Next Issue
Volume 14, December-1
Previous Issue
Volume 14, November-1
 
 

Plants, Volume 14, Issue 22 (November-2 2025) – 143 articles

Cover Story (view full-size image): Rice yield and grain quality depend on finely coordinated processes during seed development. In this study, we investigated the biological function of LOC_Os04g40510, a member of the glycoside hydrolase GH5_11 subfamily, in rice. Localization studies revealed that the protein accumulates in the endosperm. Analyses with transgenic lines demonstrated that altered gene expression affects fertility and seed traits, including grain chalkiness. These findings highlight a previously uncharacterized enzyme family and provide new insights into the biological role of GH5_11 enzymes in rice. View this paper
  • Issues are regarded as officially published after their release is announced to the table of contents alert mailing list.
  • You may sign up for e-mail alerts to receive table of contents of newly released issues.
  • PDF is the official format for papers published in both, html and pdf forms. To view the papers in pdf format, click on the "PDF Full-text" link, and use the free Adobe Reader to open them.
Order results
Result details
Section
Select all
Export citation of selected articles as:
13 pages, 3756 KB  
Article
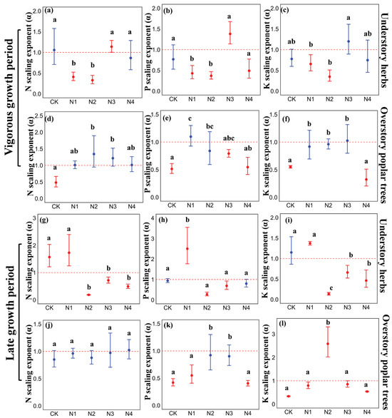
Long-Term Nitrogen Addition Drives Contrasting Nutrient Allocation Strategies in Overstory Poplar Trees and Understory Herbs
by Rong Huang, Huihui Liu, Chen Zhang, Yu Fang, Ziqi Shen, Tingting Ren and Honghua Ruan
Plants 2025, 14(22), 3548; https://doi.org/10.3390/plants14223548 - 20 Nov 2025
Cited by 1 | Viewed by 884
Abstract
Long-term nitrogen (N) addition induces N saturation in forests, but its impacts on nutrient allocation across plant organs and life forms remain unclear. Utilizing a 12-year N addition experiment in a coastal poplar plantation in southeastern China, which included five treatments (0 [CK], [...] Read more.
Long-term nitrogen (N) addition induces N saturation in forests, but its impacts on nutrient allocation across plant organs and life forms remain unclear. Utilizing a 12-year N addition experiment in a coastal poplar plantation in southeastern China, which included five treatments (0 [CK], 50 [N1], 100 [N2], 150 [N3], and 300 [N4] kg N ha−1 yr−1), we examined N, phosphorus (P), and potassium (K) concentrations in leaves and roots of overstory poplar trees and understory herbs in 2024. Results showed understory leaf N increased by 14.9–31.4% in vigorous growth, while overstory leaf N rose only 7.0% under the highest N treatment. By late growth, N3 treatment understory herbs had 17.2% and 21.9% higher leaf and root N, respectively. In contrast, overstory root N decreased by 15.7% under N1, but root P increased by 55.4% under N2. These findings reveal that understory herbs preferentially allocate nutrients to leaves, whereas overstory poplar trees shift allocation to roots under elevated N. Such divergent strategies may reshape interlayer nutrient competition, thereby affecting forest structure and function and providing theoretical and practical guidance for predicting N addition responses and plantation management. Full article
(This article belongs to the Section Plant Nutrition)
Show Figures

Figure 1

17 pages, 2626 KB  
Article
Comprehensive Evaluation of Vacrol Oil Combination in Experimental Wound Healing: From Phytochemical Analysis to Functional and Structural Repair
by Esra Küpeli Akkol and Didem Deliorman Orhan
Plants 2025, 14(22), 3547; https://doi.org/10.3390/plants14223547 - 20 Nov 2025
Cited by 2 | Viewed by 1123
Abstract
Wound healing is a complex biological process involving overlapping phases of inflammation, proliferation, and remodeling. Plant-derived agents have gained attention as alternatives or adjuncts to synthetic drugs owing to their accessibility and favorable safety profile. This study evaluated the wound-healing activity of Vacrol [...] Read more.
Wound healing is a complex biological process involving overlapping phases of inflammation, proliferation, and remodeling. Plant-derived agents have gained attention as alternatives or adjuncts to synthetic drugs owing to their accessibility and favorable safety profile. This study evaluated the wound-healing activity of Vacrol Oil Combination (VOC), a phytotherapeutic preparation, through in vivo wound models and in vitro enzyme inhibition assays. Linear incision wounds in rats and circular excision wounds in mice were treated with VOC, administered orally, topically, or in combination for 10 days. Experimental groups included a negative control (no treatment), a vehicle control (olive oil), VOC-treated groups, and a reference group treated with 0.2% nitrofurazone. Wound contraction, tensile strength, histopathology, and hydroxyproline levels were assessed. In vitro assays were conducted to evaluate the inhibitory effects of VOC on hyaluronidase, collagenase, and elastase. VEGF and TGF-β1 levels were measured to assess the involvement of growth factors in the healing process. The chemical composition of VOC was characterized by gas chromatography–mass spectrometry (GC–MS), which identified carvacrol as the major compound, together with 1,8-cineole, linalool, eugenol, and cinnamaldehyde as prominent constituents known for their anti-inflammatory and antioxidant activities. VOC treatment significantly enhanced wound contraction and tensile strength compared to controls, with the oral + topical group showing the highest efficacy. Hydroxyproline levels and histological findings confirmed improved collagen synthesis and tissue regeneration. GC–MS analysis identified carvacrol as the major constituent of VOC, along with eugenol and linalool, which are known for their anti-inflammatory and antioxidant effects. Furthermore, VOC increased tissue levels of VEGF and TGF-β1, suggesting a role in stimulating angiogenesis and extracellular matrix remodeling. These findings indicate that the phytoconstituents of VOC, particularly carvacrol and oxygenated terpenes, act synergistically to promote wound repair. VOC demonstrates strong potential as a complementary phytotherapeutic agent for wound management, warranting further clinical investigation. Full article
(This article belongs to the Special Issue Chemical Composition and Biological Activity of Plant Essential Oil)
Show Figures

Figure 1

16 pages, 6746 KB  
Article
Endophytic Pseudomonas koreensis A1 of Bletilla striata as a Plant Growth Promoter and Biocontrol Agent Against Rice Sheath Blight
by Jian-Wei Jiang, Yue Qiu, Jing-Xue Luo, Jia-Le Liu, Hua-Jian Feng, Yi Zhou and Sheng Cheng
Plants 2025, 14(22), 3546; https://doi.org/10.3390/plants14223546 - 20 Nov 2025
Cited by 1 | Viewed by 1030
Abstract
Rice sheath blight caused by Rhizoctonia solani is a devastating global rice disease. This study aimed to isolate biocontrol bacteria from the medicinal plant Bletilla striata for managing the disease. Strain A1 demonstrated the strongest antagonistic activity, with a 91.92% inhibition rate against [...] Read more.
Rice sheath blight caused by Rhizoctonia solani is a devastating global rice disease. This study aimed to isolate biocontrol bacteria from the medicinal plant Bletilla striata for managing the disease. Strain A1 demonstrated the strongest antagonistic activity, with a 91.92% inhibition rate against R. solani in vitro. It also exhibited a broad antifungal spectrum against ten plant pathogenic fungi. Morphological and molecular (16S rRNA and recA genes) analysis identified strain A1 as Pseudomonas koreensis. In detached leaf assays, lesion length was significantly reduced. Pot and field trials showed control efficacies of 65.54% and 72.53%, respectively, comparable to the chemical agent Jinggangmycin. Strain A1 secreted extracellular enzymes (protease, β-1,3-glucanase), siderophores, and auxin (IAA), and possessed phosphate-solubilizing and nitrogen-fixing capabilities. The strain significantly enhanced the activities of key defense enzymes (POD, PAL, PPO, CAT, SOD) in rice. Furthermore, both its sterile culture filtrate and the corresponding crude ethyl acetate extract exhibited strong, direct suppression of R. solani growth. LC-MS analysis identified potential antifungal compounds, including Pseudomonic Acid, Artemisinin, and Tetradecane, in the extract. In conclusion, P. koreensis A1 is a promising biocontrol and plant growth-promoting candidate for sustainable management of rice sheath blight. Full article
Show Figures

Figure 1

27 pages, 12034 KB  
Review
From Folk Medicine to Pharmacology: A Systematic Review of the Anti-Inflammatory Evidence for Hymenaea spp. (Fabaceae)
by Joy Braga Cavalcante, Adriely de Brito Silva, Roberta de Freitas Lopes, Lucimar Pinheiro Rosseto, Fabiana Aparecida Marques, Osmar Vieira da Silva, José Luís Rodrigues Martins, João Maurício Fernandes Souza, Lucas Barbosa Ribeiro de Carvalho, Natascha de Vasconcellos Otoya, Sandro Dutra e Silva, Iransé Oliveira-Silva, Luis Eduardo Maggi, Rogério de Freitas Lacerda, Elson Alves Costa, Leonardo Luiz Borges and James Oluwagbamigbe Fajemiroye
Plants 2025, 14(22), 3545; https://doi.org/10.3390/plants14223545 - 20 Nov 2025
Viewed by 1494
Abstract
Hymenaea spp. (Fabaceae) are widely used in folk medicine to treat fatigue, inflammation, respiratory, and gastrointestinal disorders. However, comprehensive evidence-based evaluations of their pharmacological potential remain limited. This systematic review brought together the existing pharmacological and phytochemical evidence on the significant therapeutic potential [...] Read more.
Hymenaea spp. (Fabaceae) are widely used in folk medicine to treat fatigue, inflammation, respiratory, and gastrointestinal disorders. However, comprehensive evidence-based evaluations of their pharmacological potential remain limited. This systematic review brought together the existing pharmacological and phytochemical evidence on the significant therapeutic potential of Hymenaea spp. A total of 17 studies were included; phytochemical analyses identified flavonoids, triterpenes, procyanidins, xyloglucans, and caryophyllene oxide among the major bioactive constituents. The reported biological activities were primarily anti-inflammatory, antioxidant, immunomodulatory, antimicrobial, and antiproliferative. Mechanistic findings consistently substantiated anti-inflammatory evidence through COX/LOX inhibition, cytokines, and redox-related modulations. Despite these promising results, the molecular mechanisms and translational evidence remain poorly defined. In conclusion, Hymenaea spp. exhibit significant pharmacological potential. Future studies integrating metabolomics and preclinical and clinical validation are essential to translating traditional knowledge of this species into evidence-based therapeutics. Full article
Show Figures

Figure 1

27 pages, 9100 KB  
Article
In Vitro Regeneration, Acclimatization, Phytochemical Profiling, and Antioxidant Properties of Hong Hoen Sirirugsa (Globba sirirugsae Saensouk & P.Saensouk)
by Surapon Saensouk, Phiphat Sonthongphithak, Theeraphan Chumroenphat, Sukanya Nonthalee, Phannipha Phrommalee, Nooduan Muangsan, Toulaphone Keokene and Piyaporn Saensouk
Plants 2025, 14(22), 3544; https://doi.org/10.3390/plants14223544 - 20 Nov 2025
Viewed by 957
Abstract
Globba sirirugsae Saensouk & P.Saensouk, known in Thai as Hong Hoen Sirirugsa, is a rare Zingiberaceae species with considerable potential for ornamental horticulture and phytopharmaceutical development. Despite its promising attributes, comprehensive studies on its micropropagation, bioactivities, and phytochemical composition remain limited. This study [...] Read more.
Globba sirirugsae Saensouk & P.Saensouk, known in Thai as Hong Hoen Sirirugsa, is a rare Zingiberaceae species with considerable potential for ornamental horticulture and phytopharmaceutical development. Despite its promising attributes, comprehensive studies on its micropropagation, bioactivities, and phytochemical composition remain limited. This study investigated the efficiency of in vitro propagation using rhizome-derived plantlets cultured on Murashige and Skoog (MS) medium supplemented with various concentrations of BA, kinetin, and NAA. The highest shoot proliferation (5.67 shoots) was achieved with 4 mg/L BA and 0.5 mg/L NAA, while acclimatization in a soil–sand substrate (1:1) resulted in a 90% survival rate. Comparative analyses of wild and tissue-cultured plants revealed abundant phenolic and flavonoid contents, particularly in wild specimens, as determined by TPC and TFC assays. HPLC profiling confirmed the presence of bioactive compounds under both growth conditions. Ethanolic extracts exhibited strong antioxidant activities via 2,2-diphenyl-1-picrylhydrazyl (DPPH) and 2,2′-azino-bis(3-ethylbenzothiazoline-6-sulfonic acid) (ABTS) assays. GC-MS analysis identified 23 volatile compounds in wild plants and 51 in tissue-cultured plants, with α-pinene, β-pinene, caryophyllene, and α-bergamotene as dominant constituents. FTIR spectroscopy revealed distinct functional groups and fingerprint regions, serving as a rapid screening tool for phytochemical accumulation and biological activity. These findings provide a strategic foundation for the conservation and sustainable utilization of Globba sirirugsae as a multifunctional bioresource, with future applications in pharmaceutical innovation, product development, and ornamental landscaping. Full article
(This article belongs to the Section Horticultural Science and Ornamental Plants)
Show Figures

Figure 1

21 pages, 4599 KB  
Article
Transcriptome-Based miR156-Mediated Expression Dynamics of SPL Transcription Factors During Vegetative to Reproductive Transition in Spinach
by Ehsan Khalid, Yutong Zheng, Tengqi Wang, Lingmin Cai and Ray Ming
Plants 2025, 14(22), 3543; https://doi.org/10.3390/plants14223543 - 20 Nov 2025
Viewed by 1021
Abstract
Vegetative to reproductive phase transition is an important developmental process in flowering plants, regulated in part by microRNAs that repress target genes post-transcriptionally. However, the role of miR156 and its target Squamosa Promoter Binding Protein-Like (SPL) transcription factors remains poorly understood. In this [...] Read more.
Vegetative to reproductive phase transition is an important developmental process in flowering plants, regulated in part by microRNAs that repress target genes post-transcriptionally. However, the role of miR156 and its target Squamosa Promoter Binding Protein-Like (SPL) transcription factors remains poorly understood. In this study, we identified 14 SPL gene members in spinach and analyzed their expression during phase transition. Genome-wide identification and transcriptome-based analysis revealed that 11 of these genes are likely direct targets of SpmiR156a/b/c/d, with binding sites confirmed by sequence-based interaction prediction. Expression profiling showed that SpSPL3 and SpSPL8, which are strongly repressed during vegetative growth, were significantly regulated during the transition phase. Gene Ontology (GO) and promoter cis-element analyses support that SPL genes are involved in hormonal pathways and floral development Quantitative Real-Time Polymerase Chain Reaction (qRT-PCR) further validated the transcriptome expression patterns of key SPL genes. Together, these findings outline a regulatory framework in which SpmiR156 modulates SpSPL gene activity to control developmental phase change in spinach, highlighting both the expansion and functional diversification of the SPL gene and the central role of SpmiR156 in vegetative to reproductive transition. Full article
(This article belongs to the Section Plant Genetics, Genomics and Biotechnology)
Show Figures

Graphical abstract

20 pages, 10165 KB  
Article
Responses to Different Magnesium Supply Treatments in the Mature Leaves of Cunninghamia lanceolata Seedlings: Morphological, Physiological, and Structural Perspectives
by Yaling Zhang, Bigui Su, Sheng Lu, Tianran Han, Fenglin Wang, Guochang Ding, Chao Wu, Guangqiu Cao and Yu Chen
Plants 2025, 14(22), 3542; https://doi.org/10.3390/plants14223542 - 20 Nov 2025
Viewed by 1102
Abstract
(1) Background: Repeated planting cycles and monoculture practices have led to widespread magnesium (Mg) deficiency in Chinese fir (Cunninghamia lanceolata) plantations. To gain clarity on how different Mg concentrations affect seedling growth and physiology, we designed the following experiment. (2) Methods: [...] Read more.
(1) Background: Repeated planting cycles and monoculture practices have led to widespread magnesium (Mg) deficiency in Chinese fir (Cunninghamia lanceolata) plantations. To gain clarity on how different Mg concentrations affect seedling growth and physiology, we designed the following experiment. (2) Methods: One-year-old seedlings were exposed to three Mg concentration treatments: High (HM), Medium (MM), and Low (LM). Their responses were evaluated in terms of growth traits, photosynthetic activity, and chloroplast structure. (3) Results: Both HM and LM significantly affected leaf development, with LM having the strongest impact. LM disrupted chloroplast structure, causing thylakoid membrane rupture, mitochondrial damage, accumulation of osmiophilic granules, and increased spacing between chloroplasts and cell walls. LM also impaired photosynthesis, lowering the net photosynthetic rate (Pn) and peroxidase (POD) activity, while increasing malondialdehyde (MDA) levels. Leaf growth was reduced, as shown by smaller leaf area and lower biomass. In contrast, HM temporarily enhanced some physiological traits, including intercellular CO2 concentration (Ci), transpiration rate (Tr), leaf dry matter content (LDMC), and ATPase activity, though it also reduced Fv/Fo compared to MM. (4) Conclusions: Both high and low Mg concentration negatively affected photosynthesis, with Mg deficiency causing the most severe damage. These findings highlight the importance of managing soil Mg levels to maintain healthy growth and productivity in C. lanceolata plantations. Full article
(This article belongs to the Special Issue Responses of Crops to Abiotic Stress—2nd Edition)
Show Figures

Figure 1

20 pages, 2559 KB  
Review
Integrative Roles of miRNAs and circRNAs in Plant Antiviral Gene Regulation and Autophagy
by Nurgul Iksat, Zhaksat Baikarayev, Oleksiy Shevchenko, Kuralay Zhanassova, Assemgul Bekturova, Sayan Zhangazin and Zhaksylyk Masalimov
Plants 2025, 14(22), 3541; https://doi.org/10.3390/plants14223541 - 20 Nov 2025
Cited by 2 | Viewed by 1296
Abstract
Agriculture is still at serious risk from viral infections, particularly in light of climate change and more intensive farming practices. Small non-coding RNAs (sRNAs), in particular microRNAs (miRNAs) and circular RNAs (circRNAs), have emerged as crucial post-transcriptional regulators of plant antiviral defense in [...] Read more.
Agriculture is still at serious risk from viral infections, particularly in light of climate change and more intensive farming practices. Small non-coding RNAs (sRNAs), in particular microRNAs (miRNAs) and circular RNAs (circRNAs), have emerged as crucial post-transcriptional regulators of plant antiviral defense in this setting. These molecules provide an essential RNA-based immunity layer by regulating hormones, autophagy, redox balance, immunological signaling, and programmed cell death. In this work, we examine the molecular processes through which circRNAs and miRNAs function during viral infection, focusing on how they affect autophagy and systemic acquired resistance (SAR). Through thorough searches of PubMed, Web of Science, and Scopus, we combined findings from peer-reviewed experimental and transcriptomic studies. Our study covers important crops as well as model species (Arabidopsis thaliana, Nicotiana benthamiana), providing a thorough understanding of sRNA synthesis, target control, and antiviral signaling. By combining previously disparate data, this review provides a coherent framework for understanding how short RNAs affect plant immune responses to viral infections. We highlight key regulatory relationships that need further study and propose that these results can be used as a foundation for new RNA-based biotechnological approaches. By carefully altering RNA regulatory mechanisms, scientists can use this information to help them create more resistant crops. Full article
(This article belongs to the Special Issue Plant Immunity and Disease Resistance Mechanisms)
Show Figures

Graphical abstract

19 pages, 3694 KB  
Article
The Ionic and Metabolic Response Mechanisms of Kochia scoparia in Response to Saline–Alkaline Stress
by Xueyan Lu, Hui Fang, Qi Chen and Ying Zhang
Plants 2025, 14(22), 3540; https://doi.org/10.3390/plants14223540 - 20 Nov 2025
Viewed by 763
Abstract
Saline–alkaline stress is a critical environmental issue that limits plant growth and crop production. With the expansion of salinized land, investigating the response mechanisms of plants to salt–alkali stress is crucial. Integrated ionomic and metabolomic analyses were employed to investigate the response mechanisms [...] Read more.
Saline–alkaline stress is a critical environmental issue that limits plant growth and crop production. With the expansion of salinized land, investigating the response mechanisms of plants to salt–alkali stress is crucial. Integrated ionomic and metabolomic analyses were employed to investigate the response mechanisms of Kochia scoparia in our studies. Compared with the halophyte Suaeda salsa, K. scoparia exhibits distinct ionic and metabolic strategies for coping with saline–alkaline stress. Ca, Mg, and B were significantly accumulated in K. scoparia to alleviate ion toxicity and oxidative damage and to maintain cellular stability at the ionic element level. Sugars, alcohols, esters, and phenolic compounds were found to play key roles in resisting saline–alkaline stress at the metabolic level. Among these, sugars, alcohols, and esters were mainly involved in mitigating salt stress. Targeted metabolomic analysis indicated that certain phenolic compounds—namely C6C1-compounds (p-hydroxybenzoic, gallic, vanillic, salicylic, and syringic acids), C6C3 (caffeic acid, p-coumaric, p-hydroxycinnamic, cinnamic, and ferulic acids), and C6C3C6 (naringenin, quercetin, genistein, petunidin, and luteolin)—were significantly accumulated in K. scoparia. These compounds help mitigate saline–alkaline stress by enhancing reactive oxygen species (ROS) scavenging, modulating signaling pathways, reprogramming the osmoprotectant metabolism, and remodeling cell wall defense. This study elucidates the advantages and mechanistic of K. scoparia’s tolerance to saline–alkaline stress, providing a theoretical foundation for the repair and utilization of saline–alkaline soils. Full article
(This article belongs to the Special Issue Plant Functioning Under Abiotic Stress)
Show Figures

Figure 1

20 pages, 5837 KB  
Article
Metabolomics Reveals the Mechanism of Browning Inhibition by Transient Light Quality in Tea Plant Tissue Culture
by Yi Ding, Haitao Huang and Yun Zhao
Plants 2025, 14(22), 3539; https://doi.org/10.3390/plants14223539 - 20 Nov 2025
Viewed by 1085
Abstract
The absence of a high-efficiency and stable genetic transformation system has been a critical bottleneck, impeding both functional gene characterization and precision breeding efforts in Camellia sinensis (tea), and browning is the first problem encountered in tissue culture of tea. In this paper, [...] Read more.
The absence of a high-efficiency and stable genetic transformation system has been a critical bottleneck, impeding both functional gene characterization and precision breeding efforts in Camellia sinensis (tea), and browning is the first problem encountered in tissue culture of tea. In this paper, to identify optimal spectral conditions for minimizing browning in tissue culture, we subjected three tea plant cultivars to distinct light quality treatments and conducted comprehensive metabolomic profiling of their phytochemical contents. This study demonstrates that wavelength-specific light treatments can induce reversible modifications in the physicochemical characteristics of tea leaves, effectively reducing the accumulation of flavonoid compounds, including polyphenols, in plant tissues. Notably, tissues subjected to optimized wavelength conditions exhibit superior performance as explant sources for in vitro culture systems, demonstrating significantly lower browning rates. Comparative analysis of 460 nm, 660 nm, and 730 nm irradiation treatments revealed consistent suppression of polyphenol biosynthesis across all examined cultivars. However, the wavelength eliciting maximal reduction showed significant cultivar-dependent variation, indicating genotype-specific photoresponsive regulation of secondary metabolism. Full article
(This article belongs to the Special Issue Biosynthesis and Regulation of Tea Plant Specialized Metabolites)
Show Figures

Figure 1

18 pages, 1123 KB  
Article
Theoretical Analyses of Turgor Pressure and Expansive Growth Rate of Plant Cells During Water Deficit
by Joseph K. E. Ortega
Plants 2025, 14(22), 3538; https://doi.org/10.3390/plants14223538 - 20 Nov 2025
Cited by 1 | Viewed by 1171
Abstract
Expansive plant growth during water deficit is common in temperate and extreme climates. Understanding how the turgor pressure, P, behaves during water deficit is essential for a better understanding of expansive growth rate, v. Here, validated biophysical equations together with dimensional [...] Read more.
Expansive plant growth during water deficit is common in temperate and extreme climates. Understanding how the turgor pressure, P, behaves during water deficit is essential for a better understanding of expansive growth rate, v. Here, validated biophysical equations together with dimensional analyses are used to simulate water deficit and determine the behavior of P and v. A dimensionless number, Πpw, helps simplify the biophysical equations and interpret the results. The magnitude of Πpw increases as water deficit severity increases. Analyses reveal that both P and v decrease curvilinearly as Πpw increases. Simple mathematical relationships between P, v, and Πpw, are derived, providing a clear and quantitative understanding of how P and v change as water deficits become more severe. Additionally, it is shown how the results of these analyses can be used to assess P and v of roots growing in water deficit. Full article
(This article belongs to the Section Plant Modeling)
Show Figures

Figure 1

20 pages, 3054 KB  
Article
Floristic Composition and Species Conservation Status in Three Polylepis (Rosaceae) Relict Forests in Peru
by Yakov Quinteros-Gómez, Jehoshua Macedo-Bedoya, Flavia Anlas-Rosado, Sergio Yangua-Evangelista, Franco Angeles-Alvarez, Shirley Azurín-Sotelo, Marcel La Rosa-Sánchez, Doris Gómez-Ticerán, Enoc Jara-Peña, José Campos-De la Cruz, Bruno Padilla-Torres and Iván Fernández-De la Cruz
Plants 2025, 14(22), 3537; https://doi.org/10.3390/plants14223537 - 20 Nov 2025
Viewed by 1394
Abstract
This study assessed the floristic composition, endemism, and conservation status of three relict Polylepis forests (“queñua”) in Oyón, Peru, located between 4000 and 4500 m a.s.l. A total of 150 vascular plant species were recorded, belonging to 100 genera and 47 families. Asteraceae [...] Read more.
This study assessed the floristic composition, endemism, and conservation status of three relict Polylepis forests (“queñua”) in Oyón, Peru, located between 4000 and 4500 m a.s.l. A total of 150 vascular plant species were recorded, belonging to 100 genera and 47 families. Asteraceae (52 spp.) and Poaceae (17 spp.) were the most diverse, while herbs dominated the life-form spectrum (73%). Species richness decreased significantly with elevation (R2 = 0.86, p < 0.001): Zone 3 (4000 m) hosted 100 species, Zone 2 had 52, and Zone 1 had 35. Floristic similarity (Jaccard index) revealed that Zone 3 was the most distinct, sharing as little as 6% of its species with higher zones. Endemism was notable, with 14 species (9.33%), 100% concentrated in Zone 3, which also harbored 71.4% of the 7 species categorized as threatened, including Polylepis incana (CR) and Senecio nutans (VU). These findings identify lower-elevation relicts as critical biodiversity hotspots, likely sustained by milder microclimates and greater habitat heterogeneity. However, ongoing threats from fragmentation, logging, and grazing jeopardize their persistence. Therefore, site-specific conservation strategies that prioritize these lower-altitude hotspots are urgently required. Full article
Show Figures

Figure 1

33 pages, 10093 KB  
Article
Exploring the Agromorphological Profiles of the Cacao (Theobroma cacao L.) Collection from the INIA Germplasm Bank in the Amazonas Region, Peru
by José Jesús Tejada-Alvarado, Nuri Carito Vilca-Valqui, Luis Alberto Montenegro-Acuña, Jhimy Andy Parco-Quinchori and Elizabeth Fernandez
Plants 2025, 14(22), 3536; https://doi.org/10.3390/plants14223536 - 19 Nov 2025
Viewed by 1614
Abstract
Cacao is a strategic crop in Peru due to its significant socioeconomic impact, driving extensive efforts to collect, characterize, and conserve its genetic diversity. This study aimed to establish phenotypic criteria to differentiate and structure the Cacao Amazonas Perú (CAP) germplasm, thereby providing [...] Read more.
Cacao is a strategic crop in Peru due to its significant socioeconomic impact, driving extensive efforts to collect, characterize, and conserve its genetic diversity. This study aimed to establish phenotypic criteria to differentiate and structure the Cacao Amazonas Perú (CAP) germplasm, thereby providing a foundation for selection and breeding programs. A total of 113 accessions from the INIA Germplasm Bank were evaluated over two consecutive growing seasons using 33 quantitative and 18 qualitative agromorphological descriptors. Data were analyzed through univariate and multivariate approaches. The results revealed substantial phenotypic variability, with coefficients of variation reaching up to 37.5% for fruit-related quantitative traits, all exhibiting high heritability values (>60%). Principal component analysis indicated that the first two components explained 29.3% of the total variance, primarily influenced by fruit and seed descriptors. Hierarchical clustering analysis identified eight phenotypic groups; one cluster exhibited high seed mass and a favorable pod index (17.63), while another showed the highest seed index (1.55 g) and the greatest intragroup distance (7.54). This comprehensive characterization highlights accessions with superior agronomic and bioactive potential, providing a robust framework for parental selection, core collection development, and targeted breeding strategies to enhance cacao competitiveness and resilience under changing climatic conditions. Full article
(This article belongs to the Special Issue Characterization and Conservation of Vegetable Genetic Resources)
Show Figures

Figure 1

22 pages, 4695 KB  
Article
Unraveling the Mechanisms of Biebersteinia heterostemon in Improving Hyperlipidemia: A Network Pharmacology, Molecular Docking, and In Vitro Validation in HepG2 Cells
by Xiuxiu Shen, Shengwen Chen, Mengting Zeng and Benyin Zhang
Plants 2025, 14(22), 3535; https://doi.org/10.3390/plants14223535 - 19 Nov 2025
Cited by 1 | Viewed by 1094
Abstract
Biebersteinia heterostemon is a traditional Tibetan medicine known for its antioxidant, hypoglycemic, and anti-atherosclerotic properties. However, its therapeutic effects and mechanisms in the treatment of hyperlipidemia remain unclear. In this study, the ethyl acetate extract of B. heterostemon (BHEE) was first identified as [...] Read more.
Biebersteinia heterostemon is a traditional Tibetan medicine known for its antioxidant, hypoglycemic, and anti-atherosclerotic properties. However, its therapeutic effects and mechanisms in the treatment of hyperlipidemia remain unclear. In this study, the ethyl acetate extract of B. heterostemon (BHEE) was first identified as the most effective lipid-lowering fraction through its inhibitory activity on pancreatic lipase and cholesterol esterase. Chemical characterization of BHEE by UHPLC-MS/MS revealed 108 compounds. Network pharmacology and molecular docking analyses were then employed to predict key active components and signaling pathways involved in BHEE’s lipid-lowering effects. A total of 50 active components and 623 targets were selected from the PubChem, SwissADME, and Swiss Target Prediction databases. These targets were intersected with 1606 hyperlipidemia-related targets from GeneCards, OMIM, and DrugBank, resulting in 144 common targets. The “drug-active component-intersecting target-pathway-HLP” and protein–protein interaction (PPI) networks suggested key active components such as 6-methoxytricin, vulgarin, flazin, ganhuangenin, and eupatorin, and core targets including TNF, IL6, AKT1, PPARG, and EGFR. GO and KEGG pathway enrichment analysis highlighted potential signaling pathways, such as AGE-RAGE, PPAR, insulin resistance, TNF, and lipid and atherosclerosis pathways. Molecular docking further predicted the strong binding affinity between key active components and core targets. At the cellular level, BHEE dose-dependently reduced lipid accumulation in FFA-induced HepG2 cells and improved oxidative stress (CAT, GSH, SOD, MDA) and inflammation (TNF-α, IL-6) markers. In conclusion, BHEE may exert its anti-hyperlipidemic effects through modulation of key targets like TNF, IL6, AKT1, PPARG, and EGFR. These findings suggest a multi-target mechanism, though further experimental validation is necessary to confirm these effects. This study provides valuable insights into the potential application of B. heterostemon as a natural therapeutic agent for hyperlipidemia. Full article
(This article belongs to the Special Issue Efficacy, Safety and Phytochemistry of Medicinal Plants)
Show Figures

Figure 1

20 pages, 16250 KB  
Article
Estimating Maize Leaf Area Index Using Multi-Source Features Derived from UAV Multispectral Imagery and Machine Learning Models
by Hongyan Li, Caixia Huang, Yuze Zhang, Shuai Li, Yu Liu, Kui Yang and Junsheng Lu
Plants 2025, 14(22), 3534; https://doi.org/10.3390/plants14223534 - 19 Nov 2025
Cited by 5 | Viewed by 1157
Abstract
Leaf area index (LAI) is a critical indicator of canopy architecture and physiological performance, serving as a key parameter for crop growth monitoring and management. Although UAV multispectral imagery provides rich spectral and spatial information, the limitations of single texture features for LAI [...] Read more.
Leaf area index (LAI) is a critical indicator of canopy architecture and physiological performance, serving as a key parameter for crop growth monitoring and management. Although UAV multispectral imagery provides rich spectral and spatial information, the limitations of single texture features for LAI estimation still require further exploration. To address this issue, this study developed a multi-source feature fusion framework that integrates vegetation indices (VIs), texture features (TFs), and texture indices (TIs) within a stacked ensemble approach combining Partial Least Squares Regression (PLSR) with Support Vector Machine (SVM), Random Forest (RF), and Gradient Boosting Decision Tree (GBDT) algorithms to estimate maize LAI.A field experiment was conducted under three planting densities (42,000, 63,000, and 84,000 plants ha−1) and four nitrogen rates (0, 80, 160, 240 kg N ha−1) to assess the potential of UAV-based multispectral imagery for maize LAI estimation. The results show that when using partial least squares regression (PLSR) combined with RF, SVM and GBDT to estimate maize LAI, the R2 values are 0.653, 0.697 and 0.634, and the RMSE is 0.650, 0.608 and 0.668, respectively, when only vegetation indices (VIs) is used as input. After texture features (TFs) incorporation, the R2 increases to 0.717, 0.794, and 0.801, and the RMSE decreases to 0.587, 0.500, and 0.492. Further inclusion of the texture indices (TIs) raises the R2 to 0.789, 0.804, and 0.844, with RMSE of 0.506, 0.489, and 0.436, respectively. Independent test set validation under contrasting conditions confirmed that our multi-model fusion framework (PLSR+GBDT) with multi-source feature fusion (VIs+TFs+TIs) effectively estimated LAI, achieving an R2 of 0.859 and 0.794. These results demonstrate that multi-source feature integration via machine learning enables robust and accurate estimation of maize LAI, providing a valuable tool for precision agriculture and crop growth monitoring. Full article
Show Figures

Figure 1

21 pages, 3298 KB  
Article
Sweet Cherry (Prunus avium L.) Response to Self-Regulating Low Energy Clay-Based Irrigation (S.L.E.C.I.) System
by Svetoslav Malchev, Vjekoslav Tanaskovik, Ordan Chukaliev, Daniela Germanova and Georgi Kornov
Plants 2025, 14(22), 3533; https://doi.org/10.3390/plants14223533 - 19 Nov 2025
Cited by 1 | Viewed by 887
Abstract
In early initial tests, the Self-regulating Low-Energy Clay-based Irrigation (S.L.E.C.I.) has provided convincing results. During the DIVAGRI project, S.L.E.C.I. irrigation was plotted against reference drip irrigation and rain-fed control in order to compare soil moisture dynamics across different soil depths (30 cm, 60 [...] Read more.
In early initial tests, the Self-regulating Low-Energy Clay-based Irrigation (S.L.E.C.I.) has provided convincing results. During the DIVAGRI project, S.L.E.C.I. irrigation was plotted against reference drip irrigation and rain-fed control in order to compare soil moisture dynamics across different soil depths (30 cm, 60 cm, and 90 cm), irrigation water use, cherry fruit quality traits and yield, and irrigation water productivity (IWP). The data, collected between 2021 and 2023 at the Fruit Growing Institute–Plovdiv test site, reveals that S.L.E.C.I. system demonstrates a clear robustness from short-term climate fluctuations, maintaining root-zone moisture with greater consistency across depths. This contrasts with higher climate dependency observed in the reference variants. The average water productivity of S.L.E.C.I. irrigation is more than 12 times higher compared with the average IWP for drip irrigation. Probably, the superior ratio stems from two factors: first, S.L.E.C.I. delivered only the water that root tension demanded, and second, there is almost no loss of water to evaporation or deep percolation. Statistical analysis confirms that S.L.E.C.I. reduces variability within the crop, delivering significant improvements in both productivity and uniformity, essential traits for high-value commercial fruit production. Despite facing challenges, S.L.E.C.I. remains a promising sustainable irrigation technology, supporting efficient resource utilization while reducing environmental impact. Full article
(This article belongs to the Special Issue Water and Nitrogen Management in the Soil–Crop System (3rd Edition))
Show Figures

Figure 1

21 pages, 2225 KB  
Article
Biochemical Responses of Atacama and Blesbok Sweet Potato (Ipomoea batatas L.) Cultivars to Early Drought Stress
by Fikile N. Makhubu, Lebogang E. Siviya, Molemi E. Rauwane, Sunette M. Laurie, Ntakadzeni E. Madala and Sandiswa Figlan
Plants 2025, 14(22), 3532; https://doi.org/10.3390/plants14223532 - 19 Nov 2025
Cited by 2 | Viewed by 1140
Abstract
Sweet potato is a nutrient-dense crop with the potential to improve food security, yet its productivity is constrained by drought stress. Metabolic profiling in sweet potato, particularly in response to abiotic stress, remains poorly understood, with limited knowledge on the metabolites contributing to [...] Read more.
Sweet potato is a nutrient-dense crop with the potential to improve food security, yet its productivity is constrained by drought stress. Metabolic profiling in sweet potato, particularly in response to abiotic stress, remains poorly understood, with limited knowledge on the metabolites contributing to drought response. The study aimed to profile and compare metabolites in drought-tolerant (cv Atacama) and drought-susceptible (cv Blesbok) sweet potato cultivars under water-deficient conditions. The cultivars were grown in a rainout shelter during the 2024 growing season at the Agricultural Research Council-Vegetable and Industrial Medicinal Plant (ARC-VIMP). The trial was laid out in a randomized block design with a plot size of 242 m squared with three drought treatment conditions, i.e., 30%, 50%, and 70% field capacity (FC). After two weeks of drought stress imposition, leaf samples were collected and analyzed for metabolite changes using untargeted ultra-performance liquid chromatography-mass spectrometry (UPLC-MS). Using chemometrics analysis, mainly using principal component analysis (PCA) and orthogonal partial least squares discriminant analysis (OPLS-DA), significant separation was shown between the three drought stress conditions and the two cultivars, highlighting variable metabolic accumulation. Ten significantly regulated metabolites were identified (VIP > 1, p < 0.05), with the most pronounced log2 fold changes observed for kaempferol-3-O-galactoside (3.48), chlorogenic acid (3.34), glc-glc-octadecatrienoyl-sn-glycerol (3.14), and apigenin-7-O-β-D-neohesperidoside (2.71). Metabolite concentration varied in the two cultivars, although most were positively correlated with Atacama. Enriched pathways included flavonoid biosynthesis, zeatin biosynthesis, and starch and sucrose metabolism. These findings highlight cultivar-specific metabolic responses and propose candidate biomarkers for breeding drought-tolerant sweet potato. Full article
(This article belongs to the Special Issue Plants 2025—from Seeds to Food Security)
Show Figures

Figure 1

6 pages, 185 KB  
Editorial
Decoding the Dual Defense: Mechanistic Insights into Antioxidant and Anti-Inflammatory Phytochemicals
by Seok-Geun Lee
Plants 2025, 14(22), 3531; https://doi.org/10.3390/plants14223531 - 19 Nov 2025
Cited by 1 | Viewed by 782
Abstract
Chronic diseases such as diabetes, cardiovascular disease, neurodegeneration, and cancer share a common pathogenic thread: they are driven by excessive oxidative stress and unchecked inflammatory responses [...] Full article
18 pages, 4174 KB  
Article
Exogenous Plant Growth-Promoting Rhizobacteria Enhance the Promoting Effect of Polyaspartic Acid on Potato Growth by Improving Rhizosphere Nutrient Availability and Reshaping Microbial Community
by Xin Zhou, Xia Zhu, Xiangquan Fan, Xueli Huang, Haiyan Ma, Hafsa Nazir Cheema, Kaiqin Zhang and Shunlin Zheng
Plants 2025, 14(22), 3530; https://doi.org/10.3390/plants14223530 - 19 Nov 2025
Viewed by 1302
Abstract
Polyaspartic acid (PASP), a biodegradable and eco-friendly fertilizer synergist that shows potential to enhance nutrient use efficiency in agricultural systems, has its integrative role with rhizosphere microorganisms remain insufficiently explored. This study integrated outdoor pot experiments, soil biochemical analysis, and microbiome sequencing to [...] Read more.
Polyaspartic acid (PASP), a biodegradable and eco-friendly fertilizer synergist that shows potential to enhance nutrient use efficiency in agricultural systems, has its integrative role with rhizosphere microorganisms remain insufficiently explored. This study integrated outdoor pot experiments, soil biochemical analysis, and microbiome sequencing to investigate the effects of co-application of PASP and the plant growth-promoting rhizobacterium (PGPR) Enterobacter asburiae S13 on potato growth, with four treatments set up including blank control (CK), sole application of PASP (S0P1), sole inoculation of PGPR (S1P0), and co-application of PASP and PGPR (S1P1), and 25 pots per treatment as replicates. The results showed that, compared with the S0P1 treatment, the S1P1 treatment significantly increased plant height (9.59%), stem diameter (28.39%), root length (38.61%), as well as root and shoot biomass (21.26% and 25.17%, respectively) (ANOVA, Duncan’s test, p < 0.05). It also enhanced ammonium nitrogen (40.00%), nitrate nitrogen (57.70%), available potassium (47.56%), and urease activity in the rhizosphere soil (ANOVA, Duncan’s test, p < 0.05). 16S rRNA sequencing revealed that the S1P1 treatment enriched beneficial taxa such as Paucibacter and Massilia, while suppressing competitive genera such as Duganella and Pedobacter. Redundancy analysis (RDA) indicated that available potassium and ammonium nitrogen were the key factors shaping the microbial community structure. In conclusion, combining PASP with PGPR synergistically improves soil nutrient availability and reshapes the rhizosphere microbiome, resulting in enhanced potato growth, thus demonstrating its potential as a dual-function biostimulant for eco-efficient and sustainable potato production systems. Full article
(This article belongs to the Section Plant–Soil Interactions)
Show Figures

Graphical abstract

12 pages, 992 KB  
Article
Changes in Chlorophyll a Fluorescence in Ipomoea batatas (Convolvulaceae) Genotypes Under Attack by Bedellia somnulentella (Lepidoptera: Bedelliidae)
by Maria J. S. Cabral, Rodrigo A. Pinheiro, Isabel M. Silva, William S. B. Ngamgna, Marcio Schmiele, Germano L. Demolin Leite, Muhammad Haseeb and Marcus A. Soares
Plants 2025, 14(22), 3529; https://doi.org/10.3390/plants14223529 - 19 Nov 2025
Cited by 3 | Viewed by 690
Abstract
Sweet potato, Ipomoea batatas (L.) Lam., is a major food crop in developing countries and is considered essential for the food security of low-income populations. Among the factors limiting its production is the pest Bedellia somnulentella (Zeller) (Lepidoptera: Bedelliidae), recently recorded in Brazil, [...] Read more.
Sweet potato, Ipomoea batatas (L.) Lam., is a major food crop in developing countries and is considered essential for the food security of low-income populations. Among the factors limiting its production is the pest Bedellia somnulentella (Zeller) (Lepidoptera: Bedelliidae), recently recorded in Brazil, and for which no chemical control methods are available. Therefore, understanding the physiological changes caused by this pest attack is important to support management strategies. The objective was to evaluate chlorophyll a fluorescence parameters in eleven sweet potato genotypes subjected or not to B. somnulentella attack. A completely randomized design (CRD) was used, consisting of eleven treatments and twenty replicates. Initial fluorescence (F0), maximum fluorescence (Fm), maximum/minimum fluorescence (Fm/F0), variable fluorescence/maximum fluorescence ratio (Fv/Fm), and electron transport rate (ETR) were analyzed. In most of the genotypes evaluated, a reduction in F0 was observed under attack by B. somnulentella, indicating photosynthetic stress, except in genotypes UFVJM 08, 18 and 291. Non-injured plants presented Fv/Fm values between 0.51 and 0.75, while attacked genotypes exhibited reduced values (0.35 to 0.53). ETR was also lower in damaged plants, evidencing photosynthetic stress. The results demonstrated a negative correlation between Fm/F0, Fv/Fm and F0. UFVJM 08, UFVJM 18, UFVJM 291, Brazlândia branca and Rubissol genotypes exhibited greater stability, maintaining more balanced fluorescence responses under pest pressure. Physiological differences between genotypes may reflect agronomic responses in the field. Full article
(This article belongs to the Special Issue Practical Applications of Chlorophyll Fluorescence Measurements)
Show Figures

Figure 1

16 pages, 1991 KB  
Article
Stress Adaptation Phenomena of Rhododendron Species in Alpine Tundra and Timberline of Changbai Mountain: Physiological Traits and Molecular Evolution
by Zhongzan Yang, Jian You, Jiangnan Li, Wei Zhao, Ming Xing, Yujiao Zhang, Cui Ma, Yuqiao Gong, Yueming Zhao, Alimu Wubuli and Xia Chen
Plants 2025, 14(22), 3528; https://doi.org/10.3390/plants14223528 - 19 Nov 2025
Viewed by 1016
Abstract
In the context of climate change, Rhododendron species are pivotal in sustaining the stability of alpine ecosystems. Within alpine tundra (elevation > 2200 m) and timberline (elevation ~ 2000 m) regions of Changbai Mountain, the three studied Rhododendron species (Rhododendron aureum, [...] Read more.
In the context of climate change, Rhododendron species are pivotal in sustaining the stability of alpine ecosystems. Within alpine tundra (elevation > 2200 m) and timberline (elevation ~ 2000 m) regions of Changbai Mountain, the three studied Rhododendron species (Rhododendron aureum, Rhododendron lapponicum, and Rhododendron redowskianum) are prevalent; their mechanisms of adaptation to high-altitude environments remain insufficiently understood. This study employed an integrative approach, combining soil chemical analysis, physiological assessments, and molecular evolutionary analysis, to investigate phenotypic plasticity and genetic adaptation of these Rhododendron species. Both habitats demonstrated oligotrophic characteristics, with no significant differences (p > 0.05) observed in the concentrations of soil total organic carbon (TOC), ammonium nitrogen (NH4+-N), nitrate nitrogen (NO3-N), and available phosphorus (AP). Nonetheless, soil nutrient variability was more marked in timberline. Physiological traits, including malondialdehyde (MDA), soluble sugar, proline, and soluble protein, exhibited species-specific patterns; for example, R. redowskianum displayed elevated proline content in the timberline habitat, although no consistent inter-habitat trends were identified. From a total of 1995 orthogroups analysed, we identified 279 positively selected genes (PSGs, dN/dS > 1). These genes were found to be enriched in GO terms associated with DNA replication, amino acid transport, and pathway of nucleocytoplasmic transport. The study highlights tissue development and reproduction as primary evolutionary trajectories, while identifying cold stress as a significant environmental selection pressure. This research elucidates Rhododendron’s alpine adaptability and provides insights into alpine plant adaptation mechanisms and species conservation under climate change. Full article
(This article belongs to the Special Issue Molecular Regulation of Plant Stress Responses)
Show Figures

Figure 1

17 pages, 1924 KB  
Article
Comparison of the Genetic Basis of Yield Traits Between Main and Ratoon Rice in an Eight-Way MAGIC Population
by Zhongmin Han, Ahmed Sherif, Mohammed Ayaad, Yongzhong Xing and Yuncai Lu
Plants 2025, 14(22), 3527; https://doi.org/10.3390/plants14223527 - 19 Nov 2025
Cited by 1 | Viewed by 847
Abstract
Ratoon rice plays a crucial role in sustainable rice production due to its potential for additional harvests; however, the genetic basis of its yield remains to be explored. In this study, we aimed to precisely dissect the genetic basis of yield in ratoon [...] Read more.
Ratoon rice plays a crucial role in sustainable rice production due to its potential for additional harvests; however, the genetic basis of its yield remains to be explored. In this study, we aimed to precisely dissect the genetic basis of yield in ratoon rice by selecting 302 eight-way MAGIC lines that achieved synchronized heading within a 10-day period through staggered sowing. The eight parental lines exhibited distinct yield performances across both main and ratoon crops. Significant correlations were observed between the main and ratoon crops concerning panicle length (R = 0.67) and spikelets per panicle (R = 0.36). Genome-wide association studies (GWAS) revealed a total of 17 quantitative trait loci (QTLs) associated with five yield-related traits in both main and ratoon crops. Specifically, seven QTLs were detected for yield components in the main crop, while six QTLs were identified in the ratoon crop, in addition to five QTLs associated with ratooning ability. Notably, only one QTL, qPL1, was commonly detected in both crops, exhibiting opposite effects on tiller number across crop types. Among the QTLs specifically identified in the ratoon crop, qGY10 demonstrated the largest effect on ratoon grain yield without compromising the performance of the main crop. The known gene, Ghd7.1, exhibited pleiotropic effects on both ratooning ability and ratoon grain yield. Candidate gene analysis prioritized likely causal genes and defined key haplotypes within these QTL intervals by leveraging the genomic diversity of the eight founders. These findings underscore the distinct genetic determinants for yields in main and ratoon crops, providing a genetic basis for breeding high-yielding varieties in both crop types. Full article
(This article belongs to the Special Issue Advances in Genome-Wide Studies of Complex Agronomic Traits in Crops)
Show Figures

Figure 1

17 pages, 10021 KB  
Article
Mango Fructokinases Inhibit Sugar Accumulation and Enhance Energy Metabolism in Transgenic Tomato
by Bin Zheng, Songbiao Wang, Hongxia Wu, Xiaowei Ma, Wentian Xu, Kunliang Xie, Meng Gao, Yanan Wang, Chengming Yan, Zixin Meng and Li Li
Plants 2025, 14(22), 3526; https://doi.org/10.3390/plants14223526 - 19 Nov 2025
Viewed by 810
Abstract
Sugar content critically determines mango fruit quality and varies significantly among varieties. Preliminary studies indicate that fructokinases (MiFRKs) MiFRK1 and MiFRK2 likely regulate intervarietal sugar variation. We characterized these MiFRKs using heterologous expression in tomato. Both isoforms phosphorylate fructose, promoting downstream [...] Read more.
Sugar content critically determines mango fruit quality and varies significantly among varieties. Preliminary studies indicate that fructokinases (MiFRKs) MiFRK1 and MiFRK2 likely regulate intervarietal sugar variation. We characterized these MiFRKs using heterologous expression in tomato. Both isoforms phosphorylate fructose, promoting downstream catabolism, with R-MiFRK2 (from low-sugar ‘Renong No. 1’) exhibiting higher activity than T-MiFRK2 (high-sugar ‘Tainong No. 1’) and MiFRK1. Transcriptomic and metabolic analyses reveal that MiFRK overexpression inhibits sugar accumulation by altering the expression of key metabolic genes, including sucrose degradation enzymes (invertases), starch breakdown genes (β-amylases), and glycolytic genes (enolases). Intriguingly, MiFRK1 and MiFRK2 exhibit distinct regulatory effects on these pathways, suggesting functional specialization between the two isoforms. These findings provide novel insights into the molecular mechanisms through which MiFRKs govern sugar metabolism in mango, highlighting their potential as key targets for metabolic engineering to enhance fruit quality. Full article
(This article belongs to the Special Issue Horticultural Plant Physiology and Molecular Biology—2nd Edition)
Show Figures

Figure 1

17 pages, 4383 KB  
Article
Fine Mapping of qSPJ_1 and Candidate Gene Identification for Soybean Seed Protein Content
by Jiayuan Chen, Jianguo Xie, Guang Li, Mingzhe Shen, Yuhong Zheng, Fanfan Meng, Xuhong Fan, Xingmiao Sun, Yunfeng Zhang, Mingliang Wang, Zhenyu Yang, Xin Xiong, Qiao Wang, Shuming Wang and Hongwei Jiang
Plants 2025, 14(22), 3525; https://doi.org/10.3390/plants14223525 - 19 Nov 2025
Viewed by 834
Abstract
Soybean (Glycine max L. Merr.) is rich in proteins, fats, and other nutrients, and the genetic improvement of soybean protein content has long been a key research focus in breeding programs. Based on the chromosome segment substitution line (CSSL) population, this study [...] Read more.
Soybean (Glycine max L. Merr.) is rich in proteins, fats, and other nutrients, and the genetic improvement of soybean protein content has long been a key research focus in breeding programs. Based on the chromosome segment substitution line (CSSL) population, this study screened target lines within this population using genotypic and phenotypic information to establish an initial mapping population for soybean seed protein content. Through single-marker analysis, a quantitative trait locus (QTL) interval was mapped to the region between 26,705,080 bp and 33,180,908 bp on chromosome 16, designated as qSPJ_1. A secondary segregating population was constructed based on the initial mapping results for fine mapping, which narrowed the interval to 0.076 Mb. A total of 9 candidate genes were identified within this interval. By comparing amino acid and promoter sequences between the two parents, performing quantitative real-time PCR (qRT-PCR) analysis, and conducting haplotype analysis, Glyma.16G165100 was preliminarily predicted as a candidate gene affecting soybean seed protein content. The single nucleotide polymorphism (SNP) variation sites in its promoter region were significantly associated with the variation in protein content in the resource population. This study provides important theoretical guidance for dissecting the genetic mechanism of soybean seed protein content and advancing its breeding improvement. Full article
(This article belongs to the Section Plant Genetics, Genomics and Biotechnology)
Show Figures

Figure 1

24 pages, 5192 KB  
Article
Growth, Physiology and Yield of Traditional Cowpea Varieties Under Salt Stress Using Exogenous Magnesium
by Antonio Sávio dos Santos, Miguel Ferreira Neto, Hayanne Ywricka de Araújo Melo, Ricardo André Rodrigues Filho, Francisca das Chagas de Oliveira, Joyce Fernandes de Medeiros, Clara Araújo da Silva, Paula Cristina de Morais Rosario, José Francismar de Medeiros, Nildo da Silva Dias, Tayd Dayvison Custódio Peixoto, Josinaldo Lopes Araújo, Alberto Soares de Melo, Alex Álvares da Silva and Francisco Vanies da Silva Sá
Plants 2025, 14(22), 3524; https://doi.org/10.3390/plants14223524 - 19 Nov 2025
Cited by 1 | Viewed by 735
Abstract
Salinization is one of the main environmental challenges affecting agriculture in semi-arid regions. We evaluated the feasibility of foliar magnesium and its effects at different doses on the acclimation of cowpea varieties under salt stress. The experiment occurred in a greenhouse using a [...] Read more.
Salinization is one of the main environmental challenges affecting agriculture in semi-arid regions. We evaluated the feasibility of foliar magnesium and its effects at different doses on the acclimation of cowpea varieties under salt stress. The experiment occurred in a greenhouse using a randomized block design in a 2 × 3 × 4 factorial scheme, with five replicates. Two cowpea varieties—‘Pingo de Ouro’ and ‘Costela de Vaca’—were subjected to three salinity levels in irrigation water (0.54, 3.50, and 5.00 dS m−1) and four foliar magnesium (Mg) doses (0, 1, 2, and 3 mL L−1). Under 3.50 dS m−1 salinity, the 1 mL L−1 dose resulted in the highest yield per plant (18.29 g). CO2 assimilation was highest with 2 mL L−1 Mg at 3.50 dS m−1 for ‘Costela de Vaca’, and with 1 mL L−1 Mg at 5.00 dS m−1 for ‘Pingo de Ouro’. The ‘Pingo de Ouro’ variety was more tolerant to ‘Costela de Vaca’. Foliar Mg fertilization proved to be a promising strategy to mitigate the effects of salt stress in cowpea, especially for ‘Pingo de Ouro’. Magnesium effectively reduces salt stress, but its effect varies by plant variety and irrigation salinity, necessitating customized dose adjustments. Full article
Show Figures

Figure 1

17 pages, 3395 KB  
Article
Phenolic-Rich Extracts of Galenia africana and Tulbaghia violacea Accelerate Keratinocyte Migration and Mitigate Oxidative Stress to Enhance Wound Healing
by Banele Ndlovu, Randall Fisher and Farzana Fisher (née Rahiman)
Plants 2025, 14(22), 3523; https://doi.org/10.3390/plants14223523 - 19 Nov 2025
Viewed by 1307
Abstract
The rising prevalence of chronic burn wounds in South Africa places a significant burden on healthcare, driving the search for cost-effective, alternative treatments. Despite their long history of traditional use for skin ailments, the specific wound healing mechanisms of South African species Galenia [...] Read more.
The rising prevalence of chronic burn wounds in South Africa places a significant burden on healthcare, driving the search for cost-effective, alternative treatments. Despite their long history of traditional use for skin ailments, the specific wound healing mechanisms of South African species Galenia africana L. and Tulbaghia violacea Harv. remain scientifically unvalidated, representing a critical knowledge gap and a novel area of inquiry. This study sought to evaluate the physiological and cellular effects of these plant extracts, specifically investigating their influence on keratinocyte function and oxidative stress. Initial analysis of crude ethanolic extracts confirmed the presence of key phenolic compounds like ferulic acid and rutin in both plants, with G. africana exhibiting a stronger overall radical-scavenging activity. In vitro assays were performed on the human keratinocyte (HaCaT) cell line. Both G. africana and T. violacea extracts significantly enhanced cell viability (at 40–80 μg/mL) and demonstrably reduced intracellular reactive oxygen species (ROS) levels, indicating a protective antioxidant effect. Critically, in the scratch wound assay, both extracts significantly accelerated cell migration and wound closure, achieving 76% (G. africana) and 88% (T. violacea) closure within 24 h. These findings suggest that G. africana and T. violacea extracts act to support keratinocyte proliferation and migration while simultaneously mitigating oxidative cellular damage. This work provides an important mechanistic basis supporting the traditional use of these specific, regionally important plants and highlights their high therapeutic potential as novel, cost-effective agents to accelerate skin repair and recovery. Full article
Show Figures

Figure 1

13 pages, 1589 KB  
Article
Genome-Wide Development and Characterization of 169 gSSR Markers in the Invasive Plant Xanthium strumarium L.
by Junshuang Yin, Qingyao Bai, Yiting Mao, Hui Min, Chunsha Zhang, Yibo Sun, Xiaojia Zhang and Yulong Feng
Plants 2025, 14(22), 3522; https://doi.org/10.3390/plants14223522 - 18 Nov 2025
Viewed by 620
Abstract
Xanthium strumarium L. is a plant species native to North America; however, it has become a serious invasive threat in northern China due to its great environmental adaptability in the colonized regions. Therefore, elucidating its genetic traits is crucial to understanding its adaptive [...] Read more.
Xanthium strumarium L. is a plant species native to North America; however, it has become a serious invasive threat in northern China due to its great environmental adaptability in the colonized regions. Therefore, elucidating its genetic traits is crucial to understanding its adaptive success. Simple sequence repeats (SSRs) comprise 1–6 nucleotides within plant genomes, which are available for evaluating the level of plant genetic diversity. However, the comprehensive analysis of high-coverage SSR markers in Xanthium is limited. This study identified 450,847 SSR loci in the X. strumarium genome. The number of SSR loci decreased with increasing SSR length within the range of 10–100 bp. Dinucleotide repeats constituted the majority (49.81%), totaling 221,154, with AT/TA motifs being the most frequent (66.62%). We developed 169 gSSR markers covering all X. strumarium chromosomes, with 5–15 markers per chromosome. Moreover, the number of different alleles (Na), number of effective alleles (Ne), Shannon’s information index (I), observed heterozygosity (Ho), expected heterozygosity (He), and polymorphism information content (PIC) were varied from 1.2 to 3.3, 1.077 to 2.385, 0.087 to 0.903, 0 to 1, 0.056 to 0.558, and 0.161 to 0.853, respectively. This marks the first systematic development of high-coverage SSR markers in the genus Xanthium, which increases the number of available SSR markers and reveals the molecular foundation of adaptation to invasion. Full article
(This article belongs to the Section Plant Molecular Biology)
Show Figures

Figure 1

18 pages, 1159 KB  
Review
Cannabidiol’s Antioxidant Properties in Skin Care Products and Legislative Regulations
by Maria Fafaliou, Apostolos Papadopoulos, Panagoula Pavlou and Athanasia Varvaresou
Plants 2025, 14(22), 3521; https://doi.org/10.3390/plants14223521 - 18 Nov 2025
Viewed by 1706
Abstract
Cannabidiol (CBD) has garnered interest in its potential antioxidant properties in skin care. This review synthesizes the current literature exploring CBD’s role as an antioxidant and anti-inflammatory cosmetic ingredient and its impact on skin health. CBD exhibits antioxidant effects by scavenging free radicals, [...] Read more.
Cannabidiol (CBD) has garnered interest in its potential antioxidant properties in skin care. This review synthesizes the current literature exploring CBD’s role as an antioxidant and anti-inflammatory cosmetic ingredient and its impact on skin health. CBD exhibits antioxidant effects by scavenging free radicals, reducing oxidative stress, and mitigating inflammation, all of which contribute to aging and skin conditions like acne and dermatitis. CBD interacts with the endocannabinoid system and other cellular pathways to bolster antioxidant defenses in skin cells. The search engines were Google Scholar, Scopus, and PubMed. The search was performed using the main keywords “liposomal CBD and keratinocytes”, “antioxidant properties of CBD and keratinocytes”, “anti-inflammatory activity of CBD and keratinocytes”, “CBD and cosmetics”, “CBD and skin care products”, and “CBD and cosmetic products regulation” for the period 2018–2025. The period for the search of the literature was chosen based on the legalization of medical cannabis. Its non-psychoactive nature and favorable safety profile make CBD a compelling candidate for inclusion in skin care formulations seeking natural and effective antioxidant solutions. As consumer demand for botanical-based skin care rises, CBD stands out for its promising therapeutic benefits and potential applications in anti-aging and dermatological treatments. Despite its benefits, using CBD in cosmetics is not without its challenges. The varying legal status of CBD in various jurisdictions is confusing to both the cosmetic industry and consumers. Some jurisdictions allow CBD to be derived from hemp, while others may prohibit its use. The legal and regulatory status of CBD is a constantly changing matter. The purpose of the article is to review the liposomal forms of encapsulated CBD to increase its percutaneous absorption and therefore its antioxidant, anti-inflammatory effect on keratinocytes. Liposomal CBD firstly bypasses the problems of insolubility of free radicals and secondly protects it from various exogenous oxidizing agents, while maintaining its activity. CBD is a valuable antioxidant agent in skin care science, suggesting avenues for further research and product development. Full article
(This article belongs to the Section Phytochemistry)
Show Figures

Figure 1

60 pages, 6040 KB  
Review
An Overview of Orchidaceae from Brazil: Advances and Shortfalls After 400 Years of Studies
by Edlley M. Pessoa, Adriane M. Araújo, Felipe F. V. A. Barberena, João A. N. Batista, Adarilda P. Benelli, João S. P. Bento, Eduardo L. Borba, Antônio Edmilson Camelo-Júnior, Patrick C. Cantuária, Letícia W. Cavalcanti, Márlon C. S. Cintra, Mathias Engels, Lucas H. J. Feitoza, Leonardo P. Felix, Alessandro W. C. Ferreira, Cecilia F. Fiorini, Leonardo R. S. Guimarães, Viviane P. Klein, Ana Kelly Koch, Samantha Koehler, Amauri H. Krahl, Dayse R. P. Krahl, Bárbara S. S. Leal, Arthur Macedo, Isabel C. S. Machado, Anna Victoria S. R. Mauad, Juliana L. S. Mayer, Thiago E. C. Meneguzzo, Luiz Menini Neto, Ana Paula Moraes, Paulo Milet-Pinheiro, Felipe Nollet, Eliana M. Oliveira, Miguel S. Oliveira, Emerson R. Pansarin, Fábio Pinheiro, Carla A. Royer, Igor S. Santos, Viviane Silva-Pereira, Eric C. Smidt, Tiago L. Vieira, Luciano R. Zandoná, Danilo Zavatin and Cássio van den Bergadd Show full author list remove Hide full author list
Plants 2025, 14(22), 3520; https://doi.org/10.3390/plants14223520 - 18 Nov 2025
Cited by 3 | Viewed by 3734
Abstract
The historical background of studies on Brazilian Orchidaceae dates back almost 400 years. In this review, we provide an overview of the current knowledge on Brazilian Orchidaceae across three thematic axes: 1. diversity, distribution, and endemism; 2. taxonomy and systematics; and 3. structural, [...] Read more.
The historical background of studies on Brazilian Orchidaceae dates back almost 400 years. In this review, we provide an overview of the current knowledge on Brazilian Orchidaceae across three thematic axes: 1. diversity, distribution, and endemism; 2. taxonomy and systematics; and 3. structural, genetic, and ecological characterization. Brazil harbors five naturalized and 202 native genera, of which 23 are endemic to the country. There are currently 2515 accepted species (out of 9907 species names). Among the 7218 synonyms, 3915 are heterotypic, yielding a synonymy rate of 60.9%. Brazil is the second country in orchid endemism with 1540 endemic species. Apostasioideae is not present in Brazil, but the remaining four orchid subfamilies are represented by 16 tribes and 23 subtribes. The richest phytogeographic domain is the Atlantic Forest (1398 spp.), followed by the Amazon Forest (784 spp.) and Cerrado (656 spp.). The richest subtribes are Pleurothallidinae (642 spp.), Laeliinae (397 spp.), and Oncidiinae (283 spp.). Moving beyond a purely taxonomic and phylogenetic framework, this work offers a comprehensive synthesis of Brazilian Orchidaceae, encompassing the state of the art in cytogenetics, anatomy, population genetics, reproductive biology, and pollination. Despite these advances, there are pronounced disparities among regions, taxa, and research approaches. The persistence of these shortfalls highlights the urgent need for integrative research frameworks. Future progress in Brazilian orchidology depends on the strengthening of collaborative networks and interdisciplinary approaches. Full article
(This article belongs to the Special Issue New Perspectives on Plant Biogeography, Systematics, and Taxonomy)
Show Figures

Figure 1

20 pages, 3606 KB  
Article
Sulfur Enhances Rice Cadmium Accumulation in Organic Deficient Soil: The Significance of Incorporation with Straw
by Guoxi Wang, Lan Zhang, Yan Wang, Xia Jiang and Kun Wang
Plants 2025, 14(22), 3519; https://doi.org/10.3390/plants14223519 - 18 Nov 2025
Viewed by 960
Abstract
Application of wheat straw could contribute to a sulfur-driven reduction in cadmium (Cd) bioavailability under reducing conditions induced by organic matter degradation. A pot experiment was conducted in organic matter deficient paddy soil under waterlogged conditions to assess the effects of sulfur (S, [...] Read more.
Application of wheat straw could contribute to a sulfur-driven reduction in cadmium (Cd) bioavailability under reducing conditions induced by organic matter degradation. A pot experiment was conducted in organic matter deficient paddy soil under waterlogged conditions to assess the effects of sulfur (S, 30 mg kg−1), wheat straw (W, 1.0%), and their combination (WS) on Cd availability and accumulation in rice (Oryza sativa L.). Sulfur application alone increased Cd uptake in rice, whereas straw addition significantly reduced Cd accumulation, with WS achieving the greatest reduction. The mitigating effect was attributed to CdS precipitation and co-precipitation with FeS/FeS2 under straw amendment, as well as enhanced iron plaque formation on roots, which restricted Cd uptake. In contrast, in OM-deficient soil, sulfate promoted Cd mobilization in pore water due to limited electron supply for sulfate reduction. Compared with other sulfur forms, sulfate is more readily absorbed by rice, thereby synergistically enhancing Cd uptake by rice and promoting Cd translocation in different rice tissues. However, straw amendment supported reduction in sulfate, reducing Cd uptake by rice compared with S supplement alone. Overall, wheat straw amendment enhanced sulfur-mediated immobilization of Cd and effectively decreased Cd accumulation in rice. Full article
(This article belongs to the Section Plant Response to Abiotic Stress and Climate Change)
Show Figures

Figure 1

Previous Issue
Back to TopTop