Over-the-Row Mechanical Harvest of Cider Apples (Malus domestica Borkh.)
Abstract
1. Introduction
2. Materials and Methods
2.1. Research Orchard
2.2. Mechanical Harvester
2.3. Experimental Procedures
2.4. Statistical Analysis
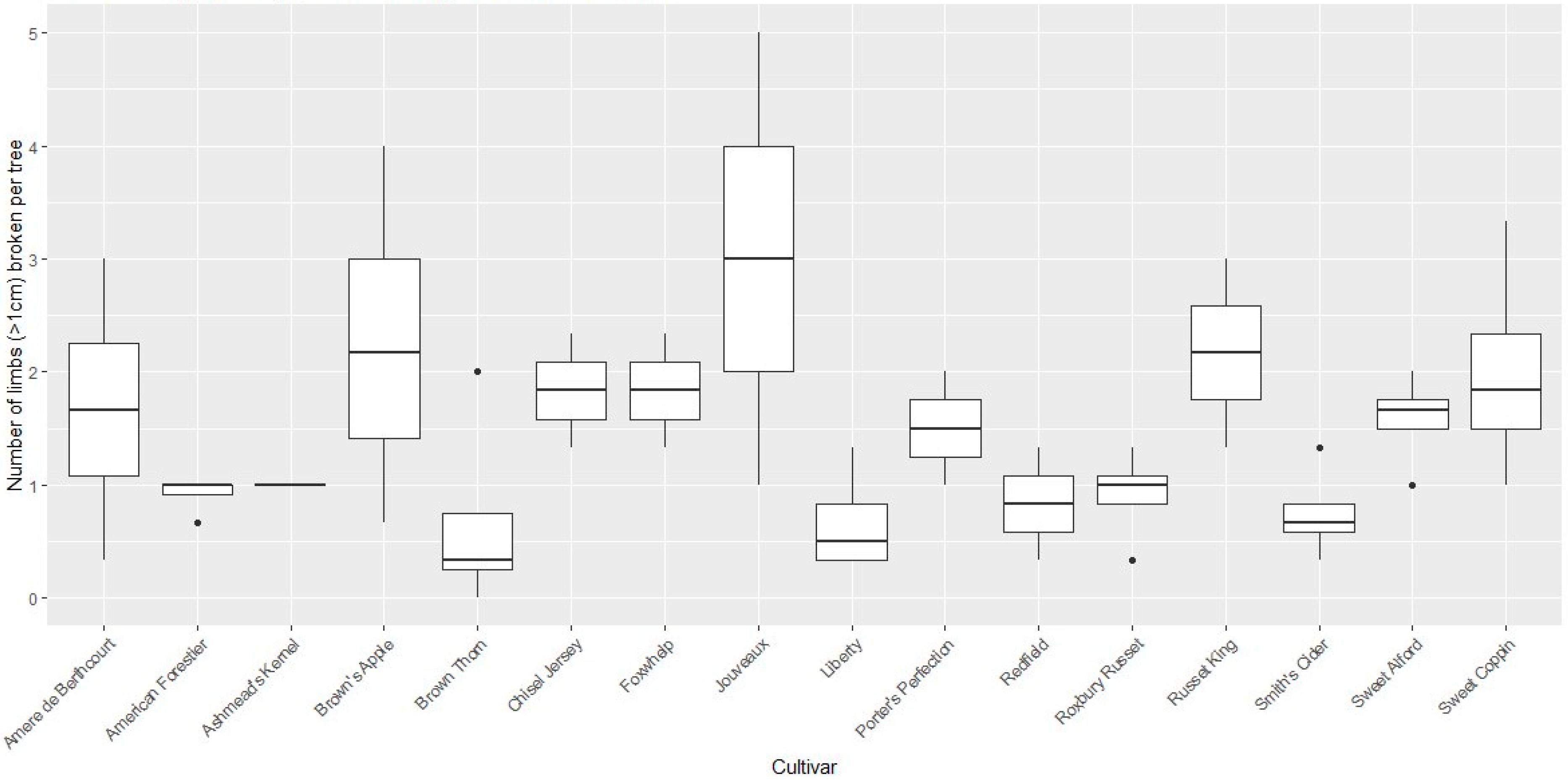
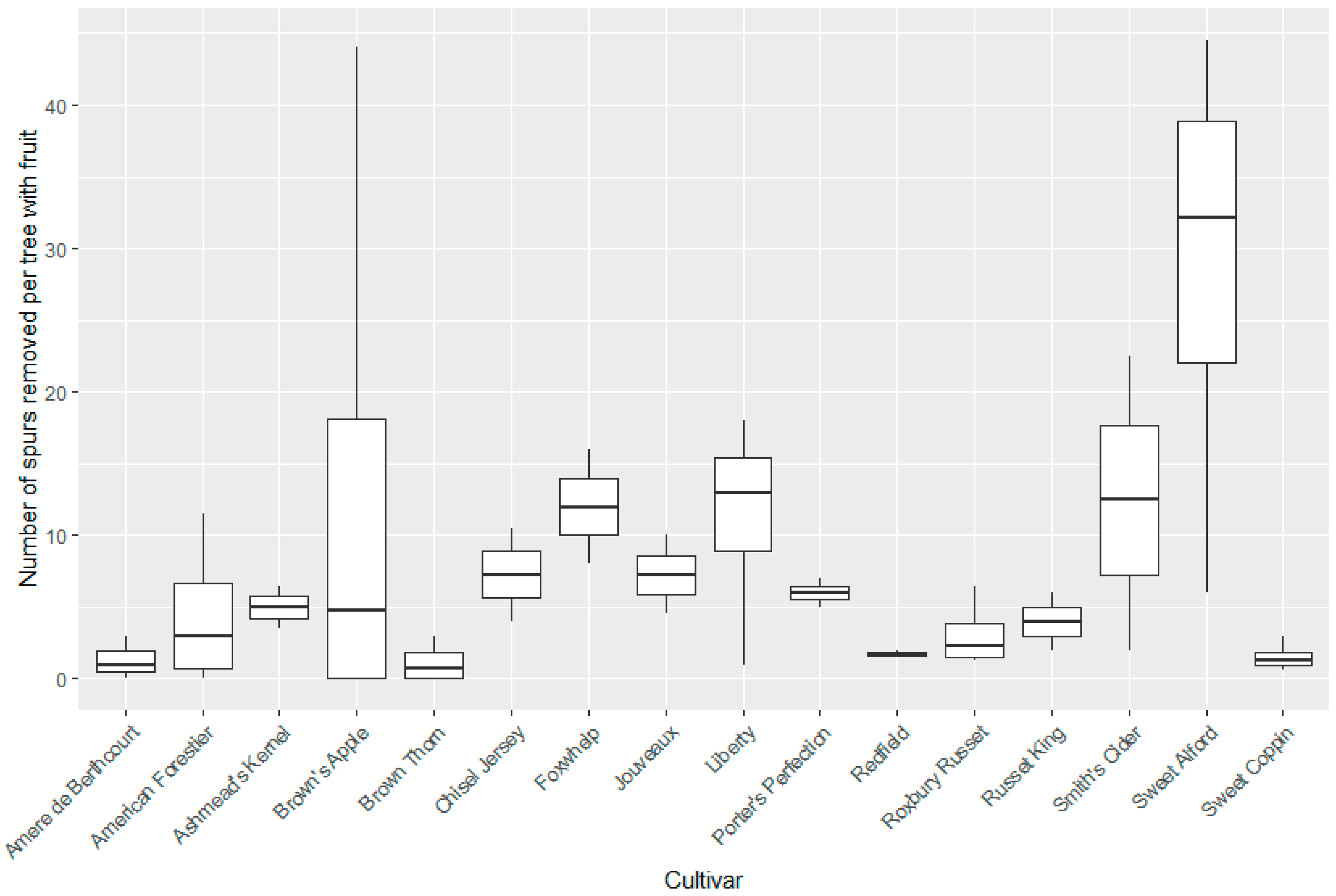
3. Results
4. Discussion
5. Conclusions
Supplementary Materials
Author Contributions
Funding
Data Availability Statement
Conflicts of Interest
References
- Soomro, T.; Watts, S.; Migicovsky, Z.; Myles, S. Cider and dessert apples: What is the difference? Plants People Planet 2022, 4, 593–598. [Google Scholar] [CrossRef]
- Becot, F.; Bradshaw, T.L.; Conner, D. Growing apples for the cider industry in the US northern climate of Vermont: Does the math add up? Acta Hortic. 2018, 1205, 461–468. [Google Scholar] [CrossRef]
- Galinato, S.P.; Gallardo, R.K.; Miles, C.A. Cost estimation of establishing a cider apple orchard in western Washington. Acta Hortic. 2015, 1085, 355–356. [Google Scholar] [CrossRef]
- Northwest Cider Association. NW Cider Industry Report 2019. Available online: https://www.nwcider.com/wp-content/uploads/2019/12/NW-Cider-2019-Report.pdf (accessed on 1 March 2023).
- Peck, G.; Knickerbocker, W. Economic case studies of cider apple orchards in New York state. Fruit Q. 2018, 26, 5–10. [Google Scholar]
- Wolff, B. Cider Apples in Tennessee: Basic Considerations (CCD-CPA-CP-4). 2021. Available online: https://cpa.tennessee.edu/wp-content/uploads/sites/106/2021/10/TNciderapples.pdf (accessed on 4 April 2023).
- Galinato, S.P.; Kendall, A.; Miles, C.A. Costs and profitability for mechanized pruning and harvest in two cider apple orchard systems. HortTechnology 2022, 32, 275–287. [Google Scholar] [CrossRef]
- Miles, C.; Alexander, T.; Galinato, S. Yield and Labor Time for Mechanical and Hand Harvested Cider Apples. Washington State University Extension Publication, 2016. Available online: https://s3.wp.wsu.edu/uploads/sites/2167/2017/04/YieldLaborMechCiderHarvest.pdf (accessed on 30 August 2025).
- Calvin, L.; Martin, P.; Simnitt, S. Adjusting to Higher Labor Costs in Selected U.S. Fresh Fruit and Vegetable Industries, EIB-235, U.S. Department of Agriculture, Economic Research Service, 2022. Available online: https://www.ers.usda.gov/publications/pub-details/?pubid=104217 (accessed on 30 August 2025).
- Alexander, T.R.; King, J.; Scheenstra, E.; Miles, C.A. Yield, fruit damage, yield loss, and juice quality characteristics of machine- and hand-harvested ‘Brown Snout’ specialty cider apples stored at ambient conditions in northwest Washington. HortTechnology 2016, 26, 614–619. [Google Scholar] [CrossRef]
- Karl, A.; Knickerbocker, W.; Peck, G. Mechanically harvesting hard cider apples is more economically favorable than hand harvesting, regardless of farm scale. HortTechnology 2022, 32, 359–368. [Google Scholar] [CrossRef]
- Ewing, B.L.; Rasco, B.A. Food safety modernization act produce safety rule compliance for United States hard cider producers using ground-harvested apples. HortTechnology 2018, 28, 698–705. [Google Scholar] [CrossRef]
- Alexander, T.R.; Valliere, B.E. The Professional Handbook of Cider Tasting; CABI: Wallingford, UK, 2019. [Google Scholar]
- Brawner, S.; Kendall, A.; Kalcsits, L.; Miles, C. Cider apple (Malus domestica Borkh.) cultivars respond differently to summer mechanical hedging. HortTechnology 2025, 35, 824–830. [Google Scholar] [CrossRef]
- Davidson, J.; Silwal, A.; Karkee, M.; Mo, C.; Zhang, Q. Hand-picking dynamic analysis for undersensed robotic apple harvesting. Trans. ASABE 2016, 59, 745–758. [Google Scholar] [CrossRef]
- Miles, C.A.; King, J. Cultivar Performance Database. 2019. Available online: https://cider.wsu.edu/ciderweb/ (accessed on 8 June 2025).
- Blanpied, G.D.; Silsby, K.J. Predicting Harvest Date Windows for Apples. Cornell Cooperative Extension Publication. Information Bulletin 221. 1992. Available online: https://ecommons.cornell.edu/server/api/core/bitstreams/242b2cd3-40b2-4843-a2dc-bde02d4c2f0d/content (accessed on 21 June 2025).
- Kendall, A.; Miles, C.A.; Alexander, T.R.; Scheenstra, E.; LaHue, G.T. Reduced irrigation during orchard establishment conserves water and maintains yield for three cider apple cultivars. HortScience 2022, 57, 118–125. [Google Scholar] [CrossRef]
- Burroughs, L.F.; Whiting, G.C. Annual Report: Long Ashton Research Station; Long Ashton Research Station: Bristol, UK, 1960.
- Lea, A. Craft Cider Making, 3rd ed.; The Crowood Press: Marlborough, UK, 2008. [Google Scholar]
- Löwenthal, J. Ueber die Bestimmung des Gerbstoffs. Fresenius J. Anal. Chem. 1877, 16, 33–48. [Google Scholar] [CrossRef]
- Wang, P.; Hur, M.; DeVetter, L.W.; Takeda, F.; Chen, J. Formation/removal of biofilms on/from coupons of selected food-grade elastomeric polymers vs. plexiglass used for the fruit-catching plates of OTR blueberry machine harvesters. Hygiene 2024, 4, 146–156. [Google Scholar] [CrossRef]
- Renard, C.M.; Dupont, N.; Guillermin, P. Concentrations and characteristics of procyanidins and other phenolics in apples during fruit growth. Phytochemistry 2007, 68, 1128–1138. [Google Scholar] [CrossRef] [PubMed]
- Wojdyło, A.; Oszmiański, J. Antioxidant activity modulated by polyphenol contents in apple and leaves during fruit development and ripening. Antioxidants 2020, 9, 567. [Google Scholar] [CrossRef] [PubMed]
- Ghafir, S.A.; Gadalla, S.O.; Murajei, B.N.; El-Nady, M.F. Physiological and anatomical comparison between four different apple cultivars under cold-storage conditions. Acta Biol. Szeged. 2009, 53, 21–26. [Google Scholar]
- Guerra, M.; Sanz, M.A.; Casquero, P.A. Influence of storage conditions on the sensory quality of a high acid apple. Int. J. Food Sci. Technol. 2010, 45, 2352–2357. [Google Scholar] [CrossRef]
- Iwanami, H.; Moriya, S.; Kotoda, N.; Takahashi, S.; Abe, K. Storability in cold temperatures can be evaluated based on changes in fruit quality in apple genotypes under shelf life conditions. HortScience 2008, 43, 655–660. [Google Scholar] [CrossRef]





| Cultivars Harvested | Historical Harvest Date 1 |
|---|---|
| 2021 and 2023 | |
| Ashmead’s Kernel | 30 September |
| Chisel Jersey | 29 September |
| Foxwhelp | 4 October |
| Jouveaux | 25 September |
| Liberty 2 | - 3 |
| Porter’s Perfection | 26 September |
| Redfield | - |
| Roxbury Russet 2 | 21 September |
| Russet King | 26 September |
| Smith’s Cider 2 | 1 October |
| 2022 and 2023 | |
| Amere de Berthcourt | 25 September |
| American Forestier | 18 October |
| Brown Thorn | 8 October |
| Brown’s Apple | - |
| Liberty 2 | - |
| Roxbury Russet 2 | 21 September |
| Smith’s Cider 2 | 1 October |
| Sweet Alford | 7 October |
| Sweet Coppin | 10 October |
| Year | Time (s) per Row Meter Traveled | Time (s) to Mechanically Harvest One Tree 1 | Time (min) to Hand Harvest One Tree 2 |
|---|---|---|---|
| 2022 | 3.1 | 5.7 | 4.46 |
| 2023 | 2.7 | 4.9 | 3.4 |
| TSS (°Brix) 1 | SG 4 | pH 5 | TA 6 | Tannin (%) 7 | |||||||
|---|---|---|---|---|---|---|---|---|---|---|---|
| Year | Cultivar | First Press 2 | Final Press 3 | First Press | Final Press | First Press | Final Press | First Press | Final Press | First Press | Final Press |
| 2022 | Amere de Berthcourt | 10.7 | 13.1 | 1.042 | 1.052 | 4.02 | 4.06 | 4.15 | 4.19 | 0.27 | 0.2 |
| American Forestier | 9.5 | 11.7 | 1.038 | 1.047 | 4.22 | 4.16 | 4.1 | 4.06 | 0.23 | 0.1 | |
| Brown Thorn | 10.5 | 11.4 | 1.043 | 1.044 | 4.3 | 4.45 | 4.59 | 4.39 | 0.22 | 0.06 | |
| Brown’s Apple | 10.8 | 12.7 | 1.045 | 1.05 | 3.75 | 3.37 | 3.98 | 3.95 | 0.21 | 0.07 | |
| Liberty | 11.1 | 12.7 | 1.046 | 1.05 | 3.26 | 3.55 | 4.37 | 4.36 | 0.19 | 0.02 | |
| Roxbury Russet | 15.9 | 19 | 1.069 | 1.072 | 3.61 | 3.65 | 4.4 | 4.47 | 0.2 | 0.04 | |
| Smith’s Cider | 10.4 | 11.2 | 1.041 | 1.047 | 3.49 | 3.51 | 4.43 | 4.35 | 0.21 | 0.04 | |
| Sweet Alford | 10.1 | 12.2 | 1.045 | 1.049 | 4.44 | 4.5 | 4.17 | 3.99 | 0.17 | 0.02 | |
| Sweet Coppin | 11.1 | 12.6 | 1.044 | 1.055 | 4.16 | 4.29 | 4.07 | 4.1 | 0.19 | 0.04 | |
| p value 8 | 0.02 | 0.05 | 0.60 | 0.13 | <0.001 | ||||||
| 2023 | Amere de Berthcourt | 14.7 | 16.5 | NA 8 | 1.064 | 3.58 | 3.87 | 4.07 | 3.97 | NA 9 | NA |
| American Forestier | 13.9 | 17.4 | 1.068 | 1.074 | 3.85 | 4.05 | 3.91 | 3.9 | NA | NA | |
| Ashmead’s Kernel | 12.3 | 14.7 | 1.051 | 1.059 | 3.31 | 3.34 | 4.13 | 4.33 | 0.08 | 0.1 | |
| Chisel Jersey | 9.2 | 11.7 | 1.038 | 1.045 | 4.29 | 4.32 | 3.82 | 4.04 | 0.21 | 0.28 | |
| Foxwhelp | 13.5 | 15.1 | 1.055 | 1.059 | 3.23 | 3.25 | 4.15 | 4.32 | 0.17 | 0.21 | |
| Jouveaux | 11.8 | 13.6 | 1.047 | 1.052 | 3.95 | 4.06 | 3.88 | 4.13 | 0.16 | 0.18 | |
| Liberty | 11.3 | 12.5 | 1.044 | 1.05 | 3.04 | 3.48 | 4.06 | 4.3 | 0.06 | 0.06 | |
| Porter’s Perfection | 8.7 | 10.3 | 1.035 | 1.041 | 3.32 | 3.46 | 4.16 | 4.3 | 0.22 | 0.25 | |
| Redfield | 11.2 | 12.4 | 1.043 | 1.05 | 3.19 | 3.41 | 4.05 | 4.38 | 0.26 | 0.26 | |
| Roxbury Russet | 14.1 | 15.8 | 1.058 | 1.063 | 3.57 | 3.63 | 4.01 | 4.32 | 0.06 | 0.07 | |
| Russet King | 13.6 | 15.1 | 1.054 | 1.058 | 3.41 | 3.48 | 4.04 | 4.38 | 0.08 | 0.09 | |
| Smith’s Cider | 10.8 | 12.7 | 1.045 | 1.049 | 3.43 | 3.39 | 4.07 | 4.19 | 0.07 | 0.07 | |
| Sweet Alford | 12.2 | 13.5 | 1.049 | 1.056 | 4.64 | 4.48 | 3.75 | 4.03 | 0.07 | 0.08 | |
| Sweet Coppin | 14.6 | 17.9 | 1.063 | 1.073 | 3.77 | 4.17 | 3.98 | 3.92 | NA | NA | |
| p value | 0.008 | 0.03 | 0.25 | <0.001 | 0.42 | ||||||
Disclaimer/Publisher’s Note: The statements, opinions and data contained in all publications are solely those of the individual author(s) and contributor(s) and not of MDPI and/or the editor(s). MDPI and/or the editor(s) disclaim responsibility for any injury to people or property resulting from any ideas, methods, instructions or products referred to in the content. |
© 2025 by the authors. Licensee MDPI, Basel, Switzerland. This article is an open access article distributed under the terms and conditions of the Creative Commons Attribution (CC BY) license (https://creativecommons.org/licenses/by/4.0/).
Share and Cite
Brawner, S.; Kendall, A.; Kalcsits, L.; Miles, C. Over-the-Row Mechanical Harvest of Cider Apples (Malus domestica Borkh.). Horticulturae 2025, 11, 1123. https://doi.org/10.3390/horticulturae11091123
Brawner S, Kendall A, Kalcsits L, Miles C. Over-the-Row Mechanical Harvest of Cider Apples (Malus domestica Borkh.). Horticulturae. 2025; 11(9):1123. https://doi.org/10.3390/horticulturae11091123
Chicago/Turabian StyleBrawner, Seth, Aidan Kendall, Lee Kalcsits, and Carol Miles. 2025. "Over-the-Row Mechanical Harvest of Cider Apples (Malus domestica Borkh.)" Horticulturae 11, no. 9: 1123. https://doi.org/10.3390/horticulturae11091123
APA StyleBrawner, S., Kendall, A., Kalcsits, L., & Miles, C. (2025). Over-the-Row Mechanical Harvest of Cider Apples (Malus domestica Borkh.). Horticulturae, 11(9), 1123. https://doi.org/10.3390/horticulturae11091123

