Next Issue
Volume 11, October
Previous Issue
Volume 11, August
 
 

Horticulturae, Volume 11, Issue 9 (September 2025) – 152 articles

Cover Story (view full-size image): Increasing salinity, resulting from climate change and unsustainable cultivation practices, threatens vegetable production. This review synthesizes innovative and sustainable management strategies for both soil-based and soilless systems to enhance salinity tolerance. Key findings demonstrate the efficacy of precise fertigation, deficit irrigation, and grafting onto resilient rootstocks, such as crop wild relatives and landraces for optimizing resource use and mitigating stress. Furthermore, biofortification and biostimulant application support plant adaptation by improving nutrient uptake antioxidant activity, and osmotic regulation. Our novel synthesis provides a unified, practical guide for improving resilience and productivity of high-value vegetable crops, offering actionable insights for sustainable production under salt stress. View this paper
  • Issues are regarded as officially published after their release is announced to the table of contents alert mailing list.
  • You may sign up for e-mail alerts to receive table of contents of newly released issues.
  • PDF is the official format for papers published in both, html and pdf forms. To view the papers in pdf format, click on the "PDF Full-text" link, and use the free Adobe Reader to open them.
Order results
Result details
Section
Select all
Export citation of selected articles as:
14 pages, 3626 KB  
Article
Agronomic Characteristics of Several Italian Olive Cultivars and Evaluation for High-Density Cultivation in Central Italy
by Nicola Cinosi, Mona Mazeh, Alessandro Pilli, Antonio Rende, Daniela Farinelli, Claudio Di Vaio, Adolfo Rosati and Franco Famiani
Horticulturae 2025, 11(9), 1147; https://doi.org/10.3390/horticulturae11091147 - 22 Sep 2025
Cited by 1 | Viewed by 2239
Abstract
The adaptability of several Italian olive cultivars to high-density cultivation was evaluated from 2020 to 2024 in central Italy by assessing their agronomic behavior, with the aim of identifying which Italian olive cultivars can combine high productivity and suitability for intensive mechanization—through high- [...] Read more.
The adaptability of several Italian olive cultivars to high-density cultivation was evaluated from 2020 to 2024 in central Italy by assessing their agronomic behavior, with the aim of identifying which Italian olive cultivars can combine high productivity and suitability for intensive mechanization—through high- and very high-density planting systems—allowing biodiversity valorization. The cultivars were Borgiona, Don Carlo, FS17, Gentile di Anghiari, Gentile di Montone, Giulia, Leccio del Corno, Maurino, Moraiolo, Pendolino, Piantone di Falerone, and Piantone di Mogliano. The international cultivar Arbequina was used as a reference. The olive orchard was planted in 2015, at a tree spacing of 5 m × 2 m (1000 trees/ha). Arbequina was found to have limited vigor and high production efficiency, as reported in other works, therefore confirming its suitability for high-density and super-high-density cultivation. Some cultivars, such as Leccio del Corno, Maurino, FS17, Piantone di Mogliano, and Piantone di Falerone, had a production and yield efficiency that was not different from or even higher than Arbequina. Other cultivars found to be promising were Don Carlo and Gentile di Anghiari, which had a slightly lower productive performance than Arbequina. Overall, the results are encouraging and suggest that some of these cultivars may be suitable candidates for high- and super-high-density olive orchards. This suitability is further supported by their favorable fruit characteristics, which appear to facilitate efficient mechanical harvesting. However, additional data is necessary to enable a more comprehensive assessment of these cultivars, particularly their capacity to maintain canopy dimensions compatible with straddle harvester operation, while maintaining a stable vegetative–reproductive balance over time. Full article
(This article belongs to the Section Fruit Production Systems)
Show Figures

Figure 1

16 pages, 1643 KB  
Article
Detection of Abscisic Acid and Jasmonates in Stigma Exudates and Their Role in Pollen Germination
by Maria Breygina, Dmitry V. Kochkin, Anna Podobedova, Maria Kushunina, Danil Afonin and Ekaterina Klimenko
Horticulturae 2025, 11(9), 1146; https://doi.org/10.3390/horticulturae11091146 - 21 Sep 2025
Cited by 2 | Viewed by 1402
Abstract
Pollen–stigma interactions have been studied extensively because they play an important role in sexual reproduction and crop yield. The vast majority of studies have focused on dry stigmas, which are typical of many model and agricultural plants; however, the data obtained are difficult [...] Read more.
Pollen–stigma interactions have been studied extensively because they play an important role in sexual reproduction and crop yield. The vast majority of studies have focused on dry stigmas, which are typical of many model and agricultural plants; however, the data obtained are difficult to apply to plants with wet stigmas, such as tomato and tobacco. Pollen germination in this case occurs in a liquid, an exudate, which has a complex, species-specific composition. UPLC-ESI-MS-based hormone screening was carried out for six plant genera belonging to Solanaceae, Bromeliaceae, and Gesneriaceae families and revealed jasmonic acid (JA), abscisic acid (ABA) and/or jasmonoyl-L-isoleucine (IleJA) in stigma exudates of tobacco, tomato, and Streptocarpus sp. To assess the physiological significance of plant hormones in stigma exudate we tested their effect in vitro, finding that JA, IleJA, and MeJa significantly stimulated germination of tobacco pollen, with JA being most effective in accordance with its predominance in the stigma exudate; furthermore, ABA stimulated pollen germination in all tested species including bromeliads despite the lack of this hormone in their exudates. Both JA and ABA had an anti-oxidant effect on germinating pollen. Possible functions of hormones and ROS in exudate as well as ways of implementing the anti-oxidant effect of phytohormones are discussed. Full article
(This article belongs to the Special Issue The Role of Plant Growth Regulators in Horticulture)
Show Figures

Figure 1

13 pages, 758 KB  
Article
Analysis of the Antioxidant Capacity of Whole-Fruit Tomato Powder Using the Ferric Reducing Antioxidant Power (FRAP) Assay—An Eco-Friendly Approach for the Valorization of Horticultural Products
by Iuliana Marcu, Gabriel-Lucian Radu and Annette Madelene Dăncilă
Horticulturae 2025, 11(9), 1145; https://doi.org/10.3390/horticulturae11091145 - 21 Sep 2025
Cited by 1 | Viewed by 3297
Abstract
The present study aims to evaluate the antioxidant activity of tomato powders obtained from whole tomatoes of three local cultivars—Andrada, Hera, and Kristinica—using the Ferric Reducing Antioxidant Power (FRAP) assay. The cultivars were grown in open fields without additional treatments or fertilizer application. [...] Read more.
The present study aims to evaluate the antioxidant activity of tomato powders obtained from whole tomatoes of three local cultivars—Andrada, Hera, and Kristinica—using the Ferric Reducing Antioxidant Power (FRAP) assay. The cultivars were grown in open fields without additional treatments or fertilizer application. Ascorbic acid was used as a reference antioxidant standard. Results indicated that Andrada powder exhibited the highest antioxidant activity, at 248.1 ± 5.3 µmol Fe2+/100 g, followed by Hera (235.6 ± 4.9 µmol Fe2+/100 g) and Kristinica (212.8 ± 5.1 µmol Fe2+/100 g), while ascorbic acid, used as a positive control, showed the highest overall antioxidant capacity (260.0 ± 4.5 µmol Fe2+/100 g). The high lycopene and flavonoid content of the analyzed powders supports their potential as functional ingredients in food applications and their use in horticulture. This research is particularly relevant as it promotes a sustainable approach for the utilization of tomato products, aligning with the principles of circular agriculture. Full article
(This article belongs to the Section Vegetable Production Systems)
Show Figures

Figure 1

15 pages, 3124 KB  
Article
Effects of an Inter-Row Reflective Ground Film on Technological Quality and Phenolic Composition of ‘Pinot Noir’ Grapes in Southern Chile
by Ariel Muñoz-Alarcón, Marjorie Reyes-Díaz, Ignacio Serra, Jorge González-Villagra, Nicolás Carrasco-Catricura, Fanny Pirce and Alejandra Ribera-Fonseca
Horticulturae 2025, 11(9), 1144; https://doi.org/10.3390/horticulturae11091144 - 20 Sep 2025
Viewed by 1485
Abstract
Climate change has promoted the expansion of viticulture toward southern Chile. However, in regions like La Araucanía, low heat accumulation and high rainfall often limit ripening and phenolic development in Vitis vinifera L. grapes. To address this, the use of reflective ground films [...] Read more.
Climate change has promoted the expansion of viticulture toward southern Chile. However, in regions like La Araucanía, low heat accumulation and high rainfall often limit ripening and phenolic development in Vitis vinifera L. grapes. To address this, the use of reflective ground films has been proposed to enhance light interception by the canopy. This study evaluated the effect of reflective ground film on the technological and phenolic quality of cv. ‘Pinot Noir’ grapes. The trial was conducted using three treatments: (1) control without film, (2) reflective ground film installed at the onset of veraison (FV), and (3) reflective ground film installed at 80% veraison (F80V). A randomized complete block design with four replicates per treatment was used. At harvest, total soluble solids (TSS), total acidity, pH, yield, total phenols, and anthocyanins were measured. The FV treatment increased reflected light by up to 60% and significantly enhanced TSS (7.3%), total phenols (7.2%), and anthocyanins (69.3%) compared to the control. No significant differences were observed in acidity, pH, or yield. The results indicate that installing reflective ground film at veraison improves ripening and phenolic accumulation in cold climate vineyards. Full article
(This article belongs to the Special Issue Climate Change and Adaptive Modern Strategies in Viticulture)
Show Figures

Graphical abstract

20 pages, 2416 KB  
Article
Effects of Corn Stover Biochar on Soil Bacterial and Fungal Biomarkers in Greenhouse Tomatoes Under Mulched Drip Irrigation
by Jianglong An, Lijian Zheng, Ruifeng Sun, Xufeng Li, Li Ma and Juanjuan Ma
Horticulturae 2025, 11(9), 1143; https://doi.org/10.3390/horticulturae11091143 - 19 Sep 2025
Cited by 1 | Viewed by 1119
Abstract
Although the role of biochar in enhancing soil quality has been extensively studied, its specific effects on the changes of soil bacteria and fungi in greenhouse tomato under mulched drip irrigation are not yet fully understood. In order to understand the above-mentioned changes, [...] Read more.
Although the role of biochar in enhancing soil quality has been extensively studied, its specific effects on the changes of soil bacteria and fungi in greenhouse tomato under mulched drip irrigation are not yet fully understood. In order to understand the above-mentioned changes, a two-year experiment on greenhouse tomatoes with mulched drip irrigation was conducted. The objective of this experiment was to explore the relationship between different irrigation levels (W1: 50–70% of the field capacity W2: 60–80% of the field capacity, and W3: 70–90% of the field capacity) and different biochar application rates (B0: 0 t/ha, B1: 15 t/ha, B2: 30 t/ha, B3: 45 t/ha, and B4: 60 t/ha) on soil bacteria and fungi. The results demonstrated that the soil bacterial Chao index was influenced by biochar application and water-biochar interactions, while the soil fungal α-diversity index and bacterial and fungal β-diversity were predominantly impacted by the irrigation level. The random forest modelling indicated that soil bacterial biomarkers were predominantly rare genera, while fungal biomarkers contained both dominant and rare genera. In comparison with the B0 treatment, biochar application resulted in an enhancement of the abundance of bacterial biomarkers associated with nutrient cycling, including Galbibacter (400.90–2216.22%) at the W3 levels. The B4 treatment at both W3 and W2 levels reduced the relative abundance of the pathogenic fungus Aspergillus sp., but the rest of the biochar treatments enhanced it by 4.69–108.16% and 55.86–213.30%, respectively. The Mantel test demonstrated that soil water content was the most significant influencing factor for all soil bacterial and fungal biomarkers. Biochar application significantly altered major bacterial biomarker functions in mulched drip irrigation, while fungal biomarker functions were mainly affected by irrigation levels and water-biochar interactions. At the W3 level, biochar application significantly reduced the relative abundance of Saprotroph–Symbiotroph by 83.44–97.92%. These results serve as a reminder of the critical importance of soil health sustainability in integrated crop management decisions and provide valuable insights for improving soil quality under mulched drip irrigation. Full article
(This article belongs to the Section Plant Nutrition)
Show Figures

Figure 1

16 pages, 3431 KB  
Article
Effects of Ozone Treatment on Reactive Oxygen Species Metabolism and Storage Quality of Flat Jujubes (Ziziphus jujuba Mill. cv. Panzao)
by Xuyang Peng, Pufan Zheng, Xiaoxue Li, Cunkun Chen, Chenghu Dong, Na Zhang, Haipeng Ji, Jinze Yu, Ying Gao, Tinghu Ju, Yinxing Zhang, Ruixiang Yan and Aiqiang Chen
Horticulturae 2025, 11(9), 1142; https://doi.org/10.3390/horticulturae11091142 - 19 Sep 2025
Viewed by 1404
Abstract
Moderate ozone exposure has emerged as a sustainable strategy to enhance postharvest quality in perishable fruits. This study investigated the effects of ozone treatment (2.14–19.27 mg/m3) on flat jujube during 70-day cold storage (0 °C). Results demonstrated that following 70 days [...] Read more.
Moderate ozone exposure has emerged as a sustainable strategy to enhance postharvest quality in perishable fruits. This study investigated the effects of ozone treatment (2.14–19.27 mg/m3) on flat jujube during 70-day cold storage (0 °C). Results demonstrated that following 70 days of storage, the ideal ozone concentration (10.72 mg/m3, T2) led to a decrease in weight loss of 44.8% and preserved 66.7% firmness when compared to the control check (CK) group. The T2 group suppressed the respiration rate and delayed declines in total soluble solids (TSSs) and titratable acid (TA). Mechanistically, ozone enhances enzymatic activity, with T2 elevating superoxide dismutase (SOD), catalase (CAT), and peroxiredoxin (POD) activities while reducing the accumulation of reactive oxygen species (ROS) and lipid peroxidation. Total phenolics and flavonoids in T2 remained 42% and 52% higher than CK at 56 days, correlating with elevated 2,2-Diphenyl-1-picrylhydrazyl (DPPH) and 2,2′-Azinobis-(3-ethylbenzthiazoline-6-sulphonate) (ABTS) scavenging activities. Browning inhibition (25% lower than the CK group) is linked to suppressed polyphenol oxidase (PPO) activity and phenolic oxidation. Principal component analysis (PCA) confirmed ozone’s efficacy in delaying senescence via ROS homeostasis and antioxidant synergy. These findings establish moderate ozone as a novel, eco-friendly intervention to extend jujubes’ shelf life, emphasizing its dual role in quality preservation and oxidative stress regulation. Full article
Show Figures

Figure 1

17 pages, 836 KB  
Article
Nanobubble- and Microbubble Aeration Affect Leaf Quality Without Changing Yield of Lettuce Grown in Floating Systems
by Leonardo Fiore, Mariateresa Cardarelli, José Carlos Laban Lliuya, Paolo Bonini, Piero Santelli and Giuseppe Colla
Horticulturae 2025, 11(9), 1141; https://doi.org/10.3390/horticulturae11091141 - 19 Sep 2025
Cited by 3 | Viewed by 2049
Abstract
Dissolved oxygen (DO) concentration in nutrient solution is critical for maximizing yield and optimizing quality traits of lettuce plants grown in floating systems. This study evaluated the effects of two aeration systems—a Venturi system (V) and a Venturi system combined with a nanobubble [...] Read more.
Dissolved oxygen (DO) concentration in nutrient solution is critical for maximizing yield and optimizing quality traits of lettuce plants grown in floating systems. This study evaluated the effects of two aeration systems—a Venturi system (V) and a Venturi system combined with a nanobubble generator using electromagnetic waves (VN)—compared with a non-aerated control (C), on quali-quantitative traits of lettuce plants grown in a floating system over two consecutive harvests. Both aeration treatments significantly increased DO levels in the nutrient solution compared to C, with the VN treatment maintaining the highest value throughout the crop cycle. Although no significant differences in lettuce yield were observed, both aeration treatments enhanced the leaf concentration of P, Mn, Zn, and Cu in the second harvest, and Mg in both harvests. Moreover, the VN treatment lowered leaf nitrate concentration in both harvests compared to the other treatments. The increase in DO in the nutrient solution delayed leaf senescence, as evidenced by higher chlorophyll index and lower anthocyanin levels in the lettuce leaves harvested at the end of the trial for both aeration systems. These results suggest that aeration, particularly with nanobubbles, can be an effective and sustainable strategy to enhance the quality traits of lettuce grown in a floating system. Full article
(This article belongs to the Special Issue Productivity and Quality of Vegetable Crops under Climate Change)
Show Figures

Graphical abstract

18 pages, 941 KB  
Article
Interannual Variability in Apricot Quality: Role of Calcium and Postharvest Treatments During Cold Storage and Shelf Life
by Maja Milović, Nenad Magazin, Jasna Mastilović, Žarko Kevrešan, Jelena Kalajdžić, Biserka Milić, Renata Kovač and Gordana Barać
Horticulturae 2025, 11(9), 1140; https://doi.org/10.3390/horticulturae11091140 - 18 Sep 2025
Viewed by 1066
Abstract
Extending the postharvest life of apricots (Prunus armeniaca L.) while maintaining their quality is a significant challenge due to their perishability, climacteric ripening, and susceptibility to mechanical injury. This study evaluated the effects of preharvest calcium (Ca) application and postharvest treatments, including [...] Read more.
Extending the postharvest life of apricots (Prunus armeniaca L.) while maintaining their quality is a significant challenge due to their perishability, climacteric ripening, and susceptibility to mechanical injury. This study evaluated the effects of preharvest calcium (Ca) application and postharvest treatments, including modified-atmosphere packaging (MAP) and 1-methylcyclopropene (1-MCP), on apricot quality during storage, carried out in two production years (2016 and 2017) under contrasting climatic conditions. Apricot fruits, cv. ‘Buda’, were treated with Ca before harvest and subjected to MAP or 1-MCP postharvest treatment. Quality parameters, including firmness, color, total soluble solids (TSS), titratable acidity (TA), carotenoids, phenols, respiration rate, and sensory attributes, were analyzed over 15 days of cold storage followed by 3 days of shelf life (15 + 3). The growing season significantly influenced all measured parameters. Fruits harvested in 2017 had double the initial firmness compared to those from 2016 (50.03 N vs. 24.3 N), with higher sweetness and acidity scores. Ca treatment effectively reduced firmness loss by 30% in 2016, particularly beneficial under that year’s wetter conditions, but showed limited impact in the drier 2017 season. MAP successfully delayed ripening and maintained higher acidity levels across both years compared to controls. While 1-MCP treatment preserved fruit firmness effectively, it reduced sweetness perception by 37–59% and limited aroma development, with effects most pronounced in 2017. Sensory evaluation revealed no negative impacts of the applied treatments on overall taste acceptance, with Ca-treated fruits scoring significantly higher for sweetness than controls. The combination of preharvest Ca and postharvest treatments showed potential for extending apricots’ shelf life, but their efficacy was highly dependent on yearly climatic variability. These findings demonstrate that treatment effectiveness varies substantially between years, with Ca applications providing greater benefits in wet years, while 1-MCP and MAP showed more a consistent performance across varying climatic conditions. Therefore, customized and specifically tailored pre- and postharvest protocols are greatly needed to maintain the fruit quality and achieve targeted storage outcomes. Full article
(This article belongs to the Section Postharvest Biology, Quality, Safety, and Technology)
Show Figures

Figure 1

25 pages, 8787 KB  
Article
Non-Destructive Drone-Based Multispectral and RGB Image Analyses for Regression Modeling to Assess Waterlogging Stress in Pseudolysimachion linariifolium
by TaekJin Yoon, TaeWan Kim and SungYung Yoo
Horticulturae 2025, 11(9), 1139; https://doi.org/10.3390/horticulturae11091139 - 18 Sep 2025
Cited by 1 | Viewed by 1830
Abstract
Urban gardens play a vital role in enhancing the quality of the environment and biodiversity. However, irregular rainfall and poor soil drainage due to climate change have increased the exposure of garden plants to waterlogging stress. Pseudolysimachion linariifolium (Pall. ex Link) Holub, a [...] Read more.
Urban gardens play a vital role in enhancing the quality of the environment and biodiversity. However, irregular rainfall and poor soil drainage due to climate change have increased the exposure of garden plants to waterlogging stress. Pseudolysimachion linariifolium (Pall. ex Link) Holub, a perennial herbaceous plant native to Northeast Asia, is widely used for its ornamental value in urban landscaping. However, its physiological responses to excess moisture conditions remain understudied. In our study, we evaluated the stress responses of P. linariifolium to waterlogging by using non-destructive analysis with drone-based multispectral imagery. We used R (ver. 4.3.2) and the Quantum Geographical Information System (QGIS ver. 3.42.1) to calculate vegetation indices, including the Normalized Difference Vegetation Index (NDVI), Green Normalized Difference Vegetation Index (GNDVI), Green Leaf Index (GLI), Normalized Green Red Difference Index (NGRDI), Blue Green Pigment Index (BGI), and Visible Atmospherically Resistant Index (VARI). We analyzed the indices combined with the Cumulative volumetric Soil Moisture content (SM_Cum) measured by sensors. With waterlogging treatment, NDVI decreased by 21% and GNDVI by over 34% to indicate reduced photosynthetic activity and chlorophyll content. Correlation analysis, principal component analysis, and hierarchical clustering clearly distinguished stress responses over time. Regression models using NDVI and GNDVI explained 89.7% of the variance in SM_Cum. Our results demonstrate that drone-based vegetation index analysis can effectively quantify waterlogging stress in garden plants and can contribute to improved moisture management and growth monitoring in urban gardens. Full article
Show Figures

Figure 1

14 pages, 1813 KB  
Article
Phenotypic and Phytochemical Variations in Wolfberry Varieties and Their Harvest Times
by Yiyuan Zhang, Ru Wan, Zhigang Shi, Libin Yang and Shengzuo Fang
Horticulturae 2025, 11(9), 1138; https://doi.org/10.3390/horticulturae11091138 - 18 Sep 2025
Cited by 2 | Viewed by 2667
Abstract
Lycium barbarum L. is a perennial deciduous shrub used for centuries as a traditional medicinal and food supplement in China. In this study, we investigated the effects of variety and harvest time on the phenotypic and phytochemical variations in goji berry fruits to [...] Read more.
Lycium barbarum L. is a perennial deciduous shrub used for centuries as a traditional medicinal and food supplement in China. In this study, we investigated the effects of variety and harvest time on the phenotypic and phytochemical variations in goji berry fruits to optimize harvest strategies, select superior goji varieties, and improve market competitiveness of the goji industry. Both field investigations and laboratory analyses were conducted to evaluate yield, phenotypic traits, and nutritional indicators during the summer and autumn of 2024. Both variety and harvest time significantly affected most traits investigated, with strong interaction effects. Overall, summer-harvested fruits, which account for 78% to 100% of the total production per plant, had higher contents of Lycium barbarum polysaccharides and carotenoids than those harvested in autumn. A comprehensive evaluation using the TOPSIS method demonstrated that the fruits harvested in early July generally exhibited superior overall quality. Among the tested varieties, the ‘5-6’ variety consistently displayed outstanding fruit quality across all harvest times and showed very good prospects for application and extension in commercial production when compared to the other varieties. Our findings not only provide valuable insights into the comprehensive evaluations of different goji berry varieties but also highlight the importance of identifying optimal harvest times based on the sensory quality and nutritional value for each goji variety. Full article
Show Figures

Figure 1

15 pages, 3004 KB  
Article
Dynamic Carotenoid Profiles and Function Analysis of the RrPSY1 Gene in Rosa rugosa Flowers
by Yue Yu, Yazheng Cao, Yudie Chen, Hammad Hussain, Xieyu Lu, Kaikai Zhu, Yong Xu, Liguo Feng and Guo Wei
Horticulturae 2025, 11(9), 1137; https://doi.org/10.3390/horticulturae11091137 - 18 Sep 2025
Cited by 1 | Viewed by 1117
Abstract
Rosa rugosa is an important ornamental and edible species that is valued for its floral colors and essential oils in the cosmetic and pharmaceutical industries. Carotenoids, beyond their health-promoting roles, function as accessory pigments that influence petal coloration, flower quality, and stress responses. [...] Read more.
Rosa rugosa is an important ornamental and edible species that is valued for its floral colors and essential oils in the cosmetic and pharmaceutical industries. Carotenoids, beyond their health-promoting roles, function as accessory pigments that influence petal coloration, flower quality, and stress responses. However, their accumulation patterns and molecular biosynthesis in R. rugosa remain poorly understood. Here, UPLC-APCI-MS/MS analysis across three developmental stages (bud, semi-open, and full bloom) revealed stage-specific carotenoid accumulation, with phytoene and phytofluene markedly increasing at the semi-open stage. In total, 11 carotenoids were identified, comprising four carotenes and seven xanthophylls. Differential accumulation of metabolites (DAMs) analysis indicated shifts in compounds, including (E/Z)-phytoene, phytofluene, and β-carotene across stages. Genetic complementation assays in Escherichia coli and transient overexpression in rose petals confirmed that RrPSY1 functions as a phytoene synthase. qRT-PCR results showed its upregulation under salt treatment, suggesting a role in enhancing stress tolerance through carotenoid-mediated antioxidant protection. Furthermore, sub-cellular localization experiments confirmed plastid targeting of RrPSY1. Together, these findings clarify the role of RrPSY1 in carotenoid biosynthesis and provide a foundation for future studies on metabolic regulation and biosynthesis of carotenoids in R. rugosa. Full article
Show Figures

Figure 1

20 pages, 6446 KB  
Article
The Heavy Metal-Associated Isoprenylated Plant Protein (HIPP) Gene Family Plays a Crucial Role in Cadmium Resistance in Lotus (Nelumbo nucifera G.)
by Chunyan Gao, Yuxuan Zhu, Hualei Xu, Xinyue Peng, Kaili Yu, Xi Gu, Yan Xiao, Jian Cai and Yinjie Wang
Horticulturae 2025, 11(9), 1136; https://doi.org/10.3390/horticulturae11091136 - 18 Sep 2025
Cited by 3 | Viewed by 1630
Abstract
Cadmium (Cd) contamination poses significant threats to aquatic ecosystems. Heavy metal-associated isoprenylated plant proteins (HIPPs) are plant-specific chaperones involved in metal ion homeostasis and stress adaptation. Lotus is an aquatic plant with high biomass and Cd accumulation capacity, showing great potential in water [...] Read more.
Cadmium (Cd) contamination poses significant threats to aquatic ecosystems. Heavy metal-associated isoprenylated plant proteins (HIPPs) are plant-specific chaperones involved in metal ion homeostasis and stress adaptation. Lotus is an aquatic plant with high biomass and Cd accumulation capacity, showing great potential in water remediation. However, the functional characterization of HIPPs in lotus remains unexplored, limiting its application in phytoremediation. We conducted comprehensive characterization of NnHIPP genes in lotus, integrating comparative genomics, Cd-stress transcriptomics, and heterologous expression assays in transgenic yeast. This study identified 33 NnHIPP genes classified into five subfamilies with conserved motifs and structures. Synteny analysis revealed closer evolutionary relationships with dicots (Arabidopsis and Medicago sativa) than monocots. Abundant stress-responsive elements were found in NnHIPPs promoters. Tissue-specific expression profilings indicated functional diversification across organs and developmental stages. Our transcriptome analysis revealed that most NnHIPPs responded to Cd stress, with stronger induction in roots than leaves. Four Cd-induced NnHIPPs (NnHIPP10/14/21/33) showed both plasma membrane and nuclear localization. Notably, NnHIPP14, NnHIPP21, and NnHIPP33 conferred varying degrees of Cd tolerance when overexpressed in yeast. Our study demonstrates that NnHIPPs participate in Cd stress response. Three candidate NnHIPP genes are proposed for genetic engineering to enhance phytoremediation efficiency in lotus. Full article
(This article belongs to the Topic Genetic Breeding and Biotechnology of Garden Plants)
Show Figures

Figure 1

31 pages, 7820 KB  
Article
Interactive Effects of Genotype, Irrigation, and Fertilization on Physiological, Biometric, and Biochemical Traits of Runner Bean (Phaseolus coccineus L.)
by Georgiana Rădeanu, Cristina Precupeanu, Gabriel-Ciprian Teliban, Mihaela Roșca, José Luis Ordóñez-Díaz, Jose Manuel Moreno-Rojas and Vasile Stoleru
Horticulturae 2025, 11(9), 1135; https://doi.org/10.3390/horticulturae11091135 - 18 Sep 2025
Cited by 1 | Viewed by 1176
Abstract
Climate change, marked by increasing temperatures and unpredictable rainfall, presents a significant challenge to the sustainable cultivation of runner beans (Phaseolus coccineus L.). These conditions underscore the urgent need for efficient resource management. Therefore, it is crucial to establish suitable irrigation regimes [...] Read more.
Climate change, marked by increasing temperatures and unpredictable rainfall, presents a significant challenge to the sustainable cultivation of runner beans (Phaseolus coccineus L.). These conditions underscore the urgent need for efficient resource management. Therefore, it is crucial to establish suitable irrigation regimes and nutritional conditions for runner bean cultivars. Furthermore, since genotype performance is strongly influenced by water availability and nutrient supply, understanding their interactive effects is essential for developing technologies that are adapted to climate change and sustain high yields of garden beans. In this context, the individual and combined effects of three runner bean cultivars (Cozia1, Cozia2, and Cozia3), two irrigation regimes (2000 and 2500 m3·ha−1), and three fertilisation strategies (chemical, organic, and unfertilised) on some physiological, morphological, and biochemical parameters were assessed in this study. The field experiment was carried out in the north-eastern part of Romania over two consecutive growing seasons, following a randomized split–split plot design with three replications. The results showed that genotype had the most significant influence on the majority of traits, highlighting its dominant role over fertilization and irrigation. Under chemical fertilization and 2500 m3·ha−1 irrigation, Cozia2 achieved the highest grain yield (3427.60 kg·ha−1) and pod number (48.13), while Cozia1 combined with chemical fertilization under 2000 m3·ha−1 irrigation recorded the highest total phenolic content (0.47 mg GAE·100 g−1 d.w.). Among cultivars, Cozia2 was highly responsive to fertilisation and irrigation variation, showing both the highest and lowest values for pod number, seed weight, and seeds per pod depending on treatment. Notably, the highest photosynthetic assimilation rates were observed in Cozia2 × IR2 × UF and Cozia3 × IR1 × OR combinations. Based on the results of this study, Cozia3 under chemical fertilization is best suited for high yields under limited water (2000 m3·ha−1), while Cozia2 is best suited when chemical fertilization is combined with higher irrigation (2500 m3·ha−1). However, in the context of organic cultivation, Cozia3 is identified as the most suitable cultivar. Full article
(This article belongs to the Section Vegetable Production Systems)
Show Figures

Figure 1

15 pages, 5799 KB  
Article
New Approaches on Micropropagation of Arracacia xanthorrhiza (“Arracacha”): In Vitro Establishment, Senescence Reduction and Plant Growth Regulators Balance
by Patrick Dias Marques, Thiago Sanches Ornellas, Yohan Fritsche, Ingrilore Flores Mund, Clarissa Alves Caprestano, Valdir Marcos Stefenon, Marcelo F. Pompelli and Miguel Pedro Guerra
Horticulturae 2025, 11(9), 1134; https://doi.org/10.3390/horticulturae11091134 - 18 Sep 2025
Cited by 2 | Viewed by 1142
Abstract
The present study is part of the efforts to develop a micropropagation protocol for Arracacia xanthorrhiza, focusing on improving in vitro establishment, reducing senescence, and balancing plant growth regulators. To control bacterial contamination during culture initiation, ampicillin and tetracycline were tested using [...] Read more.
The present study is part of the efforts to develop a micropropagation protocol for Arracacia xanthorrhiza, focusing on improving in vitro establishment, reducing senescence, and balancing plant growth regulators. To control bacterial contamination during culture initiation, ampicillin and tetracycline were tested using impregnated paper disks. Ampicillin at 100 mg·L−1 achieved 92.4% survival and reduced bacterial contamination to 25.2%, compared to 65.6% in the untreated control, confirming its effectiveness as a low-cost and non-toxic solution. Senescence reduction was evaluated through the addition of activated charcoal and silver nitrate (AgNO3); the latter, at 26 µM, significantly enhanced explant survival, reduced leaf senescence, and promoted shoot and sprout formation. Three plant growth regulators—6-benzylaminopurine (BAP), kinetin (KIN), and meta-topolin (mT)—were tested at multiple concentrations. Meta-topolin at 1 µM produced 3.5 sprouts and 7.2 leaves per plant, demonstrating three times greater biological activity than BAP and optimal morphogenetic response. The integration of antimicrobial control, ethylene inhibition, and cytokinin optimization resulted in a reliable and scalable protocol for A. xanthorrhiza micropropagation. As a concluding remark, these findings provide a practical and efficient framework for clean plant production, with direct applications in conservation, breeding, and commercial propagation of this underutilized Andean crop, while highlighting the need for further validation across genotypes. Full article
(This article belongs to the Section Propagation and Seeds)
Show Figures

Graphical abstract

19 pages, 2768 KB  
Article
Insights into Carotenoid Biosynthesis Mechanisms in Three Fresh-Consumption Sweetpotato (Ipomoea batatas (L.) Lam.) Cultivars with Distinct Flesh Colors via Integrated Targeted Metabolomic and Transcriptomic Analyses
by Lingxiao Zhao, Qinglian Li, Lukuan Zhao, Xibin Dai, Jie Wang, Bingqian Gao, Shizhuo Xiao, An Zhang, Donglan Zhao, Zhilin Zhou and Qinghe Cao
Horticulturae 2025, 11(9), 1133; https://doi.org/10.3390/horticulturae11091133 - 18 Sep 2025
Viewed by 1571
Abstract
The sweetpotato (Ipomoea batatas [L.] Lam) is a globally significant crop, valued for its nutritional and economic importance. The tuberous roots of the sweetpotato are rich in carotenoids, which contribute to their vibrant colors and health benefits. This study focuses on three [...] Read more.
The sweetpotato (Ipomoea batatas [L.] Lam) is a globally significant crop, valued for its nutritional and economic importance. The tuberous roots of the sweetpotato are rich in carotenoids, which contribute to their vibrant colors and health benefits. This study focuses on three elite fresh-consumption sweetpotato cultivars: “Kokei No. 14,” “Xinxiang,” and “Zheshu81” with distinct flesh colors. To elucidate the metabolic pathways and genetic mechanisms underlying carotenoid biosynthesis in the sweetpotato, 20 types of carotenoids were quantified using targeted metabolomic analyses, and the key genes involved in carotenoid synthesis were identified with transcriptomic analyses. The results revealed significant differences in carotenoid content and composition among the cultivars, with “Zheshu81” exhibiting the highest carotenoid levels. Weighted gene co-expression network analysis further highlighted key regulatory genes and transcription factors influencing carotenoid accumulation. This study identifies key transcriptional regulators associated with carotenoid accumulation, sheds light on sweetpotato carotenoid biosynthesis mechanisms, and lays a foundation for breeding to improve its nutritional quality and flesh color. Full article
(This article belongs to the Special Issue Metabolites Biosynthesis in Horticultural Crops)
Show Figures

Figure 1

14 pages, 3482 KB  
Article
Greenhouse Gas Budget Assessment of Production of Kentucky Bluegrass (Poa pratensis) Sod and Three Herbaceous Landscape Plants
by Takanori Kuronuma, Hitoshi Watanabe, Shohei Masuda and Takuya Mito
Horticulturae 2025, 11(9), 1132; https://doi.org/10.3390/horticulturae11091132 - 17 Sep 2025
Viewed by 932
Abstract
To mitigate climate change, achieving net-zero carbon dioxide (CO2) emissions across all sectors is essential. In the floricultural and landscaping industries, a key concern is whether the production and use of landscape plants contribute to CO2 reduction. However, few studies [...] Read more.
To mitigate climate change, achieving net-zero carbon dioxide (CO2) emissions across all sectors is essential. In the floricultural and landscaping industries, a key concern is whether the production and use of landscape plants contribute to CO2 reduction. However, few studies have assessed the greenhouse gas (GHG) budgets of landscape plant production. This study quantified all major components of GHG budgets to determine whether herbaceous plant production acts as a GHG sink or source. Kentucky bluegrass sod and three herbaceous plants (Hedera canariensis, Liriope muscari, and Tagetes patula) were investigated for their GHG (CO2, CH4, and N2O) budgets. For Kentucky bluegrass sod production, the total GHG budget was calculated as −17.764 t-CO2e ha−1 year−1, comprising carbon sequestration (23.014 t-CO2/ha), GHG fluxes (0.049 t-CO2e/ha), and GHG emissions from energy and resource consumption (5.201 t-CO2e/ha). These results indicate that Kentucky bluegrass sod production functions as a GHG sink. In contrast, the total GHG budgets for potting production of the three herbaceous plants were positive, primarily due to higher GHG emissions from the use of potting soil and granular pesticides. To reduce net CO2 emissions in herbaceous plant production, using biochar as a growth medium and minimizing granular pesticides is an effective approach. Full article
(This article belongs to the Section Protected Culture)
Show Figures

Figure 1

27 pages, 6994 KB  
Article
Effects of Bacillus amyloliquefaciens QST713 on Growth and Physiological Metabolism in Cucumber Under Low-Calcium Stress
by Li Zhang, Yan Guo, Xufeng Zhou, Shiyan Wang, Lingjuan Han and Bin Li
Horticulturae 2025, 11(9), 1131; https://doi.org/10.3390/horticulturae11091131 - 17 Sep 2025
Viewed by 1121
Abstract
Soil acidification from excessive nitrogen and potassium fertilization in protected cucumber systems impairs calcium uptake, triggering physiological calcium deficiency and reducing yield. We investigated whether the plant growth-promoting rhizobacterium Bacillus amyloliquefaciens QST713 could mitigate low-calcium stress in cucumber (‘Jinyou No. 4’). Under controlled [...] Read more.
Soil acidification from excessive nitrogen and potassium fertilization in protected cucumber systems impairs calcium uptake, triggering physiological calcium deficiency and reducing yield. We investigated whether the plant growth-promoting rhizobacterium Bacillus amyloliquefaciens QST713 could mitigate low-calcium stress in cucumber (‘Jinyou No. 4’). Under controlled nutrient solution irrigation (4, 0.4, and 0 mmol/L Ca2+, with or without B. amyloliquefaciens QST713), low-calcium conditions suppressed growth, reduced ion uptake capacity, photosynthetic pigment content, gas exchange (Pn, Gs, Tr), PSII efficiency (ΦPSII, ETR), and decreased carbohydrate (starch, sucrose) accumulation, while disrupting nitrogen balance (decreases in NO3-N, soluble protein, and amino acids; increase in NH4+-N) and inhibiting key N-assimilation enzymes (NR, GS, GOGAT, GDH). Inoculation with B. amyloliquefaciens QST713 reversed these effects: it enhanced ion acquisition, chlorophyll content, and photosynthetic performance; restored carbohydrate reserves; promoted NO3 uptake and NH4+ assimilation; and upregulated N-metabolizing enzyme activities. Principal component analysis confirmed strong coupling among growth, photosynthesis, and C-N metabolism. In summary, low-calcium stress markedly inhibited cucumber growth, suppressed photosynthetic activity, and reduced the levels of carbon and nitrogen metabolism. Application of B. amyloliquefaciens QST713 effectively alleviated the physiological damage caused by low-calcium stress, enhancing photosynthetic performance and thereby accelerating the synthesis and turnover of carbon- and nitrogen-containing metabolites. These effects collectively improved cucumber tolerance to low-calcium conditions and promoted plant growth and development. This study provides a preliminary theoretical basis for further exploration of the stress-resistance capacity of B. amyloliquefaciens. Full article
(This article belongs to the Section Biotic and Abiotic Stress)
Show Figures

Figure 1

14 pages, 1174 KB  
Article
Growth and Biochemical Activity of Passion Fruit Seedlings in Scion/Rootstock Combinations Under Salt Stress
by Alex Alvares da Silva, Jose Francismar de Medeiros, Carlos Guillermo Bartoli, Charlotte Steelheart, Marlon de Morais Dantas, Rodrigo Rafael da Silva, Wedson Aleff Oliveira da Silva and Francisco Vanies da Silva Sa
Horticulturae 2025, 11(9), 1130; https://doi.org/10.3390/horticulturae11091130 - 17 Sep 2025
Cited by 1 | Viewed by 1125
Abstract
The yellow passion fruit is a key crop in irrigated areas of Northeast Brazil, but production is challenged by limited water availability and high salinity in groundwater used for irrigation. This study evaluated the effects of grafting Passiflora edulis f. flavicarpa Degener (E) [...] Read more.
The yellow passion fruit is a key crop in irrigated areas of Northeast Brazil, but production is challenged by limited water availability and high salinity in groundwater used for irrigation. This study evaluated the effects of grafting Passiflora edulis f. flavicarpa Degener (E) onto P. foetida L. (F) rootstock to reduce the impact of saline stress. Conducted in a greenhouse using a 3 × 2 factorial design with four replications, the experiment tested three grafting combinations (F + F, E + E and E + F) under two salinity levels (0.5 and 6.0 dS m−1). Key parameters measured included SPAD index, soluble protein content, hydrogen peroxide (H2O2) levels, catalase enzyme activity, plant height, and leaf number. Salinity significantly reduced plant height, especially at 6.0 dS m−1. The E + E combination had the highest protein content in roots (23.8%). However, grafting P. edulis onto P. foetida (E + F) enhanced catalase activity and reduced H2O2 accumulation, indicating improved tolerance to salt stress. The findings suggest that using P. foetida as a rootstock may help mitigate oxidative damage and promote better physiological performance of yellow passion fruit under saline conditions, offering a strategy to sustain cultivation in stress-prone environments. Full article
(This article belongs to the Special Issue Tolerance of Horticultural Plants to Abiotic Stresses)
Show Figures

Graphical abstract

18 pages, 4824 KB  
Article
Mechanism of High-Voltage Electrostatic Field Treatment in Maintaining the Postharvest Quality of Agaricus bisporus
by Bing Deng, Chenlin Jia, Wanting Jia, Yunzhi Li, Mingchang Chang and Hongyan Zhang
Horticulturae 2025, 11(9), 1129; https://doi.org/10.3390/horticulturae11091129 - 17 Sep 2025
Cited by 1 | Viewed by 1250
Abstract
This study utilized high-voltage electrostatic field (HVEF) treatment combined with cold storage to preserve Agaricus bisporus, characterized by high water content and susceptibility to browning, cap opening, and mechanical injury. Key quality indicators, such as surface and flesh color, weight loss, respiration [...] Read more.
This study utilized high-voltage electrostatic field (HVEF) treatment combined with cold storage to preserve Agaricus bisporus, characterized by high water content and susceptibility to browning, cap opening, and mechanical injury. Key quality indicators, such as surface and flesh color, weight loss, respiration rate, hardness, and soluble solids, were monitored to determine optimal HVEF intensities. Transcriptomic, physiological, and biochemical analyses were used to reveal the underlying preservation mechanisms. This study demonstrates that high-voltage electrostatic field (HVEF) treatment at 30 kV m−1 combined with cold storage effectively delays browning, weight loss, and respiration rate in A. bisporus while maintaining color, texture, and flavor. Transcriptomic analysis revealed that HVEF modulates key metabolic pathways, including ATP synthesis, fatty acid metabolism, and redox enzyme activity, leading to reduced ATP levels, suppressed respiration, and delayed senescence. Additionally, the treatment enhances antioxidant capacity through increased ascorbic acid (AsA) and glutathione (GSH) levels, while decreasing malondialdehyde (MDA) content and membrane electrical conductivity, thereby preserving membrane integrity. The suppression of polyphenol oxidase (PPO) and peroxidase (POD) activities reduces pigment formation and browning. Furthermore, the active metabolism of osmoprotectants such as proline improves cold resistance. These findings provide a mechanistic basis for HVEF-based preservation strategies for A. bisporus, supporting its application in postharvest technology. Full article
(This article belongs to the Section Postharvest Biology, Quality, Safety, and Technology)
Show Figures

Graphical abstract

19 pages, 2160 KB  
Article
An Automatic Cooling System to Cope with the Thermal–Radiative Stresses in the Pignoletto White Grape
by Gabriele Valentini, Gianluca Allegro, Chiara Pastore, Alberto Zanini, Alice Moffa, Davide Gottardi, Clara Gomez-Urios, Francesca Patrignani and Ilaria Filippetti
Horticulturae 2025, 11(9), 1128; https://doi.org/10.3390/horticulturae11091128 - 17 Sep 2025
Viewed by 2087
Abstract
Recent climatic extremes, characterized by hot and dry summers, threaten grape yield and berry composition, increasing the need for sustainable mitigation strategies. In this study, a fruit-zone cooling system was tested to reduce sunburn damage and improve vine performance. The system integrates proximal [...] Read more.
Recent climatic extremes, characterized by hot and dry summers, threaten grape yield and berry composition, increasing the need for sustainable mitigation strategies. In this study, a fruit-zone cooling system was tested to reduce sunburn damage and improve vine performance. The system integrates proximal sensors and an automatic misting actuator, triggered when the air temperature exceeds 35 °C. Over two seasons (2022–2023), trials were conducted on Pignoletto vines subjected to four treatments: control (C), misted without defoliation (C + FOG), defoliated (DEF), and defoliated plus misted (DEF + FOG). The effects on microclimate, yield, berry sunburn, and berry composition were evaluated. Misting consistently reduced both air and berry temperature. Treated vines showed increased yield, mainly due to reduced sunburn and higher cluster weight. Although no clear differences in technological maturity were observed, misted vines tended to retain higher acidity under extreme heat. Flavonol synthesis was unaffected by cooling but stimulated by increased light exposure, being higher in defoliated vines. Volatile compounds analysis highlighted misting’s moderating effect on oxidative stress and aroma profile shifts, particularly during the hotter season. Overall, the cooling system proved effective in mitigating summer stress, offering a promising tool for preserving yield and berry composition in white cultivars under climate change. Full article
(This article belongs to the Section Viticulture)
Show Figures

Figure 1

13 pages, 2720 KB  
Article
Effect of Explant Physiology and Media Composition on Callogenesis of Vitellaria paradoxa Leaf Explants
by Moses Okao, Rohit Bharati and Eloy Fernández-Cusimamani
Horticulturae 2025, 11(9), 1127; https://doi.org/10.3390/horticulturae11091127 - 17 Sep 2025
Viewed by 1509
Abstract
Vitellaria paradoxa (shea tree) is an economically and medicinally important species indigenous to sub-Saharan Africa. Although the species holds substantial value, domestication efforts have been constrained, primarily due to the absence of efficient propagation alternatives, especially for the East African subspecies (V. [...] Read more.
Vitellaria paradoxa (shea tree) is an economically and medicinally important species indigenous to sub-Saharan Africa. Although the species holds substantial value, domestication efforts have been constrained, primarily due to the absence of efficient propagation alternatives, especially for the East African subspecies (V. paradoxa subsp. nilotica) which remains understudied in tissue culture research. This study investigated the influence of leaf explant developmental stage and media composition on callogenesis and embryogenic potential in V. paradoxa subsp. nilotica. Thus, leaf explants from six distinct growth stages were cultured on Murashige and Skoog (MS) media supplemented with various concentrations of 2,4-D, TDZ, NAA, and BAP. Callogenesis was significantly influenced by explant age, media strength, and specific PGR combinations. Results revealed that explants from Stage III (11–15 days) and Stage IV (16–20 days) exhibited the highest callus induction rates (up to 100%), particularly on half-strength MS media containing 2.0 mg/L 2,4-D and 0.5–1.0 mg/L TDZ. Histological analysis suggests that varying responses at the different stages relate to chloroplast distribution, trichome density/orientation, and vascular tissue maturity. Pro-embryogenic structures were successfully induced, representing a developmental milestone with strong prospects for advanced stages of differentiation. The findings also emphasize the importance of explant physiology and media formulation in developing regeneration protocols for V. paradoxa from leaf explants. Full article
(This article belongs to the Collection Application of Tissue Culture to Horticulture)
Show Figures

Graphical abstract

20 pages, 1236 KB  
Article
Phospholipases in the Response of Fortune Mandarins to Heat and Cold Stress and in the Heat-Induced Cross-Adaption to Chilling
by Paco Romero, Raúl Sampedro, Fernando Alférez and María T. Lafuente
Horticulturae 2025, 11(9), 1126; https://doi.org/10.3390/horticulturae11091126 - 16 Sep 2025
Cited by 1 | Viewed by 980
Abstract
Phospholipases (PLs) are key enzymes involved in membrane remodeling, structure, and signaling during plant stress responses. This study analyzed early and long-term transcriptional regulation of PL isoforms—PLD (CsPLDα,β,δ,γ,ζ), PLA (CsPLA2α [...] Read more.
Phospholipases (PLs) are key enzymes involved in membrane remodeling, structure, and signaling during plant stress responses. This study analyzed early and long-term transcriptional regulation of PL isoforms—PLD (CsPLDα,β,δ,γ,ζ), PLA (CsPLA2α,2β, CsPAT1), and PLC (CsNPC3, CsPI-PLC)—in Fortune mandarins exposed to thermal stress. Three conditions were evaluated: heat stress (37 °C, 90–95% relative humidity), cold stress (2 °C), and cold stress in fruit exposed to a prior heat conditioning treatment (3 days at 37 °C) that reduces chilling injury (CI). All genes—except CsNPC3—were rapidly upregulated by heat (4–12 h), suggesting a role as early heat sensors and their putative participation in the heat-induced chilling tolerance. Moreover, after transferring heat-conditioned fruit to cold, CsPLDζ, CsPI-PLC, and CsNPC3 showed marked expression increases, highlighting their relevance in such cross-adaptation. In non-conditioned fruit, CsPLDγ was strongly and consistently induced by cold and associated with CI development, as further confirmed by tissue-specific analysis comparing necrotic and healthy flavedo. Conversely, cold-induced CsPLDα, CsPLDζ, CsPLA2α, and CsNPC3 may contribute to protective responses via early signaling cascades; although CsPLA2α might contribute to CI only by 60 days. These findings highlight the isoform-specific and time-dependent regulation of PL genes under thermal stress and their potential role in citrus stress tolerance. Full article
(This article belongs to the Section Biotic and Abiotic Stress)
Show Figures

Figure 1

17 pages, 2086 KB  
Article
Study on the Metabolic Patterns of Citral-Type of Camphora officinarum Essential Oil and Its Optimal Harvesting Period
by Lina Huang, Qingyan Ling, Zhinong Jin, Beihong Zhang, Junfei Jiang, Zufei Xiao, Ruiqi Zhao and Yamin Liu
Horticulturae 2025, 11(9), 1125; https://doi.org/10.3390/horticulturae11091125 - 16 Sep 2025
Viewed by 973
Abstract
To explore the patterns of essential oil synthesis and the optimal harvesting period of citral-type Camphora officinarum Nees ex Wall (C. officinarum) at different growth stages, three varieties (C1, C2, C3) from the citral-type C. officinarum coppice were taken as research [...] Read more.
To explore the patterns of essential oil synthesis and the optimal harvesting period of citral-type Camphora officinarum Nees ex Wall (C. officinarum) at different growth stages, three varieties (C1, C2, C3) from the citral-type C. officinarum coppice were taken as research objects. During the leaf growth cycle from February 2022 to January 2023 (12 periods in total), their morphological indicators, biomass, essential oil yield, chemical components, and output were determined. As a natural monoterpenoid widely used in the food additive, pharmaceutical intermediate, and flavor/fragrance industries, citral-related research is of great significance for improving the breeding value of citral-type C. officinarum germplasm resources. The results showed that: (1) The leaf area, total biomass, and leaf-branch ratio of the three varieties all reached the maximum in Period I (late August, full fruit stage), among which the leaf biomass and total biomass of C1 were significantly higher than those of C2 and C3. (2) The essential oil yield based on dry weight of leaves (0.53–2.79%) was significantly higher than that of branches (0.48–0.7%). Citral (geranial and neral) was the main component of the essential oil; the citral contents in C1 and C2 were the highest in Period G (late June, early fruit stage) (78.38% and 71.78%, respectively), while that in C3 peaked in Period F (late May, late flowering stage) (70.46%). (3) The total essential oil yield reached the peak in Period I, with C1 being significantly higher at 20.19 ± 1.88 g/plant than C2 (13.8 ± 0.61 g/plant) and C3 (16.47 ± 0.87 g/plant). Comprehensive analysis indicated that C1 was identified as the top-performing cultivar among citral-type C. officinarum, and July–August was the optimal harvest period. During this period, both essential oil yield and citral content could be balanced to maximize economic benefits. Full article
(This article belongs to the Section Postharvest Biology, Quality, Safety, and Technology)
Show Figures

Figure 1

14 pages, 3316 KB  
Article
Differential Biochemical Responses of Resistant and Susceptible Genotypes of Chili to Pepper Yellow Leaf Curl Thailand Virus
by Manthana Mueangkhong, Patcharaporn Suwor, Suchila Techawongstien, Montinee Teerarak, Wen-Shi Tsai, Tanyarat Tarinta, Sanjeet Kumar, Nakarin Jeeatid, Orawan Chatchawankanphanich and Somsak Kramchote
Horticulturae 2025, 11(9), 1124; https://doi.org/10.3390/horticulturae11091124 - 16 Sep 2025
Viewed by 1388
Abstract
Chili (Capsicum annuum L.) production is threatened by the pepper yellow leaf curl virus (PepLCV), transmitted by whiteflies, leading to reduced yields. This study investigated the biochemical changes in two chili genotypes, PEP6 (tolerant to PepLCV) and Homsuphan (susceptible to PepLCV), following [...] Read more.
Chili (Capsicum annuum L.) production is threatened by the pepper yellow leaf curl virus (PepLCV), transmitted by whiteflies, leading to reduced yields. This study investigated the biochemical changes in two chili genotypes, PEP6 (tolerant to PepLCV) and Homsuphan (susceptible to PepLCV), following inoculation with the Thailand strain of PepLCV (known as Pepper Yellow Leaf Curl Thailand Virus, PepYLCTHV). Inoculation was performed using whitefly transmission (WF) and graft transmission (GT) methods, and disease severity was evaluated using a standardized index. The level of total phenolic compounds and the activities of peroxidase (POD) and polyphenol oxidase (PPO) enzymes were analyzed in virus-infected plants and compared with those in uninoculated controls. Both chili genotypes exhibited a more rapid increase in disease severity when inoculated with WF than with GT. In PEP6, disease severity was lower than Homsuphan in both WF and GT inoculations. Disease severity in WT-inoculated PEP6 plants increased gradually, reaching 100% by day 36, whereas Homsuphan plants had a more rapid progression, attaining 100% by day 21. The GT method led to slower disease severity progression in both genotypes, reaching 80–85% by day 36. In PEP6 plants, total phenolic compound content increased significantly following WF, indicating an active defense response, whereas levels remained stable in GT plants. Phenolic content in the tolerant genotype Homsuphan remained stable across all conditions. Notably, peroxidase (POD) activity was elevated in GT plants of both genotypes, which correlated with reduced disease severity. Polyphenol oxidase (PPO) activity was lowest in control plants, but WT and GT increased the PPO level. Among the treatments, GT induced the highest PPO activity, which was associated with the lowest disease severity. These findings suggest that GT may enhance disease resistance by modulating phenolic compound accumulation and increasing POD and PPO activity. Full article
(This article belongs to the Section Plant Pathology and Disease Management (PPDM))
Show Figures

Figure 1

12 pages, 4375 KB  
Article
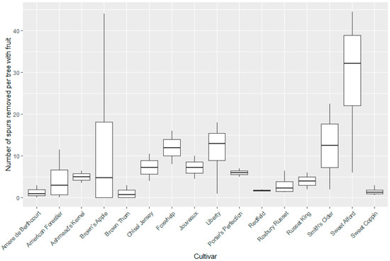
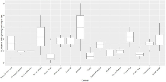
Over-the-Row Mechanical Harvest of Cider Apples (Malus domestica Borkh.)
by Seth Brawner, Aidan Kendall, Lee Kalcsits and Carol Miles
Horticulturae 2025, 11(9), 1123; https://doi.org/10.3390/horticulturae11091123 - 16 Sep 2025
Cited by 1 | Viewed by 1272
Abstract
The single greatest annual production cost for an established cider apple (Malus domestica Borkh.) orchard is the labor required to hand harvest. Reducing harvest labor time may increase the appeal and profitability of growing cider apples. Over-the-row mechanical harvest of cider apples [...] Read more.
The single greatest annual production cost for an established cider apple (Malus domestica Borkh.) orchard is the labor required to hand harvest. Reducing harvest labor time may increase the appeal and profitability of growing cider apples. Over-the-row mechanical harvest of cider apples using a modified Oxbo-Korvan 930 was evaluated in northwestern Washington, USA, in 2021, 2022, and 2023 in a fully mature cider apple orchard that was planted in 2014–2016. Sixteen cider apple cultivars grafted on ‘Geneva 935’ rootstock were summer hedged between 7 and 20 July each year of this study. Plant growth regulators were applied before harvest to equalize the timing of harvest among cultivars. There were no differences among cultivars for the percent of apples captured by the Oxbo-Korvan 930 harvester for the 3 years of this study. Across all years and cultivars studied, 82% of fruit were captured by the harvester. There also were no differences among cultivars for the percentage of fruit left on the tree by the harvester (9% of fruit on average), nor in the percentage of fruit dropped on the ground during harvest (9% of fruit on average). The overall mean number of branches broken during mechanical harvest across all cultivars was 1.4 per tree, and there were no differences among cultivars. ‘Sweet Alford’ had high spur removal (26 removed per tree), but excluding this outlier, only 6 spurs on average were removed per tree for all other cultivars. Laceration to fruit during mechanical harvest were positively correlated with mean fruit weight and mean fruit diameter. The overall average time required to mechanically harvest one tree in this orchard (1.8 m in-row spacing, 1495 trees·ha−1) was 5.3 s, averaging 2.9 s per row-meter traveled. The average time required to manually harvest one tree was 229 s (3.8 min). The juice quality of the mechanically harvested apples that were kept in cold storage and pressed within 42 d of harvest did not differ largely or consistently from juice quality of apples that were pressed within 3 d of harvest, except that sugars (measured through ºBrix and specific gravity) increased with storage time, as expected. Mechanical harvest using the modified Oxbo-Korvan 930 appears to be a labor-efficient and effective method of harvesting cider apples, and testing is needed in commercial orchards to evaluate its viability compared to other harvest technologies. Full article
(This article belongs to the Special Issue Orchard Management Under Climate Change: 2nd Edition)
Show Figures

Graphical abstract

18 pages, 2644 KB  
Article
Exploring Polyploidization in Nigella sativa L.: An Applicable Strategy Towards Crop Improvement
by Mohammed E. El-Mahrouk, Mossad K. Maamoun, Sobhia Saifan, Yousry A. Bayoumi, Hassan El-Ramady and Neama Abdalla
Horticulturae 2025, 11(9), 1122; https://doi.org/10.3390/horticulturae11091122 - 16 Sep 2025
Cited by 2 | Viewed by 1432
Abstract
A plant breeding program needs helpful markers, especially morphological ones, which can allow breeders to dispense with other markers, including cytological traits and flow cytometry. These markers can assist plant breeders in distinguishing diploid and tetraploid plants during the seedling stage. Therefore, the [...] Read more.
A plant breeding program needs helpful markers, especially morphological ones, which can allow breeders to dispense with other markers, including cytological traits and flow cytometry. These markers can assist plant breeders in distinguishing diploid and tetraploid plants during the seedling stage. Therefore, the present study aimed to investigate and validate effective methodologies for the early identification of artificially induced polyploids in black cumin. Thus, we established an extensional program for black cumin breeding including producing seeds, active compounds, and flowers as ornamental plants. Field experiments on tetraploids and diploids were carried out to evaluate the morphological and yield traits of both plants. Also, some cytological studies and Gas Chromatography (GC) analysis were conducted to achieve these goals. The results showed the possibility of realizing diploid and tetraploid plants in early growing black seeds in the field (mainly after the first cotyledon leaves). This crucial outcome can support plant breeders in identifying polyploidy during the seedling stage without referring to biochemical markers, flow cytometry, and cytological traits. All morphological and yield-related traits were superior in diploid plants compared to tetraploids. The results showed that diploid and tetraploid plants exhibited plant heights of 116 cm and 95 cm, numbers of secondary branches of 112 and 22, numbers of flowers of 111.7 and 24.75, and shoot fresh weights of 610 g and 147.5 g, respectively. Furthermore, the number of seeds per capsule, seed yield per plant, and oil percentage in diploids were 97.5 seeds, 24 g, and 22.94%, compared with 35.25 seeds, 4.62 g, and 17.76% in tetraploids, respectively. This work used the cotyledon leaf shape as a morphological marker to distinguish the tetraploid and diploid plants, as diploids are typically taller with pointed cotyledons, whereas tetraploids are shorter with rounded cotyledon tips. This study will create great opportunities for plant breeders to save time and costs during their programs. Further studies on such suggested black cumin breeding programs are needed on diploids, triploids, and tetraploids. Full article
(This article belongs to the Special Issue Vegetable Genomics and Breeding Research)
Show Figures

Figure 1

20 pages, 3066 KB  
Article
The Influence of Solar Radiation Modulation Using Double-Roof Light Conversion Films on the Pre- and Post-Harvest Fruit Quality of Strawberry (Fragaria × ananassa cv. Marimbella)
by Hafsa El Horri, Gemma Bianchi, Marta Florio, Alessio Malfanti, Costanza Ceccanti, Ermes Lo Piccolo, Samuele Risoli, Cristina Nali, Marco Landi and Lucia Guidi
Horticulturae 2025, 11(9), 1121; https://doi.org/10.3390/horticulturae11091121 - 15 Sep 2025
Cited by 1 | Viewed by 1038
Abstract
Light conversion (LC®) films represent a novel approach to modulating the light spectra in protected horticulture. The present study evaluated the effects of two LC® polyethylene films on the growth and fruit quality of Fragaria × ananassa ‘Marimbella’ strawberries, cultivated [...] Read more.
Light conversion (LC®) films represent a novel approach to modulating the light spectra in protected horticulture. The present study evaluated the effects of two LC® polyethylene films on the growth and fruit quality of Fragaria × ananassa ‘Marimbella’ strawberries, cultivated using a soilless system in a double-roof greenhouse from March to June. The following films were used: blue (B), which converts UV to blue light, and pink (P), which converts UV and green light to blue and red wavelengths. These treatments were compared with a transparent film (T) and an uncovered sample (Control). The B film enhanced net photosynthesis (+9%) and stomatal conductance (+11%) compared to the Control, with no effect on intercellular CO2 concentration or PSII efficiency. Under the B film, fruit yield increased by 34 and 44% compared to the Control and T, respectively, although single fruit weight, fruit width, and fruit height decreased. The P film did not significantly influence the yield but improved fruit quality, increasing soluble solids (+30%) and ascorbic acid (+29%) content compared to the Control and T, respectively. At harvest time, both LC® films promoted the accumulation of total phenolic content (+17% vs. T). At the same time, the highest antioxidant activity was observed in Control fruits. Notably, the B film reduced post-harvest Botrytis cinerea development (−37% vs. T) at 72 h after inoculation. These findings highlight the potential of LC®—particularly the B film—to be used as a sustainable tool to improve yield, quality, and post-harvest disease resistance in greenhouse strawberry production systems. Full article
Show Figures

Figure 1

28 pages, 6593 KB  
Article
Ginseng Quality Identification Based on Multi-Scale Feature Extraction and Knowledge Distillation
by Jian Li, Yuting Li, Haohai You and Lijuan Zhang
Horticulturae 2025, 11(9), 1120; https://doi.org/10.3390/horticulturae11091120 - 15 Sep 2025
Viewed by 1679
Abstract
As demand for the precious medicinal herb ginseng continues to grow, its importance is becoming ever more prominent. Traditional manual methods are inefficient and inconsistent. Thus, improving the accuracy and efficiency of ginseng quality testing is the central objective of this study. We [...] Read more.
As demand for the precious medicinal herb ginseng continues to grow, its importance is becoming ever more prominent. Traditional manual methods are inefficient and inconsistent. Thus, improving the accuracy and efficiency of ginseng quality testing is the central objective of this study. We collected ginseng samples and expanded the dataset through augmentation, which added noise, varied lighting, and surface defects such as red rust and insect damage, to reflect real-world conditions. Because ginseng has intricate textures, irregular shapes, and unstable lighting, we built LLT-YOLO on the YOLOv11 framework, adding a DCA module, depth-wise separable convolutions, an efficient multi-scale attention mechanism, and knowledge distillation to boost accuracy on small devices. Tests showed a precision of 90.5%, a recall of 92.3%, an mAP50 of 95.1%, and an mAP50–95 of 77.4%, gains of 3%, 2.2%, 7.8%, and 0.5% over YOLOv11 with fewer parameters and smaller size, confirming LLT-YOLO as a practical tool for appearance-based ginseng grading that can be extended to other crops. The results indicate that LLT-YOLO offers a practical tool for appearance-based ginseng quality assessment and can be extended to other crops in future work. Full article
(This article belongs to the Section Medicinals, Herbs, and Specialty Crops)
Show Figures

Figure 1

14 pages, 3317 KB  
Article
Effects of Melatonin and Bacillus amyloliquefaciens MPA 1034 on the Postharvest Quality of Potato Tubers
by Londeka Akhona Mbatha and Nokwazi Carol Mbili
Horticulturae 2025, 11(9), 1119; https://doi.org/10.3390/horticulturae11091119 - 15 Sep 2025
Viewed by 1045
Abstract
Fusarium oxysporum is the causal agent of Fusarium dry rot disease (FDR), which results in postharvest potato losses. Biological control agents (BCAs) and phytohormone melatonin have antifungal effects on fungal pathogens and can be used as alternatives to synthetic chemical fungicides. The aim [...] Read more.
Fusarium oxysporum is the causal agent of Fusarium dry rot disease (FDR), which results in postharvest potato losses. Biological control agents (BCAs) and phytohormone melatonin have antifungal effects on fungal pathogens and can be used as alternatives to synthetic chemical fungicides. The aim of the study was to evaluate the integrated effects of melatonin (MEL) and Bacillus amyloliquefaciens (Bamy) on the postharvest quality of potato tubers. Bamy was integrated with six MEL concentrations and screened against F. oxysporum in vitro and in vivo. The effects of the best performing treatment were evaluated for antioxidant activity, phenolic content, ascorbic acid content, and protein content on potato tubers. In the in vitro screening trial, treatment with Bamy + MEL100 had the highest mycelial growth inhibition percentage (59.92%), followed by Bamy + MEL15 and Bamy + MEL50 (56.12% and 55.27%, respectively). Potato tubers treated with Bamy + MEL100 had the lowest disease severity of FDR (50.61%) and a pathogen penetration value of 6.39 mm. Bamy + MEL50 showed a disease severity percentage of 59.72%. The exogenous application of melatonin at a concentration of 100 µM combined with B. amyloliquefaciens was the most effective treatment with the highest phenolic content (144.1 mg GAE/g DW) and protein content (68 mg/g DM) compared to the untreated tubers (104.4 GAE/g DW phenolic content and 50.06 mg/g DM protein content). Tubers treated with melatonin had the highest ascorbic acid content (5.48 mg AAE/100g DM) compared to the untreated tubers (4.09 mg AAE/100 g DM). Overall, tubers treated with a combination of melatonin and B. amyloliquefaciens showed less severe symptoms of FDR across all concentrations. Based on these findings, it can be concluded that B. amyloliquefaciens and melatonin at 100 µM concentration can be used in combination to inhibit the growth of F. oxysporum. Full article
Show Figures

Figure 1

14 pages, 1452 KB  
Article
Effect of Different Seaweed Extracts on Yield, Quality and Physiological Characteristics of the Alphonse Lavallée (Vitis vinifera L.) Grape Variety
by Osman Doğan and Kevser Yazar
Horticulturae 2025, 11(9), 1118; https://doi.org/10.3390/horticulturae11091118 - 15 Sep 2025
Cited by 2 | Viewed by 1972
Abstract
Grapes are one of the most preferred fruit species in the world. Increasing yield and quality in table grape production has always been the top priority for producers. Producers’ interest in biostimulants from sustainable agricultural practices for quality and yield increase is increasing [...] Read more.
Grapes are one of the most preferred fruit species in the world. Increasing yield and quality in table grape production has always been the top priority for producers. Producers’ interest in biostimulants from sustainable agricultural practices for quality and yield increase is increasing day by day. Seaweed extracts (SWEs), which are among the most preferred biostimulants, are shown as an organic input due to their ecological safety and harmlessness. In this study, Ecklonia maxima (Em), Macrocystis integrifolia (Mi) and Ascophyllum nodosum (An), which are brown SWEs, were applied to the Alphonse Lavallée (AL) grape variety four times via the leaves. As a result of the applications, yield, quality and physiological parameters were examined. As a result of the study, all SWE applied increased yield per vine between 28% and 47%. SWEs improved cluster and berry characteristics and increased phenolic content and antioxidant activity compared to the control. They also contributed to physiological characteristics of the grapevine, such as photosynthetic activity and stomatal conductance. It is thought that SWEs, which are among the sustainable agricultural practices, will improve the yield and quality of grapes not only in organic farming but in all agricultural practices. Full article
(This article belongs to the Section Viticulture)
Show Figures

Figure 1

Previous Issue
Next Issue
Back to TopTop