions, it improves the identification accuracy by more than 15% compared with conventional full-spectrum CNN-based methods. These results validate the system’s robustness, real-time responsiveness, and strong practical applicability. Full article
Show Figures

Figure 1

21 pages, 1647 KB  
Article
UAV-Centric Privacy-Preserving Computation Offloading in Multi-UAV Mobile Edge Computing
by Chao Gao, Dawei Wei, Keying Li and Wenjin Liu
Drones 2025, 9(10), 701; https://doi.org/10.3390/drones9100701 - 12 Oct 2025
Viewed by 116
Abstract
Unmanned aerial vehicles (UAVs) offer high mobility, cost-effectiveness and flexible deployment, but their limited computing and battery resources constrain their development. Mobile edge computing (MEC) can alleviate these constraints by computation offloading. Although reinforcement learning (RL) has recently been applied to optimize offloading [...] Read more.
Unmanned aerial vehicles (UAVs) offer high mobility, cost-effectiveness and flexible deployment, but their limited computing and battery resources constrain their development. Mobile edge computing (MEC) can alleviate these constraints by computation offloading. Although reinforcement learning (RL) has recently been applied to optimize offloading strategies, using raw UAV data poses a risk of privacy leakage. To address this issue, we design a privacy-preserving RL-based offloading approach that applies local differential privacy (LDP) to perturb decision trajectories. We theoretically derive the O(M/ϵ) regret bound and achieve (ϵ,δ)-LDP for the perturbation mechanism. Finally, we evaluate the efficiency of the proposed approach through experiments. Full article
Show Figures

Figure 1

32 pages, 1036 KB  
Review
A Survey on UxV Swarms and the Role of Artificial Intelligence as a Technological Enabler
by Alexandros Dimos, Dimitrios N. Skoutas, Nikolaos Nomikos and Charalabos Skianis
Drones 2025, 9(10), 700; https://doi.org/10.3390/drones9100700 - 12 Oct 2025
Viewed by 118
Abstract
In recent years, there has been an ever increasing interest in UxVs and the technology surrounding them. A more recent area of interest within the UxV ecosystem is the development of UxV swarms. In these systems, multiple UxVs synchronize, continuously exchange information, and [...] Read more.
In recent years, there has been an ever increasing interest in UxVs and the technology surrounding them. A more recent area of interest within the UxV ecosystem is the development of UxV swarms. In these systems, multiple UxVs synchronize, continuously exchange information, and operate as a cohesive unit. This evolution requires a higher level of autonomy, enhanced coordination, and more efficient communication channels. In this survey, we present relevant research on swarms of UxVs, always considering artificial intelligence (AI) as the key technological enabler for the swarm operations. We view the swarm from three distinct perspectives; these are intelligence-wise, communication-wise, and security-wise. Our main goal is to explore in which ways and to what extent AI has been integrated in these aspects. We aim to identify which of these aspects are the most researched and which need deeper investigation, the types of AI that are mainly used, and which types of vehicles are preferred. We then discuss the results of our work and present current limitations as well as areas of future research in the realm of UxVs, AI, swarm intelligence, communications, and security. Full article
(This article belongs to the Section Artificial Intelligence in Drones (AID))
Show Figures

Figure 1

21 pages, 4761 KB  
Article
Active Fault-Tolerant Cooperative Control for Multi-QUAVs Using Relative Measurement Information
by Yujiang Zhong, Xi Chen, Ping Li, Pinfan Hou, Zhen Wang and Kunlin Nie
Drones 2025, 9(10), 699; https://doi.org/10.3390/drones9100699 - 11 Oct 2025
Viewed by 297
Abstract
This paper investigates actuator fault-tolerant cooperative control of multiple quadrotor unmanned aerial vehicles (multi-QUAVs) under restricted communication conditions, where only relative output measurements are available. By appropriately transforming and scaling the control inputs and outputs of the multi-QUAVs, an observable subsystem is constructed. [...] Read more.
This paper investigates actuator fault-tolerant cooperative control of multiple quadrotor unmanned aerial vehicles (multi-QUAVs) under restricted communication conditions, where only relative output measurements are available. By appropriately transforming and scaling the control inputs and outputs of the multi-QUAVs, an observable subsystem is constructed. A decoupled fault estimation observer is then designed for this subsystem to estimate actuator faults and the leader’s input signal. Based on the fault estimation information and relative measurement information among QUAVs, a node-based active fault-tolerant cooperative control law is developed. This approach enables multi-QUAVs to achieve consensus-based formation solely relying on relative output information, even in the presence of actuator faults. Finally, the effectiveness of the proposed active fault-tolerant cooperative control method is verified by simulation. Full article
(This article belongs to the Section Artificial Intelligence in Drones (AID))
Show Figures

Figure 1

28 pages, 6310 KB  
Article
UAV Equipped with SDR-Based Doppler Localization Sensor for Positioning Tactical Radios
by Kacper Bednarz, Jarosław Wojtuń, Rafał Szczepanik and Jan M. Kelner
Drones 2025, 9(10), 698; https://doi.org/10.3390/drones9100698 - 11 Oct 2025
Viewed by 162
Abstract
The accurate localization of radio frequency (RF) emitters plays a critical role in spectrum monitoring, public safety, and defense applications, particularly in environments where global navigation satellite systems are limited. This study investigates the feasibility of a single unmanned aerial vehicle (UAV) equipped [...] Read more.
The accurate localization of radio frequency (RF) emitters plays a critical role in spectrum monitoring, public safety, and defense applications, particularly in environments where global navigation satellite systems are limited. This study investigates the feasibility of a single unmanned aerial vehicle (UAV) equipped with a Doppler-based software-defined radio sensor to localize modern RF sources without the need for external infrastructure or multiple UAVs. A custom-designed localization system was developed and tested using the L3Harris AN/PRC-152A tactical radio, which represents a class of real-world, dual-use emitters with lower frequency stability than laboratory signal generators. The approach was validated through both emulation studies and extensive field experiments under realistic conditions. The results show that the proposed system can localize RF emitters with an average error below 50 m in 80% of cases even when the transmitter is more than 600 m away. Performance was evaluated across different carrier frequencies and acquisition times, demonstrating the influence of signal parameters on localization accuracy. These findings confirm the practical applicability of Doppler-based single-UAV localization methods and provide a foundation for further development of lightweight, autonomous RF emitter tracking systems for critical infrastructure protection, spectrum analysis, and tactical operations. Full article
Show Figures

Figure 1

24 pages, 7481 KB  
Article
Loop Shaping-Based Attitude Controller Design and Flight Validation for a Fixed-Wing UAV
by Nai-Wen Zhang and Chao-Chung Peng
Drones 2025, 9(10), 697; https://doi.org/10.3390/drones9100697 - 11 Oct 2025
Viewed by 93
Abstract
This study presents a loop-shaping methodology for the attitude control of a fixed-wing unmanned aerial vehicle (UAV). The proposed controller design focuses on achieving desired frequency–domain characteristics—such as specified phase and gain margins—to ensure stability and robustness. Unlike many existing approaches that rely [...] Read more.
This study presents a loop-shaping methodology for the attitude control of a fixed-wing unmanned aerial vehicle (UAV). The proposed controller design focuses on achieving desired frequency–domain characteristics—such as specified phase and gain margins—to ensure stability and robustness. Unlike many existing approaches that rely on oversimplified plant models or involve mathematically intensive robust-control formulations, this work develops controllers directly from a high-fidelity six-degree-of-freedom UAV model that captures realistic aerodynamic and actuator dynamics. The loop-shaping procedure translates multi-objective requirements into a transparent, step-by-step workflow by progressively shaping the plant’s open-loop frequency response to match a target transfer function. This provides an intuitive, visual design process that reduces reliance on empirical PID tuning and makes the method accessible for both hobby-scale UAV applications and commercial platforms. The proposed loop-shaping procedure is demonstrated on the pitch inner rate loop of a fixed-wing UAV, with controllers discretized and validated in nonlinear simulations as well as real flight tests. Experimental results show that the method achieves the intended bandwidth and stability margins on the desired design target closely. Full article
(This article belongs to the Section Drone Design and Development)
Show Figures

Figure 1

19 pages, 6468 KB  
Article
Assessment of the Permanent Gully Morphology Measurement by Unmanned Aerial Vehicle Photogrammetry with Different Flight Schemes in Dry–Hot Valley of Southwest China
by Ji Yang, Yifan Dong, Jiangcheng Huang, Xiaoli Wen, Guanghai Wang and Xin Zhao
Drones 2025, 9(10), 696; https://doi.org/10.3390/drones9100696 - 10 Oct 2025
Viewed by 282
Abstract
Unmanned Aerial Vehicle (UAV) photogrammetry technique offers significant potential for generating highly detailed digital surface models (DSM) of gullies. However, different flight schemes can considerably influence measurement accuracy. The objectives were (i) to evaluate the influences of flight altitude, photo overlap, Ground Control [...] Read more.
Unmanned Aerial Vehicle (UAV) photogrammetry technique offers significant potential for generating highly detailed digital surface models (DSM) of gullies. However, different flight schemes can considerably influence measurement accuracy. The objectives were (i) to evaluate the influences of flight altitude, photo overlap, Ground Control Points (GCPs), and other environmental factors on the accuracy of the UAV-derived DSMs and (ii) to analyze the main factors affecting the accuracy of UAV gully monitoring and explore flight schemes that balance accuracy and efficiency. The results indicated that DSM accuracy improved markedly as the number of GCPs increased from 0 to 3, with consideration given to both horizontal and vertical distribution. However, further increases in the number of GCPs did not lead to significant improvements. The accuracy of DSMs increased with a decrease in the flight altitude, but was not substantially affected by photo overlap when it exceeded 50%/40% The accuracy of DSM was significantly reduced by shadows, and flight altitude rather than slope gradient was identified as the key factor leading to high-error checkpoints (error > 0.1 m). The proportion of point clouds penetrating tree canopies decreased when the flight altitude was 150 m or higher, which could help reduce the influence of vegetation on the accuracy of DSMs. In general, with a reasonable spatial distribution of GCPs, flight altitude is the primary factor affecting monitoring accuracy. However, when balancing accuracy and efficiency, the optimal flight scheme was determined to be a flight altitude of 70 m, photo overlap of 80%/70%, and nine GCPs. Full article
(This article belongs to the Section Drones in Ecology)
Show Figures

Figure 1

25 pages, 14038 KB  
Article
Infrared Target Detection Based on Image Enhancement and an Improved Feature Extraction Network
by Peng Wu, Zhen Zuo, Shaojing Su and Boyuan Zhao
Drones 2025, 9(10), 695; https://doi.org/10.3390/drones9100695 - 10 Oct 2025
Viewed by 252
Abstract
Small unmanned aerial vehicles (UAVs) pose significant security challenges due to their low detectability in infrared imagery, particularly when appearing as small, low-contrast targets against complex backgrounds. This paper presents a novel infrared target detection framework that addresses these challenges through two key [...] Read more.
Small unmanned aerial vehicles (UAVs) pose significant security challenges due to their low detectability in infrared imagery, particularly when appearing as small, low-contrast targets against complex backgrounds. This paper presents a novel infrared target detection framework that addresses these challenges through two key innovations: an improved Gaussian filtering-based image enhancement module and a hierarchical feature extraction network. The proposed image enhancement module incorporates a vertical weight function to handle abnormal feature values while preserving edge information, effectively improving image contrast and reducing noise. The detection network introduces the SODMamba backbone with Deep Feature Perception Modules (DFPMs) that leverage high-frequency components to enhance small target features. Extensive experiments on the custom SIDD dataset demonstrate that our method achieves superior detection performance across diverse backgrounds (urban, mountain, sea, and sky), with mAP@0.5 reaching 96.0%, 74.1%, 92.0%, and 98.7%, respectively. Notably, our model maintains a lightweight profile with only 6.2M parameters and enables real-time inference, which is crucial for practical deployment. Real-world validation experiments confirm the effectiveness and efficiency of the proposed approach for practical UAV detection applications. Full article
Show Figures

Figure 1

19 pages, 762 KB  
Article
TMRGBT-D2D: A Temporal Misaligned RGB-Thermal Dataset for Drone-to-Drone Target Detection
by Hexiang Hao, Yueping Peng, Zecong Ye, Baixuan Han, Wei Tang, Wenchao Kang, Xuekai Zhang, Qilong Li and Wenchao Liu
Drones 2025, 9(10), 694; https://doi.org/10.3390/drones9100694 - 10 Oct 2025
Viewed by 195
Abstract
In the field of drone-to-drone detection tasks, the issue of fusing temporal information with infrared and visible light data for detection has been rarely studied. This paper presents the first temporal misaligned rgb-thermal dataset for drone-to-drone target detection, named TMRGBT-D2D. The dataset covers [...] Read more.
In the field of drone-to-drone detection tasks, the issue of fusing temporal information with infrared and visible light data for detection has been rarely studied. This paper presents the first temporal misaligned rgb-thermal dataset for drone-to-drone target detection, named TMRGBT-D2D. The dataset covers various lighting conditions (i.e., high-light scenes captured during the day, medium-light and low-light scenes captured at night, with night scenes accounting for 38.8% of all data), different scenes (sky, forests, buildings, construction sites, playgrounds, roads, etc.), different seasons, and different locations, consisting of a total of 42,624 images organized into sequential frames extracted from 19 RGB-T video pairs. Each frame in the dataset has been meticulously annotated, with a total of 94,323 annotations. Except for drones that cannot be identified under extreme conditions, infrared and visible light annotations are one-to-one corresponding. This dataset presents various challenges, including small object detection (the average size of objects in visible light images is approximately 0.02% of the image area), motion blur caused by fast movement, and detection issues arising from imaging differences between different modalities. To our knowledge, this is the first temporal misaligned rgb-thermal dataset for drone-to-drone target detection, providing convenience for research into rgb-thermal image fusion and the development of drone target detection. Full article
(This article belongs to the Special Issue Detection, Identification and Tracking of UAVs and Drones)
Show Figures

Figure 1

21 pages, 813 KB  
Article
Lightweight Group Signature Scheme Based on PUF for UAV Communication Security
by Askar Sysoyev, Karim Nauruzov, Arijit Karati, Olga Abramkina, Yelizaveta Vitulyova, Damelya Yeskendirova, Yelena Popova and Farida Abdoldina
Drones 2025, 9(10), 693; https://doi.org/10.3390/drones9100693 - 10 Oct 2025
Viewed by 284
Abstract
This paper presents a certificateless group signature scheme designed specifically for Unmanned Aerial Vehicle (UAV) communications in resource-constrained environments. The scheme leverages Physical Unclonable Functions (PUFs) and elliptic curve cryptography (ECC) to provide a lightweight security solution while maintaining essential security properties including [...] Read more.
This paper presents a certificateless group signature scheme designed specifically for Unmanned Aerial Vehicle (UAV) communications in resource-constrained environments. The scheme leverages Physical Unclonable Functions (PUFs) and elliptic curve cryptography (ECC) to provide a lightweight security solution while maintaining essential security properties including anonymity, unforgeability, traceability, and unlikability. We describe the cryptographic protocols for system setup, key generation, signing, verification, and revocation mechanisms. The implementation shows promising results for UAV applications where computational resources are limited, while still providing robust security guarantees for group communications. Our approach eliminates the need for computationally expensive certificate management while ensuring that only legitimate group members can create signatures that cannot be linked to their identities except by authorized group managers. Full article
(This article belongs to the Section Drone Communications)
Show Figures

Figure 1

27 pages, 2978 KB  
Review
Mapping the Integration of Urban Air Mobility into the Built Environment: A Bibliometric Analysis and a Scoping Review
by Ludovica Maria Campagna, Francesco Carlucci, Francesco Fiorito, Erika Rosella Marinelli, Michele Ottomanelli and Mario Marinelli
Drones 2025, 9(10), 692; https://doi.org/10.3390/drones9100692 - 10 Oct 2025
Viewed by 363
Abstract
Urban Air Mobility (UAM) has the potential to revolutionize urban transportation, largely with the deployment of Unmanned Aerial Vehicles (UAVs), commonly known as drones. After an initial stage focused on technology requirements, research is now shifting toward investigating operational requirements, which are unavoidably [...] Read more.
Urban Air Mobility (UAM) has the potential to revolutionize urban transportation, largely with the deployment of Unmanned Aerial Vehicles (UAVs), commonly known as drones. After an initial stage focused on technology requirements, research is now shifting toward investigating operational requirements, which are unavoidably affected by urban characteristics. This study aims to explore the implementation of UAM services within urban environments by mapping the current scientific landscape from a city-focused perspective. Following a systematic search procedure, a bibliometric analysis was conducted on studies published between 2010 and 2024, examining over 350 articles that address UAM and urban-related topics. Trends in publication volume and scientific impact were analysed, along with influential manuscripts, collaborations, and leading countries in the field. Through a keyword co-occurrence analysis, five main research themes were identified: air traffic management, risk assessment, environmental factors (wind and noise), and vertiport location. These themes were further explored through a scoping review to assess current research and emerging directions. The findings highlight that urban characteristics are not just operational constraints but also fundamental elements that shape UAM strategies, influencing UAV path planning, safety, environmental constraints, and infrastructure design. Future research directions include the development of urban digital twins, comprehensive urban spatial databases, and multi-objective optimization frameworks to support the effective implementation of UAM into cities. Full article
(This article belongs to the Special Issue Urban Air Mobility Solutions: UAVs for Smarter Cities)
Show Figures

Figure 1

Previous Issue
Back to TopTop