Effects of Corn Stover Biochar on Soil Bacterial and Fungal Biomarkers in Greenhouse Tomatoes Under Mulched Drip Irrigation
Abstract
1. Introduction
2. Materials and Methods
2.1. Experimental Design
2.2. High-Throughput Sequencing of Soil Microorganisms
2.3. Determination of Chemical and Physical Soil Properties
2.4. Statistical Analysis
3. Results
3.1. Analysis of Soil Microbial Community Diversity in Different Treatments
3.2. Soil Bacterial and Fungal Biomarkers in Different Treatments
3.3. Changes in the Relative Abundance of Soil Bacterial and Fungal Biomarkers
3.4. Correlation Analysis Between Soil Bacterial and Fungal Biomarkers with Environmental Factors
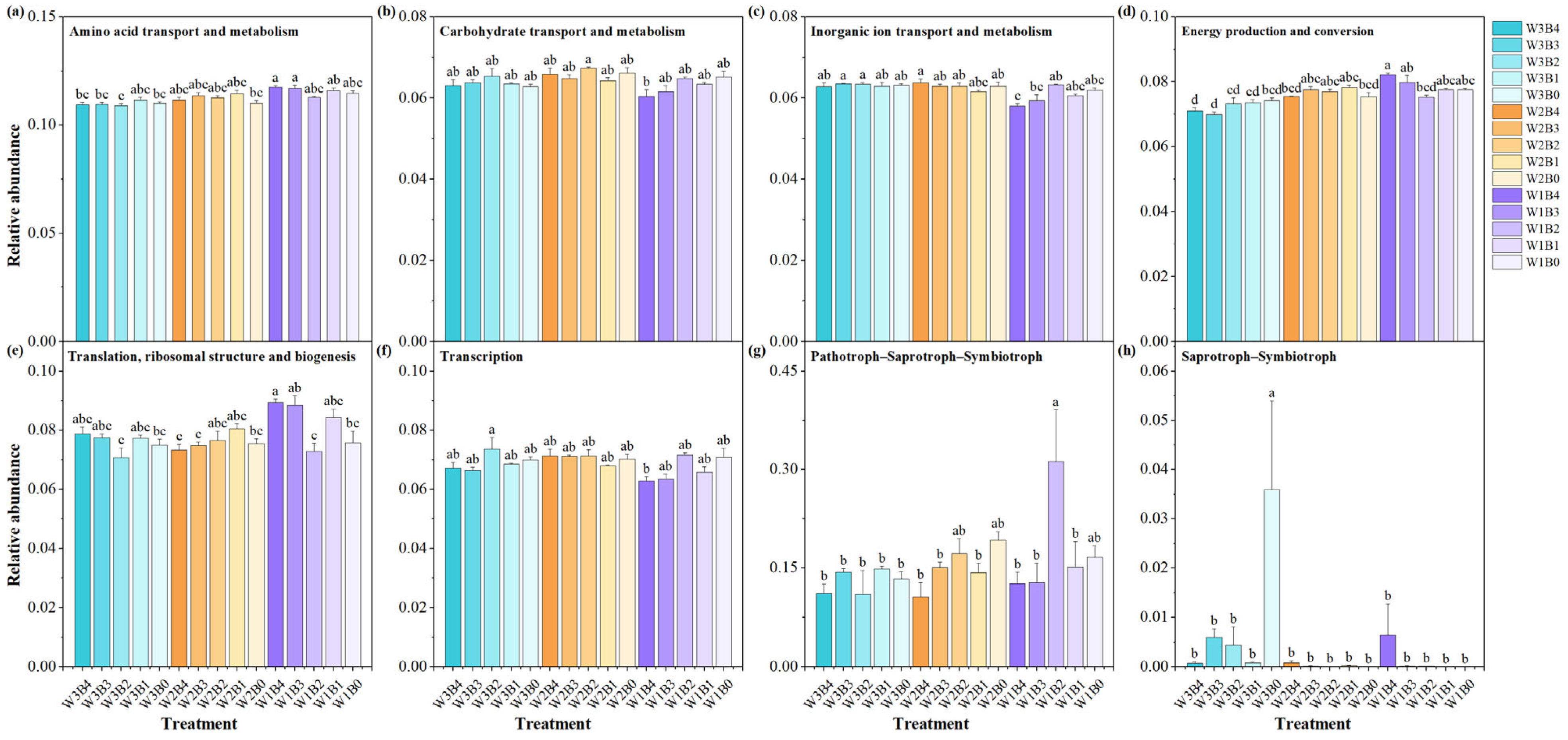
3.5. Predictive Analysis of the Functions of Soil Bacterial and Fungal Biomarkers
4. Discussion
4.1. The Effects of Irrigation and Biochar Application on Microbial Diversity
4.2. The Effects of Irrigation and Biochar Application on Microbial Biomarkers
4.3. The Effects of Environmental Factors on Microbial Biomarkers
4.4. The Effects of Irrigation and Biochar Application on the Function of Microbial Biomarkers
5. Conclusions
Supplementary Materials
Author Contributions
Funding
Data Availability Statement
Conflicts of Interest
References
- Li, X.; Zheng, L.; Ma, J. Biochar Improves Greenhouse Tomato Yield: Source–Sink Relations under Deficit Irrigation. Agronomy 2023, 13, 2336. [Google Scholar] [CrossRef]
- Zong, R.; Wang, Z.; Li, W.; Li, H.; Ayantobo, O.O. Effects of Practicing Long-Term Mulched Drip Irrigation on Soil Quality in Northwest China. Sci. Total Environ. 2023, 878, 163247. [Google Scholar] [CrossRef]
- Sun, J.; Tu, S.; Lu, X.; Li, X. Coupling of Biochar and Manure Improves Soil Carbon Pool Stability, Pore Structure, and Microbial Diversity. Agronomy 2025, 15, 1384. [Google Scholar] [CrossRef]
- Jin, X.; Zhang, T.; Hou, Y.; Bol, R.; Zhang, X.; Zhang, M.; Yu, N.; Meng, J.; Zou, H.; Wang, J. Review on the Effects of Biochar Amendment on Soil Microorganisms and Enzyme Activity. J. Soils Sediments 2024, 24, 2599–2612. [Google Scholar] [CrossRef]
- Cheng, H.; Song, Y.; Bolan, N. Biochar for Future and Futuristic Biochar. Pedosphere 2023, 33, 680–682. [Google Scholar] [CrossRef]
- Chen, Q.; Cui, H.; Su, J.; Penuelas, J.; Zhu, Y. Antibiotic Resistomes in Plant Microbiomes. Trends Plant Sci. 2019, 24, 530–541. [Google Scholar] [CrossRef]
- Bennett, L.T.; Mele, P.M.; Annett, S.; Kasel, S. Examining Links between Soil Management, Soil Health, and Public Benefits in Agricultural Landscapes: An Australian Perspective. Agric. Ecosyst. Environ. 2010, 139, 1–12. [Google Scholar] [CrossRef]
- Hartmann, M.; Six, J. Soil Structure and Microbiome Functions in Agroecosystems. Nat. Rev. Earth Environ. 2023, 4, 4–18. [Google Scholar] [CrossRef]
- Fu, F.; Long, B.; Huang, Q.; Li, J.; Zhou, W.; Yang, C. Integrated Effects of Residual Plastic Films on Soil-Rhizosphere Microbe-plant Ecosystem. J. Hazard. Mater. 2023, 445, 130420. [Google Scholar] [CrossRef] [PubMed]
- Bai, H.; Qin, S.; Yan, T.; Weng, D.; Zhao, B.; Li, X.; Bai, X.; Ma, Y.; Ma, J. Influences of Irrigation Amount on The Rhizospheric Microorganism Composition and Carbon Dioxide Flux of Maize Crops. Geoderma 2019, 343, 1–9. [Google Scholar] [CrossRef]
- Jiao, S.; Chu, H.; Zhang, B.; Wei, X.; Chen, W.; Wei, G. Linking Soil Fungi to Bacterial Community Assembly in Arid Ecosystems. iMeta 2022, 1, e2. [Google Scholar] [CrossRef]
- Li, G.; Niu, W.; Ma, L.; Du, Y.; Zhang, Q.; Gan, H.; Siddique, K.H.M. Effects of Drip Irrigation upper Limits on Rhizosphere Soil Bacterial Communities, Soil Organic Carbon, and Wheat Yield. Agric. Water Manag. 2024, 293, 108701. [Google Scholar] [CrossRef]
- Ahmadi, K.; Razavi, B.J.; Maharjan, M.; Kuzyakov, Y.; Kostka, S.J.; Carminati, A.; Zarebanadkouki, M. Effects of Rhizosphere Wettability on Microbial Biomass, Enzyme Activities and Localization. Rhizosphere 2018, 7, 35–42. [Google Scholar] [CrossRef]
- Ochoa-Hueso, R.; Collins, S.L.; Delgado-Baquerizo, M.; Hamonts, K.; Pockman, W.T.; Sinsabaugh, R.L.; Smith, M.D.; Knapp, A.K.; Power, S.A. Drought Consistently Alters the Composition of Soil Fungal and Bacterial Communities in Grasslands from Two Continents. Glob. Change Biol. 2018, 21, 2818–2827. [Google Scholar] [CrossRef] [PubMed]
- Lehmann, J.; Rillig, M.C.; Thies, J.; Masiello, C.A.; Hockaday, W.C.; Crowley, D. Biochar Effects on Soil Biota—A Review. Soil Biol. Biochem. 2011, 43, 1812–1836. [Google Scholar] [CrossRef]
- Hu, J.; Yang, S.; Cornelis, W.M.; Zhang, M.; Huang, Q.; Qiu, H.; Qi, S.; Jiang, Z.; Xu, Y.; Zhu, L. Microstructure and Microorganisms Alternation of Paddy Soil: Interplay of Biochar and Water-Saving Irrigation. Plants 2025, 14, 1498. [Google Scholar] [CrossRef] [PubMed]
- Jaafar, N.; Clode, P.L.; Abbott, L.K. Microscopy Observations of Habitable Space in Biochar for Colonisation by Fungal Hyphae from Soil. J. Integr. Agric. 2014, 13, 483–490. [Google Scholar] [CrossRef]
- Wang, Z.; Zong, H.; Zheng, H.; Liu, G.; Chen, L.; Xing, B. Reduced Nitrification and Abundance of Ammonia-Oxidizing Bacteria in Acidic Soil Amended with Biochar. Chemosphere 2015, 138, 56–583. [Google Scholar] [CrossRef]
- Lu, Z.; Lu, T.; Shi, J.; Chen, K.; Guo, H.; Li, N.; Han, X. Short-Term Microbial Community Dynamics Induced by 13C-labeled Maize Root, Its Derived Biochar and NPK in Long-term Amended Soil. Biochar 2024, 6, 72. [Google Scholar] [CrossRef]
- Neogi, S.; Sharma, V.; Khan, N.; Chaurasia, D.; Ahmad, A.; Chauhan, S.; Singh, A.; You, S.; Pandey, A.; Bhargava, P.C. Sustainable biochar: A Facile Strategy for Soil and Environmental Restoration, Energy Generation, Mitigation of Global Climate Change and Circular Bioeconomy. Chemosphere 2022, 293, 133474. [Google Scholar] [CrossRef] [PubMed]
- Gomez, J.D.; Denef, K.; Stewart, C.E.; Zheng, J.; Cotrufo, M.F. Biochar application Rate Influences Soil Microbial Abundance and Activity in Temperate Soils. Eur. J. Soil Sci. 2014, 65, 28–39. [Google Scholar] [CrossRef]
- Gul, S.; Whalen, J.K.; Thomas, B.W.; Sachdeva, V.; Deng, H. Physico-chemical Properties and Microbial Responses in Biochar-amended Soils: Mechanisms and Future Directions. Agric. Ecosyst. Environ. 2015, 206, 46–59. [Google Scholar] [CrossRef]
- Zhao, L.; Yuan, S.; Jia, R.; Li, Y.; Gu, S.; Li, X. Unveiling Hidden Bacterial Players: A Closer Look at the Succession Characteristics and Co-Occurrence Patterns of Abundant, Intermediate and Rare Bacteria in Biological Soil Crusts. CATENA 2024, 243, 108223. [Google Scholar] [CrossRef]
- Shi, L.; Zhang, H.; Liu, T.; Mao, P.; Zhang, W.; Shao, Y.; Fu, S. An Increase in Precipitation Exacerbates Negative Effects of Nitrogen Deposition on Soil Cations and Soil Microbial Communities in a Temperate Forest. Environ. Pollut. 2018, 235, 293–301. [Google Scholar] [CrossRef]
- Barnard, R.; Osborne, C.; Firestone, M. Responses of Soil Bacterial and Fungal Communities to Extreme Desiccation and Rewetting. ISME J. 2013, 7, 2229–2241. [Google Scholar] [CrossRef]
- Wang, X.; Song, D.; Liang, G.; Zhang, Q.; Ai, C.; Zhou, W. Maize Biochar application Rate Influences Soil Enzyme Activity and Microbial Community Composition in a Fluvo-aquic Soil. Appl. Soil Ecol. 2015, 96, 265–272. [Google Scholar] [CrossRef]
- Yang, C.; Liu, J.; Ying, H.; Lu, S. Soil Pore Structure Changes Induced By Biochar Affect Microbial Diversity and Community Structure in An Ultisol. Soil Tillage Res. 2022, 224, 105505. [Google Scholar] [CrossRef]
- Ma, L.; Niu, W.; Li, G.; Zhang, E.; Sun, J.; Zhang, Q.; Siddique, K.H.M. Bacterial biomarkers are Linked More Closely to Wheat Yield Formation than Overall Bacteria in Fertilized Soil. Land Degrad. Dev. 2023, 34, 1323–1336. [Google Scholar] [CrossRef]
- Banerjee, S.; Schlaeppi, K.; van der Heijden, M.G.A. Keystone Taxa as Drivers of Microbiome Structure and Functioning. Nat. Rev. Microbiol. 2018, 16, 567–576. [Google Scholar] [CrossRef]
- Liu, B.; Su, G.; Yang, Y.; Yao, Y.; Huang, Y.; Hu, L.; Zhong, H.; He, Z. Vertical Distribution of Microbial Communities in ChromiumContaminated Soil and Isolation of Cr(VI)-Reducing Strains. Ecotoxicol. Environ. Saf. 2019, 180, 242–251. [Google Scholar] [CrossRef] [PubMed]
- Sun, A.; Jiao, X.; Chen, Q.; Wu, A.; Zheng, Y.; Lin, Y.; He, J.; Hu, H. Microbial Communities in Crop Phyllosphere and Root Endosphere are More Resistant than Soil Microbiota to Fertilization. Soil Biol. Biochem. 2021, 153, 108113. [Google Scholar] [CrossRef]
- Yan, L.; Zhang, W.; Duan, W.; Zhang, Y.; Zheng, W.; Lai, X. Temporal Bacterial Community Diversity in the Nicotiana Tabacum Rhizosphere over Years of Continuous Monocropping. Front. Microbiol. 2021, 12, 641643. [Google Scholar] [CrossRef] [PubMed]
- Zhang, R.; Qu, Z.; Wang, L.; Yang, W.; Zhang, D.; Zhao, Y.; Li, J. Enhancing Soil Microbial Diversity, Quality, and Crop Growth through Deficit Irrigation Combined with Biochar Application. Front. Sustain. Food Syst. 2025, 9, 1528044. [Google Scholar] [CrossRef]
- Delgado-Baquerizo, M.; Oliverio, A.M.; Brewer, T.E.; Benavent-González, A.; Eldridge, D.J.; Bardgett, R.D.; Maestre, F.T.; Singh, B.K.; Fierer, N. A Global Atlas of the Dominant Bacteria Found in Soil. Science 2018, 359, 320–325. [Google Scholar] [CrossRef]
- Lu, T.; Xu, N.; Lei, C.; Zhang, Q.; Zhang, Z.; Sun, L.; He, F.; Zhou, N.; Peñuelas, J.; Zhu, Y.; et al. Bacterial Biogeography in China and Its association to Land Use and Soil Organic Carbon. Soil Ecol. Lett. 2023, 5, 230172. [Google Scholar] [CrossRef]
- Lei, C.; Lu, T.; Qian, H.; Liu, Y. Machine Learning Models Reveal How Biochar Amendment Affects Soil Microbial Communities. Biochar 2023, 89, 5. [Google Scholar] [CrossRef]
- Wang, L.; Wang, X.; Wang, T. Effects of Increasing Drip Irrigation at Different Maize Growth Stages on Soil Microorganisms. Front. Microbiol. 2024, 15, 1343302. [Google Scholar] [CrossRef]
- Xun, W.; Liu, Y.; Li, W.; Ren, Y.; Xiong, W.; Xu, Z.; Zhang, N.; Miao, Y.; Shen, Q.; Zhang, R. Specialized Metabolic Functions of Keystone Taxa Sustain Soil Microbiome Stability. Microbiome 2021, 35, 9. [Google Scholar] [CrossRef]
- An, J.; Zheng, L.; Ma, L.; Ma, X.; Ma, J. Effects of Different Mulched Drip Irrigation Levels on the Soil Microorganisms and Yield of Greenhouse Tomatoes (Solanum lycopersicum L.). Horticulturae 2025, 11, 204. [Google Scholar] [CrossRef]
- Manzoni, S.; Schimel, J.P.; Porporato, A.M.M. Responses of Soil Microbial Communities to Water Stress: Results from a Meta-analysis. Ecology 2012, 93, 930–938. [Google Scholar] [CrossRef]
- Wagg, C.; Schlaeppi, K.; Banerjee, S.; Kuramae, E.E.; van der Heijden, M.G.A. Fungal-Bacterial Diversity and Microbiome Complexity Predict Ecosystem Functioning. Nat. Commun. 2019, 10, 4841. [Google Scholar] [CrossRef]
- Ning, D.; Han, Q.; Zhang, Y.; Qin, A.; Liu, Z.; Zhang, J.; Gao, Y. Responses of Soil Microbial Community Characteristics and Enzyme Activities to Different Irrigation Modes over Four Wheat-maize Rotation Seasons. Agric. Water Manag. 2024, 306, 109166. [Google Scholar] [CrossRef]
- Lu, W.; Ding, W.; Zhang, J.; Li, Y.; Luo, J.; Bolan, N.; Xie, Z. Biochar Suppressed the Decomposition of Organic Carbon in a Cultivated Sandy loam soil: A Negative Priming Effect. Soil Biol. Biochem. 2014, 76, 12–21. [Google Scholar] [CrossRef]
- Zhang, Y.; Wang, J.; Feng, Y. The Effects of Biochar application on Soil Physicochemical Properties: A review. CATENA 2021, 202, 105284. [Google Scholar] [CrossRef]
- Li, C.; Xiong, Y.; Huang, Q.; Xu, X.; Huang, G. Impact of Irrigation and Fertilization Regimes on Greenhouse Gas Emissions from Soil of Mulching Cultivated Maize (Zea mays L.) field in the upper reaches of yellow river, China. J. Clean. Prod. 2020, 259, 120873. [Google Scholar] [CrossRef]
- Wang, C.; Kuzyakov, Y. Mechanisms and Implications of Bacterial-Fungal Competition for Soil Resources. ISME J. 2024, 18, wrae073. [Google Scholar] [CrossRef] [PubMed]
- Chao, A.; Shen, T. Nonparametric Estimation of Shannon’s Index of Diversity When There are Unseen Species in Sample. Environ. Ecol. Stat. 2003, 10, 429–443. [Google Scholar] [CrossRef]
- Chen, Q.; Ding, J.; Zhu, D.; Hu, H.; Delgado-Baquerizo, M.; Ma, Y.; He, J.; Zhu, Y. Rare Microbial Taxa as the Major Drivers of Ecosystem Multifunctionality in Long-Term Fertilized Soils. Soil Biol. Biochem. 2020, 141, 107686. [Google Scholar] [CrossRef]
- Yuan, Y.; Liang, Y.; Cai, H.; Yuan, J.; Li, C.; Liu, H.; Zhang, C.; Wang, L.; Zhang, J. Soil Organic Carbon Accumulation Mechanisms in Soil Amended with Straw and Biochar: Entombing Effect or Biochemical Protection? Biochar 2025, 33, 7. [Google Scholar] [CrossRef]
- Nielsen, U.N.; Ayres, E.; Wall, D.H.; Bardgett, R.D. Soil Biodiversity and Carbon Cycling: A Review and Synthesis of Studies Examining Diversity–Function Relationships. Eur. J. Soil Sci. 2011, 62, 105–116. [Google Scholar] [CrossRef]
- Ding, S.; Zhou, D.; Wei, H.; Wu, S.; Xie, B. Alleviating Soil Degradation Caused by Watermelon Continuous Cropping Obstacle: Application of Urban Waste Compost. Chemosphere 2021, 262, 128387. [Google Scholar] [CrossRef]
- Zhang, Q.; Zhu, T.; Xiao, Q.; An, N. The application of Biochar and Hyper-Thermal Inoculum Can Regulate the Fate of Heavy Metals Resistant Bacterial Communities during the Livestock Manure Composting. Fermentation 2022, 8, 207. [Google Scholar] [CrossRef]
- Dong, S.; Yan, P.; Mezzari, M.P.; Abriola, L.M.; Pennell, K.D.; Cápiro, N.L. Using Network Analysis and Predictive Functional Analysis to Explore the Fluorotelomer Biotransformation Potential of Soil Microbial Communities. Environ. Sci. Technol. 2024, 58, 7480–7492. [Google Scholar] [CrossRef]
- Xu, Y.; Teng, Y.; Dai, S.; Liao, J.; Wang, X.; Hu, W.; Guo, Z.; Pan, X.; Dong, X.; Luo, Y. Atmospheric Trace Gas Oxidizers Contribute to Soil Carbon Fixation Driven by Key Soil Conditions in Terrestrial Ecosystems. Environ. Sci. Technol. 2024, 58, 21617–21628. [Google Scholar] [CrossRef]
- Pishgar, R.; Dominic, J.A.; Sheng, Z.; Tay, J.H. Denitrification Performance and Microbial Versatility in Response to Different Selection Pressures. Bioresour. Technol. 2019, 281, 72–83. [Google Scholar] [CrossRef]
- Halo, B.A.; Al-Yahyai, R.A.; Maharachchikumbura, S.S.N.; Al-Sadi, A.M. Talaromyces Variabilis Interferes with Pythium aphanidermatum Growth and Suppresses Pythium-Induced Damping-off of Cucumbers and Tomatoes. Sci. Rep. 2019, 9, 11255. [Google Scholar] [CrossRef]
- Wang, W.; Portal-Gonzalez, N.; Wang, X.; Li, J.; Li, H.; Portieles, R.; Borras-Hidalgo, O.; He, W.; Santos-Bermudez, R. Metabolome-driven Microbiome Assembly Determining the Health of Ginger Crop (Zingiber officinale L. Roscoe) against Rhizome Rot. Microbiome 2024, 12, 167. [Google Scholar] [CrossRef]
- Yi, X.; He, J.; Sun, L.; Liu, J.; Wang, G.; Feng, T. 3-Decalinoyltetramic Acids from Kiwi-associated Fungus Zopfiella sp. and Their Antibacterial Activity Against Pseudomonas syringae. RSC Adv. 2021, 11, 18827–18831. [Google Scholar] [CrossRef]
- Gupta, D.K.; Chattoo, B.B. Leucothecium emdenii: A Novel Larvicidal Fungus against Mosquito Larvae. J. Invertebr. Pathol. 1999, 73, 226–227. [Google Scholar] [CrossRef]
- Sheng, H.; McNamara, P.J.; Leger, R.J.S. Metarhizium: An Opportunistic Middleman for Multitrophic Lifestyles. Curr. Opin. Microbiol. 2022, 69, 102176. [Google Scholar] [CrossRef]
- Du, S.; Trivedi, P.; Wei, Z.; Feng, J.; Hu, H.; Bi, L.; Huang, Q.; Liu, Y. The Proportion of Soil-Borne Fungal Pathogens Increases with Elevated Organic Carbon in Agricultural Soils. mSystems 2022, 7, e0133721. [Google Scholar] [CrossRef]
- Nji, Q.N.; Babalola, O.O.; Mwanza, M. Soil Aspergillus Species, Pathogenicity and Control Perspectives. J. Fungi 2023, 9, 766. [Google Scholar] [CrossRef]
- Li, Y.; Adams, J.; Shi, Y.; Wang, H.; He, J.; Chu, H. Distinct Soil Microbial Communities in Habitats of Differing Soil Water Balance on the Tibetan Plateau. Sci. Rep. 2017, 7, 46407. [Google Scholar] [CrossRef] [PubMed]
- He, K.; Liu, Q.; Zhang, J.; Zhang, G.; Li, G. Biochar Enhances the Resistance of Legumes and Soil Microbes to Extreme Short-Term Drought. Plants 2023, 12, 4155. [Google Scholar] [CrossRef]
- Li, M.; Long, T.; Tian, K.; Wei, C.; Liu, M.; Wu, M.; Li, Z.; Uchimiya, M. Temperature and Moisture Mediated Changes in Chemical and Microbial Properties of Biochars in An Anthrosol. Sci. Total Environ. 2022, 845, 157219. [Google Scholar] [CrossRef] [PubMed]
- Zhou, X.; Tahvanainen, T.; Malard, L.; Chen, L.; Pérez-Pérez, J.; Berninger, F. Global Analysis of Soil Bacterial Genera and Diversity in Response to pH. Soil Biol. Biochem. 2024, 198, 109552. [Google Scholar] [CrossRef]
- Mattila, T.J.; Redox, L. Potential as a Soil Health Indicator—How Does It Compare to Microbial Activity and Soil Structure? Plant Soil 2024, 494, 617–625. [Google Scholar] [CrossRef]
- Riddley, M.; Hepp, S.; Hardeep, F.; Nayak, A.; Liu, M.; Xing, X.; Zhang, H.; Liao, J. Differential Roles of Deterministic and Stochastic Processes in Structuring Soil Bacterial Ecotypes Across Terrestrial Ecosystems. Nat. Commun. 2025, 16, 2337. [Google Scholar] [CrossRef]
- Ding, Y.; Liu, Y.; Liu, S.; Li, Z.; Tan, X.; Huang, X.; Zeng, G.; Zhou, L.; Zheng, B. Biochar to Improve Soil Fertility. A Review. Agron. Sustainable Dev. 2016, 36, 36. [Google Scholar] [CrossRef]
- Yang, J.; Lei, J.; Zhang, F.; Li, Y.; Gao, J.; Deng, L.; Yang, M. Biochar Application Induces Different Responses of Bacterial and Fungal Communities to Metabolic Limitation. Land Degrad. Dev. 2024, 35, 1888–1901. [Google Scholar] [CrossRef]
- Enaime, G.; Lübken, M. Agricultural Waste-Based Biochar for Agronomic Applications. Appl. Sci. 2021, 11, 8914. [Google Scholar] [CrossRef]







| Treatment | Bacteria | Fungi | ||
|---|---|---|---|---|
| Chao | Shannon | Chao | Shannon | |
| W3B4 | 3960.73 ± 205.43 b | 7.52 ± 0.03 a | 358.87 ± 27.53 ab | 3.60 ± 0.24 a |
| W3B3 | 4079.94 ± 82.43 ab | 7.19 ± 0.15 a | 347.83 ± 15.38 abc | 3.77 ± 0.15 a |
| W3B2 | 4211.84 ± 191.72 ab | 7.34 ± 0.12 a | 354.02 ± 30.56 abc | 3.66 ± 0.38 a |
| W3B1 | 3848.81 ± 134.22 b | 7.40 ± 0.03 a | 355.01 ± 12.03 abc | 3.72 ± 0.08 a |
| W3B0 | 4234.10 ± 112.08 ab | 7.44 ± 0.06 a | 311.61 ± 13.51 bcd | 3.31 ± 0.19 ab |
| W2B4 | 4522.13 ± 12.70 a | 7.28 ± 0.11 a | 381.17 ± 2.15 a | 3.36 ± 0.02 ab |
| W2B3 | 4054.39 ± 68.68 ab | 7.44 ± 0.00 a | 377.14 ± 8.85 a | 3.61 ± 0.12 a |
| W2B2 | 3723.42 ± 156.38 b | 7.34 ± 0.06 a | 377.14 ± 2.00 a | 3.54 ± 0.12 ab |
| W2B1 | 3845.74 ± 46.32 b | 7.48 ± 0.01 a | 382.85 ± 22.39 a | 3.43 ± 0.13 ab |
| W2B0 | 4089.45 ± 69.99 ab | 7.47 ± 0.02 a | 377.22 ± 10.64 a | 3.35 ± 0.16 ab |
| W1B4 | 3871.19 ± 66.45 b | 7.34 ± 0.05 a | 334.82 ± 21.56 abcd | 3.10 ± 0.25 ab |
| W1B3 | 3905.42 ± 139.20 b | 7.48 ± 0.01 a | 288.47 ± 27.86 d | 2.87 ± 0.27 b |
| W1B2 | 3234.67 ± 487.96 c | 6.82 ± 0.57 a | 330.43 ± 19.04 abcd | 3.17 ± 0.25 ab |
| W1B1 | 3983.03 ± 67.83 ab | 7.39 ± 0.03 a | 298.44 ± 13.11 cd | 3.12 ± 0.20 ab |
| W1B0 | 4149.22 ± 1.39 ab | 7.45 ± 0.03 a | 374.15 ± 7.26 a | 3.39 ± 0.15 ab |
| W | ns | ns | *** | ** |
| B | * | ns | ns | ns |
| W × B | * | ns | ns | ns |
| 2021 | 2022 | ||||||||
|---|---|---|---|---|---|---|---|---|---|
| Bacteria biomarkers | SWC | T | pH | EH | SWC | T | pH | EH | |
| Mantel test | r | 0.418 | −0.213 | −0.018 | 0.060 | 0.437 | 0.120 | −0.102 | 0.212 |
| p | 0.004 | 0.942 | 0.507 | 0.322 | 0.003 | 0.193 | 0.768 | 0.097 | |
| Fungi biomarkers | SWC | T | pH | EH | SWC | T | pH | EH | |
| Mantel test | r | 0.440 | −0.207 | −0.052 | −0.001 | 0.452 | 0.107 | −0.114 | 0.123 |
| p | 0.004 | 0.911 | 0.604 | 0.402 | 0.003 | 0.233 | 0.775 | 0.210 | |
Disclaimer/Publisher’s Note: The statements, opinions and data contained in all publications are solely those of the individual author(s) and contributor(s) and not of MDPI and/or the editor(s). MDPI and/or the editor(s) disclaim responsibility for any injury to people or property resulting from any ideas, methods, instructions or products referred to in the content. |
© 2025 by the authors. Licensee MDPI, Basel, Switzerland. This article is an open access article distributed under the terms and conditions of the Creative Commons Attribution (CC BY) license (https://creativecommons.org/licenses/by/4.0/).
Share and Cite
An, J.; Zheng, L.; Sun, R.; Li, X.; Ma, L.; Ma, J. Effects of Corn Stover Biochar on Soil Bacterial and Fungal Biomarkers in Greenhouse Tomatoes Under Mulched Drip Irrigation. Horticulturae 2025, 11, 1143. https://doi.org/10.3390/horticulturae11091143
An J, Zheng L, Sun R, Li X, Ma L, Ma J. Effects of Corn Stover Biochar on Soil Bacterial and Fungal Biomarkers in Greenhouse Tomatoes Under Mulched Drip Irrigation. Horticulturae. 2025; 11(9):1143. https://doi.org/10.3390/horticulturae11091143
Chicago/Turabian StyleAn, Jianglong, Lijian Zheng, Ruifeng Sun, Xufeng Li, Li Ma, and Juanjuan Ma. 2025. "Effects of Corn Stover Biochar on Soil Bacterial and Fungal Biomarkers in Greenhouse Tomatoes Under Mulched Drip Irrigation" Horticulturae 11, no. 9: 1143. https://doi.org/10.3390/horticulturae11091143
APA StyleAn, J., Zheng, L., Sun, R., Li, X., Ma, L., & Ma, J. (2025). Effects of Corn Stover Biochar on Soil Bacterial and Fungal Biomarkers in Greenhouse Tomatoes Under Mulched Drip Irrigation. Horticulturae, 11(9), 1143. https://doi.org/10.3390/horticulturae11091143

