Effects of Freeze–Thaw Cycles on Soil Aggregate Stability and Organic Carbon Distribution Under Different Land Uses
Abstract
1. Introduction
2. Materials and Methods
2.1. Sample Collection
2.2. Experimental Design
2.3. Analytical Methodology
2.4. Data Analysis
3. Results
3.1. Distribution Characteristics of Soil Aggregates
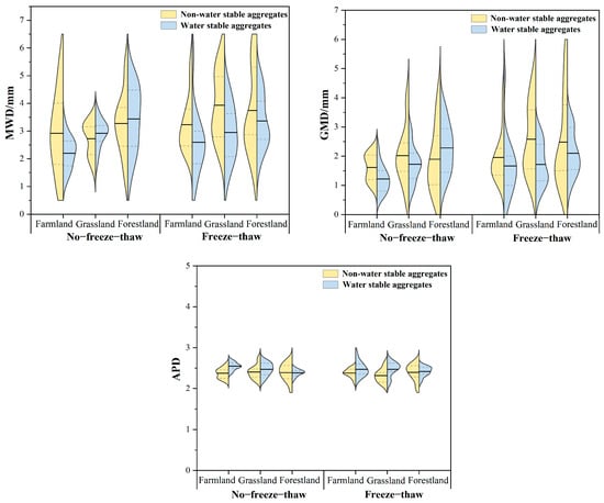
3.2. Effects of Freeze–Thaw on the Stability of Soil Aggregates
3.3. Effects of Freeze–Thaw on SOC in Soil Aggregates
3.4. Contribution of Soil Aggregates to SOC
3.5. Correlation Between Soil Aggregate Stability and SOC Content
4. Discussion
4.1. Effects of Land Use Types on Soil Aggregate and Soil Organic Carbon Distribution
4.2. Effects of Freeze–Thaw on Soil Aggregate Stability and SOC Distribution
5. Conclusions
Author Contributions
Funding
Institutional Review Board Statement
Informed Consent Statement
Data Availability Statement
Acknowledgments
Conflicts of Interest
References
- Bronick, C.J.; Lal, R. Soil Structure and Management: A Review. Geoderma 2005, 124, 3–22. [Google Scholar] [CrossRef]
- Dong, Y.; Yu, S.; Zhang, H.; Jing, Y.; Fan, B.; Lei, Q.; Du, X.; Jia, B.; Wang, Z.; Pu, S.; et al. Research progress on soil aggregate organic carbon sequestration effects. Soil. Fertil. Sci. China 2025, 8, 248–258. (In Chinese) [Google Scholar]
- Gao, Z.; Hu, X.; Li, X.-Y.; Li, Z.-C. Effects of Freeze-Thaw Cycles on Soil Macropores and Its Implications on Formation of Hummocks in Alpine Meadows in the Qinghai Lake Watershed, Northeastern Qinghai-Tibet Plateau. J. Soils Sediments 2021, 21, 245–256. [Google Scholar] [CrossRef]
- Gao, H.; Wang, M.; Hao, X. Check Dams in the Yellow River Basin: Sediment Reduction Efficiency and Future Development. Land Degrad. Dev. 2024, 35, 4042–4054. [Google Scholar] [CrossRef]
- Chen, Y.; Zhang, L.; Wang, S.; Zhou, L. Soil fungal community structure and functional group in response to different soil organic carbon inputs in the temperate forest during the freeze-thaw season. Acta Ecol. Sin. 2024, 44, 2244–2255. (In Chinese) [Google Scholar]
- Žabenská, A.; Dumbrovský, M. Changes of Soil Aggregate Stability as a Result of the Effect of Freeze-Thaw Cycles. Acta Univ. Agric. Silvic. Mendel. Brun. 2015, 63, 1211–1218. [Google Scholar] [CrossRef]
- Huang, D.; Zhou, L.; Fan, H.; Jia, Y.; Liu, M. Responses of Aggregates and Associated Soil Available Phosphorus, and Soil Organic Matter in Different Slope Aspects, to Seasonal Freeze–Thaw Cycles in Northeast China. Geoderma 2021, 402, 115184. [Google Scholar] [CrossRef]
- Rooney, E.C.; Bailey, V.L.; Patel, K.F.; Possinger, A.R.; Gallo, A.C.; Bergmann, M.; SanClements, M.; Lybrand, R.A. The Impact of Freeze-thaw History on Soil Carbon Response to Experimental Freeze-thaw Cycles. J. Geophys. Res. Biogeosci. 2022, 127, e2022JG006889. [Google Scholar] [CrossRef]
- Wang, L.; Wang, H.; Tian, Z.; Lu, Y.; Gao, W.; Ren, T. Structural Changes of Compacted Soil Layers in Northeast China Due to Freezing-Thawing Processes. Sustainability 2020, 12, 1587. [Google Scholar] [CrossRef]
- Yao, K.; Xiao, L.; Li, P.; Gao, Y. Effects of Freeze-thaw Cycle Times and Soil Moisture Content on Soil Aggregates and Available Trace Elements in Chinese Pine Forest Soil. J. Soil Water Conserv. 2020, 34, 259–266. (In Chinese) [Google Scholar]
- Li, G.-Y.; Fan, H.-M. Effect of Freeze-Thaw on Water Stability of Aggregates in a Black Soil of Northeast China. Pedosphere 2014, 24, 285–290. [Google Scholar] [CrossRef]
- Koponen, H.T.; Jaakkola, T.; Keinänen-Toivola, M.M.; Kaipainen, S.; Tuomainen, J.; Servomaa, K.; Martikainen, P.J. Microbial Communities, Biomass, and Activities in Soils as Affected by Freeze Thaw Cycles. Soil Biol. Biochem. 2006, 38, 1861–1871. [Google Scholar] [CrossRef]
- Wang, Y.; Liu, J.; Wang, Q. The Effects of freeze-thaw processes on soil aggregates and organic carbon. Ecol. Environ. Sci. 2013, 22, 1269–1274. (In Chinese) [Google Scholar]
- Christensen, S.; Christensen, B.T. Organic Matter Available for Denitrification in Different Soil Fractions: Effect of Freeze/Thaw Cycles and Straw Disposal. J. Soil Sci. 1991, 42, 637–647. [Google Scholar] [CrossRef]
- Shu, H.; Liang, X.; Hou, L.; Li, M.; Zhang, L.; Zhang, W.; Song, Y. Indirect Regulation of SOC by Different Land Uses in Karst Areas through the Modulation of Soil Microbiomes and Aggregate Stability. Agriculture 2025, 15, 1220. [Google Scholar] [CrossRef]
- Liang, C.; Wang, B.; Zhang, W. Stability and structural characteristics of soil aggregates on sloping farmland in black soil region, NorthEast China. Sci. Soil Water Conserv. 2020, 18, 43–52. (In Chinese) [Google Scholar]
- Zhao, Y.-D.; Hu, X. How Do Freeze–Thaw Cycles Affect the Soil Pore Structure in Alpine Meadows Considering Soil Aggregate and Soil Column Scales? J. Soil Sci. Plant Nutr. 2022, 22, 4207–4216. [Google Scholar] [CrossRef]
- Xiao, L.; Yao, K.; Li, P.; Liu, Y.; Zhang, Y. Effects of Freeze-Thaw Cycles and Initial Soil Moisture Content on Soil Aggregate Stability in Natural Grassland and Chinese Pine Forest on the Loess Plateau of China. J. Soils Sediments 2020, 20, 1222–1230. [Google Scholar] [CrossRef]
- Han, C.-L.; Gu, Y.-J.; Kong, M.; Hu, L.-W.; Jia, Y.; Li, F.-M.; Sun, G.-J.; Siddique, K.H.M. Responses of soil microorganisms, carbon and nitrogen to freeze–thaw cycles in diverse land-use types. Appl. Soil Ecol. 2018, 124, 211–217. [Google Scholar] [CrossRef]
- Bisutti, I.; Hilke, I.; Raessler, M. Determination of Total Organic Carbon—An Overview of Current Methods. TrAC Trends Anal. Chem. 2004, 23, 716–726. [Google Scholar] [CrossRef]
- Bowman, R.A. A Rapid Method to Determine Total Phosphorus in Soils. Soil Sci. Soc. Am. J. 1988, 52, 1301–1304. [Google Scholar] [CrossRef]
- Bremner, J.M. Determination of Nitrogen in Soil by the Kjeldahl Method. J. Agric. Sci. 1960, 55, 11–33. [Google Scholar] [CrossRef]
- Kemper, W.D.; Rosenau, R.C. Aggregate Stability and Size Distribution. In Methods of Soil Analysis; John Wiley & Sons, Ltd.: Hoboken, NJ, USA, 1986; pp. 425–442. ISBN 978-0-89118-864-3. [Google Scholar]
- Li, M.; Wang, K.; Ma, X.; Fan, M.; Li, B.; Song, Y. Relationship between Soil Aggregate Stability and Associated Carbon and Nitrogen Changes under Different Ecological Construction Measures in the Karst Region of Southwest China. Agriculture 2025, 15, 207. [Google Scholar] [CrossRef]
- Yu, P.; Liu, J.; Tang, H.; Ci, E.; Tang, X.; Liu, S.; Ding, Z.; Ma, M. The Increased Soil Aggregate Stability and Aggregate-Associated Carbon by Farmland Use Change in a Karst Region of Southwest China. Catena 2023, 231, 107284. [Google Scholar] [CrossRef]
- Wei, B.; Wei, Y.; Guo, T.; Pang, Y.; Badgery, W.; Zhang, Y.; Liu, N. Defoliation Decreases Soil Aggregate Stability by Reducing Plant Carbon Inputs and Changing Soil Microbial Communities. Soil Tillage Res. 2024, 244, 106180. [Google Scholar] [CrossRef]
- Gou, X.; Wang, X.; Wang, X.; Cai, Y.; Li, B.; Zhang, Y.; Han, L. Regulatory Mechanisms of Medium-Term Crop Rotation on Soil Organic Carbon Storage in Red Soils at the Aggregate Level. Agriculture 2025, 15, 1460. [Google Scholar] [CrossRef]
- Zhu, L.; Li, L.; Liu, T. Soil Aggregate Stability under Different Land-Use Types in North China Plain. Scienceasia 2021, 47, 228. [Google Scholar] [CrossRef]
- Guo, L.; Shen, J.; Li, B.; Li, Q.; Wang, C.; Guan, Y.; D’Acqui, L.P.; Luo, Y.; Tao, Q.; Xu, Q.; et al. Impacts of Agricultural Land Use Change on Soil Aggregate Stability and Physical Protection of Organic C. Sci. Total Environ. 2020, 707, 136049. [Google Scholar] [CrossRef] [PubMed]
- Xie, N.; Sun, L.; Lu, T.; Zhang, X.; Duan, N.; Wang, W.; Liang, X.; Fan, Y.; Liu, H. Effects of Adding Different Corn Residue Components on Soil and Aggregate Organic Carbon. Agriculture 2025, 15, 1050. [Google Scholar] [CrossRef]
- Du, M.; Feng, H.; Pei, S.; Zhang, L.; Fa, L.; Guo, J.; Xin, X. Soil hydro-physical properties in Pinus tabuliformis plantations with different stand densities in southern Shanxi. J. Northeast For. Univ. 2021, 49, 72–76. (In Chinese) [Google Scholar]
- Ayoubi, S.; Mokhtari Karchegani, P.; Mosaddeghi, M.R.; Honarjoo, N. Soil Aggregation and Organic Carbon as Affected by Topography and Land Use Change in Western Iran. Soil Tillage Res. 2012, 121, 18–26. [Google Scholar] [CrossRef]
- Bai, Y.; Zhou, Y.; He, H. Effects of Rehabilitation through Afforestation on Soil Aggregate Stability and Aggregate-Associated Carbon after Forest Fires in Subtropical China. Geoderma 2020, 376, 114548. [Google Scholar] [CrossRef]
- Dong, C.; Gu, Y.; Jia, Y.; Wei, P.; Jin, J.; Deng, Y.; Yang, P.; Chen, S. Effects of Freeze-Thaw Cycles on the Size Distribution and Stability of Soil Aggregate in the Permafrost Regions of the Qinghai-Tibetan Plateau. Environ. Res. Commun. 2023, 5, 95008. [Google Scholar] [CrossRef]
- Li, Q.; Qian, Y.; Wang, Y.; Peng, X. The Relation between Soil Moisture Phase Transitions and Soil Pore Structure under Freeze–Thaw Cycling. Agronomy 2024, 14, 1608. [Google Scholar] [CrossRef]
- Miranda-Vélez, J.F.; Leuther, F.; Köhne, J.M.; Munkholm, L.J.; Vogeler, I. Effects of Freeze-Thaw Cycles on Soil Structure under Different Tillage and Plant Cover Management Practices. Soil Tillage Res. 2023, 225, 105540. [Google Scholar] [CrossRef]
- Leuther, F.; Schlüter, S. Impact of Freeze–Thaw Cycles on Soil Structure and Soil Hydraulic Properties. Soil 2021, 7, 179–191. [Google Scholar] [CrossRef]
- Ding, H.; Chen, W.; Li, J. Seasonal freezing-thawing influences on soil physicochemical and microbial characteristics. J. Sichuan For. Sci. Technol. 2023, 44, 10–16. (In Chinese) [Google Scholar]
- Fu, Q.; Yan, J.; Li, H.; Li, T.; Hou, R.; Liu, D.; Ji, Y. Effects of Biochar Amendment on Nitrogen Mineralization in Black Soil with Different Moisture Contents under Freeze-Thaw Cycles. Geoderma 2019, 353, 459–467. [Google Scholar] [CrossRef]
- Zhang, H.; Xie, J.; Nan, H.; Han, J.; Wang, N.; Zhang, Y.; Wang, H. The Interaction of Freezing-Thawing on Soil Aggregates and Organic Matter of Pisha Sandstone and Sand Compound Soil. J. Soil Water Conserv. 2016, 30, 273–278. (In Chinese) [Google Scholar]
- Oztas, T.; Fayetorbay, F. Effect of Freezing and Thawing Processes on Soil Aggregate Stability. Catena 2003, 52, 1–8. [Google Scholar] [CrossRef]
- Ma, R.; Jiang, Y.; Liu, B.; Fan, H. Effects of Pore Structure Characterized by Synchrotron-Based Micro-Computed Tomography on Aggregate Stability of Black Soil under Freeze-Thaw Cycles. Soil Tillage Res. 2021, 207, 104855. [Google Scholar] [CrossRef]
- Lu, Y.; Liu, S.; Alonso, E.; Wang, L.; Xu, L.; Li, Z. Volume Changes and Mechanical Degradation of a Compacted Expansive Soil under Freeze-Thaw Cycles. Cold Reg. Sci. Technol. 2019, 157, 206–214. [Google Scholar] [CrossRef]
- Cheng, Y.; Xu, G.; Wang, X.; Li, P.; Dang, X.; Jiang, W.; Ma, T.; Wang, B.; Gu, F.; Li, Z. Contribution of Soil Aggregate Particle Size to Organic Carbon and the Effect of Land Use on Its Distribution in a Typical Small Watershed on Loess Plateau, China. Ecol. Indic. 2023, 155, 110988. [Google Scholar] [CrossRef]
- Shi, Y.; Zhang, L.; Mu, Y.; Ma, W.; Kong, X.; Yang, C. Dynamic Characteristics of Soil Pore Structure and Water-Heat Variations during Freeze-Thaw Process. Eng. Geol. 2024, 343, 107785. (In Chinese) [Google Scholar] [CrossRef]
- Elliott, J. Evaluating the Potential Contribution of Vegetation as a Nutrient Source in Snowmelt Runoff. Can. J. Soil Sci. 2013, 93, 435–443. [Google Scholar] [CrossRef]
- Li, F.; Zang, S.; Liu, Y.; Li, L.; Ni, H. Effect of Freezing–Thawing Cycle on Soil Active Organic Carbon Fractions and Enzyme Activities in the Wetland of Sanjiang Plain, Northeast China. Wetlands 2020, 40, 167–177. [Google Scholar] [CrossRef]
- Liu, Y.; Liu, S.; Gan, L.; Zhang, Z.; Peng, X. Effects of Freeze-thaw Cycles on Soil Aggregates Turnover in Mollisols Using Rare Earth Oxides as Tracers. Acta Pedol. Sin. 2024, 61, 964–977. (In Chinese) [Google Scholar]
- Wang, R.; Hu, X. Freeze–Thaw Processes Correspond to the Protection–Loss of Soil Organic Carbon through Regulating Pore Structure of Aggregates in Alpine Ecosystems. Soil 2024, 10, 859–871. [Google Scholar] [CrossRef]
- Xiao, L.; Zhang, Y.; Li, P.; Xu, G.; Shi, P.; Zhang, Y. Effects of Freeze-Thaw Cycles on Aggregate-Associated Organic Carbon and Glomalin-Related Soil Protein in Natural-Succession Grassland and Chinese Pine Forest on the Loess Plateau. Geoderma 2019, 334, 1–8. [Google Scholar] [CrossRef]
- Tang, S.; Yuan, P.; Tawaraya, K.; Tokida, T.; Fukuoka, M.; Yoshimoto, M.; Sakai, H.; Hasegawa, T.; Xu, X.; Cheng, W. Winter Nocturnal Warming Affects the Freeze-Thaw Frequency, Soil Aggregate Distribution, and the Contents and Decomposability of C and N in Paddy Fields. Sci. Total Environ. 2022, 802, 149870. [Google Scholar] [CrossRef]
- Kim, Y.J.; Kim, J.; Jung, J.Y. Responses of Dissolved Organic Carbon to Freeze–Thaw Cycles Associated with the Changes in Microbial Activity and Soil Structure. Cryosphere 2023, 17, 3101–3114. [Google Scholar] [CrossRef]
- Liu, F.; Qin, S.; Fang, K.; Chen, L.; Peng, Y.; Smith, P.; Yang, Y. Divergent Changes in Particulate and Mineral-Associated Organic Carbon upon Permafrost Thaw. Nat. Commun. 2022, 13, 5073. [Google Scholar] [CrossRef] [PubMed]






| Sub-Basin | Land Use Types | Altitude (m) | Vegetation Characteristics |
|---|---|---|---|
| 1 | Farmland | 1389.00 | Corn and soybeans, with plowing, no fertilizers |
| Grassland | 1407.00 | Daisies, lavender, and ginger | |
| Forestland | 1405.00 | Pine trees and walnut trees | |
| 2 | Farmland | 1261.00 | Potatoes and corn, with plowing, no fertilizers |
| Grassland | 1339.00 | Daisies and lavender | |
| Forestland | 1338.00 | Pine trees and walnut trees | |
| 3 | Farmland | 1263.00 | Potatoes and corn, with plowing and fertilizers |
| Grassland | 1269.00 | Water mugwort | |
| Forestland | 1263.00 | Persimmon trees and walnut trees | |
| 4 | Farmland | 1172.00 | Potatoes, corn, and scallions, with plowing and fertilizers |
| Grassland | 1172.63 | Ginger and lavender | |
| Forestland | 1072.63 | Persimmon trees and pine trees | |
| 5 | Farmland | 1015.65 | Potatoes, corn, and ginger, with plowing and fertilizers |
| Grassland | 1088.26 | Daisies and lavender | |
| Forestland | 1172.63 | Persimmon trees and walnut trees |
| Land Use | Clay (<0.002 mm)/% | Silt (0.002–0.05 mm)/% | Sand (0.05–2 mm)/% | SBD/ (g cm−3) | SOC/ (g kg−1) | STN/ (g kg−1) | STP/ (g kg−1) |
|---|---|---|---|---|---|---|---|
| Farmland | 0.36 | 72.07 | 27.57 | 1.28 ± 0.11 | 15.37 ± 3.61 | 1.95 ± 0.70 | 0.81 ± 0.33 |
| Grassland | 0.27 | 61.64 | 38.09 | 1.24 ± 0.13 | 22.36 ± 6.83 | 1.90 ± 0.74 | 0.71 ± 0.32 |
| Forestland | 0.25 | 51.56 | 48.19 | 1.16 ± 0.12 | 21.99 ± 2.39 | 3.41 ± 1.97 | 0.79 ± 0.34 |
Disclaimer/Publisher’s Note: The statements, opinions and data contained in all publications are solely those of the individual author(s) and contributor(s) and not of MDPI and/or the editor(s). MDPI and/or the editor(s) disclaim responsibility for any injury to people or property resulting from any ideas, methods, instructions or products referred to in the content. |
© 2025 by the authors. Licensee MDPI, Basel, Switzerland. This article is an open access article distributed under the terms and conditions of the Creative Commons Attribution (CC BY) license (https://creativecommons.org/licenses/by/4.0/).
Share and Cite
Cheng, Y.; Liu, M.; Zhang, Y.; Hao, S.; Dang, X.; Wang, Z. Effects of Freeze–Thaw Cycles on Soil Aggregate Stability and Organic Carbon Distribution Under Different Land Uses. Agriculture 2025, 15, 2369. https://doi.org/10.3390/agriculture15222369
Cheng Y, Liu M, Zhang Y, Hao S, Dang X, Wang Z. Effects of Freeze–Thaw Cycles on Soil Aggregate Stability and Organic Carbon Distribution Under Different Land Uses. Agriculture. 2025; 15(22):2369. https://doi.org/10.3390/agriculture15222369
Chicago/Turabian StyleCheng, Yuting, Maolin Liu, Yi Zhang, Shuhao Hao, Xiaohu Dang, and Ziyang Wang. 2025. "Effects of Freeze–Thaw Cycles on Soil Aggregate Stability and Organic Carbon Distribution Under Different Land Uses" Agriculture 15, no. 22: 2369. https://doi.org/10.3390/agriculture15222369
APA StyleCheng, Y., Liu, M., Zhang, Y., Hao, S., Dang, X., & Wang, Z. (2025). Effects of Freeze–Thaw Cycles on Soil Aggregate Stability and Organic Carbon Distribution Under Different Land Uses. Agriculture, 15(22), 2369. https://doi.org/10.3390/agriculture15222369

