Next Issue
Volume 14, March
Previous Issue
Volume 14, January
 
 

Int. J. Financial Stud., Volume 14, Issue 2 (February 2026) – 26 articles

Cover Story (view full-size image): Cyprus’ post-crisis trajectory demonstrates how efficient monetary circulation can accelerate economic stabilization and recovery. By examining the interaction between bank deposits and national output, the study introduces the Cycle of Money Index as a dynamic measure of resilience and financial efficiency. Cyprus exhibited a consistent strengthening of monetary transmission and liquidity recovery, surpassing the global benchmark. The findings highlight the importance of structured financial intermediation and coherent economic governance in restoring confidence and supporting sustainable growth. View this paper
  • Issues are regarded as officially published after their release is announced to the table of contents alert mailing list.
  • You may sign up for e-mail alerts to receive table of contents of newly released issues.
  • PDF is the official format for papers published in both, html and pdf forms. To view the papers in pdf format, click on the "PDF Full-text" link, and use the free Adobe Reader to open them.
Order results
Result details
Select all
Export citation of selected articles as:
20 pages, 345 KB  
Article
Institutional Investors, Dividend Policy, and Idiosyncratic Volatility: Evidence from European Equity Markets
by Adrian-Gabriel Enescu and Monica Răileanu Szeles
Int. J. Financial Stud. 2026, 14(2), 50; https://doi.org/10.3390/ijfs14020050 - 21 Feb 2026
Viewed by 1073
Abstract
This paper investigates the relationship between institutional ownership and firm-level idiosyncratic volatility across European equity markets, with a particular focus on the moderating role of dividend policy. Using a sample of STOXX Europe 600 constituents from 2005 to 2025, we estimate idiosyncratic volatility [...] Read more.
This paper investigates the relationship between institutional ownership and firm-level idiosyncratic volatility across European equity markets, with a particular focus on the moderating role of dividend policy. Using a sample of STOXX Europe 600 constituents from 2005 to 2025, we estimate idiosyncratic volatility via the Fama-French three-factor model and employ fixed-effects regressions with clustered standard errors. Our empirical results reveal a positive and statistically significant association between institutional ownership and idiosyncratic volatility, suggesting a destabilizing rather than stabilizing role in European markets. This volatility-enhancing effect is significantly more pronounced among dividend-paying firms and is primarily driven by transient institutional investors with high portfolio turnover. Furthermore, we find that: (1) larger firm size (market capitalization) and higher leverage (debt-to-capital ratio) are positively associated with heightened volatility; (2) growth-oriented firms (high market-to-book ratios) exhibit increased volatility, particularly among non-dividend payers; and (3) higher profitability (ROE) and favorable analyst coverage (buy recommendations) act as stabilizers, reducing idiosyncratic risk. These findings persist in both contemporaneous and lagged specifications. This study contributes to the literature by identifying dividend policy as a key channel through which institutional trading behavior amplifies firm-specific risk, providing novel evidence on the asset class effect within major European benchmark indices. Full article
12 pages, 282 KB  
Article
The Impact of EPU on the Relation Between International Oil Price Shocks and the Chinese Stock Market: Industry and Transnational Perspectives
by Xin Huang and Yang Gao
Int. J. Financial Stud. 2026, 14(2), 49; https://doi.org/10.3390/ijfs14020049 - 20 Feb 2026
Viewed by 945
Abstract
In this study, we employ the panel smooth transition (PSTR) model to establish a nonlinear framework for examining the relationship between international oil prices and stock returns in China. We specifically investigate how economic policy uncertainty (EPU) acts as a threshold-driven moderator in [...] Read more.
In this study, we employ the panel smooth transition (PSTR) model to establish a nonlinear framework for examining the relationship between international oil prices and stock returns in China. We specifically investigate how economic policy uncertainty (EPU) acts as a threshold-driven moderator in this relationship. We analyze data from August 2007 to November 2023 and select the EPU index from seven representative countries to examine its cross-border effects on China’s oil–stock relationship. Furthermore, we incorporate an analysis of industry heterogeneity to gain a deeper understanding of how international crude oil prices impact stocks in both upstream and downstream industries. Our findings reveal the following: (1) Under the influence of EPU, there is a significant nonlinear regime-switching effect between international oil prices and Chinese stock returns. (2) Sensitivity to U.S. EPU is the highest, but its effect on risk magnification is the weakest. In contrast, European EPU shows lower sensitivity but a more pronounced risk magnification effect. (3) Chinese EPU significantly amplifies the risk for midstream manufacturing stocks more than for downstream consumer service stocks. This variation reflects the differing abilities of industries to transfer costs along the supply chain; however, there are no substantial differences in sensitivity. Full article
17 pages, 288 KB  
Article
Campus Affinity Card Agreements Under the CARD Act: Portfolio Scale, Governance, and the Limits of Transparency
by Peter G. Kreysa
Int. J. Financial Stud. 2026, 14(2), 48; https://doi.org/10.3390/ijfs14020048 - 15 Feb 2026
Viewed by 541
Abstract
This study examines campus affinity card agreements under the Credit Card Accountability, Responsibility, and Disclosure (CARD) Act, focusing on how portfolio size, new account openings, and institutional governance affect issuer payments. Using cross sectional data from 6145 issuer institution agreements reported to the [...] Read more.
This study examines campus affinity card agreements under the Credit Card Accountability, Responsibility, and Disclosure (CARD) Act, focusing on how portfolio size, new account openings, and institutional governance affect issuer payments. Using cross sectional data from 6145 issuer institution agreements reported to the Consumer Financial Protection Bureau (CFPB) in 2022, the analysis employs descriptive statistics, correlation tests, and multivariate regression models to identify predictors of payment volume. Results show that total open accounts strongly predict issuer payments, while new account openings exhibit a weak positive bivariate correlation but exert a modest negative effect in multivariate models once portfolio scale and institution type are controlled for. Foundations received the highest average issuer payments, followed by hybrid organizations and universities. This pattern reflects differences in governance structure, administrative capacity, and bargaining leverage. Transparency requirements under the CARD Act reveal broad patterns but omit incentive timing and interchange revenue, limiting full accountability. This is among the first large-scale empirical analyses of CFPB’s affinity card dataset, advancing understanding of equity in campus credit markets and offering policy relevant insights for regulators and administrators. Full article
21 pages, 533 KB  
Article
Enhancing Intraday Momentum Prediction: The Role of Volume-Based Information Uncertainty in the Chinese Stock Market
by Decheng Yang and Qiang He
Int. J. Financial Stud. 2026, 14(2), 47; https://doi.org/10.3390/ijfs14020047 - 14 Feb 2026
Viewed by 2702
Abstract
This study introduces a novel intraday volume-based uncertainty (IVU) proxy—the ratio of opening-half-hour volume to total volume of the preceding seven intervals—to predict final half-hour return direction in the Chinese stock market. Using threshold regression, we identify a statistically significant IVU critical value [...] Read more.
This study introduces a novel intraday volume-based uncertainty (IVU) proxy—the ratio of opening-half-hour volume to total volume of the preceding seven intervals—to predict final half-hour return direction in the Chinese stock market. Using threshold regression, we identify a statistically significant IVU critical value of 0.476225 (p < 0.001), which splits the sample into distinct uncertainty regimes. Logistic regression incorporating this threshold reveals that the joint condition of high opening volume and low IVU (high uncertainty) significantly amplifies the predictive power of initial returns, achieving 63.04% accuracy in the high-uncertainty, high-volume regime. XGBoost further captures complex non-linear interactions, with IVU-related features ranking among the most important predictors and achieving 71.43% out-of-sample accuracy under high-volume, high-uncertainty conditions. A machine learning trading strategy leveraging these predictions yields a total return of 117.99% with a Sharpe ratio of 3.02 over seven years, significantly outperforming benchmarks. Our findings highlight information uncertainty as a critical moderator of intraday momentum and a valuable source of actionable alpha. Full article
Show Figures

Figure 1

19 pages, 1184 KB  
Article
Exploring Market Efficiency with GRU-D Neural Networks: Evidence from Global Stock Markets
by Abdelhamid Ben Jbara, Marjène Rabah Gana and Mejda Dakhlaoui
Int. J. Financial Stud. 2026, 14(2), 46; https://doi.org/10.3390/ijfs14020046 - 14 Feb 2026
Viewed by 1010
Abstract
This study revisits the Efficient Markets Hypothesis by employing a GRU-D neural network to predict stock return distributions across global equity markets, accounting for missing and irregular data. It examines whether stock returns exhibit statistically significant departures from purely random behavior. By combining [...] Read more.
This study revisits the Efficient Markets Hypothesis by employing a GRU-D neural network to predict stock return distributions across global equity markets, accounting for missing and irregular data. It examines whether stock returns exhibit statistically significant departures from purely random behavior. By combining price, technical and fundamental inputs, it tests both weak and semi-strong market efficiency. We implement the GRU-D model on a global dataset of stock returns, where daily returns are classified into quartiles. Model performance is assessed using Micro-Average Area Under the Curve (AUC) and Relative Classifier Information (RCI). Robustness checks include sub-sample tests across countries and sectors, an examination of the COVID-19 sub-period, and a price-memory persistence analysis. The results reveal that the GRU-D model achieves a ranking accuracy of approximately 75% when classifying returns, with statistical significance at the 99.99% confidence level, and exhibits modest but robust deviations from strict market efficiency. These deviations persist for up to 200 trading days. Notably, the findings indicate that the GRU-D model is more robust during the COVID-19 period. These findings are consistent with the Adaptive Markets Hypothesis and underscore the relevance of machine-learning frameworks, particularly those designed for imperfect data environments, for identifying time-varying departures from strict market efficiency in global equity markets. Full article
Show Figures

Figure 1

22 pages, 286 KB  
Article
Industry Expertise of Independent Directors and Firm Misconduct: Evidence from China
by Huiling Tang, Shili Tang and Jiyuan Li
Int. J. Financial Stud. 2026, 14(2), 45; https://doi.org/10.3390/ijfs14020045 - 14 Feb 2026
Viewed by 652
Abstract
Independent directors play a critical role in overseeing company management, safeguarding the interests of both the company and its shareholders, and ensuring that decisions made by the board are scientific, rational, and fair. Directors with industry expertise bring greater experience and knowledge to [...] Read more.
Independent directors play a critical role in overseeing company management, safeguarding the interests of both the company and its shareholders, and ensuring that decisions made by the board are scientific, rational, and fair. Directors with industry expertise bring greater experience and knowledge to their roles, enabling them to prevent short-sighted decision-making while preserving their professional reputations. This research empirically examines whether the industry expertise trait of independent directors can inhibit the irregularities of the companies they serve, using a fixed-effects model that controls for industry, company, and year, with Chinese A-share-listed companies from 2003 to 2023 as the observational sample. Endogeneity issues are addressed by using the Heckman two-stage model and the propensity score matching (PSM) model. The findings reveal that (1) independent directors with industry expertise significantly mitigate corporate violations; and (2) their influence primarily stems from improvements in the quality of information disclosure, enhancements to internal control systems, and the resolution of principal–agent conflicts. Further analysis indicates that the restraining effect of independent directors with industry expertise is particularly pronounced in environments characterized by low institutional ownership and fewer analysts, highlighting their stronger supervisory role in such contexts. Full article
(This article belongs to the Special Issue Advances in Corporate Finance: Theory and Practice)
10 pages, 240 KB  
Article
The Impact of Gender on Tax Compliance in Southern Albania
by Blerina Dervishaj and Melaize Gropa
Int. J. Financial Stud. 2026, 14(2), 44; https://doi.org/10.3390/ijfs14020044 - 10 Feb 2026
Viewed by 580
Abstract
We examine whether gender influences formal tax compliance among self-employed taxpayers in Southern Albania—focusing on two observable behaviors: paying taxes on time and the amount of unpaid tax debt (arrears). The study does not examine tax evasion or tax avoidance, as these behaviors [...] Read more.
We examine whether gender influences formal tax compliance among self-employed taxpayers in Southern Albania—focusing on two observable behaviors: paying taxes on time and the amount of unpaid tax debt (arrears). The study does not examine tax evasion or tax avoidance, as these behaviors cannot be directly observed in the available data. Using administrative data on 500 taxpayers in Fier, Vlorë, Berat, Gjirokastër, and Sarandë (January 2022–March 2025), we estimate the likelihood of timely payment with logistic and probit models and study unpaid liabilities using linear regression. Female-led businesses are more likely to meet deadlines and hold lower unpaid debts than male-led firms. These differences persist across sectors after controlling for firm size, region, income, and time. A negative and significant Gender × Sector term indicates that sectoral composition does not offset women’s compliance advantage in these formal outcomes. The effect size is relatively large for an environment with imperfect monitoring, suggesting that moral norms, reputational concerns, and perceived control weigh more heavily where deterrence is limited. From a policy perspective, adding gender to compliance-risk models and tailoring taxpayer services may indirectly improve voluntary payments and reduce arrears by refining compliance-risk assessment and targeting. To our knowledge, this is the first study in Albania using official administrative microdata to analyze gendered formal tax behavior, addressing a clear empirical gap in Southeastern Europe and providing evidence relevant for discussions of fair and inclusive fiscal policy in an EU-harmonization context. While the findings are derived from Southern Albania, they offer indicative insights for comparable transition economies in Southeastern Europe, rather than direct generalization. Full article
(This article belongs to the Special Issue Behavioral Insights into Financial Decision Making)
21 pages, 781 KB  
Article
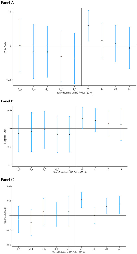
Bankruptcy Law Reform and Its Impact on Firms’ Borrowing: A South Asian Experience
by Swati Kumaria Puri, Jiali Fang, Udomsak Wongchoti and Wei Hao
Int. J. Financial Stud. 2026, 14(2), 43; https://doi.org/10.3390/ijfs14020043 - 9 Feb 2026
Viewed by 823
Abstract
With the enactment of the Insolvency and Bankruptcy Code (IBC) in 2016, India reformed and unified its fragmented insolvency frameworks into a single comprehensive law designed to prioritize asset maximization and ensure time-bound resolutions. Through a quasi-experimental setting, we examine the impact of [...] Read more.
With the enactment of the Insolvency and Bankruptcy Code (IBC) in 2016, India reformed and unified its fragmented insolvency frameworks into a single comprehensive law designed to prioritize asset maximization and ensure time-bound resolutions. Through a quasi-experimental setting, we examine the impact of the IBC reform on the corporate borrowings of publicly listed Indian firms against comparable companies in the neighboring South Asia countries (Pakistan, Sri Lanka and Bangladesh). With a panel dataset of Indian and non-Indian firms from 2011–2020, we observe an increase in firms’ overall borrowing in India, along with lowered borrowing costs. The results from our difference-in-differences cross-country setting were also shown to be robust through a placebo test. We report that it was not only financially distressed firms that particularly benefited from the reform. In fact, Indian companies with relatively low leverage and high growth harnessed access to more credit at lower costs even more than their counterparts. Our results highlight the boost of the overall credit supply at the country level as a result of improved bankruptcy laws. Full article
Show Figures

Figure A1

19 pages, 466 KB  
Article
The Relevance of Expected Shortfall Models in Different Time Window Sizes
by Marcelo Fukui and Leonardo Fernando Cruz Basso
Int. J. Financial Stud. 2026, 14(2), 42; https://doi.org/10.3390/ijfs14020042 - 6 Feb 2026
Viewed by 1032
Abstract
Risk management has become increasingly important in the financial world. Considering its importance, it is necessary to measure these risks. The financial market uses two risk measures: Value at Risk (VaR) and Expected Shortfall (ES). After the subprime crisis, the market began to [...] Read more.
Risk management has become increasingly important in the financial world. Considering its importance, it is necessary to measure these risks. The financial market uses two risk measures: Value at Risk (VaR) and Expected Shortfall (ES). After the subprime crisis, the market began to emphasize ES instead of VaR. The hypothesis of this paper to be tested is that longer periods provide better information than shorter, more recent periods for measuring ES volatility to hedge trades. The ES can be adopted using parametric, semi-parametric, and non-parametric methods, and the analyses of the log return indicators started on 3 January 2000 and ended on 5 May 2023. The analyses carried out to evaluate these log return indicators covered the period from 6 May 2023 to 1 August 2025, where it was found that the exchange rate volatility of the Brazilian Real exceeded the VaR limits and even reached the Expected Shortfall risk zone. Then, a different analysis was performed, starting on 11 March 2020 and ending on 5 May 2023. This second analysis, as the first analysis, was carried out to evaluate these log return indicators that covered the period from 6 May 2023 to 1 August 2025. In this latest period analysis, the exchange rate volatility of the Brazilian Real reached the Exchange Shortfall risk zone in a different way compared to the first way. All three types of methods—parametric, non-parametric, and semi-parametric—show distinct behaviors depending on the period evaluated. The hypothesis was rejected, but the hedging strategies should account for asset volatility. The software used to calculate the estimators was Microsoft Excel 365 and Stata 14.2. Full article
16 pages, 316 KB  
Article
CSR Disclosure and the Zero-Leverage Phenomenon: Evidence from Pakistan Listed Firms
by Affaf Asghar Butt, Aamer Shahzad, Sadia Anis, Luís Miguel Marques and Flávio Morais
Int. J. Financial Stud. 2026, 14(2), 41; https://doi.org/10.3390/ijfs14020041 - 5 Feb 2026
Viewed by 587
Abstract
The effect of corporate social responsibility (CSR) disclosure on zero-leverage policies is examined for listed firms at the Pakistan Stock Exchange (PSX) from 2010 to 2021. Binary logistic regression models show a statistically significant positive relationship between CSR disclosure and zero leverage. Increased [...] Read more.
The effect of corporate social responsibility (CSR) disclosure on zero-leverage policies is examined for listed firms at the Pakistan Stock Exchange (PSX) from 2010 to 2021. Binary logistic regression models show a statistically significant positive relationship between CSR disclosure and zero leverage. Increased CSR disclosure raises the propensity of firms to have zero leverage. Moreover, the negative effect of CSR disclosure on debt ratios further confirms these findings. Results show that highly disclosed CSR firms face less information asymmetry and prefer equity financing over bank debt. Regulators should develop incentive programs to increase their CSR disclosure and strengthen stakeholders’ relationships. Full article
17 pages, 379 KB  
Article
Macro-Financial Blind Spots in Emerging Markets: Non-Bank Intermediation, Funding Liquidity, and the Persistence of Global Shock Transmission
by Gustavo Henrique Rodrigues Pessoa and Ricardo Ratner Rochman
Int. J. Financial Stud. 2026, 14(2), 40; https://doi.org/10.3390/ijfs14020040 - 5 Feb 2026
Viewed by 992
Abstract
Despite significant advances in bank regulation and the widespread adoption of macroprudential frameworks, emerging market economies remain persistently vulnerable to global financial shocks. Episodes such as the Global Financial Crisis, the COVID-19 market turmoil, and recent monetary tightening cycles reveal that financial stress [...] Read more.
Despite significant advances in bank regulation and the widespread adoption of macroprudential frameworks, emerging market economies remain persistently vulnerable to global financial shocks. Episodes such as the Global Financial Crisis, the COVID-19 market turmoil, and recent monetary tightening cycles reveal that financial stress originating in core markets continues to transmit rapidly and forcefully to emerging economies. This paper argues that such vulnerability reflects structural features of contemporary financial systems rather than deficiencies in domestic banking regulation alone. Adopting a conceptual and analytical approach, the article develops an integrated framework of macro-financial blind spots that links global financial cycles, non-bank financial intermediation, and regulatory fragmentation. The analysis highlights how funding liquidity, collateral valuation, margin dynamics, and market-based leverage amplify global shocks through channels that lie largely outside traditional, bank-centric macroprudential frameworks. As market-based finance expands, systemic risk increasingly originates in activities rather than institutions, limiting the effectiveness of entity-based regulation and reinforcing emerging markets’ role as price-takers in global portfolios. The paper contributes to the literature by synthesizing insights from macroprudential policy, market liquidity, and non-bank finance to explain the persistence of emerging market vulnerability in an era of globalized funding. It further derives policy implications for macro-financial governance, emphasizing the need for system-wide, activity-based approaches, improved data and transparency, and stronger domestic and international regulatory coordination. These findings are relevant for policymakers seeking to reconcile financial integration with systemic resilience in emerging markets. Full article
Show Figures

Figure 1

28 pages, 764 KB  
Article
How Does Artificial Intelligence Reshape Bank Profitability in China?—Evidence from a Multi-Period Difference-in-Differences Model
by Xiaoli Li, Dongsheng Zhang, Na Zeng and Defeng Meng
Int. J. Financial Stud. 2026, 14(2), 39; https://doi.org/10.3390/ijfs14020039 - 4 Feb 2026
Viewed by 1668
Abstract
Artificial intelligence (AI) has become an integral driver of digital transformation in the banking sector, fundamentally influencing operational efficiency, resource allocation, and profitability. This study investigates how AI adoption affects the profitability of Chinese commercial banks and through which mechanisms these effects occur, [...] Read more.
Artificial intelligence (AI) has become an integral driver of digital transformation in the banking sector, fundamentally influencing operational efficiency, resource allocation, and profitability. This study investigates how AI adoption affects the profitability of Chinese commercial banks and through which mechanisms these effects occur, within the context of the country’s broader financial digitalization process. Using panel data for 17 A-share listed banks in China from 2009 to 2022, we employ a multi-period difference-in-differences (DID) framework—whose validity rests on the parallel trend assumption, empirically verified through an event-study specification—and combine it with propensity score matching (PSM) and placebo simulations to ensure credible causal identification. The results indicate that AI adoption significantly improves bank profitability. Mechanism analyses suggest that AI enhances profitability through two overarching channels—operational efficiency and resource allocation—manifested in (i) higher cost elasticity of income, (ii) improved deposit–loan turnover adaptability via more efficient liquidity and funding-cycle management, and (iii) optimized cross-business capital allocation efficiency through better risk–return matching in diversified operations. The effects are stronger for banks with higher digital investment intensity and tighter customer stickiness–liability cost coupling, and vary systematically across ownership types, bank sizes, and policy cycles. Overall, the findings provide policy-relevant evidence on how AI-driven digital transformation can enhance bank performance and risk management in modern financial systems. This study contributes by constructing a disclosure-based AI adoption measure from bank annual reports and exploiting staggered adoption with a multi-period DID design to provide causal evidence from China’s listed banking sector. Full article
(This article belongs to the Special Issue Artificial Intelligence in Banking and Insurance)
Show Figures

Figure 1

44 pages, 2282 KB  
Article
Particle Swarm Optimization with Stretching and Clustering for Asset Allocation
by Julien Chevallier
Int. J. Financial Stud. 2026, 14(2), 38; https://doi.org/10.3390/ijfs14020038 - 4 Feb 2026
Viewed by 743
Abstract
This paper develops a novel hybrid framework that integrates clustering-enhanced Particle Swarm Optimization (PSO) with stretching techniques to solve Markowitz’s quadratic portfolio optimization problem. The proposed approach avoids local optima traps that plague traditional optimization methods, while the stretching function modifications enhance the [...] Read more.
This paper develops a novel hybrid framework that integrates clustering-enhanced Particle Swarm Optimization (PSO) with stretching techniques to solve Markowitz’s quadratic portfolio optimization problem. The proposed approach avoids local optima traps that plague traditional optimization methods, while the stretching function modifications enhance the algorithm’s global search capabilities. The framework comprises four distinct algorithmic variants: a baseline SWARM PSO with stretching algorithm, and three clustering-enhanced extensions incorporating Hierarchical, K-means, and DBSCAN techniques. These clustering enhancements strategically group assets based on risk–return characteristics to improve portfolio diversification and risk management. Implementation in R enables comprehensive analysis of portfolio weight allocation patterns and diversification metrics across varying market structures. Empirical validation using daily price data from six major international stock market indices spanning January 2020 to December 2025 demonstrates the framework’s generalization capability in constructing buy-and-hold investment portfolios. The results reveal significant market-specific algorithmic effectiveness, with K-means variants achieving competitive efficacy in Eurostoxx and Belgian markets, DBSCAN demonstrating strong effectiveness in Chinese equity markets, Hierarchical clustering showing robust results in Indian market conditions, and the baseline SWARM algorithm exhibiting relative efficiency in French and Danish indices. Performance evaluation encompasses comprehensive risk-adjusted metrics, including Portfolio Return, Volatility, Sharpe Ratio, Calmar Ratio, and Value at Risk, providing portfolio managers with an adaptive, market-responsive optimization toolkit. Full article
Show Figures

Figure 1

20 pages, 372 KB  
Article
Efficiency, Concentration, and Diversification: Portfolio Lessons from Indian Technology Equities
by Davinder K. Malhotra, Shaurya Batra and Rahul Singh
Int. J. Financial Stud. 2026, 14(2), 37; https://doi.org/10.3390/ijfs14020037 - 4 Feb 2026
Viewed by 1193
Abstract
This study examines the extent to which Indian technology equities generate sufficient returns relative to their inherent volatility and assesses whether intra-sector diversification can improve outcomes in this dynamic, high-risk sector. Drawing on data from January 2020 to April 2025, ten leading firms [...] Read more.
This study examines the extent to which Indian technology equities generate sufficient returns relative to their inherent volatility and assesses whether intra-sector diversification can improve outcomes in this dynamic, high-risk sector. Drawing on data from January 2020 to April 2025, ten leading firms are analyzed using an integrated approach that incorporates traditional risk-adjusted indicators, downside-sensitive metrics, and a six-factor model featuring momentum. The results show clear heterogeneity in performance. Mid-cap innovators such as Persistent Systems and Coforge deliver positive and, in some cases, statistically significant alphas, while large-cap stocks including Infosys, Tata Consultancy Services (TCS), and Wipro provide stability but limited excess returns. At the portfolio level, an equally weighted allocation improves downside protection. However, factor-model analysis finds no statistically significant portfolio alpha once systematic exposures are accounted for. These findings highlight the importance of active firm-level selection within the Indian technology sector, while also underscoring the role of intra-sector diversification in mitigating extreme losses. Full article
Show Figures

Figure 1

30 pages, 1202 KB  
Article
Exploring the Impact of Executives’ Digital Attention on Corporate Sustainable Development: Evidence from China
by Quan Zhang, Yichuan Wang, Le Zhu and Suying Song
Int. J. Financial Stud. 2026, 14(2), 36; https://doi.org/10.3390/ijfs14020036 - 4 Feb 2026
Viewed by 672
Abstract
Using the panel data of Chinese A-share firms from 2012 to 2023, we find that executives’ focus on digitalization is significantly and positively associated with corporate sustainability performance. The finding holds firm after a suite of endogeneity and robustness tests. Heterogeneity tests indicate [...] Read more.
Using the panel data of Chinese A-share firms from 2012 to 2023, we find that executives’ focus on digitalization is significantly and positively associated with corporate sustainability performance. The finding holds firm after a suite of endogeneity and robustness tests. Heterogeneity tests indicate that such a favorable impact is more salient for large enterprises, industry players with superior competitiveness, and entities situated in eastern China. The mechanism tests reveal that executives’ digital attention enhances corporate sustainable development by improving resource structuring capability, resource bundling capability, and resource leveraging capability. Additionally, financing constraints weaken, while media attention will enhance this promoting effect. Additional dimension-focused analyses demonstrate that the direct promotional impact of executives’ digital attention on corporate financial performance remains statistically insignificant, whereas it exerts a markedly positive catalytic effect on corporate environmental performance. This research offers novel theoretical interpretations and practical implications regarding the role of executive cognitive orientation in advancing corporate sustainable development against the backdrop of digital transformation. Full article
Show Figures

Figure 1

19 pages, 503 KB  
Article
Understanding Millennials’ Financial Behavior: The Role of Fintech Adoption, Financial Literacy, and the Mediating Effect of Financial Attitudes in a Crisis-Affected Emerging Economy
by Dani Aoun, Rita Rahal, Layal Sfeir and Nada Jabbour Al Maalouf
Int. J. Financial Stud. 2026, 14(2), 35; https://doi.org/10.3390/ijfs14020035 - 4 Feb 2026
Viewed by 2521
Abstract
This study investigates how financial literacy, FinTech adoption, and financial attitudes shape economic decision-making among millennials in Lebanon, a crisis-affected emerging economy. The study examines whether enhancing financial literacy can strengthen economic resilience through improved financial behavior, with financial attitudes acting as a [...] Read more.
This study investigates how financial literacy, FinTech adoption, and financial attitudes shape economic decision-making among millennials in Lebanon, a crisis-affected emerging economy. The study examines whether enhancing financial literacy can strengthen economic resilience through improved financial behavior, with financial attitudes acting as a mediator. Guided by Behavioral Finance Theory, the study employs a quantitative approach using data from 390 Lebanese millennials collected via a structured questionnaire. Structural equation modeling was applied to test direct and mediating effects. Both financial literacy and FinTech adoption were found to significantly influence millennials’ financial behavior, with financial literacy emerging as the stronger predictor. The findings also revealed that financial attitude significantly mediates the link between literacy and behavior, suggesting that financial knowledge alone is insufficient without attitudinal reinforcement. This study fills a critical empirical gap in the MENA region by offering evidence from a highly under-researched, crisis-affected emerging market. It introduces an integrated model combining technological, cognitive, and attitudinal dimensions of financial behavior. The study offers practical implications for policymakers, financial institutions, and international development actors seeking to strengthen financial inclusion and household stability in similar turbulent contexts. Full article
(This article belongs to the Special Issue Behavioral Insights into Financial Decision Making)
Show Figures

Figure 1

16 pages, 795 KB  
Article
Financial Information Quality Between Numerical Accuracy and Comprehensibility: Effects on Investment Decisions in the Context of the Bucharest Stock Exchange
by Daniela Mogîldea and Mihai Carp
Int. J. Financial Stud. 2026, 14(2), 34; https://doi.org/10.3390/ijfs14020034 - 3 Feb 2026
Viewed by 638
Abstract
The informational efficiency of stock prices is conditioned by the level of quality of financial reports, contributing to an accurate assessment of the company’s future performance. By approaching informational quality from two perspectives, we conducted an analysis of the impact of faithful representation [...] Read more.
The informational efficiency of stock prices is conditioned by the level of quality of financial reports, contributing to an accurate assessment of the company’s future performance. By approaching informational quality from two perspectives, we conducted an analysis of the impact of faithful representation and readability of annual reports on the reaction of the Romanian capital market, measured by annual stock returns (SR) and cumulative abnormal returns (CAR). The findings revealed an accentuated concern of investors regarding the faithful representation of the firm’s financial results (both at the time of financial statements’ publication and at the year-end) and a diminished significance of the comprehensibility level of financial information in the investment decision-making process. The annual reports of a sample of firms listed on the BSE between 2017 and 2023 have an increased level of linguistic complexity, which entails processing costs, and are intended for sophisticated users with financial expertise. Along with the specialized language, the extensive length of reports delays the incorporation of all information into the stock price, decreasing the informational efficiency of the market. This empirical study applies several indices to assess the readability and conciseness of financial information (FOG index, Flesch–Kincaid index, Flesch Reading Ease Score, and report length) and contributes to the expanding literature by providing a useful basis for future analysis of the influence of financial report quality on investors’ perceptions. Full article
(This article belongs to the Special Issue Accounting and Financial/Non-financial Reporting Developments)
Show Figures

Figure 1

21 pages, 309 KB  
Article
Online Search Activity and Market Reaction to Earnings Announcements
by Saurabh Ahluwalia
Int. J. Financial Stud. 2026, 14(2), 33; https://doi.org/10.3390/ijfs14020033 - 3 Feb 2026
Viewed by 1505
Abstract
This paper leverages Google Trends search volume data from 2004 to 2008 as a proxy for investor information demand. The analysis documents that greater search activity prior to earnings announcements is positively associated with future market reaction to earnings announcements, pre-earnings announcement drift, [...] Read more.
This paper leverages Google Trends search volume data from 2004 to 2008 as a proxy for investor information demand. The analysis documents that greater search activity prior to earnings announcements is positively associated with future market reaction to earnings announcements, pre-earnings announcement drift, and buying pressure. The results are consistent with investors gathering value-relevant information through online research, which is subsequently incorporated into prices through trading around earnings announcements. Notably, search volume is positively associated with market reaction to earnings announcements and pre-announcement drifts for more obscure firms where data is scarce. Overall, this paper provides large-sample evidence validating theoretical models where dispersed private information is incorporated into stock prices. The findings suggest that broader data access may facilitate pricing efficiency by promoting more informed market participation. Full article
(This article belongs to the Special Issue Stock Market Developments and Investment Implications)
28 pages, 5924 KB  
Article
Quantile–Frequency Connectedness Among Artificial Intelligence, FinTech, and Blue Economy Markets
by Imen Jellouli
Int. J. Financial Stud. 2026, 14(2), 32; https://doi.org/10.3390/ijfs14020032 - 3 Feb 2026
Viewed by 637
Abstract
Using a quantile–frequency connectedness framework, this study analyzes the regime-contingent and horizon-specific transmission of shocks among AI assets, FinTech markets, and Blue Economy financial instruments. The empirical results reveal a distinctly asymmetric connectedness structure, whereby high-frequency spillovers intensify in upper-quantile states associated with [...] Read more.
Using a quantile–frequency connectedness framework, this study analyzes the regime-contingent and horizon-specific transmission of shocks among AI assets, FinTech markets, and Blue Economy financial instruments. The empirical results reveal a distinctly asymmetric connectedness structure, whereby high-frequency spillovers intensify in upper-quantile states associated with liquidity stress and sentiment-driven trading, while low-frequency connectedness remains comparatively muted, thereby preserving cross-segment diversification potential. AI assets emerge as dominant net transmitters in short-horizon dynamics, reflecting rapid innovation cycles and speculative adjustments. FinTech markets exhibit stabilizing properties under median regimes but transition into net propagation roles when risk conditions escalate. Blue finance instruments act as conditional net absorbers, attenuating volatility originating from digital innovation-driven markets, particularly during adverse market states. By decomposing spillover intensities across quantiles and spectral bands, the analysis highlights a structural differentiation between innovation-sensitive digital assets and the comparatively stable behavior of blue-themed financial assets. These findings advance the understanding of nonlinear dependence, asymmetric contagion, and state-dependent co-movements in emerging financial ecosystems. The results provide actionable insights for systemic-risk measurement, cross-market shock diagnostics, and multi-asset portfolio construction in an increasingly interconnected global financial system. Full article
Show Figures

Figure 1

46 pages, 1262 KB  
Systematic Review
Financial Risk Prediction Models Integrating Environmental, Social and Governance Factors: A Systematic Review
by Cristina Caro-González, Daniel Jato-Espino and Yudith Cardinale
Int. J. Financial Stud. 2026, 14(2), 31; https://doi.org/10.3390/ijfs14020031 - 3 Feb 2026
Viewed by 1949
Abstract
This systematic review explores the incorporation of Environmental, Social, and Governance (ESG) factors within financial risk prediction models, with a particular focus on Machine Learning (ML), Natural Language Processing (NLP), and Large Language Models (LLM). Adhering to the Preferred Reporting Items for Systematic [...] Read more.
This systematic review explores the incorporation of Environmental, Social, and Governance (ESG) factors within financial risk prediction models, with a particular focus on Machine Learning (ML), Natural Language Processing (NLP), and Large Language Models (LLM). Adhering to the Preferred Reporting Items for Systematic Reviews and the Meta-Analyses (PRISMA) and PICOC frameworks, we identified 74 peer-reviewed publications disseminated between 2009 and March 2025 from the Scopus database. After excluding 10 systematic and literature reviews to avoid double-counting of evidence, we conducted quantitative analysis on 64 empirical studies. The findings indicate that traditional econometric methodologies continue to prevail (48%), followed by ML strategies (39%), NLP methodologies (8%), and Other (5%). Research that concurrently focuses on all three dimensions of ESG constitutes the most substantial category (44%), whereas the Social dimension, in isolation, receives minimal focus (5%). A geographic analysis reveals a concentration of research activity in China (13 studies), Italy (10), and the United States and India (6 each). Chi-square tests reveal no statistically significant relationship between the methodological approaches employed and the ESG dimensions examined (p = 0.62). The principal findings indicate that ML models—particularly ensemble methodologies and neural networks—exhibit enhanced predictive accuracy in the context of credit risk and default probability, whereas NLP methodologies reveal significant potential for the analysis of unstructured ESG disclosures. The review highlighted ongoing challenges, including inconsistencies in ESG data, variability in ratings across different providers, insufficient coverage of emerging markets, and the disparity between academic research and practical application in model implementation. Full article
Show Figures

Figure 1

23 pages, 2448 KB  
Article
Taxes, Growth, and Equity: The Illusions of Fiscal Policy
by Anil Hira, Tim Swartz and Jiguo Cao
Int. J. Financial Stud. 2026, 14(2), 30; https://doi.org/10.3390/ijfs14020030 - 2 Feb 2026
Viewed by 1607
Abstract
For over a century now, one of the central debates of economic policy has been around fiscal policy. Taxation and government spending have been a feature of most political campaigns, with one (more vocal) side claiming that taxation chokes economic growth and benefits [...] Read more.
For over a century now, one of the central debates of economic policy has been around fiscal policy. Taxation and government spending have been a feature of most political campaigns, with one (more vocal) side claiming that taxation chokes economic growth and benefits special interests, while leaving a legacy of debt. Another side sees taxation as a necessary tool for creating equal opportunity and ensuring adequate investment in collective public goods, including human capital. Using newly constructed datasets that we will make available, we take a fresh look at fiscal policy on the global level and across U.S. states, measuring its effects on growth and equity. We utilize a new technique, functional data analysis (FDA). We find limited evidence for both the conservative and progressive arguments around fiscal policy in the short term. Rather, the data suggest persistent fiscal patterns across space and time that reflect long-term social value choices around the tradeoffs of growth vs. public investment and equity. Full article
Show Figures

Figure 1

19 pages, 1282 KB  
Article
Drivers of Net Interest Margin in Ethiopia’s Banking Sector
by Seid Muhammed, Douglas Mwirigi and Prihoda Emese
Int. J. Financial Stud. 2026, 14(2), 29; https://doi.org/10.3390/ijfs14020029 - 2 Feb 2026
Cited by 1 | Viewed by 1512
Abstract
This study examines the drivers of net interest margin (NIM) in developing economies, with a particular emphasis on Ethiopian commercial banks. It adopts an explanatory research design, analyzing quantitative data from the audited financial statements of 13 banks over 13 years (2012–2024), totaling [...] Read more.
This study examines the drivers of net interest margin (NIM) in developing economies, with a particular emphasis on Ethiopian commercial banks. It adopts an explanatory research design, analyzing quantitative data from the audited financial statements of 13 banks over 13 years (2012–2024), totaling 169 observations. Both Driscoll–Kraay fixed- and random-effects standard errors were computed in RStudio (version 4.5). The primary analysis relied on Driscoll–Kraay random regression outcomes, though fixed regression results were included for robustness checks. Findings indicate that the loan-to-deposit ratio, bank size, capital adequacy, and foreign direct investment (FDI) inflows have a significant positive impact on NIM, underscoring their role in enhancing profitability and stability. Conversely, inflation significantly reduces margins, while no substantial effects were observed for operational efficiency or GDP. These insights suggest that Ethiopian banks should focus on asset growth, maintaining strong capital reserves, increasing the loan-to-deposit ratio, and attracting FDI. Policymakers are encouraged to stabilize inflation and create a conducive environment to FDI to support sectoral growth. Future research could investigate operational efficiency alongside industry-specific indexes, such as the Herfindahl–Hirschman index for loans, assets, and income, to better understand variations in NIM. Full article
(This article belongs to the Topic The Future of Banking and Financial Risk Management)
Show Figures

Figure 1

31 pages, 1617 KB  
Review
Creative Accounting Practices and Their Perceived and Actual Impact on Financial Reporting: Evidence from Romanian Listed Companies
by Adriana Horaicu, Victor Munteanu, Marilena-Roxana Zuca, Gabriel Cucui, Luiza Ionescu, Mihaela-Denisa Coman and Aura-Oana Mustățea
Int. J. Financial Stud. 2026, 14(2), 28; https://doi.org/10.3390/ijfs14020028 - 2 Feb 2026
Viewed by 1093
Abstract
This study investigates creative accounting practices and their effects on reported financial position, performance, and risk indicators in Romanian listed companies. Using a mixed research design, the analysis combines a perception-based survey of financial–accounting professionals with a scenario-based financial case study, allowing for [...] Read more.
This study investigates creative accounting practices and their effects on reported financial position, performance, and risk indicators in Romanian listed companies. Using a mixed research design, the analysis combines a perception-based survey of financial–accounting professionals with a scenario-based financial case study, allowing for a comparison between perceived and actual effects of discretionary accounting techniques. The survey results indicate that professionals perceive creative accounting practices as having a significant influence on financial reporting outcomes, particularly in areas characterized by high managerial discretion, such as provisions, depreciation policies, inventory valuation methods, asset revaluation, and capitalization of research and development expenditures. The empirical case study confirms that these techniques generate observable changes in key financial indicators; however, the magnitude and direction of their effects vary across accounting methods and reporting periods. A key contribution of this study lies in highlighting a discrepancy between perceived and measured effects of creative accounting. While practitioners accurately identify the accounting areas most exposed to discretion, the empirical results suggest that the financial impact of creative accounting practices is often more moderate and context-dependent than commonly assumed. In addition, a descriptive assessment of fraud risk indicators suggests that extensive use of discretionary accounting practices may be associated with elevated risk exposure, without constituting direct evidence of fraudulent behavior. Full article
(This article belongs to the Special Issue Advances in Financial Econometrics)
Show Figures

Figure 1

26 pages, 887 KB  
Article
Index of the Cycle of Money: The Case of Cyprus
by Constantinos Challoumis, Nikolaos Eriotis and Dimitrios Vasiliou
Int. J. Financial Stud. 2026, 14(2), 27; https://doi.org/10.3390/ijfs14020027 - 2 Feb 2026
Viewed by 721
Abstract
This research aims to evaluate the effectiveness of monetary circulation in Cyprus by applying the Index of the Cycle of Money, derived from the Theory of the Cycle of Money. The analysis focuses exclusively on the Cypriot economy over the period of 2012–2017, [...] Read more.
This research aims to evaluate the effectiveness of monetary circulation in Cyprus by applying the Index of the Cycle of Money, derived from the Theory of the Cycle of Money. The analysis focuses exclusively on the Cypriot economy over the period of 2012–2017, a timeframe marked by severe financial stress following a domestic banking crisis. Using national GDP and bank deposits as core inputs, the study computes the country-specific cycle-of-money index and compares it to the global benchmark. The results show that Cyprus consistently exhibits a cycle-of-money index significantly above the global average, indicating a highly efficient internal redistribution and reuse of money. This finding suggests that the Cypriot economic structure possesses strong resilience and recovery capacity, even under adverse monetary and fiscal conditions. The analysis contributes to the comparative literature on monetary circulation by providing a clearly delimited single-country application and by reinforcing the explanatory power of the cycle-of-money framework in crisis contexts. Full article
Show Figures

Figure 1

27 pages, 1175 KB  
Article
ESG Integration and the Financial Stability Trade-Off in Emerging Markets
by Luis Ángel Meneses Cerón, Julián Mauricio Gómez López, Yudith Cristina Caicedo Domínguez and Juana Patricia Diaz Olaya
Int. J. Financial Stud. 2026, 14(2), 26; https://doi.org/10.3390/ijfs14020026 - 2 Feb 2026
Viewed by 2143
Abstract
This study investigates the impact of ESG practices on the financial stability in a multisector sample of 86 publicly listed Brazilian firms, focusing on the Weighted Average Cost of Capital (WACC) and Altman Z-Score (AZS) as a proxy for insolvency risk. Using Bloomberg [...] Read more.
This study investigates the impact of ESG practices on the financial stability in a multisector sample of 86 publicly listed Brazilian firms, focusing on the Weighted Average Cost of Capital (WACC) and Altman Z-Score (AZS) as a proxy for insolvency risk. Using Bloomberg data from 2010 to 2021, this research applies advanced econometric methods, including Ordinary Least Squares (OLS), Vector Autoregression (VAR) and Fully Modified Ordinary Least Squares (FMOLS), to capture both short- and long-term effects. The findings reveal a financial learning curve: in the short term, ESG adoption can temporarily increase WACC and insolvency risk due to initial implementation costs, whereas in the long term, it reduces financial risk, enhances operational efficiency, and strengthens corporate resilience. These results underscore ESG practices as a strategic determinant of long-term value creation and financial stability. This study offers actionable insights for policymakers, investors, and corporate leaders aiming to align sustainability initiatives with financial performance in emerging market contexts. Full article
Show Figures

Figure 1

22 pages, 852 KB  
Article
Digital Financial Literacy and Investment Grip: A Study of Japanese Active Investors
by Aliyu Ali Bawalle, Sumeet Lal, Mostafa Saidur Rahim Khan and Yoshihiko Kadoya
Int. J. Financial Stud. 2026, 14(2), 25; https://doi.org/10.3390/ijfs14020025 - 27 Jan 2026
Viewed by 1734
Abstract
Investors’ ability to retain investments during bearish and uncertain market periods is a crucial behavioral trait for long-term wealth accumulation and reduces market instability. Nevertheless, little is understood about how digital financial literacy (DFL) shapes the capacity of increasingly digitalized financial environments. This [...] Read more.
Investors’ ability to retain investments during bearish and uncertain market periods is a crucial behavioral trait for long-term wealth accumulation and reduces market instability. Nevertheless, little is understood about how digital financial literacy (DFL) shapes the capacity of increasingly digitalized financial environments. This study investigates the links between DFL and investment grip among Japanese active investors—defined here, following conventional Japanese regulatory and research practice, as individuals who maintain a securities account and have engaged with an online brokerage within the past year—building on several theoretical perspectives from behavioral science. Using survey data from 149,261 individuals with an active account at Rakuten Securities, we estimated ordered probit regression models as the main specification. The findings showed a strong positive association between DFL and investment grip, even after accounting for demographic, socioeconomic, as well as cognitive attributes. These results are supported by robustness tests employing a probit model with a binary outcome. The sample consists exclusively of digitally active retail investors; the findings are therefore most directly applicable to this subpopulation. Overall, the evidence suggests that DFL fosters investors’ capacity to endure market volatility by promoting rational decision-making and reducing panic-driven selloffs. This study offers new empirical findings that will help promote financial resilience in technology-driven markets. Full article
(This article belongs to the Special Issue Stock Market Developments and Investment Implications)
Show Figures

Figure 1

Previous Issue
Next Issue
Back to TopTop