Journal Description
Fermentation
Fermentation
is an international, peer-reviewed, open access journal on fermentation process and technology, published monthly online by MDPI.
- Open Access— free for readers, with article processing charges (APC) paid by authors or their institutions.
- High Visibility: indexed within Scopus, SCIE (Web of Science), PubAg, FSTA, Inspec, CAPlus / SciFinder, and other databases.
- Journal Rank: JCR - Q2 (Biotechnology and Applied Microbiology) / CiteScore - Q1 (Plant Science)
- Rapid Publication: manuscripts are peer-reviewed and a first decision is provided to authors approximately 19.5 days after submission; acceptance to publication is undertaken in 2.9 days (median values for papers published in this journal in the second half of 2025).
- Recognition of Reviewers: reviewers who provide timely, thorough peer-review reports receive vouchers entitling them to a discount on the APC of their next publication in any MDPI journal, in appreciation of the work done.
Impact Factor:
3.3 (2024);
5-Year Impact Factor:
3.5 (2024)
Latest Articles
How Does Methanogenic Inhibition Affect Large-Scale Waste-to-Energy Anaerobic Digestion Processes? Part 2—Life Cycle Assessment
Fermentation 2026, 12(2), 87; https://doi.org/10.3390/fermentation12020087 - 3 Feb 2026
Abstract
Anaerobic digestion under a Waste-to-Energy (WtE-AD) framework represents a sustainable alternative for managing organic waste and generating bioenergy in developing countries. However, most life cycle assessment (LCA) studies implicitly assume stable operation, overlooking the environmental implications of process instability. In practice, large-scale WtE-AD
[...] Read more.
Anaerobic digestion under a Waste-to-Energy (WtE-AD) framework represents a sustainable alternative for managing organic waste and generating bioenergy in developing countries. However, most life cycle assessment (LCA) studies implicitly assume stable operation, overlooking the environmental implications of process instability. In practice, large-scale WtE-AD plants are frequently affected by methanogenic inhibition events that reduce methane production and compromise their technical, economic, and environmental performance. This study—Part 2 of a two-paper series—addresses this gap by quantifying, from a life cycle perspective, the environmental consequences of recurrent methanogenic inhibition events in large-scale WtE-AD systems, complementing the techno-economic analysis presented in Part 1. Large-scale WtE-AD plants were modeled using design equations based on treatment capacity (60–200 t d−1), considering scenarios with up to ten inhibition events over a 25-year operational period. The LCA was conducted in accordance with ISO 14040:14044 standards, defining as the functional unit one ton of co-digested fruit and vegetable residues with meat industry wastes, under an attributional approach with system boundary expansion and evaluating midpoint indicators through the ReCiPe 2016 method. Results show that inhibition events increase greenhouse gas emissions by up to 400% (from 28.1 to 138.6 kg CO2 eq t−1 of waste treated), while plants with capacities above 125 t d−1 exhibit environmental credits (negative emission balances), demonstrating greater environmental resilience. Electricity substitution from the Mexican grid generated savings of up to 0.624 kg CO2 eq kWh−1, although the magnitude of the benefits strongly depends on the regional electricity mix. This dependency was further explored through comparative electricity mix scenarios representative of different levels of power sector decarbonization, allowing the sensitivity of WtE-AD environmental performance to regional grid characteristics to be assessed. Compared to landfill disposal (1326 kg CO2 eq t−1), WtE-AD plants significantly reduce impacts across all assessed categories. By explicitly integrating operational instability into an industrial-scale LCA framework, this work highlights the importance of evaluating methanogenic inhibition events from a life cycle perspective, providing key insights for the design of more sustainable and resilient WtE-AD processes within a Latin American context.
Full article
(This article belongs to the Special Issue Technological Advances in Lignocellulosic Biomass Conversion to Bioenergy)
Open AccessReview
Bacterial Extracellular Vesicles in Biotechnology: Current Challenges and Strategies for Production Enhancement
by
Flavia Cannizzaro, Annamaria Gallo, Silvia La Scala, Giuseppe Gallo and Teresa Faddetta
Fermentation 2026, 12(2), 86; https://doi.org/10.3390/fermentation12020086 - 3 Feb 2026
Abstract
Bacterial extracellular vesicles (BEVs) are nanosized (10–400 nm), membrane-enclosed particles naturally secreted by both Gram-negative and Gram-positive bacteria. Initially characterized as virulence factors in pathogenic species, BEVs are now recognized as multifunctional entities with significant biotechnological potential. Their cargo—comprising proteins, lipids, nucleic acids,
[...] Read more.
Bacterial extracellular vesicles (BEVs) are nanosized (10–400 nm), membrane-enclosed particles naturally secreted by both Gram-negative and Gram-positive bacteria. Initially characterized as virulence factors in pathogenic species, BEVs are now recognized as multifunctional entities with significant biotechnological potential. Their cargo—comprising proteins, lipids, nucleic acids, and metabolites—enables diverse biological activities, including immune modulation, epithelial barrier protection, stress tolerance, and intercellular communication. Recent studies have highlighted BEVs from biotechnologically relevant bacteria—such as plant growth-promoting rhizobacteria, lactic acid bacteria, bifidobacteria, cyanobacteria, bacilli, and streptomycetes—for their different roles in biological and ecological interactions. These properties underpin emerging applications in health, agriculture, and bioprocessing, including next-generation postbiotics, vaccine platforms, drug and RNA delivery systems, and novel plant biostimulants. However, major challenges persist, particularly low production yields, variability in cargo composition, and scalability. Addressing these limitations requires a deeper understanding of vesiculation mechanisms and the development of process-oriented strategies for BEV recovery and purification. This review synthesizes recent advances in genetic analysis, physiological modulation, physicochemical stimuli, and bioprocess optimization aimed at enhancing BEV production and stabilizing cargo profiles, providing a comprehensive overview of approaches to unlock the full potential of BEVs as versatile biotechnological tools.
Full article
(This article belongs to the Special Issue Systems Metabolic Engineering for the Production of Value-Added Compounds)
►▼
Show Figures

Figure 1
Open AccessArticle
Anti-Coronavirus Activity of Extracts from Scenedesmus acutus cf. acutus Meyen Cultivated in Innovative Photobioreactor Systems
by
Maya Margaritova Zaharieva, Dimitrina Zheleva-Dimitrova, Pelagia Foka, Eirini Karamichali, Tanya Chan Kim, Vessela Balabanova-Bozushka, Yana Ilieva, Anna Brachkova, Reneta Gevrenova, Stanislav Philipov, Sevda Naydenska, Urania Georgopoulou, Alexander Kroumov and Hristo Najdenski
Fermentation 2026, 12(2), 85; https://doi.org/10.3390/fermentation12020085 (registering DOI) - 3 Feb 2026
Abstract
Coronaviruses are worldwide-distributed RNA viruses with zoonotic potential and the ability to jump from one host species to another, including humans. Even after the COVID-19 pandemic, the search for new, biologically active substances with anti-coronavirus activity continues to be a critical milestone for
[...] Read more.
Coronaviruses are worldwide-distributed RNA viruses with zoonotic potential and the ability to jump from one host species to another, including humans. Even after the COVID-19 pandemic, the search for new, biologically active substances with anti-coronavirus activity continues to be a critical milestone for human health protection. In the framework of a complex engineering strategy, we cultivated the microalgal species Scenedesmus acutus in two different innovative types of flat-plate photobioreactors (PBR1 and K1) for CO2 utilization and biomass production with special features. Isolated extracts from the microalgal biomass of each one were compared for their anti-coronavirus potential. The design of both PBRs allows a hydrodynamic regime to achieve best fluid flow distribution in their sections, therefore providing the optimal so-called flashing light effect. Of course, this is achieved under well-controlled operational conditions. A strain of beta coronavirus 1 (BCoV, bovine coronavirus) replicated in MDBK cells was used as an in vitro model for the evaluation of the antiviral activity of both extracts. The cell viability, number of survived BCoV particles, and cytopathic effect were evaluated after pre-incubation of the virus with the extracts or direct treatment. The extracts’ samples exhibited evident antiviral activity—extract 1 (from PBR1) in concentrations ≥ 200 µg/mL and extract 2 (from K1) in concentrations ≥150 µg/mL. The ddPCR result revealed significant diminishment of the BCoV particles in samples treated with higher concentrations of the extracts. The phytochemical analysis for certain main groups of compounds (flavonoids, polyphenols, carotenoids, and lipids) showed some differences for both extracts, which could be a possible reason for the observed difference in the antiviral activity. In conclusion, the innovative PBRs are a good platform for studying microalgal growth kinetics by applying different stress conditions from hydrodynamics and mass transfer subsystems. Both extracts showed promising potential for the isolation of metabolites with antiviral activity against BCoV and could be an object for future pharmacological investigations.
Full article
(This article belongs to the Section Fermentation Process Design)
►▼
Show Figures

Figure 1
Open AccessReview
Pullulan Production from Lignocellulosic Plant Biomass or Starch-Containing Processing Coproduct Hydrolysates
by
Thomas P. West
Fermentation 2026, 12(2), 84; https://doi.org/10.3390/fermentation12020084 - 3 Feb 2026
Abstract
The complex polysaccharide pullulan is characterized as a glucose-containing biopolymer that is both water-soluble and neutral in polarity. A variety of commercial applications exist for pullulan, including its utilization as a flocculant, a blood plasma substitute, a food additive, a dielectric material, an
[...] Read more.
The complex polysaccharide pullulan is characterized as a glucose-containing biopolymer that is both water-soluble and neutral in polarity. A variety of commercial applications exist for pullulan, including its utilization as a flocculant, a blood plasma substitute, a food additive, a dielectric material, an adhesive, or a packaging film. The fungus Aureobasidium pullulans has used several hydrolysates derived from plant biomass or starch-containing processing coproducts to support polysaccharide production. These include various plant biomass or processing coproduct streams such as lignocellulosic-containing peat, prairie grass, stalks, hulls, straw, shells, and pods or starch-containing coproducts from the processing of corn, rice, jackfruit seeds, palm kernels, cassava, and potatoes. The pullulan concentration produced by A. pullulans and the pullulan content of the polysaccharide depend on the plant hydrolysate carbon content and the strain used. If a lower-cost culture medium for fungal pullulan production were to be developed, a more economical approach to synthesizing commercial pullulan would be the utilization of plant-derived hydrolysates. This review examines the ability of selected hydrolysates of lignocellulosic plant biomass or plant-derived starch-containing processing coproducts to support A. pullulans polysaccharide synthesis in order to identify those substrates with the greatest potential for reducing the cost of commercial pullulan.
Full article
(This article belongs to the Special Issue Lignocellulosic Biomass Valorisation, 2nd Edition)
►▼
Show Figures

Graphical abstract
Open AccessArticle
Impact of Freeze-Drying on the Viability and Microbial Community Structure of Traditional Mexican Pulque
by
Mayrene Sarai Flores Montesinos, Fernando Astudillo-Melgar, Francisco Bolívar and Adelfo Escalante
Fermentation 2026, 12(2), 83; https://doi.org/10.3390/fermentation12020083 - 3 Feb 2026
Abstract
Pulque is a traditional Mexican fermented beverage produced by the spontaneous fermentation of the sap (aguamiel) produced by several Agave (maguey) species. Pulque fermentation starts with the addition of freshly collected aguamiel (harvested twice daily) into a traditional container known as the tinacal,
[...] Read more.
Pulque is a traditional Mexican fermented beverage produced by the spontaneous fermentation of the sap (aguamiel) produced by several Agave (maguey) species. Pulque fermentation starts with the addition of freshly collected aguamiel (harvested twice daily) into a traditional container known as the tinacal, which contains previously fermented pulque serving as a microbial inoculum; the native microbiota associated with both the aguamiel and the inoculum ferments the available sugars, driving the development of the beverage’s characteristic sensorial properties. However, the preservation of its complex microbiota for research, fermentation standardization, and long-term conservation has not been systematically evaluated. In this study, we assessed the impact of freeze-drying on the viability, taxonomic composition, and diversity of the bacterial and yeast communities of pulque across five independent batches. Viable counts revealed no systematic loss of cultivable populations across major guilds. High-throughput sequencing of the V3-V4 16S rDNA and ITS1 regions demonstrated that the global taxonomic structure of pulque is preserved mainly after freeze-drying, with dominant genera, including Lactobacillus, Acetobacter, Zymomonas, Lactococcus, Saccharomyces, and Kazachstania, remaining stable. A modest decrease in richness, without major shifts in community architecture, was observed among minor yeasts, indicating that freeze-drying effectively preserves the core microbiota of pulque. Moreover, preserving pulque biomass safeguards the microbial dimension of this ancestral biocultural resource while enabling future efforts to standardize fermentation and establish microbial biobanks.
Full article
(This article belongs to the Special Issue Starter Advances in Beverage and Dairy Fermentation)
►▼
Show Figures

Figure 1
Open AccessReview
Extracellular Polymeric Substance Production in Rhodococcus: Advances and Perspectives
by
Mariana P. Lanfranconi, Roxana A. Silva, Natalia E. Sandoval, José Sebastián Dávila Costa and Héctor M. Alvarez
Fermentation 2026, 12(2), 82; https://doi.org/10.3390/fermentation12020082 - 2 Feb 2026
Abstract
The genus Rhodococcus is relevant for its biosynthetic capabilities and metabolic versatility, resulting in the production of different metabolites to adapt to harsh environmental conditions. Exopolysaccharides are secreted by different members of Rhodococcus and have many biotechnological applications. Their use benefits different industries
[...] Read more.
The genus Rhodococcus is relevant for its biosynthetic capabilities and metabolic versatility, resulting in the production of different metabolites to adapt to harsh environmental conditions. Exopolysaccharides are secreted by different members of Rhodococcus and have many biotechnological applications. Their use benefits different industries such as environmental remediation, medicine, pharmaceuticals, and food, among others, that appear in existing literature. This study presents the advances, weaknesses, and future directions in the production of this biopolymer by Rhodococcus. It also provides an overview of their taxonomic distribution within the genus, their composition, structures, yield, and the underexplored genes and possible mechanisms involved in the synthesis of extracellular polymeric substances. By combining past and current research with future directions on production in Rhodococcus, this work aims to present this genus as a serious alternative for obtaining these unique natural polymers.
Full article
(This article belongs to the Special Issue Dissecting Actinobacteria: From Ecology and Biotechnological Value to Synthetic Biology)
►▼
Show Figures

Figure 1
Open AccessArticle
Investigation of Nitrate Respiration in Cupriavidus necator for Application in Life Support System
by
Pierre Joris, Eric Lombard, Alexis Paillet, Gregory Navarro, Stephane E. Guillouet and Nathalie Gorret
Fermentation 2026, 12(2), 81; https://doi.org/10.3390/fermentation12020081 - 2 Feb 2026
Abstract
Cupriavidus necator is a well-studied microorganism with potential application in bioregenerative life support systems for single-cell protein and bioplastic production. Most studies have been carried out in autotrophy or heterotrophy, requiring O2 as the final electron acceptor. In the context of inhabited
[...] Read more.
Cupriavidus necator is a well-studied microorganism with potential application in bioregenerative life support systems for single-cell protein and bioplastic production. Most studies have been carried out in autotrophy or heterotrophy, requiring O2 as the final electron acceptor. In the context of inhabited missions, access to O2 will primarily be limited to the crew. In this study, we investigated the capacity of C. necator to carry out nitrate respiration as a strategy to limit oxygen supply to the cultures by providing nitrate from another compartment of the Bioregenerative Life Support System (BLSS). Batch bioreactor experiments were carried out to determine the best conditions for nitrate utilization in terms of pH and aeration. Continuous cultures were then performed under two carbon sources (glucose vs. acetic acid) and two substrate limitations (nitrate vs. carbon). The optimal conditions were found to be pH 7.5 under anaerobiosis. They were applied in chemostats, where three steady-states were obtained at a low dilution rate. In all cases, the biomass consisted of a mixture of protein (from 29 ± 1% Cell Dry Weight (CDW) to 39 ± 2% CDW) and polyhydroxybutyrate (from 45 ± 2% CDW to 57 ± 3% CDW), which was found to be a key component for nitrate respiration metabolism. Microaerobic conditions were also tested in batch culture, reporting for the first time aerobic nitrate respiration in C. necator. Under these conditions, growth parameters improved during the nitrate phase; however, the specific growth rate during the nitrite phase was lower than that observed under strictly anaerobic conditions.
Full article
(This article belongs to the Section Fermentation Process Design)
►▼
Show Figures

Figure 1
Open AccessArticle
Fermentation Unlocks the Functional Role of Amaranth in Modulating Wheat/Amaranth Sourdough Microbiota and Inhibiting Yeast Growth of Refrigerated Doughs
by
Carolina Dardis, Emiliano Bilbao, María Cristina Añón and Analía G. Abraham
Fermentation 2026, 12(2), 80; https://doi.org/10.3390/fermentation12020080 - 2 Feb 2026
Abstract
This study focuses on the development of refrigerated doughs without chemical preservatives to obtain a clean-label product. Sourdough-based strategies were applied to replace conventional preservatives, using both spontaneous flour fermentation and a defined starter culture of Lactiplantibacillus plantarum CIDCA 8327. In parallel, a
[...] Read more.
This study focuses on the development of refrigerated doughs without chemical preservatives to obtain a clean-label product. Sourdough-based strategies were applied to replace conventional preservatives, using both spontaneous flour fermentation and a defined starter culture of Lactiplantibacillus plantarum CIDCA 8327. In parallel, a partial substitution of wheat flour with 7% amaranth flour was evaluated. To monitor fermentation, pH, titratable acidity, and viable microorganism counts were determined in the sourdoughs, along with culture-independent analyses of microbial communities in two independent spontaneously fermented trials. Dough discs prepared from these sourdoughs were analyzed for pH, titratable acidity, and viable microorganisms, and shelf life was determined based on the appearance of visible mould during refrigerated storage. No substantial differences were observed in the physicochemical parameters of the sourdoughs; however, significant differences in microbial communities were detected, influenced by both amaranth addition and wheat flour batch variability. Dough discs prepared with amaranth flour and spontaneous fermentation showed an extended shelf life and lower mould and yeast counts during refrigerated storage. The use of the starter increased shelf life compared to non-fermented doughs but was less effective than spontaneous sourdough with amaranth. Overall, these results highlight the potential of sourdough technology and amaranth flour for developing clean-label refrigerated products.
Full article
(This article belongs to the Special Issue Fermented Cereals and Legumes: Innovation for the Development and Characterization of Functional Foods)
►▼
Show Figures

Graphical abstract
Open AccessArticle
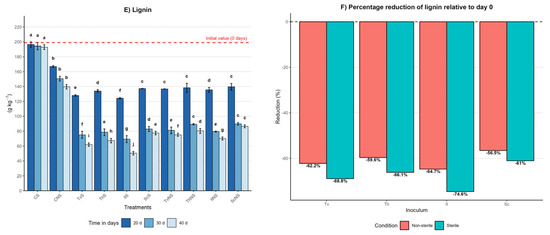
Functional Differentiation and Structural Disruption of Agave tequilana Bagasse by Lignocellulolytic Fungi Under Sterile and Non-Sterile Substrate Conditions
by
Luis Ángel Alcalán-López, Marcos Alfonso Lastiri-Hernández, Dioselina Álvarez-Bernal, Eloy Conde-Barajas and María de la Luz Xochilt Negrete-Rodríguez
Fermentation 2026, 12(2), 79; https://doi.org/10.3390/fermentation12020079 - 2 Feb 2026
Abstract
Agave bagasse is a lignocellulosic residue generated after the extraction of fermentable sugars from agave hearts during tequila production. More than 0.5 million tons are generated annually, accumulating on a massive scale and posing a serious environmental challenge. In this regard, the objective
[...] Read more.
Agave bagasse is a lignocellulosic residue generated after the extraction of fermentable sugars from agave hearts during tequila production. More than 0.5 million tons are generated annually, accumulating on a massive scale and posing a serious environmental challenge. In this regard, the objective of this study was to evaluate the degradative capacity of Trametes versicolor (Tv), Trametes hirsuta (Th), Irpex lacteus (Il), and Schizophyllum commune (Sc) on Agave tequilana Weber variety azul bagasse through the analysis of total sugars, cellulose, hemicellulose, and lignin reduction in a solid-static treatment. Under sterile conditions, Tv reduced total sugars by 95.0%, Th by 89.5%, Il by 91.8%, and Sc by 74.6%; whereas under non-sterile conditions, reductions were 81.6%, 71.4%, 84.9%, and 64.7%, respectively. Regarding structural fractions under sterile conditions, Tv showed reductions of 67.8% in cellulose, 61.9% in hemicellulose, and 68.8% in lignin. Th achieved 62.8%, 58.8%, and 66.1%, respectively; Il exhibited the highest values, with 72.9%, 66.9%, and 74.6%; while Sc recorded 55.9%, 44.2%, and 61.0%. In contrast, reductions were lower under non-sterile conditions: Tv recorded 57.8%, 34.2%, and 62.2%; Th, 53.9%, 32.1%, and 59.6%; Il, 58.8%, 47.1%, and 64.7%; and Sc, 49.9%, 30.0%, and 56.5%. Overall, sterile substrate conditions maximized lignocellulosic degradation; however, the sustained activity observed under non-sterile conditions demonstrates that effective biological pretreatment can be achieved without sterilization, which is more relevant for large-scale solid-state fermentation. The results demonstrate that T. versicolor and I. lacteus possess high potential as biological pretreatment agents by accelerating the depolymerization of the lignocellulosic matrix. This effect could reduce composting times and enable applications that favor its inclusion in circular economy frameworks.
Full article
(This article belongs to the Section Industrial Fermentation)
►▼
Show Figures

Graphical abstract
Open AccessArticle
Novel Silicone–Polyol Antifoam Emulsions: Impact on Foam Control and Physiology of Diverse Microbial Cultures
by
Mikhail Frolov, Trofim A. Lozhkarev, Elmira A. Vasilieva, Leysan A. Vasileva, Almaz A. Zagidullin, Lucia Ya. Zakharova, Galim A. Kungurov, Natalia V. Trachtmann and Shamil Z. Validov
Fermentation 2026, 12(2), 78; https://doi.org/10.3390/fermentation12020078 - 1 Feb 2026
Abstract
The selection of an optimal antifoam is critical for efficient fermentation, as industrial agents often have detrimental side effects like growth inhibition, while some can enhance productivity. We studied the efficacy of novel silicone–polyol antifoam emulsions for use in fermentation as defoamers. Except
[...] Read more.
The selection of an optimal antifoam is critical for efficient fermentation, as industrial agents often have detrimental side effects like growth inhibition, while some can enhance productivity. We studied the efficacy of novel silicone–polyol antifoam emulsions for use in fermentation as defoamers. Except for agent 3L10, all antifoams tested did not show inhibition on six bacterial and one fungal culture. Interestingly, agent 3L10 strongly inhibited Gram-positive bacteria (especially Corynebacterium glutamicum) but not Gram-negative strains. A comprehensive evaluation protocol—combining chemical design, cytotoxicity screening across diverse microorganisms, the determination of minimum effective concentrations (MECs), and validation in model bioreactor fermentations—was established. Through this process, 6T80 was identified as a promising antifoam agent for fermentation. It exhibited a low MEC, high emulsion stability, and no cytotoxicity and did not impair growth or recombinant protein production in Bacillus subtilis or Pseudomonas putida fermentations. This study concludes that agent 6T80 is suitable for further application in processes involving Gram-negative and certain Gram-positive hosts. The developed methodology enables the targeted selection of highly efficient and biocompatible antifoams for specific biotechnological processes.
Full article
(This article belongs to the Section Fermentation Process Design)
►▼
Show Figures

Figure 1
Open AccessArticle
Laser-Based Online OD Measurement of 48 Parallel Stirred Tank Bioreactors Enables Fast Growth Improvement of Gluconobacter oxydans
by
Zeynep Güreli, Emmeran Bieringer, Elif Ilgim, Tanja Wolf, Kai Kress and Dirk Weuster-Botz
Fermentation 2026, 12(2), 77; https://doi.org/10.3390/fermentation12020077 - 1 Feb 2026
Abstract
A parallel-stirred tank bioreactor system on a 10 mL-scale automated with a liquid handling station introduces significant benefits in bioprocess analysis and design regarding preserving time, cost, and workload, thereby enabling quick generation of bioprocess results that can be easily scaled up. Although
[...] Read more.
A parallel-stirred tank bioreactor system on a 10 mL-scale automated with a liquid handling station introduces significant benefits in bioprocess analysis and design regarding preserving time, cost, and workload, thereby enabling quick generation of bioprocess results that can be easily scaled up. Although up-to-date approaches enable the online analysis of individual reactors for pH, dissolved oxygen (DO), and optical density (OD), the automated calibration of a new online laser-based infrared OD sensor device and noise reduction are still required. Among the extensive research on the full-data smoothing tools, the Savitzky–Golay (Savgol) filter was determined as the most effective one. Scattered and transmitted online light values were successfully aligned with the reference at-line OD values measured at 600 nm by the liquid handler with a step time of a few hours. The growth of an engineered Gluconobacter oxydans designed for specific whole-cell oxidations has been investigated in two parallel batch process setups with varied sugar types at varying sugar concentrations, combinations of sugars, and altered concentrations of complex media. Simulation of real-time smoothing was applied with a Kalman filter. Rapid adaptation was observed within a few upcoming data points by altering the parameters for the estimation of the noise in the signal. For almost all tested reaction conditions, a successful alignment of the simulation of real-time smoothed online OD with at-line values was achieved. The best growth condition was determined in the presence of 120 g L−1 glucose and 30 g L−1 fructose with the tripled peptone concentration. Under these conditions, OD600 increased by 109%, from 2.1 to 4.4, compared to the reference process.
Full article
(This article belongs to the Special Issue The Future of Fermentation Technology in the Biorefining Process: 3rd Edition)
►▼
Show Figures

Figure 1
Open AccessArticle
The Role of Peroxisomes in the Stress Tolerance of the Methylotrophic Yeast Ogataea polymorpha at the Transition into Anhydrobiosis
by
Edgars Dauss, Andriy Sibirny and Alexander Rapoport
Fermentation 2026, 12(2), 76; https://doi.org/10.3390/fermentation12020076 - 1 Feb 2026
Abstract
Peroxisomes are dynamic organelles involved in multiple metabolic pathways that respond to cellular and environmental conditions. Yeasts are a useful model for peroxisome studies, as their growth in media containing peroxisome proliferators, such as methanol, induces peroxisome biogenesis. We analyzed Ogataea polymorpha strains
[...] Read more.
Peroxisomes are dynamic organelles involved in multiple metabolic pathways that respond to cellular and environmental conditions. Yeasts are a useful model for peroxisome studies, as their growth in media containing peroxisome proliferators, such as methanol, induces peroxisome biogenesis. We analyzed Ogataea polymorpha strains defective in peroxisome biogenesis (pex3Δ) or peroxisomal matrix protein import (pex6Δ). The mutant strains differed in their ability to survive dehydration and rehydration after incubation in peroxisome-inducing conditions, but these differences were not related to resistance to oxidative, hyperosmotic, or heat stress. These results indicate that peroxisomes support efficient entry into anhydrobiosis and subsequent recovery through a mechanism that is independent of general stress tolerance. We hypothesized that this effect is mediated by autophagic processes required for the removal of damaged organelles during desiccation. To test this hypothesis, we compared cells with basal peroxisome levels to cells with increased peroxisome numbers following the induction of peroxisome division. Autophagy was inhibited indirectly by disrupting vacuolar acidification with ammonium chloride. This strategy enabled us to explore how the peroxisome abundance and autophagic activity affect the ability of cells to enter anhydrobiosis and survive recovery.
Full article
(This article belongs to the Section Yeast)
►▼
Show Figures

Figure 1
Open AccessReview
Applications of Food-Associated Lactobacillaceae in Fermented Foods, Health, and Emerging Biotechnologies
by
Shazia Pathan, Veronika Karlegan and David Q. Shih
Fermentation 2026, 12(2), 75; https://doi.org/10.3390/fermentation12020075 - 30 Jan 2026
Abstract
The family Lactobacillaceae, reclassified in 2020 into 25 genera comprising 261 species, remains one of the most extensively studied groups of lactic acid bacteria (LAB) due to its wide distribution in fermented products, commensal presence in the gastrointestinal tract, and studied health
[...] Read more.
The family Lactobacillaceae, reclassified in 2020 into 25 genera comprising 261 species, remains one of the most extensively studied groups of lactic acid bacteria (LAB) due to its wide distribution in fermented products, commensal presence in the gastrointestinal tract, and studied health effects. Long classified as “generally recognized as safe (GRAS)” by the U.S. Food and Drug Administration (FDA), these organisms not only contribute to the flavor, texture, and preservation of fermented foods and beverages but also provide important health benefits as probiotics. Their metabolic versatility allows them to produce lactic acid, bacteriocins, and other bioactive compounds that inhibit pathogenic microorganisms and enhance food quality. This review provides a comprehensive overview of the functional roles of members of the Lactobacillaceae family in the context of the food matrix in fermentation, health, and biotechnology, and examines recent advances in functional genomics, metabolomics, and extracellular vesicle research to highlight future directions for leveraging these microorganisms in sustainable and innovative applications.
Full article
(This article belongs to the Special Issue Application of Lactobacillus in Fermented Food and Beverages, 2nd Edition)
►▼
Show Figures

Figure 1
Open AccessArticle
Fermentation-Driven Generation of α-Glucosidase Inhibitory Whey Peptides by Marine-Derived Probiotic Lacticaseibacillus casei DS31: Activity Enrichment and Peptidomics
by
Han Zhang, Xu Tang, Longhe Yang, Shen Yang and Peng Wu
Fermentation 2026, 12(2), 74; https://doi.org/10.3390/fermentation12020074 - 29 Jan 2026
Abstract
This study investigated the generation of α-glucosidase inhibitory peptides from whey protein fermented by the marine-derived probiotic Lacticaseibacillus casei DS31 (isolated from the intestinal microbiota of the large yellow croaker, Larimichthys crocea) and assessed their potential for practical glycemic management. Fermentation markedly
[...] Read more.
This study investigated the generation of α-glucosidase inhibitory peptides from whey protein fermented by the marine-derived probiotic Lacticaseibacillus casei DS31 (isolated from the intestinal microbiota of the large yellow croaker, Larimichthys crocea) and assessed their potential for practical glycemic management. Fermentation markedly increased inhibitory activity, with the freeze-dried crude supernatant exhibiting an IC50 of 2.115 mg/mL. Activity was further enriched through stepwise purification: ultrafiltration (<3 kDa) improved potency (IC50 = 1.206 mg/mL), and subsequent Sephadex (crosslinked dextran) G-15 gel filtration yielded a more active E fraction (IC50 = 1.145 mg/mL). LC–MS/MS characterized 19 peptides, and integrated in silico screening (PeptideRanker combined with molecular docking) highlighted GEPGPEGPAG as a leading candidate, showing a more favorable predicted binding energy (−82.50 kcal/mol) than the positive control acarbose (−69.31 kcal/mol). Docking analysis suggests that GEPGPEGPAG may inhibit α-glucosidase by forming a stable network of hydrogen bonds, salt bridges, and hydrophobic interactions within the catalytic pocket. Overall, DS31-fermented whey and its enriched fractions show promise as functional ingredients for postprandial glycemic control.
Full article
(This article belongs to the Section Probiotic Strains and Fermentation)
►▼
Show Figures

Graphical abstract
Open AccessReview
Fermenting the Unused: Microbial Biotransformation of Food Industry By-Products for Circular Bioeconomy Valorisation
by
Elsa M. Gonçalves, José M. Pestana and Nuno Alvarenga
Fermentation 2026, 12(2), 73; https://doi.org/10.3390/fermentation12020073 - 28 Jan 2026
Abstract
The food industry generates large volumes of nutrient-rich by-products that remain underutilised despite their considerable biochemical potential. These materials originate predominantly from the fruit and vegetable, dairy, meat, and fish and seafood sectors and represent a substantial opportunity for sustainable valorisation. Fermentation has
[...] Read more.
The food industry generates large volumes of nutrient-rich by-products that remain underutilised despite their considerable biochemical potential. These materials originate predominantly from the fruit and vegetable, dairy, meat, and fish and seafood sectors and represent a substantial opportunity for sustainable valorisation. Fermentation has emerged as a powerful platform for converting such by-products into high-value ingredients, including bioactive compounds, functional metabolites, enzymes, antimicrobials, and nutritionally enriched fractions. This review synthesises recent advances in microbial fermentation strategies—spanning lactic acid bacteria, filamentous fungi, yeasts, and mixed microbial consortia—and highlights their capacity to enhance the bioavailability, stability, and functionality of recovered compounds across diverse substrate streams. Key technological enablers, including substrate pre-treatments, precision fermentation, omics-guided strain selection and improvement, and bioprocess optimisation, are examined within the broader framework of circular bioeconomy integration. Despite significant scientific progress, major challenges remain, particularly related to substrate heterogeneity, process scalability, regulatory alignment, safety assessment, and consumer acceptance. The review identifies critical research gaps and future directions, emphasising the need for standardised analytical frameworks, harmonised compositional databases, AI-driven fermentation control, integrated biorefinery concepts, and pilot-scale validation. Overall, the evidence indicates that integrated fermentation-based approaches—especially those combining complementary by-product streams, tailored microbial consortia, and system-level process integration—represent the most promising pathway toward the scalable, sustainable, and economically viable valorisation of food industry by-products.
Full article
(This article belongs to the Special Issue Novel Strategies and Emerging Technologies in Functional and Sustainable Food Systems)
►▼
Show Figures

Graphical abstract
Open AccessArticle
Influence of Global Regulatory Factors on Fengycin Synthesis by Bacillus amyloliquefaciens TF28
by
Gengxuan Yan, Lu Zhou, Yan Xu, Haihua Xia, Yuan Tian and Chong Yu
Fermentation 2026, 12(2), 72; https://doi.org/10.3390/fermentation12020072 - 27 Jan 2026
Abstract
Fengycin, a lipopeptide synthesized by Bacillus species, exhibits pronounced antifungal activity; however, its low production titer remains a primary constraint to broader application. Global regulatory factors constitute key actionable targets for enhancing microbial synthesis. Here, we verified the ability of Bacillus amyloliquefaciens TF28
[...] Read more.
Fengycin, a lipopeptide synthesized by Bacillus species, exhibits pronounced antifungal activity; however, its low production titer remains a primary constraint to broader application. Global regulatory factors constitute key actionable targets for enhancing microbial synthesis. Here, we verified the ability of Bacillus amyloliquefaciens TF28 to produce fengycin with potent inhibitory activity. Transcriptomic analysis identified five global regulators linked to fengycin biosynthesis in this strain. Following their overexpression, fermentation kinetics indicated that while these regulators generally did not affect glucose utilization, each exerted a distinct effect on cell growth and fengycin production. Specifically, degQ overexpression increased fengycin production to 116.0 mg/L, corresponding to a 23.40% increase relative to the strain without degQ overexpression, whereas overexpression of degU, sigmaH, phoP, and abrB reduced it. Moreover, degQ and abrB overexpression modulated the expression of key fengycin synthetase genes, including fenA and fenB. Collectively, these findings establish that degQ, degU, sigmaH, phoP, and abrB functionally regulate fengycin biosynthesis in B. amyloliquefaciens TF28, providing a conceptual framework for the rational design of engineered strains with enhanced fengycin productivity.
Full article
(This article belongs to the Section Microbial Metabolism, Physiology & Genetics)
►▼
Show Figures

Figure 1
Open AccessArticle
Evolutionarily Distinct Enzymes Uncovered Through Sequence Similarity Network Analysis of De Novo Transcriptomes from Underexplored Protist Axenic Cultures
by
Manabu W. L. Tanimura, Motoki Kayama and Kazumi Matsuoka
Fermentation 2026, 12(2), 71; https://doi.org/10.3390/fermentation12020071 - 27 Jan 2026
Abstract
Protists represent a vast yet underexplored reservoir of enzymatic diversity across the eukaryotic tree of life. In this study, we established axenic strains of diverse protists from four major eukaryotic supergroups using single-cell isolation and generated de novo transcriptomes for each strain, as
[...] Read more.
Protists represent a vast yet underexplored reservoir of enzymatic diversity across the eukaryotic tree of life. In this study, we established axenic strains of diverse protists from four major eukaryotic supergroups using single-cell isolation and generated de novo transcriptomes for each strain, as reference genomes or transcriptomes are not available for these strains. As a test case for industrial enzyme discovery, we targeted nine enzyme classes used in pulp processing and evaluated whether protist-derived sequences occupy underrepresented sequence space relative to major public databases. Functional annotation combined with Sequence Similarity Network analysis revealed multiple clusters composed exclusively of protist-origin sequences, indicating candidate enzymes with high sequence-level novelty. These results suggest that protists may provide a practical resource for expanding the repertoire of industrially relevant enzymes and prioritizing targets for further characterization. However, additional in silico analyses and experimental validation will be required to determine whether these sequence-divergent candidates exhibit properties that meet industrial requirements.
Full article
(This article belongs to the Special Issue 10th Anniversary of Fermentation: Feature Papers in Section "Industrial Fermentation")
►▼
Show Figures

Figure 1
Open AccessArticle
Multi-Omics Analysis of Stress Responses for Industrial Yeast During Beer Post-Fermentation
by
Yilin Fan, Xiaoping Hou, Zongming Chang, Jiahui Ding, Jianghua Li, Xinrui Zhao and Yang He
Fermentation 2026, 12(2), 70; https://doi.org/10.3390/fermentation12020070 - 26 Jan 2026
Abstract
Intracellular metabolites markedly change in yeast during fermentation, especially under various stresses in beer post-fermentation. To address the current limitations in understanding the regulatory mechanisms in this complex environment, industrial brewing yeast was analyzed using integrated transcriptomics and proteomics across the post-fermentation phases,
[...] Read more.
Intracellular metabolites markedly change in yeast during fermentation, especially under various stresses in beer post-fermentation. To address the current limitations in understanding the regulatory mechanisms in this complex environment, industrial brewing yeast was analyzed using integrated transcriptomics and proteomics across the post-fermentation phases, dynamically profiling the transcriptional levels and protein abundances of differentially expressed genes. As a result, 6110 differentially expressed genes (DEGs) and 3533 differentially expressed proteins (DEPs) were identified. Additionally, transcriptomics showed the induced expression of low-pH- and oxidative stress-related genes (HAL1, HAL4, YAP5), gluconeogenesis- and sugar transport-related genes (HXT, MAL, FBP), and mannan synthetic genes (FSK, MNN) during early post-fermentation. Moreover, heat-shock-related genes were upregulated throughout post-fermentation. Furthermore, proteomics revealed the sustained upregulation of glucosidase Scw, mannoprotein Pir, hexose transporter Hxt, and heat-shock proteins (Hsp). These findings indicate that yeast adapts to stress in the wort environment during post-fermentation by enhancing cell wall biosynthesis, activating heat-shock responses, and modulating metabolic pathways. These integrated omics analyses provide guidance for selecting robust, tolerant strains to industrial-scale stresses and improving beer flavor profiles, establishing a theoretical foundation for optimizing brewing and enhancing beer quality.
Full article
(This article belongs to the Section Fermentation for Food and Beverages)
►▼
Show Figures

Figure 1
Open AccessArticle
Mesophilic Trickle-Bed Reactors for Enhanced Ex Situ Biogas Upgrading at Short Gas Retention Times: Process Performance and Microbial Insights
by
Christina Karyofyllidou, Apostolos Spyridonidis, Vasileios Diamantis, Ioannis Galiatsatos, George Tsiamis, Panagiota Stathopoulou, Ioannis Kosmadakis, Alexandros Eftaxias and Katerina Stamatelatou
Fermentation 2026, 12(2), 69; https://doi.org/10.3390/fermentation12020069 - 26 Jan 2026
Abstract
Biological upgrading of biogas to biomethane is a promising power-to-gas technology with a low environmental footprint. However, due to the lower conversion rates, long-term investigations on mesophilic trickle-bed reactors (TBRs) remain scarce. This study systematically evaluated the performance of lab-scale mesophilic TBRs operated
[...] Read more.
Biological upgrading of biogas to biomethane is a promising power-to-gas technology with a low environmental footprint. However, due to the lower conversion rates, long-term investigations on mesophilic trickle-bed reactors (TBRs) remain scarce. This study systematically evaluated the performance of lab-scale mesophilic TBRs operated for more than 600 days. A TBR packed with plastic media (Kaldnes K1) consistently achieved methane (CH4) concentrations > 96% at GRTs as short as 2.2 h, and down to 1 h under a mild overpressure (0.1 bar). Mild pressurization (0.1 bar) enabled methane production rates (MPRs) of up to 2.8 NL L−1 d−1 under a hydrogen loading rate (HLR) of 14.9 NL L−1 d−1. At atmospheric pressure, stable MPRs of approximately 2 NL L−1 d−1 were achieved under an HLR of 9 NL L−1 d−1. Microbial community analysis revealed strong enrichment of hydrogenotrophic Methanobacterium (>90% relative abundance) in both suspended and attached biomass, confirming the establishment of a stable methanation pathway. Overall, the results demonstrate that high-rate and stable biomethanation can be achieved under mesophilic conditions at GRTs as low as 1 h, providing new insights for cost-effective biomethane production.
Full article
(This article belongs to the Topic Biomass: Advanced Strategies for Renewable Chemicals and Energy Production)
►▼
Show Figures

Figure 1
Open AccessArticle
Insights into IAA Production by the Halotolerant Bacterium Vreelandella titanicae
by
Gianmaria Oliva, Patrizia Iannece, Stefano Castiglione and Giovanni Vigliotta
Fermentation 2026, 12(2), 68; https://doi.org/10.3390/fermentation12020068 - 24 Jan 2026
Abstract
The excessive use of chemical fertilizers raised concerns regarding environmental sustainability and soil degradation, prompting increasing interest in biofertilizers as eco-friendly alternatives. Among these, a compound that is effective in stimulating root and plant growth is indole-3-acetic acid (IAA). In our study, we
[...] Read more.
The excessive use of chemical fertilizers raised concerns regarding environmental sustainability and soil degradation, prompting increasing interest in biofertilizers as eco-friendly alternatives. Among these, a compound that is effective in stimulating root and plant growth is indole-3-acetic acid (IAA). In our study, we evaluated IAA production by the halotolerant bacterium Vreelandella titanicae under different and varying nutritional conditions, such as tryptophan availability, temperature, pH, salinity, etc. The bacterium showed significant IAA production under a broad range of conditions and a dependence on the presence of tryptophan for IAA biosynthesis. High salinity (1.0 M NaCl), slightly alkaline pH (8.0–9.0), and temperatures of 34 °C increased IAA production, while optimal growth occurred in the absence of NaCl at a range of temperatures of 25–28 °C, suggesting a stress-responsive regulation of its biosynthesis. Easily metabolizable carbon sources, such as glucose and mannitol, enhanced IAA yield again, whereas additions of 1.0 g L−1 NH4NO3 and KH2PO4 in the basal medium, poor in these salts, inhibited both the growth of the bacterium and IAA production. Notably, V. titanicae produced relevant amounts of IAA in seawater (24.57 ± 11.28 μg⋅mL−1) when used as growth medium and dairy whey (15.68 ± 2.42 μg⋅mL−1), highlighting its suitability for low-cost and circular bioprocessing strategies. In conclusion, V. titanicae is a promising Plant Growth-Promoting Rhizobacterium (PGPR) candidate for sustainable IAA production and potential application in saline or marginal agricultural soils. Its ability to synthesize IAA in different growth media could allow its exploitation in environmentally friendly bioprocesses.
Full article
(This article belongs to the Special Issue 10th Anniversary of Fermentation: Feature Papers in Section “Microbial Metabolism, Physiology & Genetics”)
►▼
Show Figures

Figure 1
Highly Accessed Articles
Latest Books
E-Mail Alert
News
Topics
Topic in
Applied Biosciences, Applied Sciences, Fermentation, Marine Drugs, Microorganisms, Phycology
Microalgae: Current Trends in Basic Research and Applications
Topic Editors: Nhuan Nghiem, Tae Hyun KimDeadline: 31 March 2026
Topic in
Applied Biosciences, Applied Microbiology, Fermentation, Marine Drugs, Microorganisms
Microbial Cell Factories for Natural Products
Topic Editors: Carlos Barreiro, Ana Ibáñez, José L. BarredoDeadline: 31 May 2026
Topic in
Fermentation, Membranes, Recycling, Sustainability, Separations, ChemEngineering
Separation Techniques and Circular Economy
Topic Editors: Da-Qi Cao, Qunhui Wang, Yuanyuan Ren, Yangmo ZhuDeadline: 30 June 2026
Topic in
Applied Microbiology, Fermentation, Foods, Microbiology Research, Microorganisms, Nutrients
News and Updates on Probiotics
Topic Editors: Alessandra Pino, Mutamed AyyashDeadline: 30 September 2026
Special Issues
Special Issue in
Fermentation
Alcoholic Fermentation
Guest Editor: Wenchao CaiDeadline: 10 February 2026
Special Issue in
Fermentation
Development and Application of Starter Cultures, 2nd Edition
Guest Editors: Roberta Comunian, Luigi ChessaDeadline: 15 February 2026
Special Issue in
Fermentation
Valorisation of Agro-Industrial By-Products Through Fermentation or Eco-Friendly Techniques
Guest Editors: Paola Foti, Flora Valeria RomeoDeadline: 20 February 2026
Special Issue in
Fermentation
Traditional and Innovative Fermented Dairy Products
Guest Editors: Thomas Bintsis, Photis PapademasDeadline: 20 February 2026
Topical Collections
Topical Collection in
Fermentation
Bioconversion of Lignocellulosic Materials to Value-Added Products
Collection Editors: Alexander Rapoport, Pietro Buzzini


