Dynamic Self-Triggered Fuzzy Formation Control for UAV Swarm with Prescribed-Time Convergence
Abstract
1. Introduction
- To more accurately reflect real-world conditions, this study employs a six-degree-of-freedom fixed-wing dynamic model developed by Oland, which incorporates the coupling relationships between the drone’s speed and attitude systems [37]. Additionally, the model accounts for external disturbances that may be encountered by the system, thereby enhancing its alignment with actual flight scenarios.
- To achieve precise disturbance estimation and compensation, this study employs an Interval Type-2 Fuzzy Logic System (IT2 FLS). As demonstrated in [14,15,16], compared to its Type-1 counterpart, the IT2 FLS is particularly adept at handling higher levels of uncertainty due to its footprint of uncertainty (FOU), which provides an additional degree of freedom to model the uncertainties in the rule base and membership functions. By integrating an IT2 FLS-based estimation scheme, the proposed control scheme actively compensates for model inaccuracies and external disturbances, thereby enhancing the system’s robustness.
- In order to achieve the desired convergence time for multi-drone formations following predefined commands and to overcome the initial condition constraints inherent in prescribed-time control, a self-adjusting boundary performance function is designed in this study. By utilizing this function and integrating techniques such as error transformation, state transformation, and backstepping, the drone formation can achieve prescribed-time convergence for the desired commands while eliminating initial condition limitations. Moreover, this approach imposes one-sided tight constraints on the error, ensuring comprehensive state constraints throughout the entire trajectory of the drone’s command tracking process. This guarantees that the error does not exhibit significant fluctuations during the tracking process. The adaptively sized constraint boundary can autonomously expand when the drone system encounters external disturbances, thereby preventing the error from exceeding the established boundary. The designed adaptive update law facilitates the rapid elimination of the disturbance’s influence once the external disturbance is mitigated.
- To minimize system resource consumption while ensuring high accuracy in formation control, this study introduces a dynamic self-triggered communication mechanism. A time-varying dynamic variable is incorporated to adaptively adjust the triggering threshold, thereby suppressing the communication frequency while maintaining system performance. Additionally, the future triggering sequence is estimated based on the current state, eliminating the need for continuous state monitoring and significantly reducing the overall energy consumption of the system.
2. Problem Formulation and Preliminaries
2.1. Fixed-Wing UAV Model
- Ground frame : An earth-fixed inertial reference frame.
- Body frame : Attached to the UAV’s center of mass, with the -axis pointing forward (aircraft longitudinal axis), the -axis pointing to the right, and the -axis pointing downward, completing the right-handed system.
- Wind frame : Defined by the UAV’s velocity vector relative to the air. The -axis is aligned with the velocity vector, the -axis lies in the aircraft’s plane of symmetry, and the -axis completes the right-handed system.

2.1.1. Velocity Layer
2.1.2. Attitude Layer
2.2. Graph Theory
2.3. Interval Type-2 Fuzzy Logic System
2.4. Prescribed-Time Stability Concept
- is positive and monotonically decreasing over ;
- and for all ;
- and are bounded and piecewise continuous.
2.5. Control Objective
- All closed-loop signals of the multi-UAV formation system are guaranteed to be Semi-Globally Uniformly Ultimately Bounded (SGUUB). Furthermore, both the velocity tracking error and the attitude tracking error converge to compact sets around the origin within a predefined settling time T, which is independent of initial conditions.
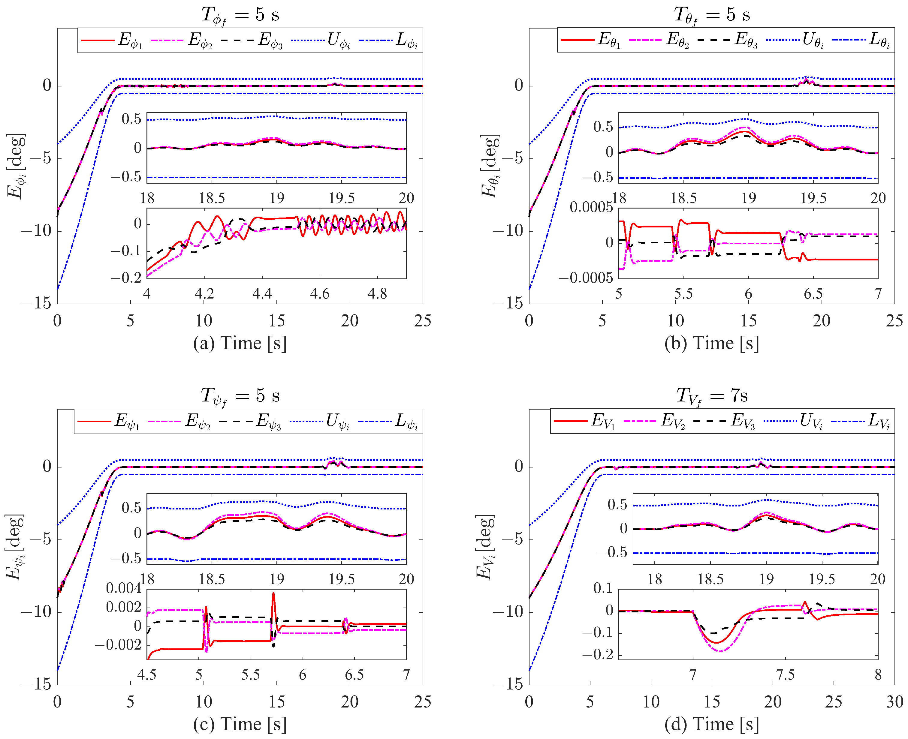
- The transformed tracking errors are guaranteed to remain strictly within the envelopes defined by the self-adjusting boundary performance functions throughout the entire operation. Specifically, the velocity error is constrained by and the attitude errors are constrained by .
- The designed Dynamic Self-Triggered Mechanism (DSTM) strictly excludes Zeno behavior, ensuring a positive minimum inter-event time. Moreover, it eliminates the necessity for continuous monitoring of neighboring UAVs’ states, thereby significantly reducing both communication bandwidth usage and onboard computational resource consumption.
3. Dynamic Self-Triggered Controller Design
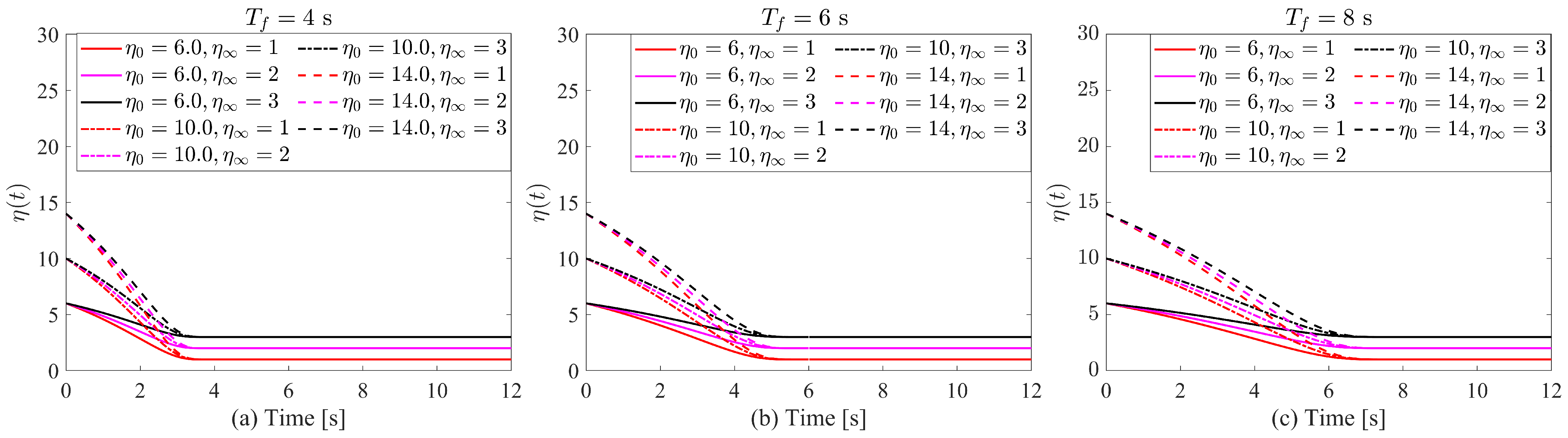
3.1. Self-Adjusting Boundary Performance Function
- , ;
- , ;
- , .
- Velocity Layer Error TransformationConsider the velocity error as . The velocity error is transformed and normalized into . Using the state transformation function Equation (20), the transformed state is obtained aswhere , , and , and are functions to be designed.Then derivative Equation (21), one haswhere , .
- Attitude Layer Error TransformationConsider the attitude error , the attitude error is transformed and normalized into . Using the state transformation function Equation (20), the transformed state is obtained aswhere for , , and , and are functions to be designed.
3.2. Dynamic Self-Triggered Communication Mechanism
3.2.1. Velocity Layer Communication Mechanism Design
3.2.2. Attitude Layer Communication Mechanism Design
3.3. Controller Design and Stability Analysis with Zeno Behavior Exclusion
3.3.1. Velocity-Layer Controller
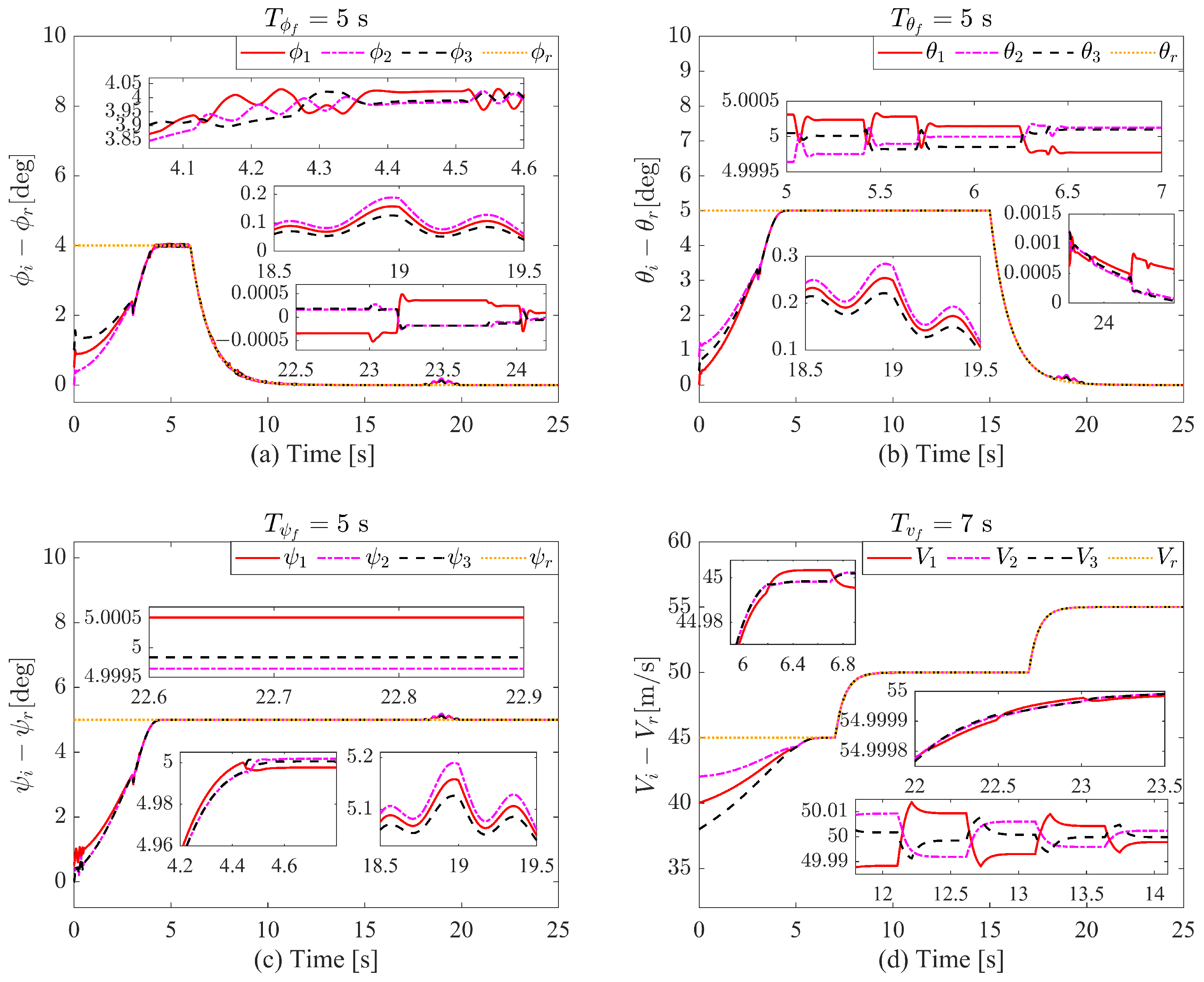
- All signals within the velocity closed-loop system are semi-globally uniformly ultimately bounded (SGUUB). Moreover, the synchronized velocity tracking error converges to a small residual set around the origin within a preassigned time T.
- The transformed error remains strictly confined within the prescribed time-varying asymmetric constraints defined by the performance functions throughout the entire tracking process.
- The proposed control strategy significantly reduces the communication burden and sensor resource consumption in the velocity layer. Furthermore, the existence of a positive minimum inter-event time excludes Zeno behavior, ensuring the practical implementability of the algorithm.
3.3.2. Attitude-Layer Controller
- All signals within the attitude closed-loop system are semi-globally uniformly ultimately bounded (SGUUB). Moreover, the synchronized attitude tracking error converges to a small residual set around the origin within a preassigned time T.
- The transformed error remains strictly confined within the prescribed time-varying asymmetric constraints defined by the performance functions throughout the entire tracking process.
- The proposed control strategy significantly reduces the communication burden and sensor resource consumption in the attitude layer. Furthermore, the existence of a positive minimum inter-event time excludes Zeno behavior, ensuring the practical implementability of the algorithm.
4. Simulation Results and Analysis
5. Conclusions
Author Contributions
Funding
Data Availability Statement
Conflicts of Interest
References
- Wu, Z.; Xie, Q.; Wang, Z.; Huang, X.; Peng, C.; Wu, Y. Terrain-aware UAV-enabled mobile edge computing in urban environments: A constrained multi-objective approach with task-adaptive mechanism. IEEE Trans. Veh. Technol. 2025. [Google Scholar] [CrossRef]
- Liu, X.; Durrani, T.S. Joint multi-UAV deployments for air–ground integrated networks. IEEE Aerosp. Electron. Syst. Mag. 2022, 37, 4–12. [Google Scholar] [CrossRef]
- Zhao, J.; Wen, Z.; Mohanta, K.; Subasu, S.; Fremond, R.; Su, Y.; Kallaka, R.; Tsourdos, A. UAV operations and vertiport capacity evaluation with a mixed-reality digital twin for future urban air mobility viability. Drones 2025, 9, 621. [Google Scholar] [CrossRef]
- Liu, Q.; Tian, B.; Zhang, X.; Lu, J.; Li, Z. Sampling-based hierarchical trajectory planning for formation flight. IEEE Trans. Intell. Transp. Syst. 2025. [Google Scholar] [CrossRef]
- Qin, Y.; Wang, Z.; Zhang, H. Joint task allocation and power optimization in multi-UAV systems: An overlapping coalition formation game approach. IEEE Trans. Veh. Technol. 2025. [Google Scholar] [CrossRef]
- Yan, Y.; Liu, S.; Hao, R. RRT*-APF path planning and MA-AADRC-SMC control for cooperative 3-D obstacle avoidance in multi-UAV formations. Drones 2025, 9, 611. [Google Scholar] [CrossRef]
- Hu, W.; Zhang, Y.; Li, J.; Wang, Y.; Li, Y.; Liu, M. TD3 agent-based nonlinear dynamic inverse control for fixed-wing UAV attitudes. IEEE Trans. Intell. Transp. Syst. 2025. [Google Scholar] [CrossRef]
- Su, Z.; Fan, J.; Li, C.; Huang, Y.; Jiang, C. Coordinated trajectory and attitude control for fixed-wing UAV shipboard SideArm recovery with safety constraints. IEEE Trans. Aerosp. Electron. Syst. 2025. [Google Scholar] [CrossRef]
- Freitas, A.; Rabbath, C.A.; Williams, C.; Lechevin, N.; Givigi, S. Multi-unmanned aerial vehicles cooperative tactics: A survey. IEEE Access 2025, 13, 119897–119921. [Google Scholar] [CrossRef]
- Liu, S.; Lin, Z.; Huang, W.; Yan, B. Technical development and future prospects of cooperative terminal guidance based on knowledge graph analysis: A review. J. Zhejiang Univ. Sci. A 2025, 26, 605–634. [Google Scholar] [CrossRef]
- Zhang, R.; Chen, X.; Li, M. Multi-UAV cooperative task assignment based on multi-strategy improved DBO. Cluster Comput. 2025, 28, 195. [Google Scholar] [CrossRef]
- Guan, X.; Yiu, K.-F.C.; Li, B.; Zeng, Y.; Zhang, R. 3D trajectory optimization for fixed-wing UAV communications with full UAV dynamics. IEEE Trans. Veh. Technol. 2025. [Google Scholar] [CrossRef]
- Hu, S.; Yuan, X.; Ni, W.; Wang, X.; Jamalipour, A. Visual camouflage and online trajectory planning for unmanned aerial vehicle-based disguised video surveillance: Recent advances and a case study. IEEE Veh. Technol. Mag. 2023, 18, 48–57. [Google Scholar] [CrossRef]
- Cara, A.B.; Wagner, C.; Hagras, H.; Pomares, H.; Rojas, I. Multiobjective optimization and comparison of nonsingleton type-1 and singleton interval type-2 fuzzy logic systems. IEEE Trans. Fuzzy Syst. 2013, 21, 459–476. [Google Scholar] [CrossRef]
- Juang, C.-F.; Hsu, C.-H. Reinforcement interval type-2 fuzzy controller design by online rule generation and Q-value-aided ant colony optimization. IEEE Trans. Syst. Man Cybern. Part B 2009, 39, 1528–1542. [Google Scholar] [CrossRef]
- Boran, F.E.; Akay, D. A generic method for the evaluation of interval type-2 fuzzy linguistic summaries. IEEE Trans. Cybern. 2014, 44, 1632–1645. [Google Scholar] [CrossRef]
- Tang, M.; Feng, C.; Quek, T.Q.S. Decentralized semantic communication and cooperative tracking control for a UAV swarm over wireless MIMO fading channels. IEEE Trans. Veh. Technol. 2025. [Google Scholar] [CrossRef]
- Bai, Y.; Zhang, Y. Dynamic offloading based on Lyapunov optimization for UAV-assisted maritime IoT-MEC networks. IEEE Trans. Veh. Technol. 2025. [Google Scholar] [CrossRef]
- Ding, T.; Li, Y.; Wang, Z.; Wang, J.; Wang, F. Disturbance-resilient UAV formation control for low-altitude economy: Elliptical configuration tracking via a generalized predefined-time approach. IEEE Trans. Veh. Technol. 2025. [Google Scholar] [CrossRef]
- Han, C.; Li, W.; Shi, M.; Li, M.; Lin, B.; Qin, K. Human-in-the-loop prescribed performance distributed formation tracking control of networked quadrotor UAVs. IEEE Trans. Veh. Technol. 2025. [Google Scholar] [CrossRef]
- Zhao, S.; Ni, J.; Lei, T.; Du, Y.; Deng, S. Dynamic-memory event-triggered fixed-time distributed power management for UAV power system under intermittent communication failures. IEEE Trans. Aerosp. Electron. Syst. 2025. [Google Scholar] [CrossRef]
- Su, M.; Chai, H.; Zhao, C.; Lyu, Y.; Hu, J. Lightweight obstacle avoidance for fixed-wing UAVs using entropy-aware PPO. Drones 2025, 9, 598. [Google Scholar] [CrossRef]
- Zhao, S.; Zheng, J.; Zuo, Z.; Wang, X. Prescribed-time elliptical circumnavigation for multiple moving targets by multi-UAVs. IEEE Trans. Intell. Veh. 2024. [Google Scholar] [CrossRef]
- Kong, L.; Reis, J.; He, W.; Silvestre, C. Event-triggered prescribed-time tracking control for UAVs using polynomial error trajectories. IEEE Trans. Autom. Sci. Eng. 2025, 22, 16476–16486. [Google Scholar] [CrossRef]
- Shi, Y.; Li, J.; Lv, M.; Wang, N.; Yuan, Y.; Chang, J. Synergistic constrained control of 6-DOF fixed-wing multi-UAVs with dynamic self-triggered communication. IEEE Trans. Autom. Sci. Eng. 2025, 22, 14818–14832. [Google Scholar] [CrossRef]
- Hashim, H.A.; Brown, L.J.; McIsaac, K. Nonlinear pose filters on the special Euclidean group SE(3) with guaranteed transient and steady-state performance. IEEE Trans. Syst. Man Cybern. Syst. 2021, 51, 2949–2962. [Google Scholar] [CrossRef]
- Shu, L.; Xu, S. Prescribed-time optimal formation control using fuzzy reinforcement learning for second-order multiagent systems. IEEE Trans. Cybern. 2025. [Google Scholar] [CrossRef]
- Chen, J.; Yue, D.; Dou, C.; Weng, S.; Xie, X.; Li, Y.; Hancke, G.P. Static and dynamic event-triggered mechanisms for distributed secondary control of inverters in low-voltage islanded microgrids. IEEE Trans. Cybern. 2020, 52, 6925–6938. [Google Scholar] [CrossRef]
- He, W.; Mo, Z. Secure event-triggered consensus control of linear multiagent systems subject to sequential scaling attacks. IEEE Trans. Cybern. 2022, 52, 10314–10327. [Google Scholar] [CrossRef]
- Wu, Y.; Zhang, H.; Wang, Z.; Huang, C. Distributed event-triggered consensus of general linear multiagent systems under directed graphs. IEEE Trans. Cybern. 2022, 52, 608–619. [Google Scholar] [CrossRef] [PubMed]
- Wei, L.; Chen, M.; Shi, S. Dynamic event-triggered consensus cost-based switching control for UAV formation with disturbances. IEEE Trans. Intell. Veh. 2024, 9, 3531–3543. [Google Scholar] [CrossRef]
- Tang, H.; Chen, Y. Dynamic event-triggered distributed MPC for heterogeneous UAVs–UGVs against DoS attacks. IEEE Trans. Aerosp. Electron. Syst. 2024, 60, 7931–7944. [Google Scholar] [CrossRef]
- Gai, W.; Li, S.; Zhang, J.; Zheng, Y.; Zhong, M. Dynamic event-triggered Hι/H∞ optimization approach to fault detection for unmanned aerial vehicles. IEEE Trans. Instrum. Meas. 2022, 71, 3512211. [Google Scholar] [CrossRef]
- Cao, Z.; Wang, S.; Ge, X.; Peng, C.; Zhao, H. A distributed self-triggered control scheme for multi-unmanned aerial vehicle containment control under Markov switching topologies and channel fading. IEEE Trans. Autom. Sci. Eng. 2025, 22, 19775–19788. [Google Scholar] [CrossRef]
- Xiao, H.; Yang, Y.; Yu, D.; Lai, G.; Chen, C.L.P. 3D self-triggered-organized communication topology based UAV swarm consensus system with distributed extended state observer. IEEE Trans. Netw. Sci. Eng. 2025, 12, 3985–4000. [Google Scholar] [CrossRef]
- Jin, Z.; Bai, L.; Wang, Z.; Zhang, P. Self-triggered distributed formation control of fixed-wing unmanned aerial vehicles subject to velocity and overload constraints. IEEE Trans. Autom. Sci. Eng. 2024, 21, 4082–4093. [Google Scholar] [CrossRef]
- Oland, E. Nonlinear Control of Fixed-Wing Unmanned Aerial Vehicles. Ph.D. Thesis, Norwegian University of Science and Technology, Trondheim, Norway, 2014. [Google Scholar]
- Qu, F.; Tong, S. Observer-based fuzzy adaptive quantized control for uncertain nonlinear multiagent systems. Int. J. Adapt. Control Signal Process. 2019, 33, 567–585. [Google Scholar] [CrossRef]
- Hagras, H.A. A hierarchical type-2 fuzzy logic control architecture for autonomous mobile robots. IEEE Trans. Fuzzy Syst. 2004, 12, 524–539. [Google Scholar] [CrossRef]
- Cheng, W.; Zhang, K.; Jiang, B. Fixed-time and prescribed-time fault-tolerant optimal tracking control for heterogeneous multiagent systems. IEEE Trans. Autom. Sci. Eng. 2024, 21, 7275–7286. [Google Scholar] [CrossRef]
- Meng, K.; He, X.; Wu, Q.; Li, D. Multi-UAV collaborative sensing and communication: Joint task allocation and power optimization. IEEE Trans. Wirel. Commun. 2023, 22, 4232–4246. [Google Scholar] [CrossRef]
- Castaneda, H.; Salas-Pena, O.S.; Leon-Morales, J. Extended observer based on adaptive second order sliding mode control for a fixed wing unmanned aerial vehicle. ISA Trans. 2017, 66, 226–232. [Google Scholar] [CrossRef] [PubMed]
- Huang, Y.; Xu, X.; Meng, Z.; Sun, J. A smooth distributed formation control method for quadrotor UAVs under event-triggering mechanism and switching topologies. IEEE Trans. Veh. Technol. 2025, 74, 10081–10091. [Google Scholar] [CrossRef]
- Li, Y.-X.; Yang, G.-H. Adaptive neural control of pure-feedback nonlinear systems with event-triggered communications. IEEE Trans. Neural Netw. Learn. Syst. 2018, 29, 6242–6251. [Google Scholar] [CrossRef]
- Tian, L.; Wang, X.; Chen, H. Heterogeneous formation tracking for fixed-wing UAVs and nonholonomic UGVs with different asymmetric constraints. IEEE Trans. Veh. Technol. 2025. [Google Scholar] [CrossRef]
- Zhang, K.; Si, D.; Wang, W.; Cao, J.; Zhang, Y. Transfer learning for distributed intelligence in aerial edge networks. IEEE Wirel. Commun. 2021, 28, 74–81. [Google Scholar] [CrossRef]











| Parameter | Value/Unit | Parameter | Value/Unit | Parameter | Value/Unit |
|---|---|---|---|---|---|
| 20.64/kg | 0.1 (constant) | 0.022 (constant) | |||
| 1.96/m | 0.25/ | 0.036/ | |||
| 1.37/ | 0.5 (constant) | −0.151/ | |||
| 0.76/m | −0.1/ | −0.195/ | |||
| 1.29/ | −0.001 (constant) | −0.036/ | |||
| g | 9.8/ | −0.038 (constant) | −0.055/ | ||
| 0.59/ | −0.213/ | 0.022 (constant) | |||
| 0.114/ | −0.056/ | −0.473/ | |||
| 0.014/ | −3.449/ | -0.364/ |
| Controller | State | ISE | ITSE | IAE | ITAE | Mp | Ts(s) |
|---|---|---|---|---|---|---|---|
| designed DSTCM | 22.7461 | 37.4350 | 10.5395 | 26.0462 | 3.0000 | 29.953 | |
| DETCM in [43] | 22.7127 | 39.3849 | 11.0861 | 36.2532 | 3.0000 | 29.956 | |
| SETCM in [44] | 22.6715 | 39.1370 | 11.1618 | 37.3086 | 3.0000 | 29.956 | |
| designed DSTCM | 26.8479 | 33.8825 | 9.7870 | 18.0662 | 4.0000 | 30.000 | |
| DETCM in [43] | 26.7273 | 35.2320 | 10.3674 | 28.4886 | 4.0000 | 29.956 | |
| SETCM in [44] | 26.6906 | 35.3287 | 10.4665 | 29.9011 | 4.0000 | 29.956 | |
| designed DSTCM | 29.7979 | 38.6264 | 10.3685 | 22.2581 | 4.2000 | 30.000 | |
| DETCM in [43] | 29.6138 | 38.9523 | 10.8179 | 29.5193 | 4.2000 | 29.956 | |
| SETCM in [44] | 29.5657 | 38.8609 | 10.9284 | 31.0335 | 4.2000 | 29.956 | |
| designed DSTCM | 39.1285 | 47.5833 | 11.6895 | 24.2927 | 5.0000 | 30.000 | |
| DETCM in [43] | 39.0405 | 50.2561 | 12.3466 | 35.2379 | 5.0000 | 29.956 | |
| SETCM in [44] | 38.9470 | 49.4091 | 12.4216 | 36.1594 | 5.0000 | 29.956 |
| Performance Metric | Algorithm | Velocity | Roll | Pitch | Yaw |
|---|---|---|---|---|---|
| Monitoring Times | designed DSTCM | 59 | 76 | 77 | 73 |
| Monitoring Times | DETCM in [43] | 5000 | 5000 | 5000 | 5000 |
| Monitoring Times | SETCM in [44] | 5000 | 5000 | 5000 | 5000 |
| Reduction Rate (%) | designed DSTCM | 98.82 | 98.48 | 98.46 | 98.54 |
| Avg. Interval (s) | designed DSTCM | 0.424 | 0.329 | 0.325 | 0.342 |
| Avg. Interval (s) | DETCM in [43] | 0.005 | 0.005 | 0.005 | 0.005 |
| Avg. Interval (s) | SETCM in [44] | 0.005 | 0.005 | 0.005 | 0.005 |
| RMSE | designed DSTCM | 0.8708 | 0.9461 | 0.9968 | 1.1422 |
| RMSE | DETCM in [43] | 0.8702 | 0.9440 | 0.9937 | 1.1409 |
| RMSE | SETCM in [44] | 0.8694 | 0.9434 | 0.9929 | 1.1396 |
Disclaimer/Publisher’s Note: The statements, opinions and data contained in all publications are solely those of the individual author(s) and contributor(s) and not of MDPI and/or the editor(s). MDPI and/or the editor(s) disclaim responsibility for any injury to people or property resulting from any ideas, methods, instructions or products referred to in the content. |
© 2025 by the authors. Licensee MDPI, Basel, Switzerland. This article is an open access article distributed under the terms and conditions of the Creative Commons Attribution (CC BY) license (https://creativecommons.org/licenses/by/4.0/).
Share and Cite
Lu, J.; Yuan, Z.; Wang, N. Dynamic Self-Triggered Fuzzy Formation Control for UAV Swarm with Prescribed-Time Convergence. Drones 2025, 9, 715. https://doi.org/10.3390/drones9100715
Lu J, Yuan Z, Wang N. Dynamic Self-Triggered Fuzzy Formation Control for UAV Swarm with Prescribed-Time Convergence. Drones. 2025; 9(10):715. https://doi.org/10.3390/drones9100715
Chicago/Turabian StyleLu, Jianhua, Zehao Yuan, and Ning Wang. 2025. "Dynamic Self-Triggered Fuzzy Formation Control for UAV Swarm with Prescribed-Time Convergence" Drones 9, no. 10: 715. https://doi.org/10.3390/drones9100715
APA StyleLu, J., Yuan, Z., & Wang, N. (2025). Dynamic Self-Triggered Fuzzy Formation Control for UAV Swarm with Prescribed-Time Convergence. Drones, 9(10), 715. https://doi.org/10.3390/drones9100715

