-
Seed Germination Ecology and Dormancy Release in Some Native and Underutilized Plant Species with Agronomic Pote -
Manure Production Projections for Latvia: Challenges and Potential for Reducing Greenhouse Gas Emissions -
The European Charter for Sustainable Tourism (ECST) as a Tool for Development in Rural Areas: The Case of Vesuvius National Park (Italy) -
Nondestructive Quality Detection of Characteristic Fruits Based on Vis/NIR Spectroscopy: Principles, Systems, and Applications -
Native Grass Enhances Bird, Dragonfly, Butterfly and Plant Biodiversity Relative to Conventional Crops in Midwest, USA
Journal Description
Agriculture
Agriculture
is an international, peer-reviewed, open access journal, and is published semimonthly online by MDPI.
- Open Access— free for readers, with article processing charges (APC) paid by authors or their institutions.
- High Visibility: indexed within Scopus, SCIE (Web of Science), PubAg, AGRIS, RePEc, and other databases.
- Journal Rank: JCR - Q1 (Agronomy) / CiteScore - Q1 (Plant Science)
- Rapid Publication: manuscripts are peer-reviewed and a first decision is provided to authors approximately 18 days after submission; acceptance to publication is undertaken in 1.9 days (median values for papers published in this journal in the first half of 2025).
- Recognition of Reviewers: reviewers who provide timely, thorough peer-review reports receive vouchers entitling them to a discount on the APC of their next publication in any MDPI journal, in appreciation of the work done.
- Companion journals for Agriculture include: Poultry, Grasses, Crops and AIPA.
Impact Factor:
3.6 (2024);
5-Year Impact Factor:
3.8 (2024)
Latest Articles
Agricultural Drought Early Warning in Hunan Province Based on VPD Spatiotemporal Characteristics and BEAST Detection
Agriculture 2025, 15(24), 2581; https://doi.org/10.3390/agriculture15242581 (registering DOI) - 13 Dec 2025
Abstract
In the context of global warming, agricultural drought risks are exacerbated by increasing atmospheric aridity. This study pioneers the application of the Bayesian Estimator of Abrupt Change, Seasonality, and Trend (BEAST) algorithm at a provincial scale to detect change points in vapor pressure
[...] Read more.
In the context of global warming, agricultural drought risks are exacerbated by increasing atmospheric aridity. This study pioneers the application of the Bayesian Estimator of Abrupt Change, Seasonality, and Trend (BEAST) algorithm at a provincial scale to detect change points in vapor pressure deficit (VPD), leveraging high-density meteorological station data from Hunan Province to delineate the nuanced evolution of VPD and its implications for early drought warning. Key findings reveal the following: (1) The VPD in Hunan exhibits a spatial pattern of “higher in the south than north, higher in the east than west” and a seasonal variation of “summer > autumn > spring > winter”. (2) BEAST identified abrupt changes in VPD coinciding with critical phenological periods, such as the early rice transplanting period in early April, with spatial and temporal gradient differences (up to 25 days) that can guide irrigation resource scheduling; moreover, the months of change points have been consistently advancing during the study period. (3) The dominant factors of VPD exhibit regional and seasonal differentiation. Annually, the maximum temperature (contribution rate 57.1–60.6%) is the primary factor. (4) Extreme events with VPD > 1.5 kPa for three consecutive days covered 92 stations in 2022. Combining this with the critical growth periods of double-cropping rice, it is recommended to set VPD = 1 kPa as the drought early warning threshold for the northern and southern regions. This study provides a scientific basis for the prevention and control of agricultural drought by integrating climate diagnostics and crop physiological needs.
Full article
(This article belongs to the Section Agricultural Water Management)
►
Show Figures
Open AccessArticle
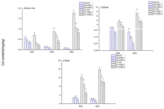
Calcium–Silicon–Magnesium Synergistic Amendment Enhances Cadmium Mitigation in Oryza sativa L. via Soil Immobilization and Nutrient Regulation Dynamics
by
Shaohui Sun, Di Guan, Yunhe Xie, Faxiang Tian, Xionghui Ji and Jiamei Wu
Agriculture 2025, 15(24), 2580; https://doi.org/10.3390/agriculture15242580 (registering DOI) - 13 Dec 2025
Abstract
Soil passivation conditioners effectively reduce cadmium (Cd) bioavailability and limit its accumulation in rice, though their efficacy and stability vary considerably among different types. A three-year paddy field study in southern China evaluated a calcium–silicon–magnesium composite (CSM) applied at 1500 and 3000 kg/ha
[...] Read more.
Soil passivation conditioners effectively reduce cadmium (Cd) bioavailability and limit its accumulation in rice, though their efficacy and stability vary considerably among different types. A three-year paddy field study in southern China evaluated a calcium–silicon–magnesium composite (CSM) applied at 1500 and 3000 kg/ha (CSM1 and CSM2), with a no-CSM control (CK), on Cd behavior, soil properties, and functional groups. Results demonstrated a clear dose–response relationship, with CSM reducing brown rice Cd by 35−74% across sites (2021−2023). High-dose treatments achieved grain safety standards (0.183 mg/kg, p < 0.05). Soil pH increased annually by 0.2−0.37 units, while DTPA-extractable Cd decreased by 2.6−27% over three years. CSM application significantly transformed Cd speciation, reducing exchangeable Cd by 3% while increasing the iron–manganese oxide-bound fraction by 5%. Soil base saturation increased from 42.6% to 73.2% (HS) and 71% to 97.3% (XY). FTIR analysis revealed enhanced silicate polymerization, increased hydroxyl group abundance, and Si-O-Mg/Fe vibrations indicating a significant increase in Cd complexation in treated soil. The CSM passivator immobilizes Cd by elevating soil pH to promote its transformation into stable Fe-Mn-bound forms, enhancing hydroxyl and siloxane complexation with Cd, and synergizing with silicon–calcium ionic antagonism, collectively reducing Cd bioavailability while improving soil fertility through base saturation regulation.
Full article
(This article belongs to the Section Agricultural Soils)
►▼
Show Figures

Figure 1
Open AccessReview
Microbial Quorum Sensing: Unlocking Sustainable Animal Production and Beyond
by
Chenxin Tang, Kehui Ouyang, Mingren Qu and Qinghua Qiu
Agriculture 2025, 15(24), 2579; https://doi.org/10.3390/agriculture15242579 (registering DOI) - 13 Dec 2025
Abstract
Quorum sensing (QS) is a unique form of communication that exists among microbial communities. This system enables microbial cells to achieve behavioral coordination by generating and perceiving specific QS signaling molecules. This “chemical dialogue” allows microorganisms to synchronously express specific genes, thereby regulating
[...] Read more.
Quorum sensing (QS) is a unique form of communication that exists among microbial communities. This system enables microbial cells to achieve behavioral coordination by generating and perceiving specific QS signaling molecules. This “chemical dialogue” allows microorganisms to synchronously express specific genes, thereby regulating group-level functions such as biofilm formation, virulence factor production, antibiotic biosynthesis, and metabolic coordination. Recently, the livestock industry has faced a multitude of challenges, including antibiotic resistance, environmental impact, and production efficiency. QS-based technologies have emerged as novel strategies to address these challenges simultaneously. It is important to note that a key principle of this strategy is that treatments should focus on regulating and modulating microbial QS systems rather than broadly inhibiting them. Therefore, the application of QS-based technologies provides new technical approaches to address core challenges in sustainable livestock production, including alternatives to antibiotics, improved farming efficiency, and environmentally friendly management. Moreover, it contributes to the achievement of carbon neutrality objectives by reducing methane emissions in ruminants through targeted inhibition of methanogen QS. This review systematically examines the biosynthesis mechanisms and regulatory features of the three core QS signaling molecules, with a focus on their practical applications in monogastric animal production, ruminant production, and aquatic animal production. It also explores the interdisciplinary innovative applications of QS-based technologies across multiple fields. By analyzing current research limitations and industrialization bottlenecks, this review outlines key future research directions and development challenges, aiming to provide a reference for the widespread application of QS-based technologies in animal production.
Full article
(This article belongs to the Section Farm Animal Production)
►▼
Show Figures

Figure 1
Open AccessArticle
Design and Experiment of Axial Flow Threshing and Cleaning Device for Roller Brush Type Castor Harvesting Machine
by
Teng Wu, Bin Zhang, Fanting Kong, Yongfei Sun, Qing Xie, Huayang Zhao and Shuhe Zheng
Agriculture 2025, 15(24), 2578; https://doi.org/10.3390/agriculture15242578 - 12 Dec 2025
Abstract
In order to alleviate the problems of lack of research on threshing and cleaning equipment and poor operational performance of castor harvester, an axial-flow threshing and cleaning device was designed and evaluated for a roller brush type castor harvester. This paper introduces the
[...] Read more.
In order to alleviate the problems of lack of research on threshing and cleaning equipment and poor operational performance of castor harvester, an axial-flow threshing and cleaning device was designed and evaluated for a roller brush type castor harvester. This paper introduces the overall machine structure and elaborates on the working principles of the castor threshing and cleaning device. It clarifies the design and analysis of key components such as the conveyor design, rod-tooth structure design, collision force analysis between the fruit and rod-tooth, concave sieve design, and guide plate design. The main indicators for evaluating the castor threshing and cleaning device include the impurity rate, damage rate, and separation loss rate. Based on the previous experimental research, the working parameters of castor threshing and cleaning device are tested and studied by using the Box–Behnken central combined test method. The three-factor three-level quadratic regression orthogonal test design is carried out based on the forward speed, roller rotational speed, and threshing gap of concave sieve. A response surface mathematical model was established, analyzing the impact of various factors on work quality and conducting comprehensive optimization of influencing factors. The experimental results indicate that the significance order of factors affecting the impurity rate was forward speed > roller rotational speed > threshing gap of concave sieve; the significance order for damage rate was roller rotational speed > threshing gap of concave sieve > forward speed; and the significance order for separation loss rate was roller rotational speed > forward speed > threshing gap of concave sieve. The field test results show that the optimal working parameter combination is forward speed of 0.87 m∙s−1, roller rotational speed of 462 r∙min−1, and threshing gap of concave sieve of 30 mm, with an impurity rate of 2.95%, a damage rate of 1.75%, and a separation loss rate of 0.49%. The research findings can provide references for the structural improvement and operational parameter optimization of the castor harvester’s threshing and cleaning device.
Full article
(This article belongs to the Section Agricultural Technology)
►▼
Show Figures

Figure 1
Open AccessArticle
Exploring the Potential of Salvia × accidentalis nothosubsp. albaladejitoi: A Natural Hybrid Sage with Improved Agronomic Performance and Bioactive Extractive Potential
by
Gonzalo Ortiz de Elguea-Culebras, Oscar García-Cardo, Jorge Romero-Morte, David Herraiz-Peñalver and Enrique Melero-Bravo
Agriculture 2025, 15(24), 2577; https://doi.org/10.3390/agriculture15242577 - 12 Dec 2025
Abstract
In Europe, Salvia officinalis L. is the most widely cultivated species of the genus Salvia, valued for its medicinal properties and essential oil production. However, in Spain, the predominant wild species is S. lavandulifolia Vahl., which exhibits notable morphological diversity. Cultivating these
[...] Read more.
In Europe, Salvia officinalis L. is the most widely cultivated species of the genus Salvia, valued for its medicinal properties and essential oil production. However, in Spain, the predominant wild species is S. lavandulifolia Vahl., which exhibits notable morphological diversity. Cultivating these species presents specific challenges: S. lavandulifolia typically displays a creeping habit that hinders mechanical harvesting, while S. officinalis contains neurotoxic thujones in its essential oil, raising safety concerns. Therefore, developing new sage cultivars that combine improved agronomic performance, easier harvesting, and a safe, high-quality essential oil composition is of great practical interest for the sustainable production of sage. This study investigates the recently described natural hybrid Salvia × accidentalis nothosubsp. albaladejitoi (S. lavandulifolia subsp. lavandulifolia × S. officinalis) through a comprehensive multiparametric evaluation, including morphological, phenological, and biochemical analyses. The hybrid exhibited greater biomass, likely influenced by S. officinalis, which could facilitate mechanical harvesting. The chemical profile (GC and HPLC) revealed intermediate compositions of the essential oil and extract, characterized by lower concentrations of thujone and camphor and higher levels of bioactive pinenes. Its balanced phenolic profile and enhanced antioxidant capacity also suggest potential functional applications. Overall, S. × accidentalis nothosubsp. albaladejitoi demonstrates a promising combination of agronomic and biochemical traits, supporting its potential as a new cultivar for the sustainable cultivation of sage and the production of high-quality, safe and functionally valuable sage-derived products.
Full article
(This article belongs to the Section Crop Production)
►▼
Show Figures

Graphical abstract
Open AccessArticle
Photosynthetic and Canopy Trait Characterization in Soybean (Glycine max L.) Using Chlorophyll Fluorescence and UAV Imaging
by
Harmeet Singh-Bakala, Francia Ravelombola, Jacob D. Washburn, Grover Shannon, Ru Zhang and Feng Lin
Agriculture 2025, 15(24), 2576; https://doi.org/10.3390/agriculture15242576 - 12 Dec 2025
Abstract
Photosynthesis (PS) is the cornerstone of crop productivity, directly influencing yield potential. Photosynthesis remains an underexploited target in soybean breeding, partly because field-based photosynthetic traits are difficult to measure at scale. Also, it is unclear which reproductive stage(s) provide the most informative physiological
[...] Read more.
Photosynthesis (PS) is the cornerstone of crop productivity, directly influencing yield potential. Photosynthesis remains an underexploited target in soybean breeding, partly because field-based photosynthetic traits are difficult to measure at scale. Also, it is unclear which reproductive stage(s) provide the most informative physiological signals for yield. Few studies have evaluated soybean PS in elite germplasm under field conditions, and the integration of chlorophyll fluorescence (CF) with UAV imaging for PS traits remains largely unexplored. This study evaluated genotypic variation in photosynthetic and canopy traits among elite soybean germplasm across environments and developmental stages using CF and UAV imaging. Linear mixed-model analysis revealed significant genotypic and G×E effects for yield, canopy and several photosynthetic parameters. Broad-sense heritability (H2) estimates indicated dynamic genetic control, ranging from 0.12 to 0.77 at the early stage (S1) and 0.20–0.81 at the mid-reproductive stage (S2). Phi2, SPAD and FvP/FmP exhibited the highest heritability, suggesting their potential as stable selection targets. Correlation analyses showed that while FvP/FmP and SPAD were modestly associated with yield at S1, stronger positive relationships with Phi2, PAR and FvP/FmP emerged during S2, underscoring the importance of sustained photosynthetic efficiency during pod formation. Principal component analysis identified photosynthetic efficiency and leaf structural traits as key axes of physiological variation. UAV-derived indices such as NDRE, MTCI, SARE, MExG and CIRE were significantly correlated with CF-based traits and yield, highlighting their utility as high-throughput proxies for canopy performance. These findings demonstrate the potential of integrating CF and UAV phenotyping to enhance physiological selection and yield improvement in soybean breeding.
Full article
(This article belongs to the Special Issue Genetic Diversity Assessment and Phenotypic Characterization of Crops—2nd Edition)
►▼
Show Figures

Figure 1
Open AccessArticle
EDM-UNet: An Edge-Enhanced and Attention-Guided Model for UAV-Based Weed Segmentation in Soybean Fields
by
Jiaxin Gao, Feng Tan and Xiaohui Li
Agriculture 2025, 15(24), 2575; https://doi.org/10.3390/agriculture15242575 - 12 Dec 2025
Abstract
Weeds will compete with soybeans for resources such as light, water and nutrients, inhibit the growth of soybeans, and reduce their yield and quality. Aiming at the problems of low efficiency, high environmental risk and insufficient weed identification accuracy in complex farmland scenarios
[...] Read more.
Weeds will compete with soybeans for resources such as light, water and nutrients, inhibit the growth of soybeans, and reduce their yield and quality. Aiming at the problems of low efficiency, high environmental risk and insufficient weed identification accuracy in complex farmland scenarios of traditional weed management methods, this study proposes a weed segmentation method for soybean fields based on unmanned aerial vehicle remote sensing. This method enhances the channel feature selection capability by introducing a lightweight ECA module, improves the target boundary recognition by combining Canny edge detection, and designs directional consistency filtering and morphological post-processing to optimize the spatial structure of the segmentation results. The experimental results show that the EDM-UNet method achieves the best performance effect on the self-built dataset, and the MIoU, Recall and Precision on the test set reach 89.45%, 93.53% and 94.78% respectively. In terms of model inference speed, EDM-UNet also performs well, with an FPS of 40.36, which can meet the requirements of real-time detection models. Compared with the baseline network model, the MIoU, Recall and Precision of EDM-UNet increased by 6.71%, 5.67% and 3.03% respectively, and the FPS decreased by 11.25. In addition, performance evaluation experiments were conducted under different degrees of weed interference conditions. The models all showed good detection effects, verifying that the model proposed in this study can accurately segment weeds in soybean fields. This research provides an efficient solution for weed segmentation in complex farmland environments that takes into account both computational efficiency and segmentation accuracy, and has significant practical value for promoting the development of smart agricultural technology.
Full article
(This article belongs to the Section Artificial Intelligence and Digital Agriculture)
Open AccessArticle
Capsicum Counting Algorithm Using Infrared Imaging and YOLO11
by
Enrico Mendez, Jesús Arturo Escobedo Cabello, Alfonso Gómez-Espinosa, Jose Antonio Cantoral-Ceballos and Oscar Ochoa
Agriculture 2025, 15(24), 2574; https://doi.org/10.3390/agriculture15242574 - 12 Dec 2025
Abstract
Fruit detection and counting is a key component of data-driven resource management and yield estimation in greenhouses. This work presents a novel infrared-based approach to capsicum counting in greenhouses that takes advantage of the light penetration of infrared (IR) imaging to enhance detection
[...] Read more.
Fruit detection and counting is a key component of data-driven resource management and yield estimation in greenhouses. This work presents a novel infrared-based approach to capsicum counting in greenhouses that takes advantage of the light penetration of infrared (IR) imaging to enhance detection under challenging lighting conditions. The proposed capsicum counting pipeline integrates the YOLO11 detection model for capsicum identification and the BoT-SORT multi-object tracker to track detections across a video stream, enabling accurate fruit counting. The detector model is trained on a dataset of 1000 images, with 11,916 labeled capsicums, captured with an OAK-D pro camera mounted on a mobile robot inside a capsicum greenhouse. On the IR test set, the YOLO11m model achieved an F1-score of 0.82, while the tracker obtained a multiple object tracking accuracy (MOTA) of 0.85, correctly counting 67 of 70 capsicums in a representative greenhouse row. The results demonstrate the effectiveness of this IR-based approach in automating fruit counting in greenhouse environments, offering potential applications in yield estimation.
Full article
(This article belongs to the Section Artificial Intelligence and Digital Agriculture)
►▼
Show Figures

Figure 1
Open AccessArticle
Automated 3D Phenotyping of Maize Plants: Stereo Matching Guided by Deep Learning
by
Juan Zapata-Londoño, Juan Botero-Valencia, Ítalo A. Torres, Erick Reyes-Vera and Ruber Hernández-García
Agriculture 2025, 15(24), 2573; https://doi.org/10.3390/agriculture15242573 - 12 Dec 2025
Abstract
Automated three-dimensional plant phenotyping is an essential tool for non-destructive analysis of plant growth and structure. This paper presents a low-cost system based on stereo vision for depth estimation and morphological characterization of maize plants. The system incorporates an automatic detection stage for
[...] Read more.
Automated three-dimensional plant phenotyping is an essential tool for non-destructive analysis of plant growth and structure. This paper presents a low-cost system based on stereo vision for depth estimation and morphological characterization of maize plants. The system incorporates an automatic detection stage for the object of interest using deep learning techniques to delimit the region of interest (ROI) corresponding to the plant. The Semi-Global Block Matching (SGBM) algorithm is applied to the detected region to compute the disparity map and generate a partial three-dimensional representation of the plant structure. The ROI delimitation restricts the disparity calculation to the plant area, reducing processing of the background and optimizing computational resource use. The deep learning-based detection stage maintains stable foliage identification even under varying lighting conditions and shadowing, ensuring consistent depth data across different experimental conditions. Overall, the proposed system integrates detection and disparity estimation into an efficient processing flow, providing an accessible alternative for automated three-dimensional phenotyping in agricultural environments.
Full article
(This article belongs to the Special Issue Field Phenotyping for Precise Crop Management)
►▼
Show Figures

Figure 1
Open AccessArticle
Yield Adaptability and Stability in Chickpea Based on AMMI, Eberhart and Russell’s, Lin and Binns’s, and WAASB Models
by
Osmar Artiaga, Carlos Roberto Spehar, Nathalia Ramos Queiroz, Giovani Olegário Silva, Fabio Akiyoshi Suinaga and Warley Marcos Nascimento
Agriculture 2025, 15(24), 2572; https://doi.org/10.3390/agriculture15242572 - 12 Dec 2025
Abstract
Chickpeas are a pulse crop that originated in Eurasia and are a source of protein for many people. The objective of this research is to select stable, high-yielding chickpea genotypes using uni- and multivariate methods of adaptability and stability analysis. Fifteen genotypes were
[...] Read more.
Chickpeas are a pulse crop that originated in Eurasia and are a source of protein for many people. The objective of this research is to select stable, high-yielding chickpea genotypes using uni- and multivariate methods of adaptability and stability analysis. Fifteen genotypes were tested in the 2020 and 2021 agricultural years. The experimental design was a completely randomized block design with three replications. The collected data were yield (kg/ha) values, and the stability analyses were performed using Eberhart and Russell’s, Lin and Binns’s modified by Carneiro’s, additive main effects and multiplicative interaction (AMMI), and weighted average of absolute scores (WAASB) methods. The average sum of ranks (ASR) was then calculated by ranking genotypes according to their yield and stability indices. The AMMI analysis of variance showed significant effects (p < 0.05) for environments, genotypes, and the interaction between genotypes and environments. From AMMI, the first three principal components (PCs) had significant effects, and the cumulative variance on the PC1 and PC2 axes was 86%. FLIP02-23C, FLIP03-109C, and Jamu 96 had the lowest ASR, indicating that these genotypes are the most stable and productive chickpea genotypes. According to AMMI2, genotypes FLIP03-109C, FLIP03-35C, FLIP02-23C, and FLIP06-155C could be adapted to irrigated environments.
Full article
(This article belongs to the Special Issue Advances in the Cultivation and Production of Leguminous Plants—2nd Edition)
►▼
Show Figures

Figure 1
Open AccessArticle
Phytoplasma Infections and Potential Vector Associations in Wheat and Maize in Poland
by
Agnieszka Zwolińska, Marta Jurga-Zotow, Katarzyna Trzmiel, Tomasz Klejdysz and Beata Hasiów-Jaroszewska
Agriculture 2025, 15(24), 2571; https://doi.org/10.3390/agriculture15242571 - 12 Dec 2025
Abstract
The production and quality of wheat and maize grain can be significantly affected by various pests and pathogens, with phytoplasmas posing a particular threat due to their rapid spread and potential to cause severe damage to cultivated crops. The objective of this investigation
[...] Read more.
The production and quality of wheat and maize grain can be significantly affected by various pests and pathogens, with phytoplasmas posing a particular threat due to their rapid spread and potential to cause severe damage to cultivated crops. The objective of this investigation was to evaluate the risk associated with these wall-less bacteria in wheat and maize crops. To achieve this, a survey was conducted in commercial fields located in southwestern Poland. Samples of winter wheat and fodder maize were collected at two distinct developmental stages, including both symptomatic and asymptomatic plants. Symptoms observed in wheat included yellowing, stunting, and excessive tillering, while maize plants showed yellow leaf striping, red discoloration, and stunted growth. Polymerase chain reaction (PCR) assays using phytoplasma-specific primers, followed by Sanger sequencing and sequence analysis, confirmed phytoplasma infections in 2% of wheat and 1.5% of maize samples. Virtual restriction fragment length polymorphism (RFLP) analysis identified the wheat-infecting phytoplasmas as belonging to subgroup 16SrI-C (‘Candidatus Phytoplasma tritici’-related strain)—a pathogen of major concern for wheat, while maize-infecting phytoplasmas were classified into subgroups 16SrI-B and 16SrV-C. Additionally, wheat plants collected during the early elongation phase were tested for Mastrevirus hordei (former wheat dwarf virus, WDV) using double antibody sandwich enzyme-linked immunosorbent assay (DAS-ELISA), which confirmed the presence of WDV in all tested samples. Preliminary screening of field-collected leafhoppers revealed that 7.5% of Psammotettix alienus, the predominant species in wheat fields, carried 16SrI-C phytoplasmas. In maize fields, Zyginidia scutellaris was the most prevalent species, with 1.7% of individuals carrying 16SrV-C phytoplasma. These findings suggest that these insect species may contribute to the transmission of phytoplasmas in wheat and maize. This study provides the first documented evidence of 16SrI-C phytoplasma infecting wheat in Poland, and of 16SrV-C and 16SrI-B phytoplasmas infecting maize, expanding the known host range of these subgroups in the country and highlighting their potential phytosanitary importance.
Full article
(This article belongs to the Special Issue Endemic and Emerging Bacterial Diseases in Agricultural Crops)
►▼
Show Figures

Figure 1
Open AccessArticle
Quality Differences in Ziziphus jujuba Mill. cv. Jinsi from Different Geographical Origins: A Comprehensive Multi-Indicator and Multivariate Statistical Evaluation
by
Tianrui Pei, Jie Ji, Huaqian Gong, Ronghua Yue, Jialing Zhang, Xiaohui Ma, Li Lin and Ling Jin
Agriculture 2025, 15(24), 2570; https://doi.org/10.3390/agriculture15242570 - 11 Dec 2025
Abstract
Ziziphus jujuba Mill. cv. Jinsi (Z. jujuba), a commercially significant cultivar of Chinese jujube, is extensively cultivated across diverse regions of China. However, comprehensive evaluations addressing the quality disparities of Z. jujuba originating from different geographical regions have received limited attention.
[...] Read more.
Ziziphus jujuba Mill. cv. Jinsi (Z. jujuba), a commercially significant cultivar of Chinese jujube, is extensively cultivated across diverse regions of China. However, comprehensive evaluations addressing the quality disparities of Z. jujuba originating from different geographical regions have received limited attention. To systematically evaluate quality variations in Z. jujuba across origins, 14 commercially cultivated commercial batches from 7 Chinese provinces were collected, with comprehensive parameters determined, including appearance, color, safety, aroma, flavor, and functional components. Multivariate statistical analyses, specifically Principal Component Analysis (PCA), Orthogonal Partial Least Squares Discriminant Analysis (OPLS-DA), and the entropy weight Technique for Order Preference by Similarity to Ideal Solution (TOPSIS), were employed for data interpretation. All samples met national standards for aflatoxin and SO2 residues. Shanxi samples had the largest length and weight, while Jiangsu and Shaanxi showed optimal color. Key volatiles included nitrogen oxides and sulfides, with sweetness as the main sensory trait. Ningxia samples had the highest total triterpenes, Jiangxi the highest flavonoids, and Shandong the highest polysaccharides, and Shaanxi samples possessed the highest total oligosaccharides. Entropy weight TOPSIS ranked quality as Ningxia > Shaanxi > Jiangsu > Jiangxi > Shanxi > Shandong > Henan. These findings confirm origin-related environmental effects on Z. jujuba quality, providing a scientific basis for its quality evaluation and sustainable development.
Full article
(This article belongs to the Section Agricultural Product Quality and Safety)
►▼
Show Figures

Figure 1
Open AccessArticle
Smart Irrigation Scheduling for Crop Production Using a Crop Model and Improved Deep Reinforcement Learning
by
Jiamei Liu, Fangle Chang, Xiujuan Wang, Mengzhen Kang, Caiyun Lu, Chao Wang, Shaopeng Hu, Yangyang Li, Longhua Ma and Hongye Su
Agriculture 2025, 15(24), 2569; https://doi.org/10.3390/agriculture15242569 - 11 Dec 2025
Abstract
In arid regions characterized by extreme water scarcity, it is important to synergistically optimize both crop yield and water use. Irrigation strategies based on empirical knowledge overlook crops’ dynamic water needs and may cause water waste and yield loss. To address this issue,
[...] Read more.
In arid regions characterized by extreme water scarcity, it is important to synergistically optimize both crop yield and water use. Irrigation strategies based on empirical knowledge overlook crops’ dynamic water needs and may cause water waste and yield loss. To address this issue, this paper proposes an intelligent irrigation scheduling method based on a crop growth model and an improved deep reinforcement learning (DRL) agent. We construct a high-fidelity cotton growth environment using the Decision Support System for Agrotechnology Transfer (DSSAT) model. The model was calibrated with local data from the Shihezi region, Xinjiang, to provide a reliable simulation platform for DRL agent training. We developed a temporal state representation module based on a Bidirectional Long Short-Term Memory (BiLSTM) network and an attention mechanism. This module captures dynamic trends in historical environmental information to focus on critical decision factors. The Soft Actor–Critic (SAC) algorithm was improved by integrating a feature attention mechanism to enhance decision-making precision. A dynamic reward function was designed based on the critical growth stages of cotton to incorporate agronomic prior knowledge into the optimization objective. Simulation results demonstrate that our proposed method can improve water use efficiency (WUE) by 39.0% (with an 8.4% increase in yield and a 22.1% reduction in water consumption) compared to fixed-schedule irrigation strategies. An ablation study further confirms that each of our proposed modules—BiLSTM, the attention mechanism, and the dynamic reward—makes a significant contribution to the final performance.
Full article
(This article belongs to the Section Artificial Intelligence and Digital Agriculture)
►▼
Show Figures

Figure 1
Open AccessArticle
Preparation and Evaluation of an Organic Value-Added Suspension Fertilizer Using Liquid Waste
by
Yaoli Su, Yang Luo, Lu Xu, Dehua Xu, Zhengjuan Yan and Xinlong Wang
Agriculture 2025, 15(24), 2568; https://doi.org/10.3390/agriculture15242568 - 11 Dec 2025
Abstract
Suspension fertilizers offer high concentration, excellent fluidity, an eco-friendly production process, and ease of precise and even application, making them ideal for modern fertigation systems. However, stability remains a significant challenge. This study aims to develop an organic value-added suspension fertilizer (VSuF) based
[...] Read more.
Suspension fertilizers offer high concentration, excellent fluidity, an eco-friendly production process, and ease of precise and even application, making them ideal for modern fertigation systems. However, stability remains a significant challenge. This study aims to develop an organic value-added suspension fertilizer (VSuF) based on the filtrate of acid–base-treated soybean residue, which can ensure stability during transportation and storage while promoting efficient nutrient utilization in agriculture. The stabilizers were optimized by comparing the effects of various types and dosages on particle size, zeta potential, viscosity, and thixotropy of the suspension fertilizer. Meanwhile, the stability and agricultural effects of the fertilizer were evaluated. Results showed that with 0.40% sodium lignosulfonate, 0.40% xanthan gum, and 0.20% organic silicon defoamer, VSuF remained stable during centrifugation (2000 r·min−1, 30 min) and storage at 0 °C and 50 °C for 14 days. Additionally, agricultural evaluation indicated that VSuF significantly increased the dry weight and phosphorus uptake of crop shoots by 17.40% and 21.00%, respectively, relative to the solid fertilizer without the value-added compound. Meanwhile, VSuF enhanced the fresh weight, length, and surface area of crop roots by 83.10%, 74.47%, and 69.34%, respectively, along with shoots’ phosphorus uptake by 19.80%, compared to the glucose value-added solid fertilizers.
Full article
(This article belongs to the Section Agricultural Technology)
►▼
Show Figures

Figure 1
Open AccessArticle
Affordable 3D Technologies for Contactless Cattle Morphometry: A Comparative Pilot Trial of Smartphone-Based LiDAR, Photogrammetry and Neural Surface Reconstruction Models
by
Sara Marchegiani, Stefano Chiappini, Md Abdul Mueed Choudhury, Guangxin E, Maria Federica Trombetta, Marina Pasquini, Ernesto Marcheggiani and Simone Ceccobelli
Agriculture 2025, 15(24), 2567; https://doi.org/10.3390/agriculture15242567 - 11 Dec 2025
Abstract
Morphometric traits are closely linked to body condition, health, welfare, and productivity in livestock. In recent years, contactless 3D reconstruction technologies have been increasingly adopted to improve the accuracy and efficiency of morphometric evaluations. Conventional approaches for 3D reconstruction mainly employ Light Detection
[...] Read more.
Morphometric traits are closely linked to body condition, health, welfare, and productivity in livestock. In recent years, contactless 3D reconstruction technologies have been increasingly adopted to improve the accuracy and efficiency of morphometric evaluations. Conventional approaches for 3D reconstruction mainly employ Light Detection and Ranging (LiDAR) or photogrammetry. In contrast, emerging Artificial Intelligence (AI)-based methods, such as Neural Surface Reconstruction, 3D Gaussian Splatting, and Neural Radiance Fields, offer new opportunities for high-fidelity digital modeling. Smartphones’ affordability represents a cost-effective and portable platform for deploying these advanced tools, potentially supporting enhanced agricultural performance, accelerating sector digitalization, and thus reducing the urban–rural digital gap. This preliminary study assessed the viability of using smartphone-based LiDAR, photogrammetry, and AI models to obtain body measurements of Marchigiana cattle. Five morphometric traits manually collected on animals were compared with those extracted from smartphone-based 3D reconstructions. LiDAR measurements offer more consistent estimates, with relative error ranging from −1.55% to 4.28%, while photogrammetry demonstrated accuracy ranging from 0.75 to −14.56. AI-based models (NSR, 3DGS, NeRF) reported more variability between accuracy results, pointing to the need for further refinement. Overall, the results highlight the preliminary potential of portable 3D scanning technologies, particularly LiDAR-equipped smartphones, for non-invasive morphometric data collection in cattle.
Full article
(This article belongs to the Section Artificial Intelligence and Digital Agriculture)
►▼
Show Figures

Figure 1
Open AccessArticle
A Multi-Phenotype Acquisition System for Pleurotus eryngii Based on RGB and Depth Imaging
by
Yueyue Cai, Zhijun Wang, Ziqin Liao, Yujie Li, Weijie Shi, Peijie Huang, Bingzhi Chen, Jie Pang, Xiangzeng Kong and Xuan Wei
Agriculture 2025, 15(24), 2566; https://doi.org/10.3390/agriculture15242566 - 11 Dec 2025
Abstract
High-throughput phenotypic acquisition and analysis allow us to accurately quantify trait expressions, which is essential for developing intelligent breeding strategies. However, there is still much potential to explore in the field of high-throughput phenotyping for edible fungi. In this study, we developed a
[...] Read more.
High-throughput phenotypic acquisition and analysis allow us to accurately quantify trait expressions, which is essential for developing intelligent breeding strategies. However, there is still much potential to explore in the field of high-throughput phenotyping for edible fungi. In this study, we developed a portable multi-phenotypic acquisition system for Pleurotus eryngii using RGB and RGB-D cameras. We developed an innovative Unet-based semantic segmentation model by integrating the ASPP structure with the VGG16 architecture. This allows for precise segmentation of the cap, gills and stem of the fruiting body. By leveraging depth images from RGB-D cameras, we can effectively collect phenotypic information about Pleurotus eryngii. By combining K-means clustering with Lab color space thresholds, we are able to achieve more precise automatic classification of Pleurotus eryngii cap colors. Moreover, AlexNet is utilized to classify the shapes of the fruiting bodies. The Aspp-VGGUnet network demonstrates remarkable performance with a mean Intersection over Union (mIoU) of 96.47% and a mean pixel accuracy (mPA) of 98.53%. These results reflect respective improvements of 3.03% and 2.23% compared to the standard Unet model, respectively. The average error in size phenotype measurement is just 0.15 ± 0.03 cm. The accuracy for cap color classification reaches 91.04%, while fruiting body shape classification achieves 97.90%. The proposed multi-phenotype acquisition system reduces the measurement time per sample from an average of 76 s (manual method) to about 2 s, substantially increasing data acquisition throughput and providing robust support for scalable phenotyping workflows in breeding research.
Full article
(This article belongs to the Section Artificial Intelligence and Digital Agriculture)
►▼
Show Figures

Graphical abstract
Open AccessArticle
Detection and Segmentation of Chip Budding Graft Sites in Apple Nursery Using YOLO Models
by
Magdalena Kapłan, Damian I. Wójcik and Kamil Buczyński
Agriculture 2025, 15(24), 2565; https://doi.org/10.3390/agriculture15242565 - 11 Dec 2025
Abstract
The use of convolutional neural networks in nursery production remains limited, emphasizing the need for advanced vision-based approaches to support automation. This study evaluated the feasibility of detecting chip-budding graft sites in apple nurseries using YOLO object detection and segmentation models. A dataset
[...] Read more.
The use of convolutional neural networks in nursery production remains limited, emphasizing the need for advanced vision-based approaches to support automation. This study evaluated the feasibility of detecting chip-budding graft sites in apple nurseries using YOLO object detection and segmentation models. A dataset of 3630 RGB images of budding sites was collected under variable field conditions. The models achieved high detection precision and consistent segmentation performance, confirming strong convergence and structural maturity across YOLO generations. The YOLO12s model demonstrated the most balanced performance, combining high precision with superior localization accuracy, particularly under higher Intersection-over-Union threshold conditions. In the segmentation experiments, both architectures achieved nearly equivalent performance, with only minor variations observed across evaluation metrics. The YOLO11s-seg model showed slightly higher Precision and overall stability, whereas YOLOv8s-seg retained a small advantage in Recall. Inference efficiency was assessed on both high-performance (RTX 5080) and embedded (Jetson Orin NX) platforms. YOLOv8s achieved the highest inference efficiency with minimal Latency, while TensorRT optimization further improved throughput and reduced Latency across all YOLO models. These results demonstrate that framework-level optimization can provide substantial practical benefits. The findings confirm the suitability of YOLO-based methods for precise detection of grafting sites in apple nurseries and establish a foundation for developing autonomous systems supporting nursery and orchard automation.
Full article
(This article belongs to the Special Issue Adapting Horticultural Plant Cultivation Technology and Storage to Changing Conditions)
►▼
Show Figures

Figure 1
Open AccessReview
Biological and Environmental Aspects of Imidazole Derivatives as Potential Insect Growth Regulators in Pest Management
by
Helena Ereš, Vesna Rastija, Ankica Sarajlić, Maja Karnaš Babić, Marija Kristić, Milan Vraneš, Martina Šrajer Gajdošik and Ivana Majić
Agriculture 2025, 15(24), 2564; https://doi.org/10.3390/agriculture15242564 - 11 Dec 2025
Abstract
This paper reviews the biological and environmental aspects of imidazole derivatives and their potential as insect growth regulators (IGRs). Imidazoles, known for their broad pharmacological and pesticidal properties, act on insect hormonal systems by inhibiting the biosynthesis of juvenile hormone and ecdysone, leading
[...] Read more.
This paper reviews the biological and environmental aspects of imidazole derivatives and their potential as insect growth regulators (IGRs). Imidazoles, known for their broad pharmacological and pesticidal properties, act on insect hormonal systems by inhibiting the biosynthesis of juvenile hormone and ecdysone, leading to developmental disruption, premature metamorphosis, or mortality. Particular emphasis is placed on the compound KK-42, which shows significant effects across several insect orders. Although commercially available imidazoles are currently registered as fungicides, their selective activity, low toxicity, and synergistic potential with other pesticides make them promising candidates for developing new insecticidal agents. The paper also discusses their environmental toxicity and compatibility with beneficial organisms, highlighting the need for further research to minimize ecological risks and promote sustainable pest management in agriculture.
Full article
(This article belongs to the Section Crop Protection, Diseases, Pests and Weeds)
►▼
Show Figures

Graphical abstract
Open AccessArticle
Quantifying Dynamic Water-Saving Thresholds Through Regulating Irrigation: Insights from an Integrated Hydrological Model of the Hetao Irrigation District
by
Changming Cao, Qingqing Fang, Kun Wang, Xinli Hu, Ziyi Zan, Hangzheng Zhao and Weifeng Yue
Agriculture 2025, 15(24), 2563; https://doi.org/10.3390/agriculture15242563 - 11 Dec 2025
Abstract
Agricultural irrigation accounts for nearly 70% of global freshwater withdrawals, making sustainable water management crucial for food security and ecological stability—particularly in arid and semi-arid regions. However, dynamic water-saving thresholds at both inter-annual and intra-annual scales remain insufficiently quantified in current research. To
[...] Read more.
Agricultural irrigation accounts for nearly 70% of global freshwater withdrawals, making sustainable water management crucial for food security and ecological stability—particularly in arid and semi-arid regions. However, dynamic water-saving thresholds at both inter-annual and intra-annual scales remain insufficiently quantified in current research. To address this gap, this study developed an integrated SWAT-MODFLOW model for the Hetao Irrigation District and quantified dynamic water-saving thresholds by simulating crop yield responses under a range of irrigation scenarios. The model was calibrated (2008–2014) and validated (2014–2016), demonstrating reliable performance (R2 = 0.75, NSE = 0.74) in capturing local hydrological processes. Inter-annual scenarios assessed water-saving levels of 5%, 10%, 20%, and 30% under wet, normal, and dry years, while intra-annual scenarios adjusted seasonal irrigation volumes in spring, summer, and autumn with reduction gradients of 33%, 50%, and 100%. Results show that wet and normal years could achieve a water-saving threshold of up to 20%, whereas dry years were limited to 5%. Intra-annually, autumn irrigation offered the greatest saving potential (33–100%), followed by spring (33–50%). Spatially, crop responses varied substantially: the western part of the region proved particularly sensitive, with even the optimal district-wide strategy reducing local crop yields by 10–20%. This study quantifies dynamic water-saving thresholds and incorporates spatial heterogeneity into scenario assessment. The resulting framework is transferable and provides a basis for sustainable water management in water-limited agricultural regions.
Full article
(This article belongs to the Section Agricultural Water Management)
►▼
Show Figures

Figure 1
Open AccessArticle
Design and Optimization of a Biomimetic Pineapple Harvester Device Based on the Mechanical Properties of the Stem-Fruit Junction
by
Haitian Sun, Wei Zhang, Hailiang Li, Huafen Zou, Peng Sun, Meigu Lu and Zhong Xue
Agriculture 2025, 15(24), 2562; https://doi.org/10.3390/agriculture15242562 - 11 Dec 2025
Abstract
In major pineapple-producing regions of China, conventional manual harvesting is challenged by high labor intensity and cost. Existing mechanical harvesters, still largely in the research and development stage, often suffer from low efficiency and high susceptibility to fruit damage, failing to meet large-scale
[...] Read more.
In major pineapple-producing regions of China, conventional manual harvesting is challenged by high labor intensity and cost. Existing mechanical harvesters, still largely in the research and development stage, often suffer from low efficiency and high susceptibility to fruit damage, failing to meet large-scale production demands. This study focuses on the Tainung 16 pineapple, determining that the tensile force required to separate the fruit stem at the calyx ranges from 100.42 N to 165.38 N. Drawing on the biomimetic principles of manual stem-breaking, we designed a harvesting device featuring a curved fixed baffle and a rotating unit. Using theoretical analysis and ADAMS simulation, a mechanical model of the device–stem interaction was established to simulate the force application, bending, and separation processes. This led to the identification of optimal operational parameters: a forward speed of 1.5 m/s, a harvesting unit rotational speed of 37 r/min, and a motion trajectory parameter of 1.3. Field tests demonstrated an average harvesting success rate of 81.23% with a fruit damage rate as low as 9.35%. The device thus effectively addresses the critical industry challenges of low efficiency and high damage. This work provides a direct technical reference and theoretical foundation for the engineering development, refinement, and standardized field operation of pineapple harvesters, facilitating the transition to mechanized large-scale harvesting.
Full article
(This article belongs to the Topic Intelligent Agriculture: Perception Technologies and Agricultural Equipment for Crop Production Processes)
►▼
Show Figures

Figure 1
Journal Menu
► ▼ Journal Menu-
- Agriculture Home
- Aims & Scope
- Editorial Board
- Reviewer Board
- Topical Advisory Panel
- Instructions for Authors
- Special Issues
- Topics
- Sections
- Article Processing Charge
- Indexing & Archiving
- Editor’s Choice Articles
- Most Cited & Viewed
- Journal Statistics
- Journal History
- Journal Awards
- Conferences
- Editorial Office
Journal Browser
► ▼ Journal BrowserHighly Accessed Articles
Latest Books
E-Mail Alert
News
Topics
Topic in
Agriculture, Agronomy, Gastronomy, Grasses, Sustainability, Diversity, Horticulturae, Hydrobiology
Mediterranean Biodiversity, 2nd Edition
Topic Editors: Luigi De Bellis, Massimiliano Renna, Pietro Buzzini, Ignasi TorreDeadline: 15 December 2025
Topic in
Agriculture, Agronomy, Crops, IJPB, Plants
Crop Ecophysiology: From Lab to Field, 2nd Volume
Topic Editors: Hua Bai, Dimitra A. Loka, Wei HuDeadline: 31 December 2025
Topic in
Agriculture, Agronomy, Crops, Plants, IJMS, IJPB
Plant Responses and Tolerance to Salinity Stress, 2nd Edition
Topic Editors: Ricardo Aroca, Pablo CornejoDeadline: 15 January 2026
Topic in
Agriculture, Remote Sensing, Sustainability, Water, Hydrology, Limnological Review, Earth
Water Management in the Age of Climate Change
Topic Editors: Yun Yang, Chong Chen, Hao SunDeadline: 31 January 2026
Conferences
Special Issues
Special Issue in
Agriculture
Edible and Medicinal Mushrooms: Molecular Biology, Cultivation, Active Compounds, Preservation and Processing
Guest Editors: Guoqing Zhang, Yingyin XuDeadline: 15 December 2025
Special Issue in
Agriculture
Machine Learning in Precision Livestock Farming: From Animal Activity Forecasting to Environmental Control
Guest Editors: María Dolores Fernández Rodríguez, Roberto BesteiroDeadline: 15 December 2025
Special Issue in
Agriculture
Preparation, Function and Application of Agrochemicals
Guest Editors: Yan Wang, Kun QianDeadline: 15 December 2025
Special Issue in
Agriculture
Antimicrobial Resistance in Farm Animals: Challenges and Solutions
Guest Editor: Agnieszka Wiszniewska-ŁaszczychDeadline: 15 December 2025






