Burden of Soil-Transmitted Helminth Infections in China: Historical Trends (1990–2021) and Future Projections (2035)
Abstract
1. Introduction
2. Methods
2.1. Data Source
2.2. Statistical Analysis
3. Results
3.1. Temporal Trends of Disease Burden Due to STH Infections from 1990 to 2021
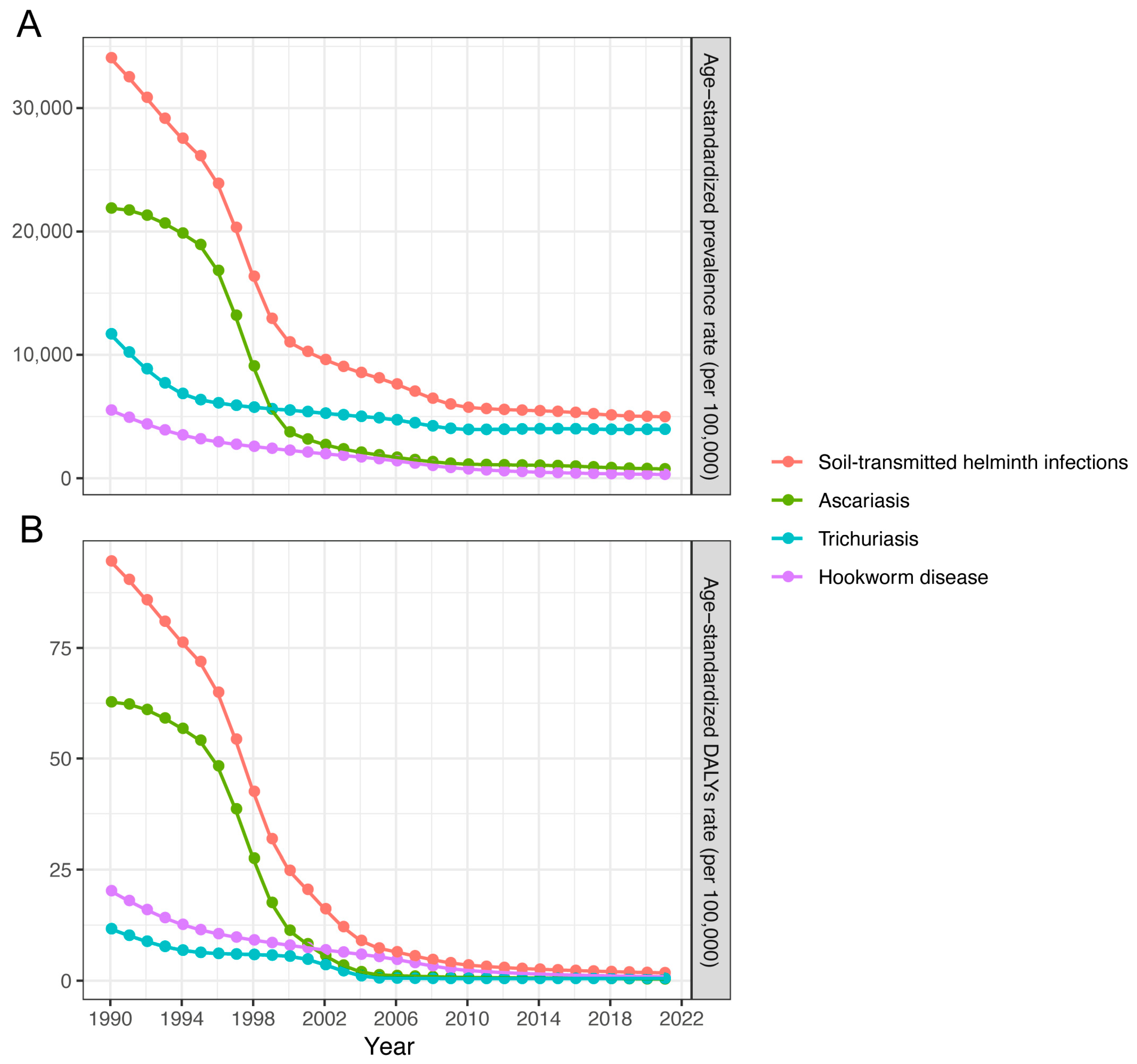
3.2. Disease Burden Among Specific Species of STH Infections from 1990 to 2021
3.3. Age Patterns of Disease Burden Due to STH Infections from 1990 to 2021
3.4. Projections of the Disease Burden Due toSTH Infections up to 2035
4. Discussion
5. Conclusions
Supplementary Materials
Author Contributions
Funding
Institutional Review Board Statement
Informed Consent Statement
Data Availability Statement
Acknowledgments
Conflicts of Interest
References
- World Health Organization. Guideline: Preventive Chemotherapy to Control Soil-Transmitted Helminth Infections in At-Risk Population Groups; World Health Organization: Geneva, Switzerland, 2017. [Google Scholar]
- Else, K.J.; Keiser, J.; Holland, C.V.; Grencis, R.K.; Sattelle, D.B.; Fujiwara, R.T.; Bueno, L.L.; Asaolu, S.O.; Sowemimo, O.A.; Cooper, P.J. Whipworm and roundworm infections. Nat. Rev. Dis. Primers 2020, 6, 44. [Google Scholar] [CrossRef]
- Loukas, A.; Hotez, P.J.; Diemert, D.; Yazdanbakhsh, M.; McCarthy, J.S.; Correa-Oliveira, R.; Croese, J. Hookworm infection. Nat. Rev. Dis. Primers 2016, 2, 16088. [Google Scholar] [CrossRef] [PubMed]
- Jourdan, P.M.; Lamberton, P.H.; Fenwick, A.; Addiss, D.G. Soil-transmitted helminth infections. Lancet 2018, 391, 252–265. [Google Scholar] [CrossRef] [PubMed]
- Servián, A.; Garimano, N.; Santini, M.S. Systematic review and meta-analysis of soil-transmitted helminth infections in South America (2000–2024). Acta Trop. 2024, 260, 107400. [Google Scholar] [CrossRef] [PubMed]
- World Health Organization (WHO). Accelerating Work to Overcome the Global Impact of Neglected Tropical Diseases: A Roadmap for Implementation: Executive Summary. World Health Organization. 2012. Available online: https://iris.who.int/handle/10665/70809 (accessed on 16 April 2025).
- World Health Organization (WHO). Soil-Transmitted Helminth Infections. Available online: https://www.who.int/news-room/fact-sheets/detail/soil-transmitted-helminth-infections (accessed on 17 July 2025).
- Qian, M.-B.; Chen, J.; Bergquist, R.; Li, Z.-J.; Li, S.-Z.; Xiao, N.; Utzinger, J.; Zhou, X.-N. Neglected tropical diseases in the People’s Republic of China: Progress towards elimination. Infect. Dis. Poverty 2019, 8, 86. [Google Scholar] [CrossRef]
- Chen, Y.-D.; Qian, M.-B.; Zhu, H.-H.; Zhou, C.-H.; Zhu, T.-J.; Huang, J.-L.; Li, Z.-J.; Li, S.-Z.; Zhou, X.-N. Soil-transmitted helminthiasis in China: A national survey in 2014–2015. PLOS Neglected Trop. Dis. 2021, 15, e0009710. [Google Scholar] [CrossRef]
- World Health Organization (WHO). Ending the Neglect to Attain the Sustainable Development Goals: A Road Map for Neglected Tropical Diseases 2021–2030. World Health Organization. 2020. Available online: https://www.who.int/publications/i/item/9789240010352 (accessed on 16 April 2025).
- GBD 2021 Diseases and Injuries Collaborators. Global incidence, prevalence, years lived with disability (YLDs), disability-adjusted life-years (DALYs), and healthy life expectancy (HALE) for 371 diseases and injuries in 204 countries and territories and 811 subnational locations, 1990–2021: A systematic analysis for the Global Burden of Disease Study 2021. Lancet 2024, 403, 2133–2161. [Google Scholar]
- Murray, C.J.L. The Global Burden of Disease Study at 30 years. Nat. Med. 2022, 28, 2019–2026. [Google Scholar] [CrossRef]
- Fu, L.; Tian, T.; Wang, B.; Lu, Z.; Bian, J.; Zhang, W.; Wu, X.; Li, X.; Siow, R.C.; Fang, E.F.; et al. Global, regional, and national burden of HIV and other sexually transmitted infections in older adults aged 60–89 years from 1990 to 2019: Results from the Global Burden of Disease Study 2019. Lancet Healthy Longev. 2024, 5, e17–e30. [Google Scholar] [CrossRef]
- Knoll, M.; Furkel, J.; Debus, J.; Abdollahi, A.; Karch, A.; Stock, C. An R package for an integrated evaluation of statistical approaches to cancer incidence projection. BMC Med. Res. Methodol. 2020, 20, 257. [Google Scholar] [CrossRef]
- Yu, G.; Gong, X.; Xu, Y.; Sun, H.; Liu, Y.; Zhai, C.; Hu, W.; Zong, Q.; Hu, D.; Yan, Z.; et al. The global burden and trends of four major types of heart disease, 1990–2019: A systematic analysis for the Global Burden of Disease Study 2019. Public Health 2023, 220, 1–9. [Google Scholar] [CrossRef] [PubMed]
- Liu, N.; Yang, D.-W.; Wu, Y.-X.; Xue, W.-Q.; Li, D.-H.; Zhang, J.-B.; He, Y.-Q.; Jia, W.-H. Burden, trends, and risk factors for breast cancer in China from 1990 to 2019 and its predictions until 2034: An up-to-date overview and comparison with those in Japan and South Korea. BMC Cancer 2022, 22, 826. [Google Scholar] [CrossRef]
- Qian, M.-B.; Utzinger, J.; Li, S.-Z.; Montresor, A.; Zhou, X.-N. Towards elimination of soil-transmitted helminthiasis in China. Lancet Reg. Health West. Pac. 2022, 22, 100455. [Google Scholar] [CrossRef] [PubMed]
- Mao, F.Z.; Xu, X.Z.; Jin, X.L.; Liu, J.F.; Ni, B.X.; Dai, Y.; Cao, J. Epidemic trend and control progress of soil-transmitted nematodiasis in Jiangsu Province. Zhongguo Xue Xi Chong Bing Fang Zhi Za Zhi 2020, 32, 453–458. [Google Scholar] [PubMed]
- Montresor, A.; Mwinzi, P.; Mupfasoni, D.; Garba, A. Reduction in DALYs lost due to soil-transmitted helminthiases and schistosomiasis from 2000 to 2019 is parallel to the increase in coverage of the global control programmes. PLoS Neglected Trop. Dis. 2022, 16, e0010575. [Google Scholar] [CrossRef]
- Lo, N.C.; Snyder, J.; Addiss, D.G.; Heft-Neal, S.; Andrews, J.R.; Bendavid, E. Deworming in pre-school age children: A global empirical analysis of health outcomes. PLoS Neglected Trop. Dis. 2018, 12, e0006500. [Google Scholar] [CrossRef]
- Strunz, E.C.; Addiss, D.G.; Stocks, M.E.; Ogden, S.; Utzinger, J.; Freeman, M.C. Water, sanitation, hygiene, and soil-transmitted helminth infection: A systematic review and meta-analysis. PLoS Med. 2014, 11, e1001620. [Google Scholar] [CrossRef]
- Brandon-Mong, G.J.; Abdullah, N.A.; Shukor, N.; Jaturas, N.; Richard, R.L.; Choo, J.C.; Majid, M.A.A.; Mahboob, T.; Tan, T.C.; Sawangjaroen, N.; et al. Soil-Transmitted Helminths in Malaysia landscape: An aborigines study. Trop. Biomed. 2017, 34, 363–374. [Google Scholar]
- Rahimi, B.A.; Mahboobi, B.A.; Wafa, M.H.; Sahrai, M.S.; Stanikzai, M.H.; Taylor, W.R. Prevalence and associated risk factors of soil-transmitted helminth infections in Kandahar, Afghanistan. BMC Infect. Dis. 2022, 22, 361. [Google Scholar] [CrossRef]
- Zhu, H.-H.; Huang, J.-L.; Zhou, C.-H.; Zhu, T.-J.; Zheng, J.-X.; Zhang, M.-Z.; Qian, M.-B.; Chen, Y.-D.; Li, S.-Z. Soil-transmitted helminthiasis in mainland China from 2016 to 2020: A population-based study. Lancet Reg. Health West. Pac. 2023, 36, 100766. [Google Scholar] [CrossRef]
- Chen, J.; Gong, Y.; Chen, Q.; Li, S.; Zhou, Y. Global burden of soil-transmitted helminth infections, 1990–2021. Infect. Dis. Poverty 2024, 13, 77. [Google Scholar] [CrossRef] [PubMed]
- Rajan, V.X.C.; Sivamani, M.; Appalaraju, B.J.T.P. Prevalence and the factors influencing soil-transmitted helminths among school age children (5–14 years age) in a rural area of Coimbatore district. Trop. Parasitol. 2020, 10, 74–78. [Google Scholar] [CrossRef]
- Aung, E.; Han, K.T.; Gordon, C.A.; Hlaing, N.N.; Aye, M.M.; Htun, M.W.; Wai, K.T.; Myat, S.M.; Thwe, T.L.; Tun, A.; et al. High prevalence of soil-transmitted helminth infections in Myanmar schoolchildren. Infect. Dis. Poverty 2022, 11, 28. [Google Scholar] [CrossRef] [PubMed]
- Wang, X.; Zhang, L.; Luo, R.; Wang, G.; Chen, Y.; Medina, A.; Eggleston, K.; Rozelle, S.; Smith, D.S. Soil-transmitted helminth infections and correlated risk factors in preschool and school-aged children in rural Southwest China. PLoS ONE 2012, 7, e45939. [Google Scholar] [CrossRef]
- Fang, E.F.; Scheibye-Knudsen, M.; Jahn, H.J.; Li, J.; Ling, L.; Guo, H.; Zhu, X.; Preedy, V.; Lu, H.; Bohr, V.A.; et al. A research agenda for aging in China in the 21st century. Ageing Res. Rev. 2015, 24 Pt B, 197–205. [Google Scholar] [CrossRef]
- Xie, Y.; Shi, D.; Wang, X.; Guan, Y.; Wu, W.; Wang, Y. Prevalence trend and burden of neglected parasitic diseases in China from 1990 to 2019: Findings from global burden of disease study. Front. Public Health 2023, 11, 1077723. [Google Scholar] [CrossRef]
- Gay, L.; Melenotte, C.; Lakbar, I.; Mezouar, S.; Devaux, C.; Raoult, D.; Bendiane, M.-K.; Leone, M.; Mège, J.-L. Sexual Dimorphism and Gender in Infectious Diseases. Front. Immunol. 2021, 12, 698121. [Google Scholar] [CrossRef]
- Partridge, F.A.; Bataille, C.J.; Forman, R.; Marriott, A.E.; Forde-Thomas, J.; Häberli, C.; Dinsdale, R.L.; O’sUllivan, J.D.; Willis, N.J.; Wynne, G.M.; et al. Structural Requirements for dihydrobenzoxazepinone anthelmintics: Actions against medically important and model parasites: Trichuris muris, Brugia malayi, Heligmosomoides polygyrus, and Schistosoma mansoni. ACS Infect. Dis. 2021, 7, 1260–1274. [Google Scholar] [CrossRef]
- Moser, W.; Schindler, C.; Keiser, J. Efficacy of recommended drugs against soil transmitted helminths: Systematic review and network meta-analysis. BMJ 2017, 358, j4307. [Google Scholar] [CrossRef]
- Clarke, N.E.; Doi, S.A.R.; Wangdi, K.; Chen, Y.; Clements, A.C.A.; Nery, S.V. Efficacy of anthelminthic drugs and drug combinations against soil-transmitted Helminths: A systematic review and network meta-analysis. Clin. Infect. Dis. 2019, 68, 96–105. [Google Scholar] [CrossRef]
- Boeira, V.L.; Bezagio, R.C.; de Carvalho, M.S.; Gandra, R.F.; de Abreu, A.P.; Massara, C.L.; Colli, C.M.; Toledo, M.J.d.O. Hybrid and/or mixed infection by pig and human Ascaris in a Guarani indigenous village in southern Brazil. PLoS Neglected Trop. Dis. 2025, 19, e0012271. [Google Scholar] [CrossRef]
- Mawrie, U.G.; Kharkongor, R.; Valladares, M.M.; Kepha, S.; Ajjampur, S.S.R.; Sarkar, R.; Pullan, R. The occurrence of cross-host species soil-transmitted helminth infections in humans and domestic/livestock animals: A systematic review. PLoS Glob. Public Health 2025, 5, e0004614. [Google Scholar] [CrossRef]






| Gender | Prevalent Cases (95% UI) | Percentage Change (%) | ASPR (105, 95% UI) | EAPC (%, 95% CI) | DALYs Counts (95%UI) | Percentage Change (%) | ASDR (105, 95% UI) | EAPC (%, 95% CI) | ||||
|---|---|---|---|---|---|---|---|---|---|---|---|---|
| 1990 | 2021 | 1990 | 2021 | 1990 | 2021 | 1990 | 2021 | |||||
| Both | 411,914,391.13 (322,607,262.30–514,156,693.53) | 61,446,507.17 (40,508,264.84–89,273,607.63) | −85.08 | 34,073.24 (26,662.68–42,442.11) | 4981.01 (3271.48–7261.58) | −6.62 (−7.40, −5.83) | 1,138,511.95 (611,146.80–1,835,589.65) | 22,657.60 (11,600.37–37,867.68) | −98.01 | 94.66 (51.04, 152.49) | 1.77 (0.92, 2.94) | −14.05 (−15.04, −13.06) |
| Male | 212,759,238.92 (166,746,039.35–265,554,106.75) | 32,109,355.75 (21,155,114.45–46,672,781.25) | −84.91 | 34,153.27 (26,745.66–42,517.89) | 5003.27 (3285.67–7295.82) | −6.62 (−7.40, −5.83) | 581,546.75 (311,609.15–939,508.82) | 11,450.05 (5865.84–18,973.53) | −98.03 | 93.96 (50.53, 151.71) | 1.74 (0.90, 2.86) | −14.10 (−15.10, −13.09) |
| Female | 199,155,152.21 (155,861,222.94–248,602,586.79) | 29,337,151.42 (19,372,543.23–42,628,170.24) | −85.27 | 34,016.90 (26,596.79–42,398.10) | 4958.14 (3257.02–7226.14) | −6.63 (−7.42, −5.84) | 556,965.20 (299,776.15–896,253.92) | 11,207.55 (5731.94–18,764.57) | −97.99 | 95.52 (51.70, 153.50) | 1.81 (0.94, 3.00) | −14.00 (−14.98, −13.02) |
Disclaimer/Publisher’s Note: The statements, opinions and data contained in all publications are solely those of the individual author(s) and contributor(s) and not of MDPI and/or the editor(s). MDPI and/or the editor(s) disclaim responsibility for any injury to people or property resulting from any ideas, methods, instructions or products referred to in the content. |
© 2025 by the authors. Licensee MDPI, Basel, Switzerland. This article is an open access article distributed under the terms and conditions of the Creative Commons Attribution (CC BY) license (https://creativecommons.org/licenses/by/4.0/).
Share and Cite
Ni, B.; Zou, Y.; Tao, L.; Wang, W. Burden of Soil-Transmitted Helminth Infections in China: Historical Trends (1990–2021) and Future Projections (2035). Pathogens 2025, 14, 1114. https://doi.org/10.3390/pathogens14111114
Ni B, Zou Y, Tao L, Wang W. Burden of Soil-Transmitted Helminth Infections in China: Historical Trends (1990–2021) and Future Projections (2035). Pathogens. 2025; 14(11):1114. https://doi.org/10.3390/pathogens14111114
Chicago/Turabian StyleNi, Bixian, Yanzheng Zou, Luqiu Tao, and Wei Wang. 2025. "Burden of Soil-Transmitted Helminth Infections in China: Historical Trends (1990–2021) and Future Projections (2035)" Pathogens 14, no. 11: 1114. https://doi.org/10.3390/pathogens14111114
APA StyleNi, B., Zou, Y., Tao, L., & Wang, W. (2025). Burden of Soil-Transmitted Helminth Infections in China: Historical Trends (1990–2021) and Future Projections (2035). Pathogens, 14(11), 1114. https://doi.org/10.3390/pathogens14111114

