An Underwater Salvage Robot for Retrieving Foreign Objects in Nuclear Reactor Pools
Abstract
1. Introduction
- A novel underwater salvage robot featuring a modular architecture with mobile, gripping, vision, and control subsystems. Radiation protection is applied to sensitive components to ensure reliable operation in the high-risk environment of nuclear pools.
- A set of LED beacons with distinct color patterns is designed to serve as an information source for underwater visual localization. Combined with IMU-based positioning, this approach improves the system’s underwater localization accuracy.
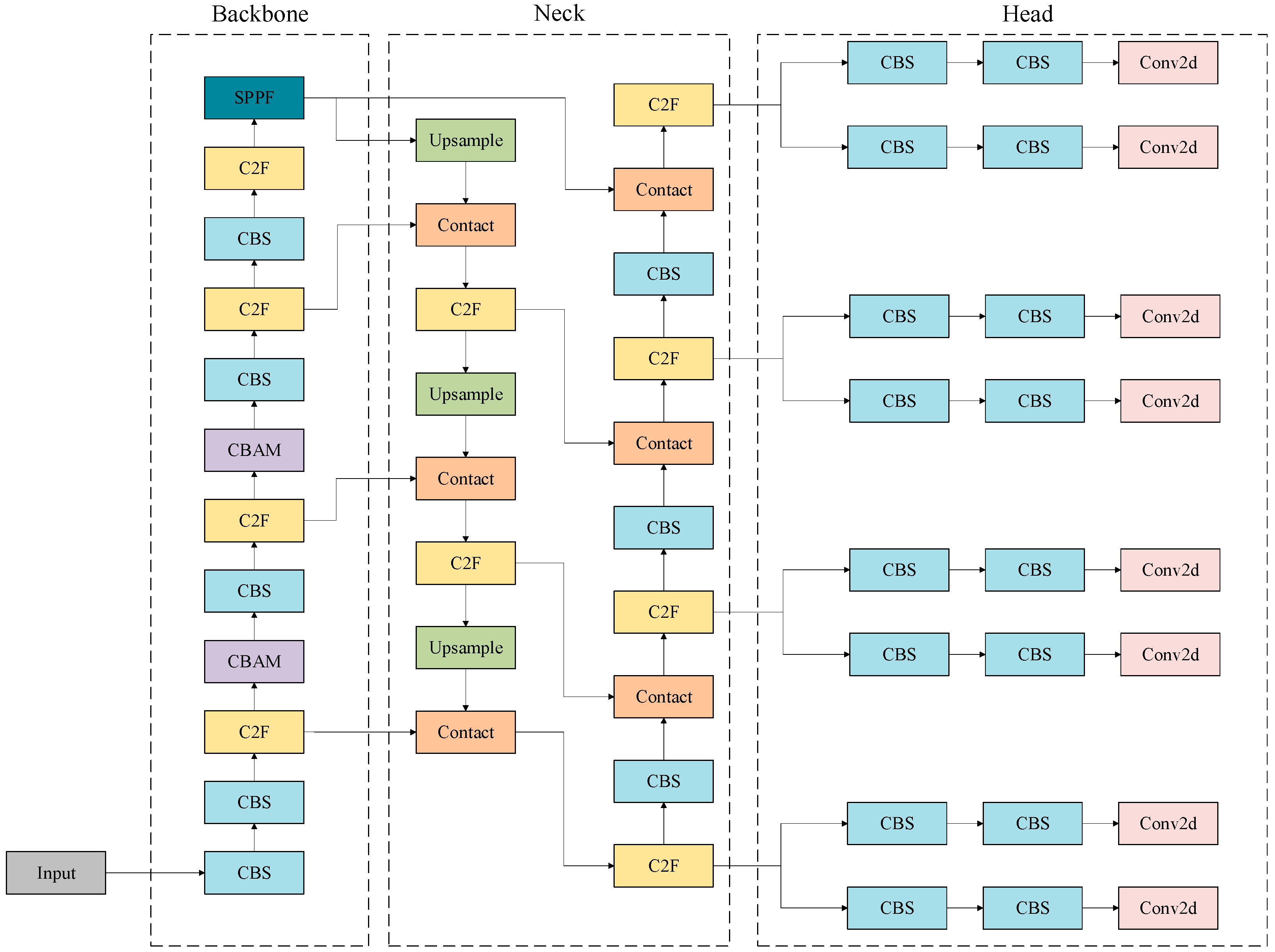
- An enhanced YOLOv8s-based detection network incorporating an added high-resolution detection layer and a CBAM attention mechanism is proposed, which significantly improves the success rate of detecting small underwater targets.
2. Operational Environment and Overall Design Scheme
2.1. Operational Environment
2.2. Overall Design Scheme of the Underwater Salvage Robot
3. Nuclear Reactor Pool Traversal Function
3.1. Traversal-Path Planning Strategy
3.2. Underwater Localization Strategy
3.3. Motion Control Strategy
4. Foreign-Object Identification, Localization, and Grasping Function
4.1. Foreign-Object Identification Algorithm
4.2. Foreign-Object Localization Algorithm
4.3. Foreign-Object Grasping Strategy
5. Experiments
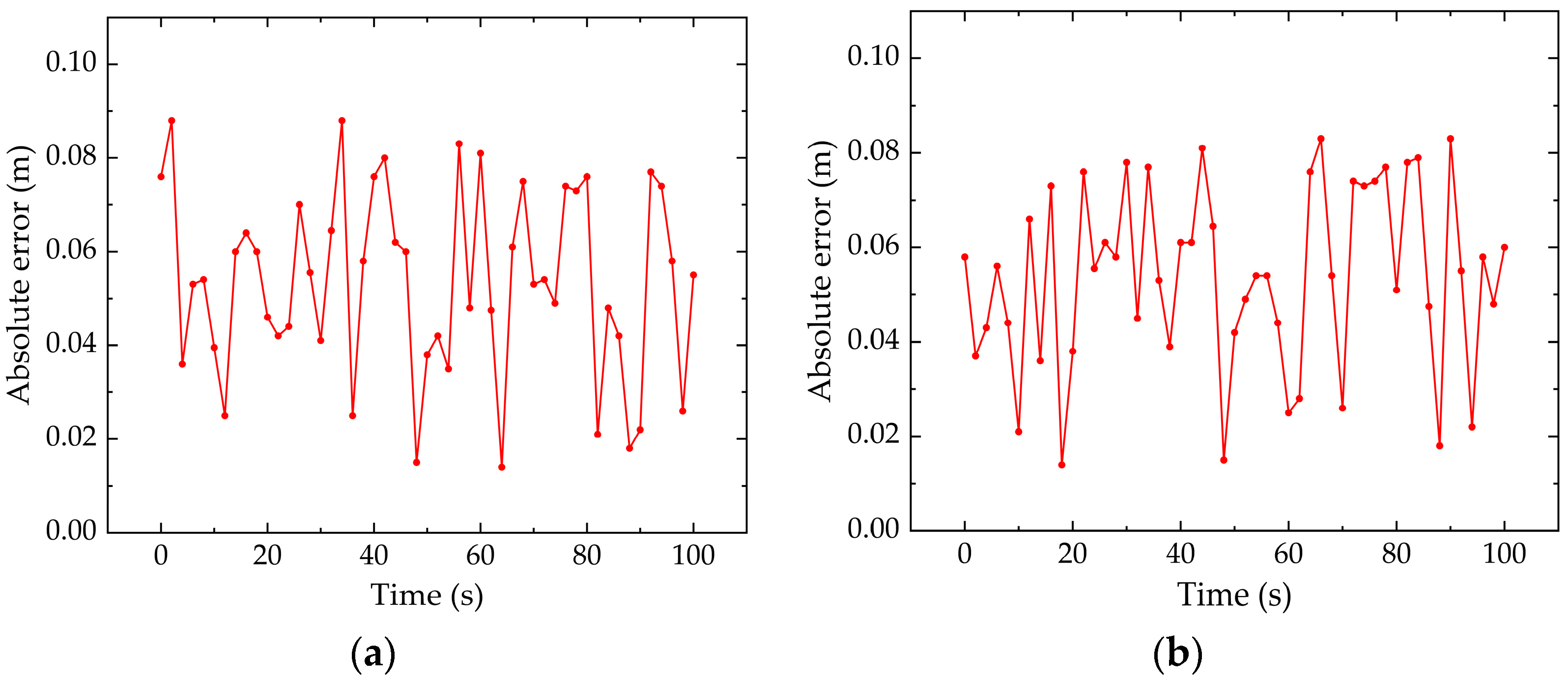
5.1. Underwater Localization and Navigation Experiments
5.2. Foreign-Object Identification, Localization, and Grasping Experiments
5.3. Autonomous Underwater Object-Retrieval Experiments
6. Conclusions
- A power supply scheme that steps down the high-voltage direct current and transmits it through cables could be adopted to support prolonged operation of the USR;
- Dynamic images could be preprocessed using deep learning-based dynamic scene deblurring algorithms to enhance the system’s recognition accuracy and localization precision of target objects;
- The triple-loop control strategy could be employed to drive the motors of the Delta arm, thereby enhancing both the absolute positioning accuracy of the end-effector and its resistance to water flow disturbances;
- An automatic quick-change end-effector system with multiple grasping tools, including three-finger grippers, two-finger grippers, and electromagnetic actuators, could be developed to handle targets of different shapes;
- The system’s radiation tolerance could be improved, and experiments within a real nuclear reactor pool need to be conducted.
Author Contributions
Funding
Data Availability Statement
Conflicts of Interest
References
- Kim, J.H.; Lee, J.C.; Choi, Y.R. LAROB: Laser-Guided Underwater Mobile Robot for Reactor Vessel Inspection. IEEE/ASME Trans. Mechatron. 2014, 19, 1216–1225. [Google Scholar] [CrossRef]
- Cho, B.H.; Byun, S.H.; Shin, C.H.; Yang, J.B.; Song, S.I.; Oh, J.M. KeproVt: Underwater Robotic System for Visual Inspection of Nuclear Reactor Internals. Nucl. Eng. Des. 2004, 231, 327–335. [Google Scholar] [CrossRef]
- Park, J.Y.; Cho, B.H.; Lee, J.K. Trajectory-tracking Control of Underwater Inspection Robot for Nuclear Reactor Internals Using Time Delay Control. Nucl. Eng. Des. 2009, 239, 2543–2550. [Google Scholar] [CrossRef]
- Mazumdar, A.; Lozano, M.; Fittery, A.; Asada, H.H. A Compact, Maneuverable, Underwater Robot for Direct Inspection of Nuclear Power Piping systems. In Proceedings of the 2012 IEEE International Conference on Robotics and Automation (RAS), Saint Paul, MN, USA, 14–18 May 2012; pp. 2818–2823. [Google Scholar]
- Josip, J.; Markulin, K.; Pavlović, N. TARGET–Development of Submersible ROV System for BMN Inspection. J. Energy Energ. 2022, 71, 24–28. [Google Scholar]
- Leon-Rodriguez, H.E.; Sattar, T.; Shang, J.; Bouloubasis, A.K.; Markopoulos, Y.P. Wall Climbing and Pipe Crawler Robots for Nozzle Weld Inspection Inside Nuclear Pressure Vessels. In Proceedings of the 9th International Conference on Climbing and Walking Robots and the Support Technologies for Mobile Machines (CLAWAR), Brussels, Belgium, 12–14 September 2006; pp. 545–551. [Google Scholar]
- Luo, Y.; Tao, J.; Sun, Q.; Deng, L.; Deng, Z. A New Underwater Robot for Crack Welding in Nuclear Power Plants. In Proceedings of the 2018 IEEE International Conference on Robotics and Biomimetics (ROBIO), Kuala Lumpur, Malaysia, 12–15 December 2018; pp. 77–82. [Google Scholar]
- Lee, S.U.; Choi, Y.S.; Jeong, K.M.; Jung, S. Development of a Tele-operated Underwater Robotic System for maintaining a light-water type power reactor. In Proceedings of the 2006 SICE-ICASE International Joint Conference, Busan, Republic of Korea, 18–21 October 2006; pp. 3017–3021. [Google Scholar]
- Iborra, A.; Alvarez, B.; Navarro, P.J.; Fernandez, J.M.; Pastor-Franco, J.A. Robotized system for retrieving fallen objects within the reactor vessel of a nuclear power plant (PWR). In Proceedings of the 2000 IEEE International Symposium on Industrial Electronics (ISIE), Cholula, Puebla, Mexico, 4–8 December 2000; pp. 529–534. [Google Scholar]
- Zhang, L.; Lan, Q.; Yu, L.; Wang, C.; Chen, W.; Lei, Y. Development of a Cleaning ROV for High-Temperature Radioactive Environment. In Proceedings of the International Conference on Intelligent Robotics and Applications (ICRA), Singapore, 31 July 2024; pp. 116–130. [Google Scholar]
- Dong, M.J.; Chou, W.S.; Yao, G.D. A new navigation strategy for underwater robot in reactor pool combined propeller speed detection and dynamics analysis with sonar data correction. J. Nucl. Sci. Technol. 2018, 55, 1–10. [Google Scholar] [CrossRef]
- Martinez, A.; Hernandez, L.; Sahli, H.; Valeriano-Medina, Y.; Orozco-Monteagudo, M.; Garcia-Garcia, D. Model-aided Navigation with Sea Current Estimation for an Autonomous Underwater Vehicle. Int. J. Adv. Robot. Syst. 2015, 12, 103. [Google Scholar] [CrossRef]
- Zhai, Y.Y.; Gong, Z.B.; Wang, L.; Zhang, R.Y.; Luo, H.X. Study of Underwater Positoning Based on Short Baseline Sonar System. In Proceedings of the 2009 International Conference on Artificial Intelligence and Computational Intelligence (AICI), Shanghai, China, 7–8 November 2009; pp. 343–346. [Google Scholar]
- Bahr, A.; Leonard, J.J.; Fallon, M.F. Cooperative Localization for Autonomous Underwater Vehicles. Int. J. Robot. Res. 2009, 28, 714–728. [Google Scholar] [CrossRef]
- Sato, Y.; Maki, T.; Mizushima, H.; Matsuda, T.; Sakamaki, T. Evaluation of Position Estimation of AUV Tri-TON 2 in Real Sea Experiments. In Proceedings of the OCEANS 2015—Genova, Genova, Italy, 18–21 May 2015; pp. 1–6. [Google Scholar]
- Jung, J.; Li, J.H.; Choi, H.T.; Myung, H. Localization of AUVs using visual information of underwater structures and artificial landmarks. Intell. Serv. Robot. 2017, 10, 67–76. [Google Scholar] [CrossRef]
- Zhang, S.; Zhao, S.; An, D.; Liu, J.; Wang, H.; Feng, Y.; Li, D.; Zhao, R. Visual SLAM for underwater vehicles: A survey. Comput. Sci. Rev. 2022, 46, 100510. [Google Scholar] [CrossRef]
- Beijbom, O.; Edmunds, P.J.; Kline, D.I.; Mitchell, B.G.; Kriegman, D. Automated annotation of coral reef survey images. In Proceedings of the 2012 IEEE Conference on Computer Vision and Pattern Recognition (CVPR), Providence, RI, USA, 16–21 June 2012; pp. 1170–1177. [Google Scholar]
- Kim, D.; Lee, D.; Myung, H.; Choi, H.T. Artificial landmark-based underwater localization for AUVs using weighted template matching. Intel. Serv. Robot. 2014, 7, 175–184. [Google Scholar] [CrossRef]
- Barat, C.; Phlypo, R. A Fully Automated Method to Detect and Segment a Manufactured Object in an Underwater Color Image. EURASIP J. Adv. Signal Process. 2010, 1, 568092. [Google Scholar] [CrossRef]
- Terven, J.; Córdova-Esparza, D.M.; Romero-González, J.A. A comprehensive review of yolo architectures in computer vision: From yolov1 to yolov8 and yolo-nas. Mach. Learn. Knowl. Extr. 2023, 20, 1680–1716. [Google Scholar] [CrossRef]
- Ren, S.; He, K.; Girshick, R.; Sun, J. Faster R-CNN: Towards real-time object detection with region proposal networks. IEEE Trans. Pattern Anal. Mach. Intell. 2016, 39, 1137–1149. [Google Scholar] [CrossRef]
- Hanson, S.C.; Hayes, R.B. Radiation Hardness Assurance by Redundancy in Raspberry Pi Zero W Computation Metrics via Total Ionizing Dose 60Co Testing for Spacecraft Applications. Health Phys. 2025, 128, 457–466. [Google Scholar] [CrossRef]
- Abubakkar, S.F.O.; Zabah, N.F.; Abdullah, Y.; Fauzi, D.A.; Muridan, N.; Hasbullah, N.F. Effects of electron radiation on commercial power MOSFET with buck converter application. Nucl. Sci. Tech. 2017, 28, 31. [Google Scholar] [CrossRef]
- Huang, Q. Investigation of Radiation-Hardened Design of Electronic Systems with Applications to Post-Accident Monitoring for Nuclear Power Plants. Ph.D. Thesis, The University of Western Ontario, London, ON, Canada, 2019. [Google Scholar]
- Luo, R.; Kang, D.; Huang, C.; Yan, T.; Li, P.; Ren, H.; Zhang, Z. Mechanical properties, radiation resistance performances, and mechanism insights of nitrile butadiene rubber irradiated with high-dose gamma rays. Polymers 2023, 15, 3723. [Google Scholar] [CrossRef]
- Porter, C.P.; Edge, R.; Ogden, M.D. Polymeric seal degradation in nuclear power plants: Effect of gamma radiation on sealing properties. J. Appl. Polym. Sci. 2017, 134, 44618. [Google Scholar] [CrossRef]
- Zenoni, A.; Bignotti, F.; Donzella, A.; Donzella, G.; Ferrari, M.; Pandini, S.; Andrighetto, A.; Ballan, M.; Corradetti, S.; Manzolaro, M.; et al. Radiation resistance of elastomeric O-rings in mixed neutron and gamma fields: Testing methodology and experimental results. Rev. Sci. Instrum. 2017, 88, 113304. [Google Scholar] [CrossRef]
- Kaur, R.; Saini, D. Image enhancement of underwater digital images by utilizing L* A* B* color space on gradient and CLAHE based smoothing. Image 2016, 4, 22–30. [Google Scholar] [CrossRef]
- Kaur, S.; Singh, I. Comparison between edge detection techniques. Int. J. Comput. Appl. 2016, 145, 15–18. [Google Scholar] [CrossRef]
- Liang, L.; Chen, J.; Shi, J.; Zhang, K.; Zheng, X. Noise-Robust image edge detection based on multi-scale automatic anisotropic morphological Gaussian Kernels. PLoS ONE 2025, 20, e0319852. [Google Scholar] [CrossRef]
- Kierkegaard, P. A method for detection of circular arcs based on the Hough transform. Mach. Vis. Appl. 1992, 5, 249–263. [Google Scholar] [CrossRef]
- Leng, D.; Sun, W. Finding all the solutions of PnP problem. In Proceedings of the 2009 IEEE International Workshop on Imaging Systems and Techniques (IST), Shenzhen, China, 11–12 May 2009; pp. 348–352. [Google Scholar]
- Li, Q.; Li, R.; Ji, K.; Dai, W. Kalman Filter and Its Application. In Proceedings of the 2015 8th International Conference on Intelligent Networks and Intelligent Systems (ICINIS), Tianjin, China, 1–3 November 2015; pp. 74–77. [Google Scholar]
- Ren, F.; Hu, Q. ROV sliding mode controller design and simulation. Processes 2023, 11, 2359. [Google Scholar] [CrossRef]
- Garcia-Nava, S.; García-Rangel, M.A.; Zamora-Suárez, Á.E.; Manzanilla-Magallanes, A.; Muñoz, F.; Lozano, R.; Serrano-Almeida, A. Development of a 6 Degree of Freedom Unmanned Underwater Vehicle: Design, Construction and Real-Time Experiments. J. Mar. Sci. Eng. 2023, 11, 1744. [Google Scholar] [CrossRef]
- González-García, J.; Gómez-Espinosa, A.; García-Valdovinos, L.G.; Salgado-Jiménez, T.; Cuan-Urquizo, E.; Escobedo Cabello, J.A. Experimental validation of a model-free high-order sliding mode controller with finite-time convergence for trajectory tracking of autonomous underwater vehicles. Sensors 2022, 22, 488. [Google Scholar] [CrossRef] [PubMed]
- Maalouf, D.; Chemori, A.; Creuze, V. L1 adaptive depth and pitch control of an underwater vehicle with real-time experiments. Ocean Eng. 2015, 98, 66–77. [Google Scholar] [CrossRef]
- Velazquez, M.; Cruz, D.; Garcia, S.; Bandala, M. Velocity and Motion Control of a Self-Balancing Vehicle Based on a Cascade Control Strategy. Int. J. Adv. Robot. Syst. 2016, 13, 106. [Google Scholar] [CrossRef]
- Akçakaya, H.; Yildiz, H.A.; Sağlam, G.; Gürleyen, F. Sliding mode control of autonomous underwater vehicle. In Proceedings of the 2009 International Conference on Electrical and Electronics Engineering (ICEEE), Bursa, Turkey, 5–8 November 2009; pp. II–332–II–336. [Google Scholar]
- Guo, L.; Liu, W.; Li, L.; Lou, Y.; Wang, X.; Liu, Z. Neural network non-singular terminal sliding mode control for target tracking of underactuated underwater robots with prescribed performance. J. Mar. Sci. Eng. 2022, 10, 252. [Google Scholar] [CrossRef]
- Bouzerzour, H.; Guiatni, M.; Hamerlain, M.; Allam, A. Vision-based Sliding Mode Control with Exponential Reaching Law for Uncooperative Ground Target Searching and Tracking by Quadcopter. In Proceedings of the 19th International Conference on Informatics in Control, Automation and Robotics (ICINCO), Lisbon, Portugal, 14–16 July 2022; pp. 555–564. [Google Scholar]
- Lee, H.; Utkin, V.I. Chattering suppression methods in sliding mode control systems. Annu. Rev. Control 2007, 31, 179–188. [Google Scholar]
- Lu, Y.; Wu, J.; Zhou, H. Trajectory tracking control of underwater vehicle based on hydrodynamic parameters calculated by CFD. Chin. J. Ship Res. 2022, 17, 237–245. [Google Scholar]
- Ma, Y.; Cheng, Y.; Zhang, D. Comparative analysis of traditional and deep learning approaches for underwater remote sensing image enhancement: A quantitative study. J. Mar. Sci. Eng. 2025, 13, 899. [Google Scholar] [CrossRef]
- Sohan, M.; Sai Ram, T.; Rami Reddy, C.V. A review on yolov8 and its advancements. In Proceedings of the International Conference on Data Intelligence and Cognitive Informatics (ICDICI), Singapore, 7 January 2024; pp. 529–545. [Google Scholar]
- Zhong, M.; Ma, Y.; Li, Z.; He, J.; Liu, Y. Facade Protrusion Recognition and Operation Effect Inspection Methods Based on Binocular Vision for Wall-Climbing Robots. Appl. Sci. 2023, 13, 5721. [Google Scholar] [CrossRef]
- Woo, S.; Park, J.; Lee, J.Y.; Kweon, I.S. Cbam: Convolutional block attention module. In Proceedings of the European Conference on Computer vision (ECCV), Munich, Germany, 8–14 September 2018; pp. 3–19. [Google Scholar]




























| Time/s | Distance/m | Pure Visual Localization | Multi-Sensor Fusion Localization | ||
|---|---|---|---|---|---|
| Average Absolute Error/mm | Relative Error/% | Average Absolute Error/mm | Relative Error/% | ||
| 0 | 10 | 421.2 | 4.21 | 84.7 | 0.84 |
| 2 | 9 | 394.6 | 4.38 | 70.3 | 0.78 |
| 4 | 8 | 352.6 | 4.41 | 63.1 | 0.79 |
| 6 | 7 | 267.2 | 3.82 | 58.1 | 0.83 |
| 8 | 6 | 171.6 | 2.86 | 53.2 | 0.87 |
| 10 | 5 | 86.2 | 1.72 | 37.1 | 0.74 |
| 12 | 4 | 46.1 | 1.15 | 31.6 | 0.79 |
| 14 | 3 | 26.1 | 0.87 | 22.5 | 0.75 |
| 16 | 2 | 21.2 | 1.06 | 19.4 | 0.97 |
| 18 | 1 | 16.9 | 1.69 | 16.6 | 1.66 |
| Model | mAP (%) | Detection Speed (s/pic) |
|---|---|---|
| Improved YOLOv8s | 92.2 | 0.088 |
| YOLOv8s | 88.5 | 0.076 |
| YOLOv5s | 86.9 | 0.094 |
| Faster-RCNN | 88.9 | 0.599 |
| No. | Number of Objects | Successful Detection | Successful Retrieval | Detection % (95% CI) | Retrieval % (95% CI) |
|---|---|---|---|---|---|
| 1 | 10 | 9 | 9 | 90.0 (59.59–98.21) | 90.0 (59.59–98.21) |
| 2 | 13 | 12 | 11 | 92.3 (66.69–98.63) | 84.6 (57.77–95.68) |
| 3 | 8 | 8 | 8 | 100 (67.56–100) | 100 (67.56–100) |
| 4 | 12 | 12 | 10 | 100 (75.75–100) | 83.3 (55.19–95.3) |
| 5 | 11 | 11 | 10 | 100 (74.12–100) | 90.9 (62.27–90.91) |
| 6 | 14 | 13 | 11 | 92.9 (68.53–98.73) | 78.6 (52.41–92.43) |
| 7 | 5 | 5 | 5 | 100 (56.55–100) | 100 (56.55–100) |
| 8 | 7 | 6 | 6 | 85.7 (48.68–97.43) | 85.7 (48.68–97.43) |
| 9 | 15 | 14 | 14 | 93.3 (70.18–98.81) | 93.3 (70.18–98.81) |
| 10 | 13 | 13 | 13 | 100 (77.19–100) | 100 (77.19–100) |
Disclaimer/Publisher’s Note: The statements, opinions and data contained in all publications are solely those of the individual author(s) and contributor(s) and not of MDPI and/or the editor(s). MDPI and/or the editor(s) disclaim responsibility for any injury to people or property resulting from any ideas, methods, instructions or products referred to in the content. |
© 2025 by the authors. Licensee MDPI, Basel, Switzerland. This article is an open access article distributed under the terms and conditions of the Creative Commons Attribution (CC BY) license (https://creativecommons.org/licenses/by/4.0/).
Share and Cite
Zhong, M.; Gao, Z.; Mao, Z.; Lyu, R.; Liu, Y. An Underwater Salvage Robot for Retrieving Foreign Objects in Nuclear Reactor Pools. Drones 2025, 9, 714. https://doi.org/10.3390/drones9100714
Zhong M, Gao Z, Mao Z, Lyu R, Liu Y. An Underwater Salvage Robot for Retrieving Foreign Objects in Nuclear Reactor Pools. Drones. 2025; 9(10):714. https://doi.org/10.3390/drones9100714
Chicago/Turabian StyleZhong, Ming, Zihan Gao, Zhengxiong Mao, Ruifei Lyu, and Yaxin Liu. 2025. "An Underwater Salvage Robot for Retrieving Foreign Objects in Nuclear Reactor Pools" Drones 9, no. 10: 714. https://doi.org/10.3390/drones9100714
APA StyleZhong, M., Gao, Z., Mao, Z., Lyu, R., & Liu, Y. (2025). An Underwater Salvage Robot for Retrieving Foreign Objects in Nuclear Reactor Pools. Drones, 9(10), 714. https://doi.org/10.3390/drones9100714

