-
A Look Under the Carpet of a Successful Eradication Campaign Against Small Ruminant Lentiviruses -
A Novel Parvovirus Associated with the Whitefly Bemisia tabaci -
EmsB Microsatellite Analysis of Echinococcus multilocularis Specimens Isolated from Belgian Patients with Alveolar Echinococcosis and from Animal Hosts -
The Epidemiology of Coccidioidomycosis (Valley fever) and the Disease Ecology of Coccidioides spp. in New Mexico (2006–2023) -
Acute HSV-1 Ocular Infection Is Impaired in KLF15 Knockout Mice but Stress-Induced Reactivation from Latency Is Prolonged in Male KLF15 Knockout Mice
Journal Description
Pathogens
Pathogens
is an international, peer-reviewed, open access journal on pathogens and pathogen-host interactions published monthly online by MDPI.
- Open Access— free for readers, with article processing charges (APC) paid by authors or their institutions.
- High Visibility: indexed within Scopus, SCIE (Web of Science), PubMed, MEDLINE, PMC, Embase, PubAg, CaPlus / SciFinder, AGRIS, and other databases.
- Journal Rank: JCR - Q2 (Microbiology) / CiteScore - Q1 (Infectious Diseases)
- Rapid Publication: manuscripts are peer-reviewed and a first decision is provided to authors approximately 13.5 days after submission; acceptance to publication is undertaken in 2.6 days (median values for papers published in this journal in the first half of 2025).
- Recognition of Reviewers: reviewers who provide timely, thorough peer-review reports receive vouchers entitling them to a discount on the APC of their next publication in any MDPI journal, in appreciation of the work done.
- Companion journals for Pathogens include: Parasitologia and Bacteria.
Impact Factor:
3.3 (2024);
5-Year Impact Factor:
3.6 (2024)
Latest Articles
Toxocara Seroprevalence in Europe and Considerations for Future Research
Pathogens 2025, 14(11), 1117; https://doi.org/10.3390/pathogens14111117 (registering DOI) - 3 Nov 2025
Abstract
Toxocarosis is one of the most widespread zoonotic parasitic diseases, caused by Toxocara canis and Toxocara cati. Studying the epidemiological situation is a real challenge for specialists in the field worldwide. The aim of this study was to highlight the epidemiological aspects
[...] Read more.
Toxocarosis is one of the most widespread zoonotic parasitic diseases, caused by Toxocara canis and Toxocara cati. Studying the epidemiological situation is a real challenge for specialists in the field worldwide. The aim of this study was to highlight the epidemiological aspects of the prevalence rate in Europe, and we found that the distribution of Toxocara infection is uneven, depending on geographical, climatic and socio-economic factors. Currently, there is a continuous spread of this parasite in many regions, including economically developed countries, but the exact prevalence is not known because there are no regular reports and statistical evidence regarding toxocarosis. The presence of nonspecific symptoms and subclinical disease may delay diagnosis and treatment, with long-term implications for the patient, and because of this, we discussed the possible Toxocara detection methods, with several novel and interesting approaches. Toxocarosis is included among the neglected parasitic diseases, requiring seroprevalence studies to be carried out to develop programs to reduce the frequency of this parasitosis.
Full article
(This article belongs to the Special Issue Parasitic Diseases in the Contemporary World)
Open AccessArticle
Construction of a Risk Assessment Model for Short-Term Mortality in Patients with Invasive Fungal Diseases Post-Cardiac Surgery Based on Multivariate Analysis
by
Dong Wei, Qi Shen and Qian Zhai
Pathogens 2025, 14(11), 1116; https://doi.org/10.3390/pathogens14111116 (registering DOI) - 3 Nov 2025
Abstract
To develop and validate a predictive model for assessing the risk of short-term mortality in patients with invasive fungal diseases (IFDs) following cardiac surgery. This retrospective study analyzed clinical data from patients diagnosed with postoperative IFDs in the cardiac surgical intensive care unit
[...] Read more.
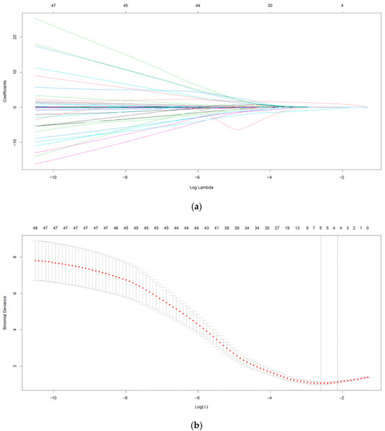
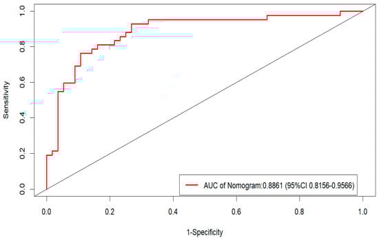
To develop and validate a predictive model for assessing the risk of short-term mortality in patients with invasive fungal diseases (IFDs) following cardiac surgery. This retrospective study analyzed clinical data from patients diagnosed with postoperative IFDs in the cardiac surgical intensive care unit (ICU) of Qilu Hospital of Shandong University (QLH), between January 2020 and December 2023. A total of 98 patients were included and divided into a non-survival group (n = 42) and a survival group (n = 56) based on 28-day mortality. Demographic, clinical, and postoperative parameters were collected. The Least Absolute Shrinkage and Selection Operator (LASSO) regression was used for variable selection, and selected variables were then entered into multivariate logistic regression to identify independent risk factors. A nomogram was developed, and its predictive performance was evaluated using the receiver operating characteristic (ROC) curve, decision curve analysis (DCA), and clinical impact curve (CIC). Multivariate logistic regression, following variable selection by LASSO, identified a history of smoking, an elevated SOFA score, mean arterial pressure (MAP) below 70 mmHg, and tachyarrhythmia as independent risk factors for short-term mortality in this cohort (p < 0.05). The prediction model demonstrated excellent discrimination, with an area under the ROC curve (AUC) of 0.886 (95% CI: 0.816–0.957). The calibration curve showed good agreement between predicted and observed outcomes, with a mean absolute error of 0.023. Decision curve analysis indicated a net clinical benefit across a threshold probability range of 0.1 to 0.87. The clinical impact curve confirmed a high concordance between predicted mortality and actual outcomes. A history of smoking, an elevated SOFA score, MAP below 70 mmHg, and tachyarrhythmia independently predict short-term mortality in patients with IFDs after cardiac surgery. Therefore, the nomogram constructed from these factors provides an accurate and clinically applicable tool for risk stratification.
Full article
(This article belongs to the Topic Pathophysiology and Clinical Management of Fungal Infections)
►▼
Show Figures

Figure 1
Open AccessArticle
Seroprevalence of Tick-Borne Encephalitis Virus in Latvia Using Standard and Subtype-Specific NS1-Based ELISA Assays
by
Zane Freimane, Gerhard Dobler, Guntis Karelis, Lidia Chitimia-Dobler, Oksana Savicka and Dace Zavadska
Pathogens 2025, 14(11), 1115; https://doi.org/10.3390/pathogens14111115 (registering DOI) - 2 Nov 2025
Abstract
Background: Latvia is one of the most endemic tick-borne encephalitis (TBE) countries in Europe. However, assessing TBE seroprevalence and true infection rates has been challenging. Current diagnostics cannot reliably distinguish between immune responses induced by natural infection from those induced by vaccination, especially
[...] Read more.
Background: Latvia is one of the most endemic tick-borne encephalitis (TBE) countries in Europe. However, assessing TBE seroprevalence and true infection rates has been challenging. Current diagnostics cannot reliably distinguish between immune responses induced by natural infection from those induced by vaccination, especially in TBE endemic countries with recommended immunisation programmes. A recently developed ELISA targeting antibodies against TBEV non-structural protein 1 (NS1) offers improved specificity for natural infection and can differentiate among three clinically relevant TBEV subtypes. Methods: We conducted a cross-sectional TBEV seroprevalence study in the Latvian population during 2019–2022, consisting of two pools: 1020 residents living in different regions of Latvia and 200 random Latvian Biobank blood samples. We used the standard anti-TBEV IgG ELISA (VIDITEST, VIDIA, Czech Republic) for the screening and detection of TBEV (whole virus) IgG antibodies and the newly established research-use anti-TBEV NS1 IgG ELISA for the detection of subtype-specific TBEV NS1 IgG antibodies against three virus subtypes: European, Siberian and Far Eastern. Results: The total TBEV seroprevalence among 1020 residents was 39.7%, representing all age cohorts of the population from all regions of Latvia. In total, 33.4% of the enrolled population were vaccinated against TBE with at least one dose of the TBE vaccine. Among the unvaccinated population, 16.3% had positive TBEV-specific IgG antibodies by standard ELISA. On the contrary, NS1-specific antibodies, indicating past natural infection, were detected in only 4.3% of the overall study population. Subtype differentiation revealed infections from all three major TBEV subtypes present in Latvia. Conclusions: In conclusion, this population-based study highlights a high risk of TBE in Latvia, with substantial seroprevalence even among unvaccinated individuals. The NS1-based ELISA enhances the accuracy of TBE surveillance and offers important clinical utility by facilitating more reliable diagnosis and case classification, regardless of vaccination status.
Full article
(This article belongs to the Special Issue Tick-Borne Threats in Europe: From Epidemiology to the Impact of Vaccination)
►▼
Show Figures

Figure 1
Open AccessArticle
Burden of Soil-Transmitted Helminth Infections in China: Historical Trends (1990–2021) and Future Projections (2035)
by
Bixian Ni, Yanzheng Zou, Luqiu Tao and Wei Wang
Pathogens 2025, 14(11), 1114; https://doi.org/10.3390/pathogens14111114 (registering DOI) - 2 Nov 2025
Abstract
Background: Soil-transmitted helminth (STH) infections, including ascariasis, trichuriasis, and hookworm disease, are among the most common neglected tropical diseases (NTDs) globally. This study evaluates the disease burden of STH in China from 1990 to 2021 and projects trends to 2035. Methods: Data from
[...] Read more.
Background: Soil-transmitted helminth (STH) infections, including ascariasis, trichuriasis, and hookworm disease, are among the most common neglected tropical diseases (NTDs) globally. This study evaluates the disease burden of STH in China from 1990 to 2021 and projects trends to 2035. Methods: Data from the Global Burden of Disease 2021 database were utilized to analyze the prevalence and disability-adjusted life years (DALYs) of STH infections in China from 1990 to 2021. The estimated annual percentage change (EAPC) was calculated to assess trends over time, and a Bayesian age-period-cohort model was used to project the disease burden up to 2035. Results: From 1990 to 2021, the prevalence and DALYs of STH infections decreased significantly by 85.08% and 98.01% in China, respectively. The age-standardized prevalence rate (ASPR) of STH infections dropped from 34,073.24/105 to 4981.01/105 with an EAPC of −6.62% [95% confidence interval (CI): −7.40%, −5.83%], and the age-standardized DALY rate (ASDR) decreased from 1.77/105 to 0.18/105, with an EAPC of −14.05% (95% CI: −15.04%, −13.06%). Trichuriasis contributed to 78.85% of the total ASPR for STH, whereas hookworm disease accounted for 51.14% of STH’s ASDR. The highest disease burden due to STH peaked in the 5–9 years age group, with prevalence of 8030.05/105 [95% uncertainty interval (UI): 5356.86/105–11,662.62/105] and DALYs rate of 2.99/105 (95% UI: 1.56/105−4.87/105). The projected ASDR and ASPR of trichuriasis rose to 0.55/105 and 5362.50/105 by 2035. Conclusions: China has achieved remarkable reductions in the burden of STH infections over the past three decades. However, the predominance between the species has changed. The projected rebound in trichuriasis underscores the importance of sustained control efforts. To achieve the 2030 elimination target outlined in the WHO NTDs roadmap, it is crucial to integrate precision epidemiology with ongoing water, sanitation, and hygiene initiatives, targeted chemotherapy and health education.
Full article
(This article belongs to the Special Issue New Advances in Epidemiology of Neglected Tropical Diseases)
Open AccessArticle
Challenges and Opportunities of Bacterial Vaccines as Alternatives to Antimicrobials in Swine Health Management: Insights from U.S. Veterinarians
by
Xirui Zhang, Danqin Li, Michael D. Apley, Locke Karriker, Joseph F. Connor, Corinne Bromfield, Jordan T. Gebhardt, Brian Lubbers, Hatem Kittana, Dustin Pendell, Rachel Madera, Nina Muro, Aidan Craig, Brooke Shenkenberg, Yuzhen Li, Lihua Wang and Jishu Shi
Pathogens 2025, 14(11), 1113; https://doi.org/10.3390/pathogens14111113 (registering DOI) - 1 Nov 2025
Abstract
Antimicrobial resistance (AMR) is a significant global health concern, and the use of antibiotics in livestock, including swine production, is a major contributor. Vaccines offer a promising alternative for controlling bacterial infections in pigs, but their widespread use is often hindered by biological,
[...] Read more.
Antimicrobial resistance (AMR) is a significant global health concern, and the use of antibiotics in livestock, including swine production, is a major contributor. Vaccines offer a promising alternative for controlling bacterial infections in pigs, but their widespread use is often hindered by biological, economic, and practical challenges. This study surveyed U.S. swine veterinarians to identify which bacterial diseases require better vaccines and to understand the barriers to their adoption. Nineteen veterinarians with an average of 24.7 years of experience were surveyed across 21 states. The results identified Streptococcus suis, Escherichia coli, Mycoplasma hyopneumoniae, and Glaesserella parasuis as the most critical pathogens needing improved vaccines. Veterinarians anticipated significant improvements in vaccine efficacy for S. suis and E. coli during the nursery stage and expressed a willingness to pay 1.8 and 1.9 times their current prices, respectively. While expectations for M. hyo vaccine improvements were not significant, veterinarians expressed the highest willingness to pay (4.2 times the current price), citing the potential for disease eradication. This research highlights that developing effective vaccines for S. suis and E. coli should be the most urgent priority due to their significant economic impact and rising AMR concerns. However, M. hyo vaccine development holds the most economic potential due to the possibility of eradication. Our research provides a roadmap for future efforts to combat AMR in the swine industry, emphasizing key economic, policy, and educational considerations for successful vaccine implementation.
Full article
(This article belongs to the Special Issue Advancing Vaccine Strategies and Technologies for Controlling Swine Infectious Diseases)
►▼
Show Figures

Figure 1
Open AccessArticle
Comparative Efficacy of a Novel Topical Formulation with Antimicrobial Peptides and Encapsulated Plant Extracts Versus Conventional Therapies for Canine Otitis Externa
by
Tatiana Charello Bannach, Anna Claudia Baumel Mongruel, Alberto Gonçalves Evangelista, Vitória Brigida Mielnik de Souza, Renata Voi, Michel Fleith Otuki, Marconi Rodrigues de Farias and Fernando Bittencourt Luciano
Pathogens 2025, 14(11), 1112; https://doi.org/10.3390/pathogens14111112 (registering DOI) - 1 Nov 2025
Abstract
Canine otitis externa (OE) presents a significant challenge in veterinary medicine due to its complex, multifactorial nature and the growing issue of antimicrobial resistance (AMR) associated with conventional antibiotic use. The objective of this study was to compare the efficacy of a novel,
[...] Read more.
Canine otitis externa (OE) presents a significant challenge in veterinary medicine due to its complex, multifactorial nature and the growing issue of antimicrobial resistance (AMR) associated with conventional antibiotic use. The objective of this study was to compare the efficacy of a novel, antibiotic-free topical ear solution (Therapy A) containing antimicrobial peptides and encapsulated plant extracts (chamomile, calendula, rosemary, and hops) against a standard conventional treatment (Therapy B) composed of gentamicin, betamethasone valerate, and clotrimazole. A longitudinal, randomized study was conducted over four weeks with 40 domestic dogs diagnosed with OE. The dogs were divided into two groups, each receiving one of the therapies. Evaluations were performed weekly, assessing clinical signs using the Otitis Index Scoring System (OTIS-3) and a pruritus visual analog scale (pVAS), as well as ear canal pH and cytology. The results showed that Therapy A provided similar clinical efficacy in OTIS-3 and pVAS scores that were comparable to Therapy B. Cytological analysis also revealed a significant reduction in microbial presence for both groups. Notably, Therapy A was clinically effective in two of the three dogs presenting multi-drug resistant (MDR) bacterial infections. The novel formulation also demonstrated a favorable safety profile, with no adverse drug reactions reported, in contrast to one dog in the conventional treatment group that experienced an adverse reaction. These findings suggest that the plant-based formulation is a safe and effective alternative for managing canine OE, offering a promising solution to reduce the reliance on antibiotics and corticosteroids.
Full article
(This article belongs to the Special Issue Diagnostic and Therapeutic Approach of Otitis Externa and Media in Dogs and Cats)
►▼
Show Figures

Graphical abstract
Open AccessReview
The Human Archaeome: Commensals, Opportunists, or Emerging Pathogens?
by
Douglas M. Ruden
Pathogens 2025, 14(11), 1111; https://doi.org/10.3390/pathogens14111111 (registering DOI) - 31 Oct 2025
Abstract
Archaea, one of the three domains of life, are increasingly recognized as consistent, though often underappreciated, members of the human microbiome, yet their roles in health and disease remain poorly understood. Unlike bacteria, no archaeal species have been conclusively identified as primary mammalian
[...] Read more.
Archaea, one of the three domains of life, are increasingly recognized as consistent, though often underappreciated, members of the human microbiome, yet their roles in health and disease remain poorly understood. Unlike bacteria, no archaeal species have been conclusively identified as primary mammalian pathogens, but their widespread presence across diverse body sites suggests potential indirect contributions to host physiology and pathology. Current evidence is synthesized on archaeal diversity and habitat specificity across multiple human-associated sites, encompassing the gastrointestinal, aerodigestive, and urogenital tracts as well as the skin. Methanogens dominate the lower gastrointestinal tract (LGT), where they influence fermentation dynamics and methane production, while members of the class Nitrososphaeria are prevalent on the skin and upper aerodigestive tract (UAT), reflecting ecological specialization. Variability in archaeal composition across niches highlights possible links to disease processes: methanogens have been associated with irritable bowel syndrome (IBS), inflammatory bowel disease (IBD), obesity, and colorectal cancer (CRC); Methanobrevibacter oralis is enriched in periodontal disease; and archaea have been detected in the lungs of cystic fibrosis patients. Although archaea lack canonical bacterial virulence factors, they may contribute indirectly through metabolic cross-feeding, immune modulation, synergy in polymicrobial infections, and alteration of host–microbiome network dynamics. This review explores the emerging concept of the human “archaeome”, evaluates current evidence for archaeal involvement in disease, and highlights emerging technologies, such as bacteria-MERFISH and multi-omics profiling, that enable translational applications including microbiome diagnostics, therapeutic targeting, and microbiome engineering.
Full article
(This article belongs to the Special Issue Diagnosis, Immunopathogenesis and Control of Bacterial Infections)
►▼
Show Figures

Figure 1
Open AccessArticle
Clinical Characteristics of Adenovirus Pneumonia in Children
by
Huifen Xu, Wei Chen, Qinrui Lai, Yingying Chen, Yajun Guo, Jing Chen and Wei Li
Pathogens 2025, 14(11), 1110; https://doi.org/10.3390/pathogens14111110 (registering DOI) - 31 Oct 2025
Abstract
Identifying effective indicators and developing predictive models for the early detection of severe adenoviral pneumonia (SAP) is critical to safeguarding patients’ lives. This study examined differences between 428 patients with SAP and those with non-severe adenoviral pneumonia (NSAP) from March 2022 to January
[...] Read more.
Identifying effective indicators and developing predictive models for the early detection of severe adenoviral pneumonia (SAP) is critical to safeguarding patients’ lives. This study examined differences between 428 patients with SAP and those with non-severe adenoviral pneumonia (NSAP) from March 2022 to January 2023, focusing on variables such as age, sex, type of coinfection, and a range of clinical laboratory indicators. SAP was significantly more common in children aged 3–6 years (20/54 of all SAP cases, p = 0.0258) and among those with polymicrobial coinfections (p < 1.20 × 10−11). Patients with SAP exhibited significantly higher prealbumin (PA) level, while C-reactive protein (CRP) level was significantly lower. Composite indicator, such as CRP -to- prealbumin ratio (CPAR), was also significantly elevated (p < 0.05). The random forest model achieved an area under the receiver operating characteristic (ROC) curve (AUC) of 0.699, with an accuracy of 84.5% and a precision of 91.5%. Analysis of the data revealed key predictive parameters for early-stage SAP. Indicators such as CPAR, PA, and CRP are valuable for assessing SAP risk. Moreover, commonly available clinical indicators can effectively construct a random forest-based predictive model for SAP.
Full article
(This article belongs to the Section Viral Pathogens)
►▼
Show Figures

Figure 1
Open AccessArticle
Dalbavancin for Bone and Joint Infections: A Two-Center Greek Real-World Retrospective Study
by
Christina Petropoulou, Petros Ioannou, Georgios Eleftherakis, Stefania Papazisi, Christos Davoulos, Eugenia Drosou, Anastasia Spiliopoulou, Ekaterini Tsiata, Fotini Paliogianni, Diamantis Kofteridis, Markos Marangos and Stelios F. Assimakopoulos
Pathogens 2025, 14(11), 1109; https://doi.org/10.3390/pathogens14111109 (registering DOI) - 31 Oct 2025
Abstract
Bone and joint infections remain therapeutic challenges, usually requiring prolonged intravenous therapy and hospitalization. Dalbavancin, a long-acting lipoglycopeptide, offers a simplified alternative. We retrospectively analysed 83 patients treated with dalbavancin for osteomyelitis, spondylodiscitis, septic arthritis, or prosthetic joint infection in two tertiary Greek
[...] Read more.
Bone and joint infections remain therapeutic challenges, usually requiring prolonged intravenous therapy and hospitalization. Dalbavancin, a long-acting lipoglycopeptide, offers a simplified alternative. We retrospectively analysed 83 patients treated with dalbavancin for osteomyelitis, spondylodiscitis, septic arthritis, or prosthetic joint infection in two tertiary Greek hospitals (2022–2024). Mean age was 69 ± 16 years; 56.6% were male; Charlson Comorbidity Index averaged 4 ± 2.25. Common comorbidities included diabetes (28.9%) and coronary artery disease (18.1%). Infections were vertebral osteomyelitis/spondylodiscitis (48.2%), non-vertebral osteomyelitis (38.5%), prosthetic joint infection (10.8%), and septic arthritis (8.4%). Microbiological diagnosis was established in 62.6%; predominant pathogens were Staphylococcus aureus (38.4%: 30.7% MSSA, 7.7% MRSA) and enterococci (25%, including 5.7% VRE). Dalbavancin was administered as monotherapy (32.4%) or combined with other antibiotics (67.6%), mainly fluoroquinolones (63.6%) and minocycline (23.6%). Mean dosing was 2 ± 2.36 administrations (4 ± 4.38 g total). Surgical debridement was performed in 36.1% of patients. Clinically significant adverse events occurred in 4 patients (4.8%): acute kidney injury (n = 2), angioedema (n = 1), and Clostridioides difficile colitis (n = 1). Clinical cure was achieved in 90.4% at day 90 and 92.8% at day 180. Clinical cure rates were comparable between dalbavancin monotherapy and combination therapy, suggesting that the efficacy observed was primarily attributable to dalbavancin itself. Relapse at one year occurred in 10.8%, mainly due to inadequate source control. Dalbavancin demonstrated high efficacy, favourable safety, and treatment simplification in complex bone and joint infections. Its long half-life and reduced need for prolonged IV access support its role in minimizing hospitalization and catheter-related complications, particularly in regions with limited outpatient parenteral therapy infrastructure.
Full article
(This article belongs to the Special Issue Infections and Bone Damage)
Open AccessArticle
Whole Genome Sequencing and Comparative Genomics of the Emerging Pathogen Burkholderia pseudomallei Isolated from Two Travel-Related Infections in Hungary
by
Judit Henczkó, Ákos Tóth, Márta Knausz, Béla Gartner, Ákos Reményi, Edit Bíró, Erzsébet Létay, László Rókusz, Szilárd Tóth, Bernadett Pályi, Tünde Mag, Tímea Erdősi, Nóra Deézsi-Magyar, Zsuzsanna Molnár and Zoltán Kis
Pathogens 2025, 14(11), 1108; https://doi.org/10.3390/pathogens14111108 (registering DOI) - 31 Oct 2025
Abstract
Background: Burkholderia pseudomallei, the causative agent of melioidosis, is a neglected tropical pathogen that has been increasingly encountered in Europe through travel-related infections. Clinical manifestations range from localized abscesses to life-threatening sepsis, posing diagnostic challenges in non-endemic regions. Methods: We report two
[...] Read more.
Background: Burkholderia pseudomallei, the causative agent of melioidosis, is a neglected tropical pathogen that has been increasingly encountered in Europe through travel-related infections. Clinical manifestations range from localized abscesses to life-threatening sepsis, posing diagnostic challenges in non-endemic regions. Methods: We report two travel-associated melioidosis cases confirmed in Hungary between 2008 and 2024. Whole-genome sequencing (WGS), multilocus sequence typing (MLST), and core-genome MLST (cgMLST) were performed for molecular characterization. In parallel, a systematic review of travel-related melioidosis cases reported in Europe (1980–2025) was conducted according to PRISMA 2020 guidelines. Data were retrieved from PubMed, Scopus, Google Scholar, and the PubMLST database. Results: In silico MLST identified two distinct sequence types (STs): a novel ST1643, and ST1051, previously reported in Asia and Australia. Both isolates clustered within the Asian clade, confirming an imported origin. Virulence profiling revealed major determinants, including the Yersinia-like fimbriae (YLF) cluster, fhaB3, and ITS type C. The ST1643 isolate carried the bimABm variant and multiple resistance genes (blaOXA-57, blaPenI, and amrAB efflux system), while ST1051 harbored blaOXA-59. The literature review identified 82 studies encompassing 195 European cases, most originating from Southeast Asia, with pneumonia, followed by septic form and abscess as the predominant presentation. We found only eight neuromelioidosis cases in Europe. Conclusions: This study represents the first report of neuromelioidosis in Hungary, and the first global description of ST1643. Combined genomic and epidemiological data highlight the need for improved clinical awareness, genomic surveillance, and diagnostic preparedness in non-endemic regions, as global travel and climate change expand the distribution of melioidosis.
Full article
(This article belongs to the Special Issue Updates on Human Melioidosis)
►▼
Show Figures

Figure 1
Open AccessArticle
Epidemiological Characteristics of HSV-1 and HSV-2 in 177,599 Patients Based on PCR Testing in South Korea (2018–2022)
by
Hyeong Ho Kim, Sung Hun Jang, Jeong Su Han, Jae-Sik Jeon and Jae Kyung Kim
Pathogens 2025, 14(11), 1107; https://doi.org/10.3390/pathogens14111107 (registering DOI) - 30 Oct 2025
Abstract
►▼
Show Figures
HSV-1 is associated with oral lesions and non-sexual transmission; HSV-2 is primarily transmitted through sexual contact and causes genital infections. Understanding the epidemiological dynamics of both viruses is essential for guiding targeted public-health responses. We conducted a retrospective analysis of 177,599 clinical specimens
[...] Read more.
HSV-1 is associated with oral lesions and non-sexual transmission; HSV-2 is primarily transmitted through sexual contact and causes genital infections. Understanding the epidemiological dynamics of both viruses is essential for guiding targeted public-health responses. We conducted a retrospective analysis of 177,599 clinical specimens collected between September 2018 and December 2022 from patients with symptoms suggestive of sexually transmitted infections (STIs) at healthcare institutions across South Korea. HSV-1 and HSV-2 were identified using a real-time PCR assay; positivity rates were stratified by age, sex, specimen type, and year of testing. The overall positivity rate was 0.26% for HSV-1 and 1.60% for HSV-2. HSV-1 was most prevalent among individuals aged <19 years; HSV-2 showed the highest positivity in females aged 20–29 years, declining with age thereafter. HSV-2 positivity was significantly higher in females than in males. A significant decline in HSV-2 positivity was observed over the 5-year study period, while HSV-1 positivity remained stable. This nationwide PCR-based study reveals distinct age- and sex-related epidemiological patterns of HSV-1 and HSV-2. The findings support the need for age-specific and gender-specific STI screening strategies and health education programs. The declining trend in HSV-2 infection may reflect the impact of recent public-health initiatives.
Full article

Figure 1
Open AccessArticle
Development of Immunodetection Systems Using a Specific Antibody Against the Recombinant Coat Protein for Detecting Sugarcane Streak Mosaic Virus
by
Intan Ria Neliana, Bambang Sugiharto, Rikno Harmoko and Wahyu Indra Duwi Fanata
Pathogens 2025, 14(11), 1106; https://doi.org/10.3390/pathogens14111106 - 30 Oct 2025
Abstract
Sugarcane streak mosaic virus (SCSMV) is one of the mosaic viruses found in mixed infection with two or more viruses. Infections of mosaic viruses show highly similar mosaic symptoms and are difficult to distinguish. This study aimed to develop a specific antibody against
[...] Read more.
Sugarcane streak mosaic virus (SCSMV) is one of the mosaic viruses found in mixed infection with two or more viruses. Infections of mosaic viruses show highly similar mosaic symptoms and are difficult to distinguish. This study aimed to develop a specific antibody against SCSMV that could potentially be utilized to differentiate mosaic virus infections. The cDNA encoding the coat protein (CP) of SCSMV was isolated by RT-PCR from the symptomatic sugarcane leaves. The cDNA was then used for the production of CP for the development of its polyclonal antibody. The nucleotide sequence of the cDNA showed high homology of 94.2–97.3% at the amino acid level with the CP-cDNA of SCSMV isolated from India (AM749403.1), Africa (OR195142.1), and USA (U75456.1). CP was produced as a recombinant protein with a molecular size of 36.5 kDa in Escherichia coli. The injection of recombinant CP into a rabbit resulted in the production of polyclonal antibodies, which were used for the immunodetection of SCSMV in sugarcane. Immunoblot analysis revealed a specific reaction of SCSMV-CP in symptomatic sugarcane leaves. ELISA (Enzyme-Linked Immunosorbent Assay) and IC-RT-PCR (Immunocapture-Reverse Transcription-Polymerase Chain Reaction) using the CP antibody proved successful for detecting SCSMV infection in sugarcane leaves. The results indicate that the SCSMV-CP antibody is suitable for an immunodetection system and exhibits high specificity for SCSMV infection.
Full article
(This article belongs to the Section Viral Pathogens)
►▼
Show Figures

Figure 1
Open AccessArticle
Trem2-MICAL1-P-ERK Axis in Macrophages Confers Protection Against Toxoplasma gondii-Induced Adverse Pregnancy Outcomes
by
Xiaoyu Geng, Haochen Yang, Zihan Wang, Ziqian Chen, Jinling Chen and Mei Yang
Pathogens 2025, 14(11), 1105; https://doi.org/10.3390/pathogens14111105 - 30 Oct 2025
Abstract
►▼
Show Figures
Toxoplasma gondii (T. gondii) infection during pregnancy can cause severe placental damage and fetal impairment. Although triggering the receptor expressed on myeloid cells 2 (Trem2) confers protection against T. gondii infection, the precise molecular mechanisms underlying this immunoregulatory role remain incompletely understood.
[...] Read more.
Toxoplasma gondii (T. gondii) infection during pregnancy can cause severe placental damage and fetal impairment. Although triggering the receptor expressed on myeloid cells 2 (Trem2) confers protection against T. gondii infection, the precise molecular mechanisms underlying this immunoregulatory role remain incompletely understood. Using a mouse model, this study identifies a novel Trem2-MICAL1-P-ERK axis in macrophages that protects against T. gondii-induced adverse pregnancy outcomes (APO). RNA-seq of Trem2-overexpressing macrophages revealed significant upregulation of 1857 genes, with MICAL1 among the most markedly altered, highlighting its potential role in Trem2-mediated signaling. Mechanistically, correlation analysis, molecular docking, fluorescence co-localization, and immunoprecipitation assays demonstrate that Trem2 directly interacts with MICAL1, which modulates downstream phosphorylated ERK (P-ERK) signaling. In a T. gondii-infected murine pregnancy model, genetic ablation of Trem2 exacerbated pathogen-induced suppression of MICAL1 and P-ERK, whereas macrophage-specific overexpression of Trem2-DAP12 restored this signaling axis. Conversely, MICAL1 overexpression rescued P-ERK activation but failed to regulate Trem2 expression. Further studies in bone marrow-derived macrophages (BMDMs) revealed that Trem2 deficiency potentiated the inhibitory effects of soluble T. gondii antigens (TgAg) on MICAL1 and P-ERK. These findings elucidate how T. gondii disrupts placental immunity through targeted suppression of Trem2-mediated signaling and establish the Trem2-MICAL1-P-ERK cascade as a core regulatory pathway in immune homeostasis during pregnancy.
Full article

Graphical abstract
Open AccessArticle
Low Neutrophil Counts in Milk Are Associated with an Increased Frequency of Antimicrobial Treatments
by
Alfonso Zecconi, Valerio Sora, Emanuele Invernizzi, Francesca Zaghen and Viviana Chierici Guido
Pathogens 2025, 14(11), 1104; https://doi.org/10.3390/pathogens14111104 - 29 Oct 2025
Abstract
Several studies have demonstrated an association between impaired innate immunity and metabolic parameters, particularly during the periparturient period. However, to our knowledge, no study has been conducted under field conditions investigating the link between low milk polymorphonuclear neutrophil (PMN) levels and increased disease
[...] Read more.
Several studies have demonstrated an association between impaired innate immunity and metabolic parameters, particularly during the periparturient period. However, to our knowledge, no study has been conducted under field conditions investigating the link between low milk polymorphonuclear neutrophil (PMN) levels and increased disease frequency. In an attempt to address this knowledge gap, this study examined 6209 cows from 20 dairy herds in Lombardy that were enrolled in a monthly individual dairy herd improvement milk testing program. Analyses of milk test record samples (MTR) included somatic cell count (SCC) and differential cell count (DSCC). A third variable, PLCC (polymorphonuclear neutrophil leukocyte cell count), was calculated by multiplying SCC × DSCC, thus representing PMN cells/mL. A database including compulsory records of all antimicrobial treatments applied in each herd was used as a proxy for disease frequency. In total, 58,090 valid MTR and 12,014 antimicrobial treatments (AMT) were considered for this study. Statistical analyses showed a significant association between the prevalence of cows with a low number of milk PMN and the prevalence of AMT. These results allow routine identification of whether the number of cows with low PLCC exceeds an alarm level within a herd. This threshold was calculated using an ROC curve with a cut-off point of 6% for AMT. This threshold was estimated at 2%, providing 78% accuracy in identifying herds at risk of an increasing treatment rate. This study confirms that cellular markers measured within MTR systems are useful in identifying herds at risk of impaired cellular immunity, thus paving the way for further studies assessing herd and cow immune status with routine milk sampling.
Full article
(This article belongs to the Special Issue Dairy Cattle Health: Mastitis, Milk Quality, and Antimicrobial Resistance from a One Health Perspective)
►▼
Show Figures

Figure 1
Open AccessArticle
Impact of Empirical and Definitive Antibiotics on Pediatric Febrile Urinary Tract Infection Caused by ESBL-Producing Enterobacterales
by
Jin Lee, Yejin Kim, Ye Ji Kim, Seung Beom Han, Jin-Soon Suh, Soo Young Lee and Jong-Hyun Kim
Pathogens 2025, 14(11), 1103; https://doi.org/10.3390/pathogens14111103 - 29 Oct 2025
Abstract
Although the clinical impact of empirical antibiotic susceptibility on urinary tract infection (UTI) caused by extended-spectrum β-lactamase-producing Enterobacterales (ESBL-PEs) is limited, the role of definitive antibiotics remains unclear. This study evaluated therapeutic outcomes and recurrence in children with febrile UTI caused by ESBL-PE,
[...] Read more.
Although the clinical impact of empirical antibiotic susceptibility on urinary tract infection (UTI) caused by extended-spectrum β-lactamase-producing Enterobacterales (ESBL-PEs) is limited, the role of definitive antibiotics remains unclear. This study evaluated therapeutic outcomes and recurrence in children with febrile UTI caused by ESBL-PE, focusing on pathogen susceptibility to empirical and definitive antibiotics. Medical records of 376 UTI episodes caused by ESBL-PE in children aged <10 years were retrospectively reviewed, and 319 were analyzed. Episodes were classified as empirical-susceptible (n = 144) and empirical-non-susceptible (n = 175) groups, and further categorized into four groups based on definitive antibiotic susceptibility and treatment duration. Clinical outcomes were comparable between empirical-susceptible and empirical-non-susceptible groups. Among the four definitive-therapy groups, early clinical response did not differ significantly; however, UTI recurrence showed an increasing trend from 1.0% in those receiving empirical and definitive antibiotics to which pathogens were susceptible for ≥7 days to 6.3% in those receiving empirical antibiotics to which pathogens were non-susceptible and not receiving antibiotics to which pathogens were susceptible ≥7 days (p = 0.045). Despite favorable early response to empirical non-susceptible antibiotics, switching to susceptible antibiotics and maintaining therapy for ≥7 days is recommended for children with ESBL-PE UTIs.
Full article
(This article belongs to the Special Issue Current Progress on Bacterial Antimicrobial Resistance)
►▼
Show Figures

Figure 1
Open AccessReview
Novel Therapies for Prosthetic Joint Infections Caused by Methicillin-Resistant Staphylococcus aureus
by
Xi Xiang, Xin Jin, Qi Yang, Lili Zou, Yueqing Wang, Tianxu Wang and Xun Sun
Pathogens 2025, 14(11), 1102; https://doi.org/10.3390/pathogens14111102 - 29 Oct 2025
Abstract
Periprosthetic joint infection (PJI) is a serious complication following total joint replacement, with methicillin-resistant Staphylococcus aureus (MRSA) being the primary pathogen. The treatment challenges posed by MRSA’s antibiotic resistance further highlight the critical importance of research in this field. Current antibiotic therapies for
[...] Read more.
Periprosthetic joint infection (PJI) is a serious complication following total joint replacement, with methicillin-resistant Staphylococcus aureus (MRSA) being the primary pathogen. The treatment challenges posed by MRSA’s antibiotic resistance further highlight the critical importance of research in this field. Current antibiotic therapies for periprosthetic joint infection caused by methicillin-resistant Staphylococcus aureus (MRSA-PJI) are limited by considerable side effects, such as high costs and the development of resistance. Therefore, there is an urgent need to explore novel alternative or adjunctive therapies. This review provides a comprehensive overview of several innovative therapeutic strategies. These include monoclonal antibody therapies that target specific bacterial components; phage therapy, which can either independently or synergistically degrade biofilms and enhance antimicrobial efficacy, characterized by its high specificity; antimicrobial peptides, capable of disrupting bacterial membrane integrity and exhibiting dual antibiofilm activity, with a reduced tendency to induce resistance; and nanoparticles and hydrogels, which function as drug delivery systems for sustained release, thereby improving both preventive and therapeutic outcomes. However, these novel therapies also face challenges such as high production costs and limited stability, underscoring the need for further research and optimization. Future efforts should focus on additional studies, clinical trials, and the development of robust regulatory frameworks to fully realize the potential of these treatments for MRSA-PJI.
Full article
(This article belongs to the Special Issue Advanced Antimicrobial Agents: Combatting Multi-Drug Resistant Bacterial Infections)
►▼
Show Figures

Figure 1
Open AccessArticle
Coxiella burnetii Strains Elicit Distinct Inflammatory Responses in Human Macrophages
by
Madhur Sachan, Amanda Dragan, Het Adhvaryu, Daniel E. Voth and Rahul Raghavan
Pathogens 2025, 14(11), 1101; https://doi.org/10.3390/pathogens14111101 - 29 Oct 2025
Abstract
Coxiella burnetii, the causative agent of human Q fever, subverts macrophage antimicrobial functions to establish an intracellular replicative niche. To better understand host–pathogen interactions, we investigated the transcriptional responses of human alveolar macrophages (hAMs) infected with virulent [NMI, G (Q212)], attenuated (NMII),
[...] Read more.
Coxiella burnetii, the causative agent of human Q fever, subverts macrophage antimicrobial functions to establish an intracellular replicative niche. To better understand host–pathogen interactions, we investigated the transcriptional responses of human alveolar macrophages (hAMs) infected with virulent [NMI, G (Q212)], attenuated (NMII), and avirulent (Dugway) strains of C. burnetii. RNA sequencing indicated that all strains activated proinflammatory pathways, particularly IL-17 signaling, though the magnitude and nature of the response varied by strain. Infections with NMI, NMII or G (Q212) resulted in differential expression of roughly the same number of genes, while Dugway infection induced a stronger transcriptional response. Dugway and G (Q212) tended to polarize macrophages toward M1-like states, whereas responses to NMI and NMII were variable. Cytokine assays of NMII-infected THP-1 macrophages suggested the activation of IL-17 signaling, but only at later stages of infection, and single-cell RNA sequencing of NMII-infected THP-1 macrophages indicated heterogeneity in host response to infection, with distinct subpopulations exhibiting M1-like and M2-like inflammatory profiles. These findings highlight the complexity of macrophage response to C. burnetii and underscore the importance of strain-specific and cell-specific factors in shaping host immunity. Understanding these dynamics may inform the development of targeted therapies for Q fever.
Full article
(This article belongs to the Special Issue Coxiella burnetii: The Host Immune Response, Host-Pathogen Interaction and Pathogenesis)
►▼
Show Figures

Figure 1
Open AccessReview
Alternative Sigma Factors of RNA Polymerase as Master Regulators in the Pathogenic Spirochaete Leptospira interrogans
by
Sabina Kędzierska-Mieszkowska and Zbigniew Arent
Pathogens 2025, 14(11), 1100; https://doi.org/10.3390/pathogens14111100 - 29 Oct 2025
Abstract
This review summarizes the current knowledge on the role of alternative σ factors in the highly invasive spirochaete Leptospira interrogans, the causative agent of leptospirosis. This globally distributed zoonosis affects both animals and humans, resulting in substantial public health and economic consequences.
[...] Read more.
This review summarizes the current knowledge on the role of alternative σ factors in the highly invasive spirochaete Leptospira interrogans, the causative agent of leptospirosis. This globally distributed zoonosis affects both animals and humans, resulting in substantial public health and economic consequences. Together with the primary σ70, alternative σ factors provide transcriptional flexibility essential for bacterial adaptation to environmental changes and host–pathogen interactions. Comparative genomic analyses have revealed that the L. interrogans genome encodes 14 σ factors, including one housekeeping σ70-like factor and three types of alternative σ factors: σ54, σ28, and 11 predicted extracytoplasmic function (ECF, σᴱ-type) factors. This review discusses the characteristics of these regulators, with particular emphasis on the poorly understood ECF σ factors and their potential roles in gene regulation, adaptive responses, and pathogenicity.
Full article
(This article belongs to the Special Issue Emerging and Re-Emerging Bacterial Infections)
►▼
Show Figures

Figure 1
Open AccessArticle
Genome-Based In Silico Analysis of the Structural and Functional Characteristics of the Type Three Secretion System (T3SS) and Core Effector Proteins in Enteropathogenic Escherichia coli (EPEC) Strains Isolated from Food-Producing Animals and Products of Animal Origin
by
Refiloe Malesa, Rian Pierneef, Thendo Mafuna, Kudakwashe Magwedere, Emmanuel Seakamela and Itumeleng Matle
Pathogens 2025, 14(11), 1099; https://doi.org/10.3390/pathogens14111099 - 29 Oct 2025
Abstract
►▼
Show Figures
Enteropathogenic Escherichia coli (EPEC) is a significant diarrheagenic pathotype responsible for severe gastrointestinal infections, particularly in vulnerable populations. The aim of this study is to utilize genome-based in silico analysis to study the structural and functional characteristics of the Type III Secretion System
[...] Read more.
Enteropathogenic Escherichia coli (EPEC) is a significant diarrheagenic pathotype responsible for severe gastrointestinal infections, particularly in vulnerable populations. The aim of this study is to utilize genome-based in silico analysis to study the structural and functional characteristics of the Type III Secretion System (T3SS) and its core effector proteins in EPEC strains. Representative proteins were selected, with particular interest placed on EscV and EscD as major parts of the export apparatus and the basal body, while the EspA effector protein forms the filamentous structure. Several in silico-based techniques were employed, revealing key structural proteins, core effectors, and adhesion-related proteins among the sequenced isolates. Of the 27 isolates analyzed, only 3 (11%) were found to carry LEE-encoded proteins associated with T3SS structural components (escV, escN, escD, and escU) and core effector proteins (espA, espD, espG, and eae). Structural predictions and Ramachandran plot validations suggested stability and potential functional conservation of T3SS proteins, with EscV and EspA selected for detailed 3D structural modelling. Insights into transmembrane domains, protein–protein interaction, and secondary structures were obtained, providing a comprehensive understanding of T3SS assembly and function. These findings suggest that the T3SS in EPEC consists of stable proteins that enable the system to remain functional. The structural and functional properties of the LEE genes encoding the T3SS in the EPEC pathotype represent promising targets for developing virulence blockers to disrupt the pathogenesis of a broad range of bacteria. This study is the first to report EPEC strains with functional T3SS in South Africa, emphasizing the importance of continued surveillance and molecular characterization of EPEC strains. The findings contribute to the development of targeted interventions to mitigate foodborne infections and improve public health.
Full article

Figure 1
Open AccessArticle
Eighteen Years of Human Rhinovirus Surveillance in the Republic of Korea (2007–2024): Age- and Season-Specific Trends from a Single-Center Study with Public Health Implications
by
Yu Jeong Kim, Jeong Su Han, Sung Hun Jang, Jae-Sik Jeon and Jae Kyung Kim
Pathogens 2025, 14(11), 1098; https://doi.org/10.3390/pathogens14111098 - 28 Oct 2025
Abstract
►▼
Show Figures
Human rhinovirus (HRV) is the most common cause of upper respiratory tract infections and can cause substantial morbidity in children. Because its clinical features are nonspecific, differentiation from influenza virus and respiratory syncytial virus is often difficult, underscoring the diagnostic importance of real-time
[...] Read more.
Human rhinovirus (HRV) is the most common cause of upper respiratory tract infections and can cause substantial morbidity in children. Because its clinical features are nonspecific, differentiation from influenza virus and respiratory syncytial virus is often difficult, underscoring the diagnostic importance of real-time reverse transcriptase polymerase chain reaction (Real-Time RT-PCR)-based detection. This study aimed to characterize long-term epidemiological patterns of HRV in the Republic of Korea and assess their clinical and public health implications. We retrospectively analyzed 23,284 nasopharyngeal swab specimens collected between 2007 and 2024 from outpatients and inpatients presenting with influenza-like illness at a tertiary care hospital. HRV RNA was detected by Real-Time RT-PCR, and positivity rates were compared by year, month, and age group. Annual detection peaked in 2015 (31.3%) and 2016 (28.6%), then dropped sharply during the COVID-19 pandemic (2020–2021, 4.2–11.0%) and remained low through 2024. Seasonally, rates were highest in July (24.4%) and September (24.1%) and lowest in January (6.9%). Age-specific analysis showed peak positivity in children (26.1%) and infants (20.3%), with lower rates in adults (3.9%) and older adults (3.3%). These findings underscore the diagnostic value of HRV detection and provide evidence for pediatric-focused prevention, outbreak preparedness, and climate-informed surveillance strategies.
Full article

Figure 1
Journal Menu
► ▼ Journal Menu-
- Pathogens Home
- Aims & Scope
- Editorial Board
- Reviewer Board
- Topical Advisory Panel
- Instructions for Authors
- Special Issues
- Topics
- Sections & Collections
- Article Processing Charge
- Indexing & Archiving
- Editor’s Choice Articles
- Most Cited & Viewed
- Journal Statistics
- Journal History
- Journal Awards
- Editorial Office
Journal Browser
► ▼ Journal BrowserHighly Accessed Articles
Latest Books
E-Mail Alert
News
Topics
Topic in
Infectious Disease Reports, Insects, IJERPH, Pathogens, TropicalMed, Zoonotic Diseases
Vector-Borne Disease Spatial Epidemiology, Disease Ecology, and Zoonoses
Topic Editors: Chad L. Cross, Louisa Alexandra MessengerDeadline: 31 December 2025
Topic in
Animals, Arthropoda, Diversity, Insects, Life, Pathogens
Arthropod Biodiversity: Ecological and Functional Aspects, 2nd Edition
Topic Editors: Paolo Solari, Roberto M. Crnjar, Anita Giglio, Gianluca TettamantiDeadline: 31 January 2026
Topic in
Animals, Arthropoda, Insects, Vaccines, Veterinary Sciences, Pathogens
Ticks and Tick-Borne Pathogens: 2nd Edition
Topic Editors: Alina Rodriguez-Mallon, Alejandro Cabezas-CruzDeadline: 31 March 2026
Topic in
JoF, Microbiology Research, Microorganisms, Pathogens
Pathophysiology and Clinical Management of Fungal Infections
Topic Editors: Allan J. Guimarães, Marcos de Abreu AlmeidaDeadline: 30 November 2026
Special Issues
Special Issue in
Pathogens
Antiviral Strategies Against Human Respiratory Viruses
Guest Editors: Cristiano Salata, Chiara BertagninDeadline: 10 November 2025
Special Issue in
Pathogens
Antimicrobial Resistance in the Post-COVID Era: A Silent Pandemic
Guest Editors: Vasileios Petrakis, Maria PanopoulouDeadline: 10 November 2025
Special Issue in
Pathogens
Advanced Research on Human Viral Coinfections
Guest Editor: Jianxun SongDeadline: 15 November 2025
Special Issue in
Pathogens
Diagnosis, Immunopathogenesis and Control of Bacterial Infections
Guest Editor: Neil FosterDeadline: 15 November 2025
Topical Collections
Topical Collection in
Pathogens
Advances in Tick Research
Collection Editors: Alejandro Cabezas-Cruz, Ladislav Šimo, James J. Valdés, Dasiel Obregón
Topical Collection in
Pathogens
Emerging and Re-emerging Pathogens
Collection Editors: Sheng-Fan Wang, Wen-Hung Wang, Arunee Thitithanyanont
Topical Collection in
Pathogens
Campylobacter Infections Collection
Collection Editors: Ingrid Hansson, Eva Olsson Engvall

