The Heavy Metal-Associated Isoprenylated Plant Protein (HIPP) Gene Family Plays a Crucial Role in Cadmium Resistance in Lotus (Nelumbo nucifera G.)
Abstract
1. Introduction
2. Materials and Methods
2.1. Plant Materials and Experimental Treatments
2.2. Identification and Physicochemical Properties of HIPP Genes in Nelumbo nucifera
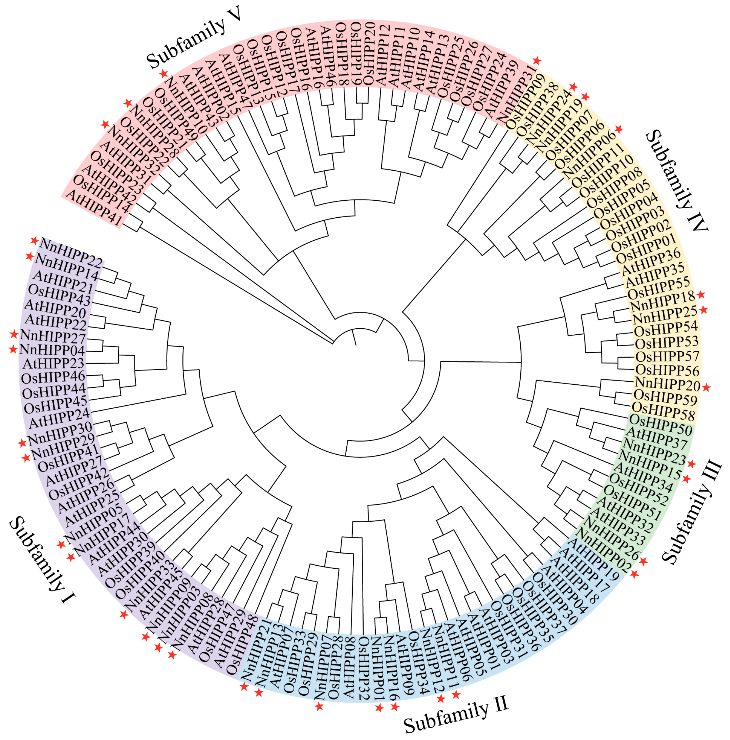
2.3. Phylogenetic Analysis
2.4. Structural and Conserved Motif Analysis of NnHIPPs
2.5. Chromosome Distribution and Synteny Analysis in NnHIPP Gene Family
2.6. Analysis of NnHIPP Cis-Acting Elements
2.7. RNA Extraction and Transcriptome Analysis
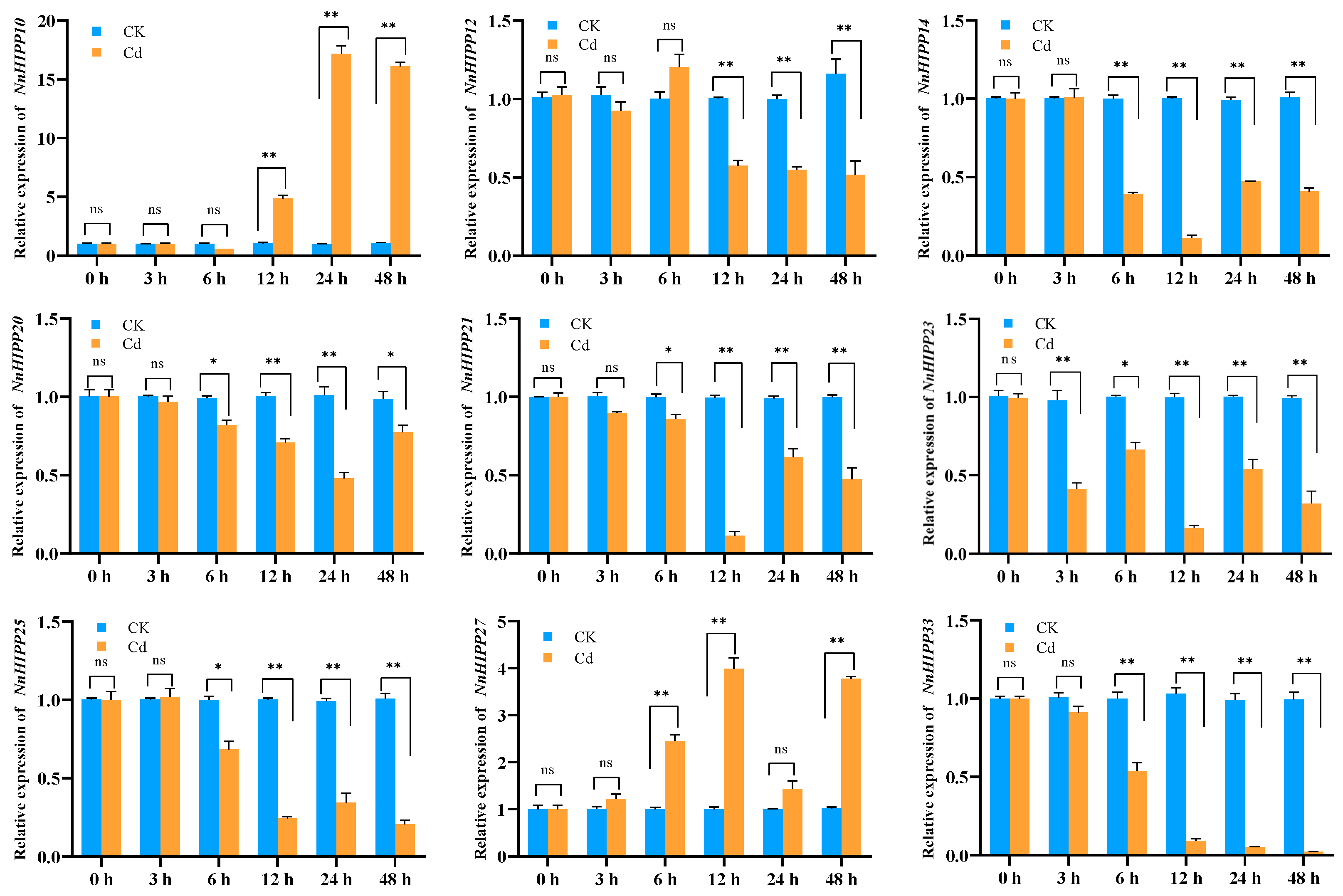
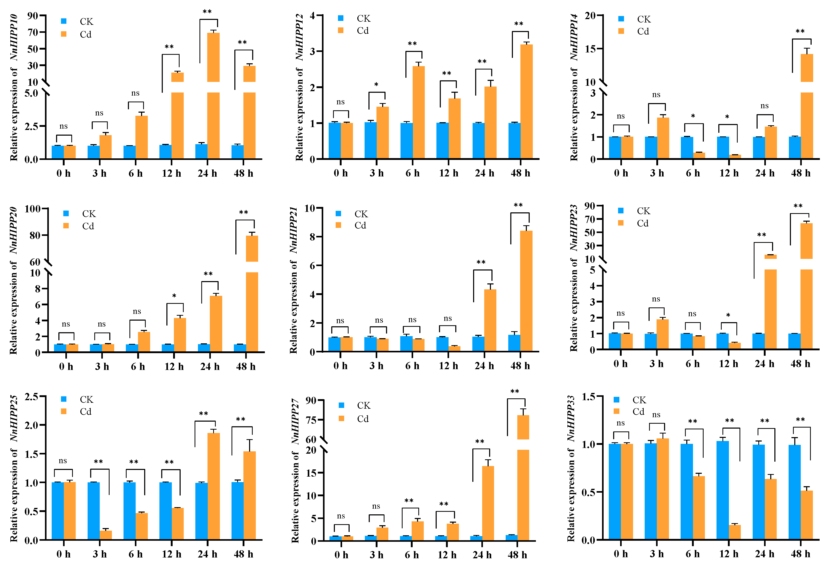
2.8. NnHIPPs Expression Profiles
2.9. Subcellular Localization of NnHIPP Genes
2.10. Heterologous Expression of the NnHIPPs in Yeast
3. Results
3.1. Identification and Characteristics of NnHIPP Genes
3.2. Protein Domains and Phylogenetic Analysis of NnHIPP Proteins
3.3. Synteny Analysis in HIPP Genes
3.4. Cis-Regulatory Elements in the Promoters of NnHIPP Genes
3.5. Expression Profiling of NnHIPP Genes in Different Tissues
3.6. Expression Levels of NnHIPP Genes in Lotus Under Cd Stress
3.7. Subcellular Localization of NnHIPP Proteins
3.8. The Function of NnHIPPs on Cd Tolerance in Yeast
4. Discussion
5. Conclusions
Supplementary Materials
Author Contributions
Funding
Institutional Review Board Statement
Informed Consent Statement
Data Availability Statement
Acknowledgments
Conflicts of Interest
Abbreviations
| ABA | Abscisic acid |
| Cd | Cadmium |
| CDS | Coding sequences |
| CKX | Cytokinin oxidase |
| FPKM | Fragments per kilobase of transcript per million mapped reads |
| HIPP | Heavy metal-associated isoprenylated plant protein |
| HMA | Heavy metal-associated |
| HMM | Hidden Markov model |
| Pb | Lead |
| STRE | Stress response promoter element |
References
- Zhao, F.J.; Tang, Z.; Song, J.J.; Huang, X.Y.; Wang, P. Toxic metals and metalloids: Uptake, transport, detoxification, phytoremediation, and crop improvement for safer food. Mol. Plant 2022, 15, 27–44. [Google Scholar] [CrossRef]
- Anwar, A.; Wang, Y.D.; Chen, M.Q.; Zhang, S.W.; Wang, J.M.; Feng, Y.Q.; Xue, Y.X.; Zhao, M.F.; Su, W.; Chen, R.Y.; et al. Zero-valent iron (nZVI) nanoparticles mediate SlERF1 expression to enhance cadmium stress tolerance in tomato. J. Hazard. Mater. 2024, 468, 133829. [Google Scholar] [CrossRef]
- Tang, W.; Liang, L.; Yang, H.; Yu, X.; Ye, X.; Xie, Y.; Li, R.; Lin, L.; Huang, Z.; Sun, B.; et al. Exogenous salicylic acid reduces cadmium content in spinach (Spinacia oleracea L.) shoots under cadmium stress. BMC Plant Biol. 2024, 24, 1226. [Google Scholar] [CrossRef]
- Hu, Y.; He, R.; Mu, X.; Zhou, Y.; Li, X.; Wang, H.; Xing, W.; Liu, D. Cadmium toxicity in plants: From transport to tolerance mechanisms. Plant Signal. Behav. 2025, 20, 2544316. [Google Scholar] [CrossRef]
- Tang, Z.; Wang, H.Q.; Chen, J.; Chang, J.D.; Zhao, F.J. Molecular mechanisms underlying the toxicity and detoxification of trace metals and metalloids in plants. J. Integr. Plant Biol. 2023, 65, 570–593. [Google Scholar] [CrossRef] [PubMed]
- Wu, W.; Zhao, T.; Zheng, Y.; Liu, T.; Zhou, S.; Chen, W.; Xie, L.; Lin, Q.; Chen, L.; Xiao, S.; et al. HIPP33 Contributes to Selective Autophagy-Mediated Vacuolar Sequestration of Cadmium in Arabidopsis. Plant Cell Environ. 2025, 48, 7072–7088. [Google Scholar] [CrossRef]
- Chen, J.; Huang, X.Y.; Salt, D.E.; Zhao, F.J. Mutation in OsCADT1 enhances cadmium tolerance and enriches selenium in rice grain. New Phytol. 2020, 226, 838–850. [Google Scholar] [CrossRef] [PubMed]
- Li, Y.; Rahman, S.U.; Qiu, Z.; Shahzad, S.M.; Nawaz, M.F.; Huang, J.; Naveed, S.; Li, L.; Wang, X.; Cheng, H. Toxic effects of cadmium on the physiological and biochemical attributes of plants, and phytoremediation strategies: A review. Environ. Pollut. 2023, 325, 121433. [Google Scholar] [CrossRef]
- Yu, Y.; Alseekh, S.; Zhu, Z.H.; Zhou, K.J.; Fernie, A.R. Multiomics and biotechnologies for understanding and influencing cadmium accumulation and stress response in plants. Plant Biotechnol. J. 2024, 22, 2641–2659. [Google Scholar] [CrossRef] [PubMed]
- Haider, F.U.; Cai, L.; Coulter, J.A.; Cheema, S.A.; Wu, J.; Zhang, R.; Ma, W.; Farooq, M. Cadmium toxicity in plants: Impacts and remediation strategies. Ecotoxicol. Environ. Saf. 2021, 211, 111887. [Google Scholar] [CrossRef]
- Khan, A.H.A.; Kiyani, A.; Mirza, C.R.; Butt, T.A.; Barros, R.; Ali, B.; Iqbal, M.; Yousaf, S. Ornamental plants for the phytoremediation of heavy metals: Present knowledge and future perspectives. Environ. Res. 2021, 195, 110780. [Google Scholar] [CrossRef]
- Wang, Y.; Yuan, M.; Li, Z.; Niu, Y.; Jin, Q.; Zhu, B.; Xu, Y. Effects of ethylene biosynthesis and signaling on oxidative stress and antioxidant defense system in Nelumbo nucifera G. under cadmium exposure. Environ. Sci. Pollut. Res. 2020, 27, 40156–40170. [Google Scholar] [CrossRef]
- Zhou, P.; Jin, Q.; Qian, P.; Wang, Y.; Wang, X.; Jiang, H.; Yao, D.; Liu, X.; Liu, F.; Li, J.; et al. Genetic resources of lotus (Nelumbo) and their improvement. Ornam. Plant Res. 2022, 2, 5. [Google Scholar] [CrossRef]
- Liu, Q.; Wang, L.; Zhang, D. Characterization of the phytochemical content, antioxidant activity and inhibition capacity against α-glucosidase of different flower parts of seven lotuses (Nelumbo). Sci. Hortic. 2023, 316, 112007. [Google Scholar] [CrossRef]
- Liu, A.; Tian, D.; Xiang, Y.; Mo, H. Effects of biochar on growth of Asian lotus (Nelumbo nucifera Gaertn.) and cadmium uptake in artificially cadmium-polluted water. Sci. Hortic. 2016, 198, 311–317. [Google Scholar] [CrossRef]
- Mishra, V.; Pathak, V.; Tripathi, B. Accumulation of cadmium and copper from aqueous solutions using Indian lotus (Nelumbo nucifera). Ambio 2009, 38, 110–112. [Google Scholar] [CrossRef]
- de Abreu-Neto, J.B.; Turchetto-Zolet, A.C.; de Oliveira, L.F.V.; Zanettini, M.H.B.; Margis-Pinheiro, M. Heavy metal-associated isoprenylated plant protein (HIPP): Characterization of a family of proteins exclusive to plants. FEBS J. 2013, 280, 1604–1616. [Google Scholar] [CrossRef]
- Cao, H.W.; Zhao, Y.N.; Liu, X.S.; Rono, J.K.; Yang, Z.M. A metal chaperone OsHIPP16 detoxifies cadmium by repressing its accumulation in rice crops. Environ. Pollut. 2022, 311, 120058. [Google Scholar] [CrossRef]
- Huang, G.Y.; Hu, Y.N.; Li, F.X.; Zuo, X.R.; Wang, X.Y.; Li, F.Y.; Li, R.M. Genome-wide characterization of heavy metal-associated isoprenylated plant protein gene family from Citrus sinensis in response to huanglongbing. Front. Plant Sci. 2024, 15, 1369883. [Google Scholar] [CrossRef]
- Wang, Z.K.; Zhang, H.; Li, Y.B.; Chen, Y.M.; Tang, X.; Zhao, J.; Yu, F.F.; Wang, H.Y.; Xiao, J.; Liu, J.; et al. Isoprenylation modification is required for HIPP1-mediated powdery mildew resistance in wheat. Plant Cell Environ. 2023, 46, 288–305. [Google Scholar] [CrossRef]
- Zschiesche, W.; Barth, O.; Daniel, K.; Böhme, S.; Rausche, J.; Humbeck, K. The zinc-binding nuclear protein HIPP3 acts as an upstream regulator of the salicylate-dependent plant immunity pathway and of flowering time in Arabidopsis thaliana. New Phytol. 2015, 207, 1084–1096. [Google Scholar] [CrossRef] [PubMed]
- Zhang, H.; Zhai, G.W.; Ni, X.L.; Liu, Z.W.; Song, T.; Han, Y.; Wang, Y.; Shao, Y.; Wang, F.L.; Zou, G.H.; et al. Genome-wide identification of HIPP genes family in sorghum reveals the novel role of SbHIPP40 in accumulation of cadmium. J. Hazard. Mater. 2025, 494, 138478. [Google Scholar] [CrossRef]
- Xia, H.Y.; Jing, X.; He, H.Q.; Peng, J.W.; Liu, Y.Y.; Sun, W.Y.; Wang, X.Z.; Yuan, Z.; Wu, J.X.; Zhang, M.Y.; et al. Genome-wide identification of the HIPPs gene family and functional validation of MsHIPP12 in enhancing cadmium tolerance in Medicago sativa. J. Hazard. Mater. 2025, 491, 137894. [Google Scholar] [CrossRef]
- Wei, Y.F.; Peng, X.Q.; Wang, X.J.; Wang, C. The heavy metal-associated isoprenylated plant protein (HIPP) gene family plays a crucial role in cadmium resistance and accumulation in the tea plant (Camellia sinensis L.). Ecotoxicol. Environ. Saf. 2023, 260, 115077. [Google Scholar] [CrossRef]
- Ma, L.; An, R.; Jiang, L.; Zhang, C.; Li, Z.; Zou, C.; Yang, C.; Pan, G.; Lubberstedt, T.; Shen, Y. Effects of ZmHIPP on lead tolerance in maize seedlings: Novel ideas for soil bioremediation. J Hazard Mater 2022, 430, 128457. [Google Scholar] [CrossRef]
- Zhang, B.; Liu, X.; Feng, S.; Zhao, Y.; Wang, L.; Rono, J.; Li, H.; Yang, Z. Developing a cadmium resistant rice genotype with OsHIPP29 locus for limiting cadmium accumulation in the paddy crop. Chemosphere 2020, 247, 125958. [Google Scholar] [CrossRef]
- Chen, G.Q.; Xiong, S. OsHIPP24 is a Copper Metallochaperone Which Affects Rice Growth. J. Plant Biol. 2021, 64, 145–153. [Google Scholar] [CrossRef]
- Zhang, P.; Wang, R.; Ju, Q.; Li, W.; Tran, L.; Xu, J. The R2R3-MYB Transcription Factor MYB49 Regulates Cadmium Accumulation. Plant Physiol. 2019, 180, 529–542. [Google Scholar] [CrossRef]
- Guo, T.; Weber, H.; Niemann, M.C.E.; Theisl, L.; Leonte, G.; Novak, O.; Werner, T. Arabidopsis HIPP proteins regulate endoplasmic reticulum-associated degradation of CKX proteins and cytokinin responses. Mol. Plant 2021, 14, 1918–1934. [Google Scholar] [CrossRef]
- Liu, H.; Liu, Y.D.; Liu, F.Y.; Zeng, L.H.; Xu, Y.C.; Jin, Q.J.; Wang, Y.J. Genome-wide identification of the Q-type C2H2 zinc finger protein gene family and expression analysis under abiotic stress in lotus (Nelumbo nucifera G.). BMC Genom. 2024, 25, 648. [Google Scholar] [CrossRef]
- Jin, Q.J.; Wang, Y.X.; Li, X.; Wu, S.; Wang, Y.J.; Luo, J.Y.; Mattson, N.; Xu, Y.C. Interactions between ethylene, gibberellin and abscisic acid in regulating submergence induced petiole elongation in Nelumbo nucifera. Aquat. Bot. 2017, 137, 9–15. [Google Scholar] [CrossRef]
- Horton, P.; Park, K.-J.; Obayashi, T.; Fujita, N.; Harada, H.; Adams-Collier, C.J.; Nakai, K. WoLF PSORT: Protein localization predictor. Nucleic Acids Res. 2007, 35, W585–W587. [Google Scholar] [CrossRef]
- Sievers, F.; Higgins, D.G. Clustal Omega for making accurate alignments of many protein sequences. Protein Sci. 2018, 27, 135–145. [Google Scholar] [CrossRef] [PubMed]
- Chen, S.; Chen, W.; Liu, Y.; Ahmad, M.Z.; Feng, J.; Chen, H.; Qi, X.; Deng, Y. Overexpression of ATP binding cassette transporters (ABCs) from Hydrangea macrophylla enhance aluminum tolerance. J. Hazard. Mater. 2025, 495, 138988. [Google Scholar] [CrossRef]
- Chen, C.; Chen, H.; Zhang, Y.; Thomas, H.R.; Frank, M.H.; He, Y.; Xia, R. TBtools: An Integrative Toolkit Developed for Interactive Analyses of Big Biological Data. Mol. Plant 2020, 13, 1194–1202. [Google Scholar] [CrossRef]
- Chen, C.J.; Wu, Y.; Li, J.W.; Wang, X.; Zeng, Z.H.; Xu, J.; Liu, Y.L.; Feng, J.T.; Chen, H.; He, Y.H.; et al. TBtools-II: A “one for all, all for one” bioinformatics platform for biological big-data mining. Mol. Plant 2023, 16, 1733–1742. [Google Scholar] [CrossRef]
- Wang, Y.P.; Tang, H.B.; Wang, X.Y.; Sun, Y.; Joseph, P.V.; Paterson, A.H. Detection of colinear blocks and synteny and evolutionary analyses based on utilization of MCScanX. Nat. Protoc. 2024, 19, 2206–2229. [Google Scholar] [CrossRef]
- Li, H.; Yang, X.Y.; Zhang, Y.; Gao, Z.Y.; Liang, Y.T.; Chen, J.M.; Shi, T. Nelumbo genome database, an integrative resource for gene expression and variants of Nelumbo nucifera. Sci. Data 2021, 8, 38. [Google Scholar] [CrossRef]
- Ma, X.; Yang, H.; Bu, Y.; Wu, X.; Sun, N.; Xiao, J.; Jing, Y. Genome-wide identification of PLATZ genes related to cadmium tolerance in Populus trichocarpa and characterization of the role of PtPLATZ3 in phytoremediation of cadmium. Int. J. Biol. Macromol. 2023, 228, 732–743. [Google Scholar] [CrossRef] [PubMed]
- Chen, Y.; Yang, J.J.; Zhao, X.Y.; Sun, Z.L.; Li, G.J.; Hussain, S.; Li, X.Z.; Zhang, L.Y.; Wang, Z.Y.; Gong, H.H.; et al. Effects of SpGSH1 and SpPCS1 overexpression or co-overexpression on cadmium accumulation in yeast and Spirodela polyrhiza. Plant Physiol. Biochem. 2024, 216, 109097. [Google Scholar] [CrossRef]
- Tehseen, M.; Cairns, N.; Sherson, S.; Cobbett, C.S. Metallochaperone-like genes in Arabidopsis thaliana. Metallomics 2010, 2, 556–564. [Google Scholar] [CrossRef]
- Khan, I.U.; Rono, J.K.; Liu, X.; Feng, S.; Li, H.; Chen, X.; Yang, Z. Functional characterization of a new metallochaperone for reducing cadmium concentration in rice crop. J. Clean. Prod. 2020, 272, 123152. [Google Scholar] [CrossRef]
- Khan, I.U.; Rono, J.K.; Zhang, B.Q.; Liu, X.S.; Wang, M.Q.; Wang, L.L.; Wu, X.C.; Chen, X.; Cao, H.W.; Yang, Z.M. Identification of novel rice (Oryza sativa) HPP and HIPP genes tolerant to heavy metal toxicity. Ecotoxicol. Environ. Saf. 2019, 175, 8–18. [Google Scholar] [CrossRef]
- Gao, C.; Zhang, Z.; Zhu, Y.; Tian, J.; Yu, K.; Hou, J.; Luo, D.; Cai, J.; Zhu, Y. Genome-Wide Analysis of HIPP Gene Family in Maize Reveals Its Role in the Cadmium Stress Response. Genes 2025, 16, 770. [Google Scholar] [CrossRef]
- Hou, J.; Liu, M.; Yang, K.; Liu, B.; Liu, H.H.; Liu, J.Q. Genetic variation for adaptive evolution in response to changed environments in plants. J. Integr. Plant Biol. 2025, 67, 2265–2293. [Google Scholar] [CrossRef]
- Hsu, Y.T.; Kao, C.H. Role of abscisic acid in cadmium tolerance of rice (Oryza sativa L.) seedlings. Plant Cell Environ. 2003, 26, 867–874. [Google Scholar] [CrossRef]
- Miyadate, H.; Adachi, S.; Hiraizumi, A.; Tezuka, K.; Nakazawa, N.; Kawamoto, T.; Katou, K.; Kodama, I.; Sakurai, K.; Takahashi, H.; et al. OsHMA3, a P1B-type of ATPase affects root-to-shoot cadmium translocation in rice by mediating efflux into vacuoles. New Phytol. 2011, 189, 190–199. [Google Scholar] [CrossRef] [PubMed]
- Luo, J.S.; Huang, J.; Zeng, D.L.; Peng, J.S.; Zhang, G.B.; Ma, H.L.; Guan, Y.; Yi, H.Y.; Fu, Y.L.; Han, B.; et al. A defensin-like protein drives cadmium efflux and allocation in rice. Nat. Commun. 2018, 9, 645. [Google Scholar] [CrossRef]
- Fu, S.; Lu, Y.S.; Zhang, X.; Yang, G.Z.; Chao, D.; Wang, Z.G.; Shi, M.X.; Chen, J.G.; Chao, D.Y.; Li, R.B.; et al. The ABC transporter ABCG36 is required for cadmium tolerance in rice. J. Exp. Bot. 2019, 70, 5909–5918. [Google Scholar] [CrossRef]
- Liu, X.S.; Feng, S.J.; Zhang, B.Q.; Wang, M.Q.; Cao, H.W.; Rono, J.K.; Chen, X.; Yang, Z.M. OsZIP1 functions as a metal efflux transporter limiting excess zinc, copper and cadmium accumulation in rice. BMC Plant Biol. 2019, 19, 283. [Google Scholar] [CrossRef] [PubMed]
- Lee, S.; Kim, Y.Y.; Lee, Y.; An, G. Rice P1B-type heavy-metal ATPase, OsHMA9, is a metal efflux protein. Plant Physiol. 2007, 145, 831–842. [Google Scholar] [CrossRef] [PubMed]
- Zhao, Y.N.; Wang, M.Q.; Li, C.; Cao, H.W.; Rono, J.K.; Yang, Z.M. The metallochaperone OsHIPP56 gene is required for cadmium detoxification in rice crops. Environ. Exp. Bot. 2022, 193, 104680. [Google Scholar] [CrossRef]
- Cao, H.W.; Li, C.; Zhang, B.Q.; Rono, J.K.; Yang, Z.M. A Metallochaperone HIPP33 Is Required for Rice Zinc and Iron Homeostasis and Productivity. Agronomy 2022, 12, 488. [Google Scholar] [CrossRef]
- Gao, W.; Xiao, S.; Li, H.Y.; Tsao, S.W.; Chye, M.L. Arabidopsis thaliana acyl-CoA-binding protein ACBP2 interacts with heavy-metal-binding farnesylated protein AtFP6. New Phytol. 2009, 181, 89–102. [Google Scholar] [CrossRef]
- Sun, C.J.; Yang, M.; Li, Y.; Tian, J.J.; Zhang, Y.Y.; Liang, L.M.; Liu, Z.H.; Chen, K.; Li, Y.T.; Lv, K.; et al. Comprehensive analysis of variation of cadmium accumulation in rice and detection of a new weak allele of OsHMA3. J. Exp. Bot. 2019, 70, 6389–6400. [Google Scholar] [CrossRef]
- Kuramata, M.; Masuya, S.; Takahashi, Y.; Kitagawa, E.; Inoue, C.; Ishikawa, S.; Youssefian, S.; Kusano, T. Novel cysteine-rich peptides from Digitaria ciliaris and Oryza sativa enhance tolerance to cadmium by limiting its cellular accumulation. Plant Cell Physiol. 2009, 50, 106–117. [Google Scholar] [CrossRef]
- Chen, Y.; Li, G.; Yang, J.; Zhao, X.; Sun, Z.; Hou, H. Role of Nramp transporter genes of Spirodela polyrhiza in cadmium accumulation. Ecotoxicol. Environ. Saf. 2021, 227, 112907. [Google Scholar] [CrossRef] [PubMed]
- Chen, Y.; Zhao, X.; Li, G.; Kumar, S.; Sun, Z.; Li, Y.; Guo, W.; Yang, J.; Hou, H. Genome-Wide Identification of the Nramp Gene Family in Spirodela polyrhiza and Expression Analysis under Cadmium Stress. Int. J. Mol. Sci. 2021, 22, 6414. [Google Scholar] [CrossRef]
- Wang, X.; Huang, J.H.; Meng, B.; Mao, K.; Zheng, M.; Tan, A.; Yang, G.; Feng, X. LmGSTF3 Overexpression Enhances Cadmium Tolerance in Lemna minor. Environ. Sci. Technol. 2024, 59, 2711–2721. [Google Scholar] [CrossRef]
- Zhou, P.; Jiang, H.; Li, J.; Jin, Q.; Wang, Y.; Xu, Y. Genome-Wide Identification Reveals That BZR1 Family Transcription Factors Involved in Hormones and Abiotic Stresses Response of Lotus (Nelumbo). Horticulturae 2023, 9, 882. [Google Scholar] [CrossRef]
- Xu, Y.C.; Jiang, J.N.; Zeng, L.H.; Liu, H.; Jin, Q.J.; Zhou, P.; Wang, Y.J. Genome-wide identification and analysis of ERF transcription factors related to abiotic stress responses in Nelumbo nucifera. BMC Plant Biol. 2024, 24, 1057. [Google Scholar] [CrossRef]










Disclaimer/Publisher’s Note: The statements, opinions and data contained in all publications are solely those of the individual author(s) and contributor(s) and not of MDPI and/or the editor(s). MDPI and/or the editor(s) disclaim responsibility for any injury to people or property resulting from any ideas, methods, instructions or products referred to in the content. |
© 2025 by the authors. Licensee MDPI, Basel, Switzerland. This article is an open access article distributed under the terms and conditions of the Creative Commons Attribution (CC BY) license (https://creativecommons.org/licenses/by/4.0/).
Share and Cite
Gao, C.; Zhu, Y.; Xu, H.; Peng, X.; Yu, K.; Gu, X.; Xiao, Y.; Cai, J.; Wang, Y. The Heavy Metal-Associated Isoprenylated Plant Protein (HIPP) Gene Family Plays a Crucial Role in Cadmium Resistance in Lotus (Nelumbo nucifera G.). Horticulturae 2025, 11, 1136. https://doi.org/10.3390/horticulturae11091136
Gao C, Zhu Y, Xu H, Peng X, Yu K, Gu X, Xiao Y, Cai J, Wang Y. The Heavy Metal-Associated Isoprenylated Plant Protein (HIPP) Gene Family Plays a Crucial Role in Cadmium Resistance in Lotus (Nelumbo nucifera G.). Horticulturae. 2025; 11(9):1136. https://doi.org/10.3390/horticulturae11091136
Chicago/Turabian StyleGao, Chunyan, Yuxuan Zhu, Hualei Xu, Xinyue Peng, Kaili Yu, Xi Gu, Yan Xiao, Jian Cai, and Yinjie Wang. 2025. "The Heavy Metal-Associated Isoprenylated Plant Protein (HIPP) Gene Family Plays a Crucial Role in Cadmium Resistance in Lotus (Nelumbo nucifera G.)" Horticulturae 11, no. 9: 1136. https://doi.org/10.3390/horticulturae11091136
APA StyleGao, C., Zhu, Y., Xu, H., Peng, X., Yu, K., Gu, X., Xiao, Y., Cai, J., & Wang, Y. (2025). The Heavy Metal-Associated Isoprenylated Plant Protein (HIPP) Gene Family Plays a Crucial Role in Cadmium Resistance in Lotus (Nelumbo nucifera G.). Horticulturae, 11(9), 1136. https://doi.org/10.3390/horticulturae11091136
