Journal Description
Spectroscopy Journal
Spectroscopy Journal
is an international, peer-reviewed, open access journal on all aspects of spectroscopy published quarterly online by MDPI.
- Open Access— free for readers, with article processing charges (APC) paid by authors or their institutions.
- Rapid Publication: manuscripts are peer-reviewed and a first decision is provided to authors approximately 19.4 days after submission; acceptance to publication is undertaken in 5.8 days (median values for papers published in this journal in the first half of 2025).
- Recognition of Reviewers: APC discount vouchers, optional signed peer review, and reviewer names published annually in the journal.
- Spectroscopy Journal is a companion journal of Applied Sciences.
Latest Articles
Perturbed Angular Correlation (PAC) Spectroscopy in the Fast Reorientation Time Regime: Can Global Molecular Rotational Diffusion and Local Dynamics Be Discriminated?
Spectrosc. J. 2025, 3(4), 33; https://doi.org/10.3390/spectroscj3040033 - 2 Dec 2025
Abstract
►
Show Figures
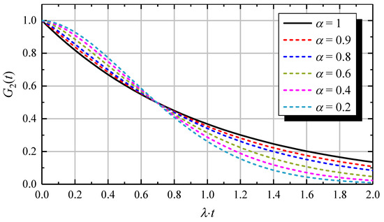
In PAC spectroscopy, hyperfine interactions of a radioactive probe nucleus with its surroundings are measured, providing information about the local atomic structure and dynamics at the probe site. In the so-called fast reorientation time regime for fluctuating nuclear quadrupole interactions (NQIs), the PAC
[...] Read more.
In PAC spectroscopy, hyperfine interactions of a radioactive probe nucleus with its surroundings are measured, providing information about the local atomic structure and dynamics at the probe site. In the so-called fast reorientation time regime for fluctuating nuclear quadrupole interactions (NQIs), the PAC signal is an exponentially decaying function, with decay constant λ depending on both the hyperfine interaction and dynamics. For a molecular system in solution, dynamics may originate from Brownian molecular tumbling (rotational diffusion) with rotational correlation time τc and from local dynamics at the probe site, occurring at a characteristic time scale τloc. The τc and the τloc cannot be discriminated in a single PAC spectrum; however, assuming that they scale differently with viscosity and temperature, a series of experiments in which these parameters are varied may allow for discrimination of τc and the τloc. Three models are presented for the effect of dynamics on the PAC signal: (1) the Stokes–Einstein–Debye model with linear scaling of λ with viscosity ξ; (2) a more general model presenting a power law scaling of λ with (ξ/ξ0)n; and (3) a model that includes rotational and local dynamics leading to an expression for λ that scales with ξ/(ξ + c), where c is a constant that depends on temperature, molecular volume, and τloc. These models may serve as different approaches to analyze PAC data and their dependence on temperature and solvent viscosity in the fast reorientation time regime, and they can be applied to design experiments for optimal discrimination of global rotational diffusion and local dynamics at the probe site.
Full article
Open AccessArticle
Coal Quality Analysis Based on Laser-Induced Breakdown Spectroscopy
by
Rongzhou Zhang, Syed Zaheer Ud Din, Chunling Dang, Xiangming Kong, Rongxin Ma, Jianli Ning, Guangtao Fu, Jiancai Leng and Wenhao Zhang
Spectrosc. J. 2025, 3(4), 32; https://doi.org/10.3390/spectroscj3040032 - 1 Dec 2025
Abstract
The study presents a novel approach that integrates laser-induced breakdown spectroscopy (LIBS) data with machine learning algorithms for the rapid evaluation of coal quality. The developed framework enables the determination of three critical parameters: Ash Content (Aad), Carbon Content (Cd
[...] Read more.
The study presents a novel approach that integrates laser-induced breakdown spectroscopy (LIBS) data with machine learning algorithms for the rapid evaluation of coal quality. The developed framework enables the determination of three critical parameters: Ash Content (Aad), Carbon Content (Cd), Sulfur Content (Stad). The experimental implementation utilized an optimized dataset to construct and evaluate the predictive model. The LIBS prototype system enables spectral data acquisition under controlled experimental conditions. Data preprocessing is carried out by systematically removing background interference and substrate effects using adaptive filtering techniques. Characteristic emission peaks corresponding to target elements are identified through multivariate analysis, and Partial Least Squares Regression (PLSR) serves as the core algorithm for analysis. Systematic iterative optimization of multivariate preprocessing parameters and adaptive peak selection strategies yields substantial improvements in both predictive accuracy and computational efficiency, with determination coefficients (R2 > 0.90) demonstrated for all target analytes. This enhanced accuracy validates the viability of LIBS as a robust alternative to conventional analytical methods for coal composition analysis. The LIBS demonstrates substantial advantages in coal quality assessment, thereby enhancing the overall efficiency of both coal extraction and quality evaluation processes.
Full article
(This article belongs to the Special Issue Emerging Trends in Laser-Induced Breakdown Spectroscopy: From Plasma Stability to Smart Technology)
►▼
Show Figures

Graphical abstract
Open AccessReview
Advances in Conventional and Extended Fluorescence Correlation Spectroscopy for the Analysis of Biological Clusters and Aggregates
by
Akira Kitamura
Spectrosc. J. 2025, 3(4), 31; https://doi.org/10.3390/spectroscj3040031 - 5 Nov 2025
Abstract
►▼
Show Figures
Biological clusters, encompassing proteins, nucleic acids, and lipids, represent functional assemblies that underpin cellular physiology and contribute to disease pathogenesis. Their detection and characterization remain technically challenging due to their multistep, heterogeneous, and often transient nature. Fluorescence correlation spectroscopy (FCS) has become a
[...] Read more.
Biological clusters, encompassing proteins, nucleic acids, and lipids, represent functional assemblies that underpin cellular physiology and contribute to disease pathogenesis. Their detection and characterization remain technically challenging due to their multistep, heterogeneous, and often transient nature. Fluorescence correlation spectroscopy (FCS) has become a powerful tool for quantifying particle numbers, diffusion states, and brightness changes, thereby providing direct insights into finite molecular assemblies. Applications include diverse oligomers and complexes of proteins, lipids, and nucleic acids, underscoring both physiological and pathological relevance. Recent methodological extensions—including multi-color cross-correlation FCS, image- and super-resolution-based approaches, and brightness analyses—have expanded the capacity to resolve complex molecular interactions. Transient state (TRAST) monitoring provides additional sensitivity to photophysical state transitions of fluorophores and to their physicochemical environments. Looking ahead, integration with AI promises to lower technical barriers and accelerate broader adoption. This review highlights the conceptual framework, recent advances, and future opportunities of FCS in probing biological clusters and aggregates.
Full article

Graphical abstract
Open AccessArticle
Analysis of Malate and Other Di- and Tricarboxylic Acids Using Capillary Electrophoresis and Laser-Induced Photoluminescence Detection After Complexation with Europium Tetracycline
by
Douglas B. Craig, Sumaiya Abas, Brynne K. Riehl, Winner Pathak and Joshua W. Hollett
Spectrosc. J. 2025, 3(4), 30; https://doi.org/10.3390/spectroscj3040030 - 4 Nov 2025
Abstract
►▼
Show Figures
Fumarate, succinate, maleate, dihydroxyfumarate, D–tartarate, L–tartarate, DL–tartarate, L-malate, D-malate, oxaloacetate, citrate, and DL-isocitrate in the 5–100 μM concentration range were incubated in 12.5 mM HEPES/25 mM TRIS base containing 200 μM Eu3+–tetracycline and 60% (v/v) formamide (pH
[...] Read more.
Fumarate, succinate, maleate, dihydroxyfumarate, D–tartarate, L–tartarate, DL–tartarate, L-malate, D-malate, oxaloacetate, citrate, and DL-isocitrate in the 5–100 μM concentration range were incubated in 12.5 mM HEPES/25 mM TRIS base containing 200 μM Eu3+–tetracycline and 60% (v/v) formamide (pH unadjusted). After 30 min of incubation, they were separated at 4 °C by capillary electrophoresis utilizing laser-induced luminescence detection with 12.5 mM HEPES/25 mM TRIS base containing 60% formamide as the running buffer. All analytes yielded peaks, with the exception of fumarate, succinate, and maleate. L-Malate was detected down to 100 nM. The main component of this study was the analysis of malate. The objective was to develop a stereoselective methodology for the detection of L-malate. This was achieved by varying the formamide concentration and separation temperature. When the temperature was increased to 22 °C and the formamide concentration decreased to 40%, the sensitivity for L-malate was diminished about 10-fold, but that for D-malate was eliminated. This combination of conditions allowed for the stereospecific analysis of L-malate.
Full article

Figure 1
Open AccessCommunication
PyMossFit: A Google Colab Option for Mössbauer Spectra Fitting
by
Fabio D. Saccone
Spectrosc. J. 2025, 3(4), 29; https://doi.org/10.3390/spectroscj3040029 - 4 Nov 2025
Cited by 1
Abstract
This article introduces the main characteristics of PyMossFit, a software for Mössbauer spectra fitting. It is explained how each aspect of the code works. Based on the Lmfit Python package, it is a robust data fitting tool. Designed to run through Jupyter Notebook
[...] Read more.
This article introduces the main characteristics of PyMossFit, a software for Mössbauer spectra fitting. It is explained how each aspect of the code works. Based on the Lmfit Python package, it is a robust data fitting tool. Designed to run through Jupyter Notebook in the Google Colab cloud, it also allows one to work via multiple devices and operating systems. In addition, it allows the fitting procedure to be performed collaboratively among researchers. The software performs the folding of raw data with a discrete Fourier transform. Data smoothing is available with the use of a Savitzky–Golay algorithm. Moreover, a K-nearest neighbor algorithm enables users to determine the present phases by matching the correlations of hyperfine parameters from a local database.
Full article
(This article belongs to the Special Issue Advances in Spectroscopy Research)
►▼
Show Figures

Graphical abstract
Open AccessArticle
Hydrogen-Bond Engineering for Highly Efficient Room-Temperature Phosphorescence with Tunable Multi-Color Emission
by
Lin Ding, Zhaorun Tang, Jiyang Long, Xianwen Ke, Ruqian Peng, Ruyi Wei and Xinghai Liu
Spectrosc. J. 2025, 3(4), 28; https://doi.org/10.3390/spectroscj3040028 - 3 Nov 2025
Abstract
►▼
Show Figures
Achieving long-lived room-temperature phosphorescence (RTP) with high quantum efficiency is of significant interest for applications in anti-counterfeiting, flexible optoelectronic displays, and multi-level information encryption. Here, we presented a hydrogen-bond engineering strategy to enhance RTP performance by progressively increasing the number of hydrogen-bonding sites
[...] Read more.
Achieving long-lived room-temperature phosphorescence (RTP) with high quantum efficiency is of significant interest for applications in anti-counterfeiting, flexible optoelectronic displays, and multi-level information encryption. Here, we presented a hydrogen-bond engineering strategy to enhance RTP performance by progressively increasing the number of hydrogen-bonding sites within a polyvinyl alcohol (PVA) matrix. A series of carbazole-based chromophores (Cz, ICz and 2ICz) were embedded into the PVA network, and their photophysical properties were systematically characterized using steady-state photoluminescence spectra, time-decay spectra, Fourier-transform infrared (FTIR), and Raman and X-ray photoelectron spectroscopy (XPS). Spectroscopic analysis revealed that the increased number of N-H groups significantly strengthened hydrogen-bonding interactions, effectively suppressing non-radiative decay pathways and stabilizing triplet excitons. As a result, the phosphorescence lifetime was prolonged up to 1.68 s with a quantum yield of 38.63%. Furthermore, leveraging the spectral overlap integral between the phosphorescent emission and dye absorption, efficient Förster resonance energy transfer (FRET) was realized, enabling tunable multi-color afterglow emissions. This study establishes a design strategy validated by spectroscopy for high-performance RTP materials and highlights their promising potential in advanced optical encryption and flexible photonic applications.
Full article

Figure 1
Open AccessArticle
A Green Workflow to Determine Flavonoids from Physalis angulata L.: Extraction Optimization by Response Surface Method and Spectrophotometric Method Validation
by
Huynh Tran Mai Lan Anh, Le Phan Minh My Kim Ngan, Vo Thi Kim Khuyen, Le Nguyen Hong Anh, Huynh Hoang Gia Bao, Huynh Le Bao Ngoc and Đinh Thi Quynh Anh
Spectrosc. J. 2025, 3(4), 27; https://doi.org/10.3390/spectroscj3040027 - 3 Nov 2025
Abstract
Wild Physalis angulata L. has promising medicinal potential due to its rich flavonoids. However, a green analytical approach for these compounds from this plant has not yet been thoroughly optimized. Therefore, this study optimized ultrasound-assisted extraction using the response surface method for the
[...] Read more.
Wild Physalis angulata L. has promising medicinal potential due to its rich flavonoids. However, a green analytical approach for these compounds from this plant has not yet been thoroughly optimized. Therefore, this study optimized ultrasound-assisted extraction using the response surface method for the UV-VIS spectroscopic determination of the total flavonoid content in P. angulata in Vietnam. Notably, the greenness of the whole procedure was evaluated by AGREE, Eco-Scale, GAPI, BAGI methodologies. The Box–Behnken model was applied to design the experiments with four variables: ethanol concentration, solid-to-liquid ratio, extraction temperature, and time. The UV-Vis spectrophotometric method was validated at 510 nm according to AOAC guidelines and met all the requirements, including specificity, linearity (R2 = 0.9996) in the working range of 15–120 µg/mL, repeatability (RSD = 1.89%), intermediate precision (RSD = 2.21%), and accuracy (recoveries from 99.52 to 104.06%). The limits of detection (LOD) and quantification (LOQ) were 2.48 µg/mL and 7.52 µg/mL, respectively; however, to avoid noise signal at lower concentrations, the validated lower limit of quantification (LLOQ) was set at 15 µg/mL. Data were analyzed using second-order regression. The R2 = 0.9726 shows a close correlation between variables and the experimental data. The optimal extraction conditions were 31.66% ethanol, 30:1 mL/g ratio, 80 °C and 48.73 min. The predicted values (38.09 ± 1.70 mg RU/g) were not statistically different from the experimental values (34.58 ± 0.87 mg RU/g), confirming the model’s accuracy and applicability in optimizing the extraction process. The ultrasound-assisted extraction was optimized to enhance the flavonoid extraction yield from P. angulata, providing a solid scientific foundation for further pharmacological research.
Full article
(This article belongs to the Special Issue Advances in Spectroscopy Research)
►▼
Show Figures

Figure 1
Open AccessArticle
Electro-Tunable Optical Cavity Filters in the Mid-Infrared Regime: A Polarization-Independent Solution for Hyperspectral Imaging
by
Kinza Arshad, Mohamed Hassan Eisa, Matloob Hussain Bhatti, Ali Zia, Sadaf Saeed, Tymish Y. Ohulchanskyy and Rida Nasir
Spectrosc. J. 2025, 3(4), 26; https://doi.org/10.3390/spectroscj3040026 - 27 Oct 2025
Abstract
►▼
Show Figures
The development of tunable optical filters in the mid-infrared (MIR) region is crucial for a variety of applications, including environmental monitoring, medical diagnostics, and communication systems. This paper presents the design, fabrication, and characterization of a novel Twisted Liquid Crystal (TLC) electro-tunable optical
[...] Read more.
The development of tunable optical filters in the mid-infrared (MIR) region is crucial for a variety of applications, including environmental monitoring, medical diagnostics, and communication systems. This paper presents the design, fabrication, and characterization of a novel Twisted Liquid Crystal (TLC) electro-tunable optical cavity filter for the MIR region 3–5 μm. The filter is based on a Fabry–Perot interferometer configuration, which includes a polarization-independent TLC to achieve electrical control over the filter’s transmission characteristics. Two distinct filters were fabricated, differing in their substrate materials: silicon and glass. The silicon-based filter demonstrated an impressive 80% transmission with a tuning range of ∼13.6 nm and ∼14.64 nm in two separate bands, achieved by varying the applied voltage from 0 to 20 V. In contrast, the glass substrate filter exhibited a slightly higher transmission of 82% with tuning ranges of ∼10.5 nm and ∼7.2 nm across the spectral band when the voltage was adjusted from 0 to 27 V. Experimental validation showed a strong alignment between the simulations and results, demonstrating the feasibility of integrating tunable liquid crystals into mid-infrared optical cavities. This advancement highlights their potential for applications that require precise and dynamic control of the mid-infrared spectrum.
Full article

Graphical abstract
Open AccessReview
Next-Generation Visual Experience: Polarization Volume Gratings in Holographic Waveguides for AR/VR
by
Ali Zia, Mohamed Hassan Eisa, Sadaf Saeed and Kinza Arshad
Spectrosc. J. 2025, 3(4), 25; https://doi.org/10.3390/spectroscj3040025 - 21 Oct 2025
Abstract
►▼
Show Figures
Polarization volume gratings (PVGs) have been recognized as a groundbreaking technology with the potential to revolutionize holographic waveguides and facilitate immersive experiences in augmented and virtual reality (AR/VR) applications. This study investigated the design, fabrication, and utilization of PVGs within the framework of
[...] Read more.
Polarization volume gratings (PVGs) have been recognized as a groundbreaking technology with the potential to revolutionize holographic waveguides and facilitate immersive experiences in augmented and virtual reality (AR/VR) applications. This study investigated the design, fabrication, and utilization of PVGs within the framework of holographic waveguides for immersive encounters. The essay begins by presenting a comprehensive overview of waveguide technologies. The display devices and optical combiners combine the actual and virtual worlds that the naked eye can see. This review categorizes current visual solutions for micro-optical combiners in augmented reality head-mounted displays (AR-HMDs). Subsequently, an investigation was carried out into the manufacturing process, physical principles, optical structures, performance characteristics, and other aspects. Furthermore, a review and assessment of their merits and drawbacks were conducted.
Full article

Graphical abstract
Open AccessReview
Spectroscopic and Microscopic Characterization of Inorganic and Polymer Thermoelectric Materials: A Review
by
Temesgen Atnafu Yemata, Tessera Alemneh Wubieneh, Yun Zheng, Wee Shong Chin, Messele Kassaw Tadsual and Tadisso Gesessee Beyene
Spectrosc. J. 2025, 3(4), 24; https://doi.org/10.3390/spectroscj3040024 - 14 Oct 2025
Abstract
Thermoelectric (TE) materials represent a critical frontier in sustainable energy conversion technologies, providing direct thermal-to-electrical energy conversion with solid-state reliability. The optimizations of TE performance demand a nuanced comprehension of structure–property relationships across diverse length scales. This review summarizes established and emerging spectroscopic
[...] Read more.
Thermoelectric (TE) materials represent a critical frontier in sustainable energy conversion technologies, providing direct thermal-to-electrical energy conversion with solid-state reliability. The optimizations of TE performance demand a nuanced comprehension of structure–property relationships across diverse length scales. This review summarizes established and emerging spectroscopic and microscopic techniques used to characterize inorganic and polymer TE materials, specifically poly(3,4-ethylenedioxythiophene): poly(styrenesulfonate) (PEDOT:PSS). For inorganic TE, ultraviolet–visible (UV–Vis) spectroscopy, energy-dispersive X-ray (EDX) spectroscopy, and X-ray photoelectron spectroscopy (XPS) are widely applied for electronic structure characterization. For phase analysis of inorganic TE materials, Raman spectroscopy (RS), electron energy loss spectroscopy (EELS), and nuclear magnetic resonance (NMR) spectroscopy are utilized. For analyzing the surface morphology and crystalline structure, chemical scanning electron microscopy (SEM), transmission electron microscopy (TEM), and X-ray diffraction (XRD) are commonly used. For polymer TE materials, ultraviolet−visible–near-infrared (UV−Vis−NIR) spectroscopy and ultraviolet photoelectron spectroscopy (UPS) are generally employed for determining electronic structure. For functional group analysis of polymer TE, attenuated total reflectance–Fourier-transform infrared (ATR−FTIR) spectroscopy and RS are broadly utilized. XPS is used for elemental composition analysis of polymer TE. For the surface morphology of polymer TE, atomic force microscopic (AFM) and SEM are applied. Grazing incidence wide-angle X-ray scattering (GIWAXS) and XRD are employed for analyzing the crystalline structures of polymer TE materials. These techniques elucidate electronic, structural, morphological, and chemical properties, aiding in optimizing TE properties like conductivity, thermal stability, and mechanical strength. This review also suggests future research directions, including in situ methods and machine learning-assisted multi-dimensional spectroscopy to enhance TE performance for applications in electronic devices, energy storage, and solar cells.
Full article
(This article belongs to the Special Issue Advances in Spectroscopy Research)
►▼
Show Figures

Graphical abstract
Open AccessArticle
Development and Performance Evaluation of an Adapted QuEChERS-Gas Chromatography–Mass Spectrometry Method for the Analysis of Cocaine in Surface Water Samples
by
Ana Rita da Conceição Figueira and Daniel Barbosa Alcântara
Spectrosc. J. 2025, 3(4), 23; https://doi.org/10.3390/spectroscj3040023 - 24 Sep 2025
Abstract
►▼
Show Figures
The consumption of illicit psychoactive substances, such as cocaine, poses significant public health and socioeconomic challenges due to its widespread use and impact on the central nervous system. This study aimed to develop and validate an analytical method for quantifying cocaine in surface
[...] Read more.
The consumption of illicit psychoactive substances, such as cocaine, poses significant public health and socioeconomic challenges due to its widespread use and impact on the central nervous system. This study aimed to develop and validate an analytical method for quantifying cocaine in surface water using an adapted QuEChERS extraction procedure and gas chromatography–mass spectrometry (GC-MS). The research included a bibliographic review of about 40 articles and laboratory analyses conducted at the Federal University of Northern Tocantins (UFNT). The results showed a matrix effect of −54.24%. This negative matrix effect impacted accuracy, as interference from other sample components can suppress the analyte signal, resulting in a smaller measured quantity. This indicates signal suppression, which can be corrected through matrix-matched calibration. Recovery values ranged from 61.3% to 107.7%, demonstrating satisfactory accuracy. The validated method proved suitable for monitoring cocaine in surface water and can serve as a biomarker for untreated sewage discharges.
Full article

Figure 1
Open AccessArticle
SIRI-MOGA-UNet: A Synergistic Framework for Subsurface Latent Damage Detection in ‘Korla’ Pears via Structured-Illumination Reflectance Imaging and Multi-Order Gated Attention
by
Baishao Zhan, Jiawei Liao, Hailiang Zhang, Wei Luo, Shizhao Wang, Qiangqiang Zeng and Yongxian Lai
Spectrosc. J. 2025, 3(3), 22; https://doi.org/10.3390/spectroscj3030022 - 29 Jul 2025
Abstract
►▼
Show Figures
Bruising in ‘Korla’ pears represents a prevalent phenomenon that leads to progressive fruit decay and substantial economic losses. The detection of early-stage bruising proves challenging due to the absence of visible external characteristics, and existing deep learning models have limitations in weak feature
[...] Read more.
Bruising in ‘Korla’ pears represents a prevalent phenomenon that leads to progressive fruit decay and substantial economic losses. The detection of early-stage bruising proves challenging due to the absence of visible external characteristics, and existing deep learning models have limitations in weak feature extraction under complex optical interference. To address the postharvest latent damage detection challenges in ‘Korla’ pears, this study proposes a collaborative detection framework integrating structured-illumination reflectance imaging (SIRI) with multi-order gated attention mechanisms. Initially, an SIRI optical system was constructed, employing 150 cycles·m−1 spatial frequency modulation and a three-phase demodulation algorithm to extract subtle interference signal variations, thereby generating RT (Relative Transmission) images with significantly enhanced contrast in subsurface damage regions. To improve the detection accuracy of latent damage areas, the MOGA-UNet model was developed with three key innovations: 1. Integrate the lightweight VGG16 encoder structure into the feature extraction network to improve computational efficiency while retaining details. 2. Add a multi-order gated aggregation module at the end of the encoder to realize the fusion of features at different scales through a special convolution method. 3. Embed the channel attention mechanism in the decoding stage to dynamically enhance the weight of feature channels related to damage. Experimental results demonstrate that the proposed model achieves 94.38% mean Intersection over Union (mIoU) and 97.02% Dice coefficient on RT images, outperforming the baseline UNet model by 2.80% with superior segmentation accuracy and boundary localization capabilities compared with mainstream models. This approach provides an efficient and reliable technical solution for intelligent postharvest agricultural product sorting.
Full article

Figure 1
Open AccessArticle
Infrared Spectroscopic Determination of Strongly Bound Cyanides in Water
by
Rihab Masmoudi and Carl P. Tripp
Spectrosc. J. 2025, 3(3), 21; https://doi.org/10.3390/spectroscj3030021 - 17 Jul 2025
Abstract
►▼
Show Figures
Cyanide species pose an environmental concern as they inhibit important biological processes in humans and aquatic systems. There is more focus on free-CN and weak acid dissociables cyanide as hazardous species compared to strong acid dissociables due to their higher reactivity and toxicity.
[...] Read more.
Cyanide species pose an environmental concern as they inhibit important biological processes in humans and aquatic systems. There is more focus on free-CN and weak acid dissociables cyanide as hazardous species compared to strong acid dissociables due to their higher reactivity and toxicity. However, the strong acid dissociables cyanide also poses health concerns as it liberates free-CN under ultraviolet irradiation or when present in acidic solutions. Detection of strongly acid dissociables cyanide typically requires its digestion in acidic solutions and measurement of the gaseous HCN produced. A simple infrared spectroscopic method is described here to speciate and quantify three strong acid dissociables cyanide: [Fe(CN)6]3−, [Co(CN)6]3−, and [Au(CN)2]−. The strategy involves precipitating the strongly acid dissociables cyanide using cetyltrimethylethylammonium bromide, capturing the precipitate on a polyethylene membrane, and quantifying the individual strongly acid dissociables cyanide from the IR spectrum recorded in transmission mode through the membrane. Controlling the particle diameter to be in the range of 0.2–2 µm is important. Particles less than 0.2 µm pass through the membrane, whereas particles larger than about 2 µm lead to nonlinearity in quantification. The average %recoveries for [Fe(CN)6]3−, [Co(CN)6]3−, and [Au(CN)2]− were 100% (%RSD = 7), 91% (%RSD = 7), and 101% (%RSD = 8), respectively. The detection limit for [Fe(CN)6]3− and [Co(CN)6]3− were both 20 ppb CN−, whereas [Au(CN)2]− was 100 ppb CN−. The detection range was 20–750 ppb CN− for [Fe(CN)6]3− and [Co(CN)6]3− and 100–750 ppb CN− for [Au(CN)2]− with a linear regression of R2 = 0.999–1.000.
Full article

Figure 1
Open AccessArticle
Enhancing Coffee Quality and Traceability: Chemometric Modeling for Post-Harvest Processing Classification Using Near-Infrared Spectroscopy
by
Mariana Santos-Rivera, Lakshmanan Viswanathan and Faris Sheibani
Spectrosc. J. 2025, 3(2), 20; https://doi.org/10.3390/spectroscj3020020 - 19 Jun 2025
Cited by 1
Abstract
Post-harvest processing (PHP) is a key determinant of coffee quality, flavor profile, and market classification, yet verifying PHP claims remains a significant challenge in the specialty coffee industry. This study introduces near-infrared spectroscopy (NIRS) coupled with chemometrics as a rapid, non-destructive approach to
[...] Read more.
Post-harvest processing (PHP) is a key determinant of coffee quality, flavor profile, and market classification, yet verifying PHP claims remains a significant challenge in the specialty coffee industry. This study introduces near-infrared spectroscopy (NIRS) coupled with chemometrics as a rapid, non-destructive approach to classify green coffee beans based on PHP. For the first time, seven distinct PHP categories—Alchemy, Anaerobic Processing (Deep Fermentation), Dry-Hulled, Honey, Natural, Washed, and Wet-Hulled—were discriminated using NIRS, encompassing 20 different processing protocols under varying environmental and fermentation conditions. The NIR spectra (350–2500 nm) of 524 green Arabica coffee samples were analyzed using PCA-LDA models (750–2450 nm), achieving classification accuracies up to 100% for underrepresented categories and strong performance (91–95%) for dominant PHP groups in an independent test set. These results demonstrate that NIRS can detect subtle chemical signatures associated with diverse PHP techniques, offering a scalable tool for quality assurance, fraud prevention, and traceability in global coffee supply chains. While limited sample sizes for some PHP categories may influence model generalization, this study lays the foundation for future work involving broader datasets and integration with digital traceability systems. The approach has direct implications for producers, traders, and certifying bodies seeking reliable, real-time PHP verification.
Full article
(This article belongs to the Special Issue Feature Papers in Spectroscopy Journal)
►▼
Show Figures

Figure 1
Open AccessArticle
Seed Germination Analysis Based on Raman Spectroscopy
by
Shupeng Liu, Han Wang, Jing Tian, Na Chen, Yana Shang, Jian Zhang and Heng Zhang
Spectrosc. J. 2025, 3(2), 19; https://doi.org/10.3390/spectroscj3020019 - 6 Jun 2025
Abstract
Surface-enhanced Raman spectroscopy was employed to measure lettuce seeds at five different germination stages. The experimental results show that 85% of the spectra of normally germinating seeds exhibited consistency in both peak positions and quantities at the same germination stage, while spectra from
[...] Read more.
Surface-enhanced Raman spectroscopy was employed to measure lettuce seeds at five different germination stages. The experimental results show that 85% of the spectra of normally germinating seeds exhibited consistency in both peak positions and quantities at the same germination stage, while spectra from seeds that failed to germinate normally demonstrated significant differences compared to the normal ones. These data indicate that the surface-enhanced Raman spectrum of seeds could serve as an effective method for detecting seed germination rates.
Full article
(This article belongs to the Special Issue Feature Papers in Spectroscopy Journal)
►▼
Show Figures

Figure 1
Open AccessArticle
Optimizing Automated Detection for Cytoplasmic TDP25 Aggregates in Fluorescence Imaging
by
Sumire Sogawa, Kotetsu Sasaki and Akira Kitamura
Spectrosc. J. 2025, 3(2), 18; https://doi.org/10.3390/spectroscj3020018 - 19 May 2025
Abstract
►▼
Show Figures
Protein aggregates are known to disrupt normal cellular functions and homeostasis, serving as key hallmarks of various neurodegenerative disorders, including Alzheimer’s disease, Parkinson’s disease, and amyotrophic lateral sclerosis (ALS). Automated detection of cytoplasmic, disease-associated aggregates in fluorescence images is crucial for characterizing these
[...] Read more.
Protein aggregates are known to disrupt normal cellular functions and homeostasis, serving as key hallmarks of various neurodegenerative disorders, including Alzheimer’s disease, Parkinson’s disease, and amyotrophic lateral sclerosis (ALS). Automated detection of cytoplasmic, disease-associated aggregates in fluorescence images is crucial for characterizing these aggregates and exploring potential strategies for their prevention. In this study, we demonstrate that removing background fluorescence and improving the brightness of aggregates using an automated aggregate detection algorithm significantly enhances the detection efficiency of cytoplasmic aggregates formed by the 25 kDa C-terminal fragment of ALS-associated TDP-43 (TDP25). A high signal-to-noise ratio can improve detection efficiency. Our findings contribute to the development of more effective detection methods for disease-associated aggregates of heterogeneous sizes and fluorescence intensities, which are typically challenging to identify automatically.
Full article

Graphical abstract
Open AccessArticle
Determination of the Activation Energy of the Thermal Isomerization of Oleic Acid with Raman Spectroscopy and Partial Least Squares Regression
by
Akihiro Watanabe and Yasushi Numata
Spectrosc. J. 2025, 3(2), 17; https://doi.org/10.3390/spectroscj3020017 - 8 May 2025
Abstract
Unsaturated fatty acids have cis and trans isomers. The naturally stable isomer is the cis isomer, which is changed to the trans isomer by a thermal reaction. The reaction order, reaction constant, and activation energy are required to confirm the reaction mechanism. Therefore,
[...] Read more.
Unsaturated fatty acids have cis and trans isomers. The naturally stable isomer is the cis isomer, which is changed to the trans isomer by a thermal reaction. The reaction order, reaction constant, and activation energy are required to confirm the reaction mechanism. Therefore, the concentrations of the cis and trans isomers must be determined simultaneously. In the present study, oleic acid (cis isomer) and elaidic acid (trans isomer) were measured using Raman spectroscopy and partial least squares regression. The thermal reaction of oleic acid was performed at several temperatures. The reaction was determined as a first-order reaction. The reaction rate constants at several temperatures were determined as 1.3 × 10−3 to 5.2 × 10−3/h at 100 °C to 160 °C by plotting the logarithm of the oleic acid concentration against reaction time. The activation energy obtained by the Arrhenius plot was 31 kJ/mol.
Full article
(This article belongs to the Special Issue Feature Papers in Spectroscopy Journal)
►▼
Show Figures

Figure 1
Open AccessArticle
Exploring Time-Resolved Fluorescence Data: A Software Solution for Model Generation and Analysis
by
Thomas-Otavio Peulen
Spectrosc. J. 2025, 3(2), 16; https://doi.org/10.3390/spectroscj3020016 - 1 May 2025
Abstract
Time-resolved fluorescence techniques, such as fluorescence lifetime imaging microscopy (FLIM), fluorescence correlation spectroscopy (FCS), and time-resolved fluorescence spectroscopy, are ideally suited for investigating molecular dynamics and interactions in biological and chemical systems. However, the analysis and interpretation of these datasets require advanced computational
[...] Read more.
Time-resolved fluorescence techniques, such as fluorescence lifetime imaging microscopy (FLIM), fluorescence correlation spectroscopy (FCS), and time-resolved fluorescence spectroscopy, are ideally suited for investigating molecular dynamics and interactions in biological and chemical systems. However, the analysis and interpretation of these datasets require advanced computational tools capable of handling diverse models and datasets. This paper presents a comprehensive software solution designed for model generation and analysis of time-resolved fluorescence data with a strong focus on fluorescence for quantitative structural analysis and biophysics. The software supports the integration of multiple fluorescence techniques and provides users with robust tools for performing complex model analysis across diverse experimental data. By enabling global analysis, model generation, data visualization, and sampling over model parameters, the software enhances the interpretability of intricate fluorescence phenomena. By providing flexible modeling capabilities, this solution offers a versatile platform for researchers to extract meaningful insights from time-resolved fluorescence data, aiding in the understanding of dynamic biomolecular processes.
Full article
(This article belongs to the Special Issue Feature Papers in Spectroscopy Journal)
►▼
Show Figures

Graphical abstract
Open AccessArticle
Dynamic FTIR Spectroscopy for Assessing the Changing Biomolecular Composition of Bacterial Cells During Growth
by
Gary Hastings, Michael Nelson, Caroline Taylor, Alex Marchesani, Wilbur Hudson, Yi Jiang and Eric Gilbert
Spectrosc. J. 2025, 3(2), 15; https://doi.org/10.3390/spectroscj3020015 - 14 Apr 2025
Abstract
Fourier-transform infrared (FTIR) spectroscopy can detect biomolecular changes in bacterial cells in response to drugs or other stimuli. Fully developing this area requires an understanding of IR spectral changes associated with the growth of unperturbed cells. Such an understanding is still lacking, however.
[...] Read more.
Fourier-transform infrared (FTIR) spectroscopy can detect biomolecular changes in bacterial cells in response to drugs or other stimuli. Fully developing this area requires an understanding of IR spectral changes associated with the growth of unperturbed cells. Such an understanding is still lacking, however. To address this issue, attenuated total reflectance (ATR) FTIR spectroscopy has been used to probe changes in the composition of Staphylococcus aureus ATCC 6538 cells during exponential growth, with a 30 min time resolution. We find prominent spectral changes in proteins, nucleic acids, and carbohydrates evolving from the early (30–120 min) to the late (240–360 min) log phase of growth. Principal component analysis (PCA) shows that spectra obtained for cells during the early and late log phases of growth can be discriminated against with 100% accuracy. Protein-related spectral features are most significant in spectra collected at 30- and 90-min post-inoculation and provide a robust basis for temporal differentiation. Spectral changes that occur during the first 30 min after inoculation are shown to reverse over the next 30–120 min, indicating dynamic adaptations during cellular growth. Overall, we demonstrate a band assignment strategy based on time resolution, underscoring the utility of FTIR spectroscopy in dynamic studies of bacterial cells.
Full article
(This article belongs to the Special Issue Feature Papers in Spectroscopy Journal)
►▼
Show Figures

Figure 1
Open AccessArticle
Influence of Tissue Curvature on the Absolute Quantification in Frequency-Domain Diffuse Optical Spectroscopy
by
Giovani G. Martins, Rodrigo M. Forti and Rickson C. Mesquita
Spectrosc. J. 2025, 3(2), 14; https://doi.org/10.3390/spectroscj3020014 - 13 Apr 2025
Abstract
Accurate estimation of optical properties and hemodynamic parameters is critical for advancing frequency-domain diffuse optical spectroscopy (FD-DOS) techniques in clinical neuroscience. However, conventional FD-DOS models often assume planar air–tissue interfaces, introducing errors in anatomically curved regions such as the forehead or infant heads.
[...] Read more.
Accurate estimation of optical properties and hemodynamic parameters is critical for advancing frequency-domain diffuse optical spectroscopy (FD-DOS) techniques in clinical neuroscience. However, conventional FD-DOS models often assume planar air–tissue interfaces, introducing errors in anatomically curved regions such as the forehead or infant heads. This study evaluates the impact of incorporating tissue curvature into forward models for FD-DOS analysis. Using simulations and optical phantoms, we demonstrate that curved models reduce errors in absorption coefficient estimation from 20% to less than 10% in high-curvature scenarios. Within the curvatures tested, even minor curvature mismatches resulted in errors significantly lower than those observed from planar approximations (p < 0.001). In low-curvature regions, curved models yielded errors comparable to planar models (<5% in both cases). When applied to human data, our proposed curved model increased absorption and hemoglobin concentration estimates by 10–15% compared to standard semi-infinite models, closer to physiological expectations. Overall, these results quantitatively demonstrate that accounting for tissue curvature in FD-DOS forward models significantly improves the accuracy of optical property estimation. We propose a numerical framework that achieves this in a fast and reliable manner, advancing FD-DOS as a robust tool for clinical and research applications in anatomically complex regions.
Full article
(This article belongs to the Special Issue Feature Papers in Spectroscopy Journal)
►▼
Show Figures

Figure 1
Highly Accessed Articles
Latest Books
E-Mail Alert
News
Topics
Topic in
Analytica, IJMS, Metabolites, Molecules, Separations, Spectroscopy Journal, Chemosensors
Advances in Analysis Methods for Metabolomics and Lipidomics
Topic Editors: Eduardo Sommella, Giulia Mazzoccanti, Emanuela SalviatiDeadline: 31 January 2027
Special Issues
Special Issue in
Spectroscopy Journal
Emerging Trends in Laser-Induced Breakdown Spectroscopy: From Plasma Stability to Smart Technology
Guest Editors: Wenhao Zhang, Syed Zaheer Ud DinDeadline: 30 April 2026



