-
Weibull Reliability Based on Random Vibration Performance for Fiber Optic Connectors -
Theoretical Formulations of Integral-Type Frequency–Amplitude Relationships for Second-Order Nonlinear Oscillators -
Review on Vibration Sensor and Recent Industrial Monitoring Progress -
Trajectory Control of Flexible Manipulators Using Forward and Inverse Models with Neural Networks
Journal Description
Vibration
Vibration
is a peer-reviewed, open access journal of vibration science and engineering, published quarterly online by MDPI.
- Open Access— free for readers, with article processing charges (APC) paid by authors or their institutions.
- High Visibility: indexed within Scopus, ESCI (Web of Science), and other databases.
- Journal Rank: CiteScore - Q2 (Engineering (miscellaneous))
- Rapid Publication: manuscripts are peer-reviewed and a first decision is provided to authors approximately 22.7 days after submission; acceptance to publication is undertaken in 2.9 days (median values for papers published in this journal in the first half of 2025).
- Recognition of Reviewers: reviewers who provide timely, thorough peer-review reports receive vouchers entitling them to a discount on the APC of their next publication in any MDPI journal, in appreciation of the work done.
- Journal Cluster of Civil Engineering and Built Environment: Architecture, Buildings, CivilEng, Construction Materials, Infrastructures, Intelligent Infrastructure and Construction, NDT and Vibration.
Impact Factor:
1.6 (2024);
5-Year Impact Factor:
2.0 (2024)
Latest Articles
Finite Element Analysis of an Automotive Steering System Considering Spherical Joint Clearance
Vibration 2025, 8(4), 80; https://doi.org/10.3390/vibration8040080 - 16 Dec 2025
Abstract
The steering linkage represents a key subsystem of any automobile, playing a direct role in vehicle handling, driving safety, and overall comfort. Within this mechanism, the tie rod and tie rod end are crucial for transmitting steering forces from the gear to the
[...] Read more.
The steering linkage represents a key subsystem of any automobile, playing a direct role in vehicle handling, driving safety, and overall comfort. Within this mechanism, the tie rod and tie rod end are crucial for transmitting steering forces from the gear to the wheel hub. A typical issue that gradually develops in these components is the clearance appearing in the spherical joint, caused by wear, corrosion, and repeated operational stresses. Even small clearances can noticeably reduce stiffness and natural frequencies, making the system more sensitive to vibration and premature failure. In this work, the effect of spherical joint clearance on the dynamic behavior of the tie rod-tie rod end assembly was analyzed through numerical simulation combined with experimental observation. Three-dimensional CAD models were meshed with tetrahedral elements and subjected to modal analysis under several clearance conditions, while boundary constraints were set to replicate real operating conditions. Experimental measurements on a dedicated test rig were used to assess joint clearance and wear in service parts. The results indicate a strong nonlinear relationship between clearance magnitude and modal response, with PTFE bushing degradation identified as the main source of clearance. These findings link the evolution of clearance to the change in vibration characteristics, providing useful insight for diagnostic approaches and predictive maintenance aimed at improving steering reliability and vehicle safety.
Full article
Open AccessArticle
Vibration Mitigation Through Rail Track Design for Structures Built Directly Above a Double-Deck Railway Depot
by
Xiaohan Phrain Gu, Anbin Wang and Hongdong Huang
Vibration 2025, 8(4), 79; https://doi.org/10.3390/vibration8040079 - 15 Dec 2025
Abstract
This paper reviews, analyses, and suggests practical mitigation techniques at source for reducing vibration-induced annoyance to occupants in building structures that are built on top of significant railway infrastructure. The dynamic characteristics of vibration caused by wheel-rail interaction at metro train depots are
[...] Read more.
This paper reviews, analyses, and suggests practical mitigation techniques at source for reducing vibration-induced annoyance to occupants in building structures that are built on top of significant railway infrastructure. The dynamic characteristics of vibration caused by wheel-rail interaction at metro train depots are different from those on main-lines and conventional studies. Ground-borne vibration in a building directly above a double-deck railway depot was investigated, focusing on vibration attenuation through rail track design, which is more effective and economic compared to treatments at receivers or along prorogation paths. A 2.5-Dimensional finite element model was established to simulate vibration transmission using different combinations of track-forms. Source contribution under different train running conditions has been evaluated by computing vibration levels along the main transmission path. Vibration levels at representative positions in the building rooms have been predicted using the numerical model and have been compared against site measurements at the corresponding locations after the completion of the construction of the depot and buildings. It was found that the 2.5D FE model enables a reasonable prediction of ground-borne vibration from the metro depot, and that by appropriate design of the track-form, a good level of vibration attenuation can be achieved in an economical way.
Full article
(This article belongs to the Special Issue Railway Dynamics and Ground-Borne Vibrations)
►▼
Show Figures

Figure 1
Open AccessArticle
Experimental Investigations of Vibration Band Gaps in Platonic 3D Lattice Structures
by
Ihab Abu Ajamieh, Vincent Iacobellis and Ali Radhi
Vibration 2025, 8(4), 78; https://doi.org/10.3390/vibration8040078 - 8 Dec 2025
Abstract
►▼
Show Figures
Vibration band gap structures are advanced materials for vibration wave mitigation from metamaterials to phononic crystals from simple geometrical manipulations. Here, we present geometrical structures, made from platonic solids, that are capable of providing multi-passband frequency ranges with face symmetry in each unit
[...] Read more.
Vibration band gap structures are advanced materials for vibration wave mitigation from metamaterials to phononic crystals from simple geometrical manipulations. Here, we present geometrical structures, made from platonic solids, that are capable of providing multi-passband frequency ranges with face symmetry in each unit cell. We fabricated the metamaterial structures using stereolithography, after which we experimentally characterized band gaps through impulse vibration testing. Experimental results have shown that the band gaps can be changed for different types of platonic structures along with the loading direction. This provided a comparison between axial and two bending direction band gaps, revealing ranges where the structures behave in either a “fluid-like” or an “optical-like” manner. Dodecahedron unit cells have exhibited the most promising results, when compared with reduced relative densities and a number of stacking unit cells. We utilized the coherence function during signal processing analysis, which provided strong predictions for the band gap frequency ranges.
Full article

Figure 1
Open AccessArticle
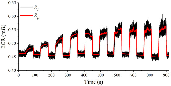
Current-Carrying Performance Degradation Mechanisms of Outdoors Power Connectors Under External Vibrations
by
Chao Zhang, Chang Sun, Wanbin Ren, Yuchen Liao, Ming Li and Jian Liu
Vibration 2025, 8(4), 77; https://doi.org/10.3390/vibration8040077 - 5 Dec 2025
Abstract
►▼
Show Figures
The environmental adaptability of outdoor power connectors exerts a crucial influence on the reliability of electrical systems. In this work, the current-carrying performance degradation of commercial power connectors under forced mechanical vibration conditions is investigated comprehensively. The variations in the instantaneous electrical contact
[...] Read more.
The environmental adaptability of outdoor power connectors exerts a crucial influence on the reliability of electrical systems. In this work, the current-carrying performance degradation of commercial power connectors under forced mechanical vibration conditions is investigated comprehensively. The variations in the instantaneous electrical contact resistance (ECR) of power connectors are accurately recorded in real time, and then effects of vibration amplitude, frequency, and load current on the ECR are interpreted explicitly. Furthermore, multi-cycle swept-sine vibration tests are carried out, and the open circuit failure of power connectors is reproduced. The continuous carrying of a heavy current combined with the mechanical fretting between socket and plug results in surface coating wear, debris melting, and the formation of copper oxide. The observed surface morphology and element contents support the presented failure mechanisms of power connectors under external vibrations.
Full article

Figure 1
Open AccessArticle
Research on the Dynamic Characteristics of a New Bridge-and-Station Integrated Elevated Structure
by
Kaijian Hu, Xiaojing Sun, Ruoteng Yang, Rui Han and Meng Ma
Vibration 2025, 8(4), 76; https://doi.org/10.3390/vibration8040076 - 3 Dec 2025
Abstract
►▼
Show Figures
Elevated stations are essential auxiliary structures within the high-speed rail (HSR) network. The newly constructed integrated elevated station for bridge building possesses a distinctive construction and intricate force transmission pathways, complicating the assessment of the dynamic coupling of train vibrations. Consequently, it is
[...] Read more.
Elevated stations are essential auxiliary structures within the high-speed rail (HSR) network. The newly constructed integrated elevated station for bridge building possesses a distinctive construction and intricate force transmission pathways, complicating the assessment of the dynamic coupling of train vibrations. Consequently, it is essential to examine the dynamic reaction of trains at such stations. This study utilises numerical simulation and field measurement techniques to examine the dynamic features of the newly constructed integrated elevated station for bridge building. Initially, vibration tests were performed on existing integrated elevated stations for bridge construction to assess their dynamic properties. The collected data were utilised to validate the modelling approach and parameter selection for the numerical model of existing stations, yielding a numerical solution method appropriate for bridge-station integrated stations. Secondly, utilising this technology, a numerical model of the newly integrated elevated station for bridge construction was developed to examine its dynamic features. Moreover, the impact of spatial configuration, train velocity, and operational organisation on the dynamic characteristics was analysed in greater depth. The vibration response level in the waiting hall was assessed. Research results indicate that structural joints alter the transmission path of train vibration energy, thereby significantly affecting the vibration characteristics of the station. The vibration response under double-track operation is notably greater than that under single-track operation. When two trains pass simultaneously at a speed of 200 km/h or higher, or a single train passes at 350 km/h, the maximum Z-vibration level of the waiting hall floor exceeds 75 dB, which goes beyond the specification limit.
Full article

Figure 1
Open AccessArticle
Wind Load Distribution Characteristics of a Semi-Enclosed Sound Barrier at the Junction of a Single-Track Bridge and Three-Track Bridge of a High-Speed Railway
by
Botao Li, Yinhui Bao, Guoqing Hu and Xun Zhang
Vibration 2025, 8(4), 75; https://doi.org/10.3390/vibration8040075 - 24 Nov 2025
Abstract
Due to its effective noise reduction, the semi-enclosed noise barrier is increasingly being applied in the construction of high-speed railways. However, there is still a lack of systematic research on the wind load distribution characteristics under natural crosswind, especially for the complex aerodynamic
[...] Read more.
Due to its effective noise reduction, the semi-enclosed noise barrier is increasingly being applied in the construction of high-speed railways. However, there is still a lack of systematic research on the wind load distribution characteristics under natural crosswind, especially for the complex aerodynamic behavior of the intersection section of multi-line bridges. Therefore, the wind load distribution characteristics on the surface of the sound barrier under crosswind conditions are explored within the engineering context of a semi-enclosed acoustic barrier at the junction of a single-track bridge and a three-track bridge, using a combination of wind tunnel testing and numerical simulation. A rigid-body model with a geometric scale of 1:10 is established for the wind tunnel test. The wind load distribution characteristics of the two acoustic barriers are analyzed from the perspectives of mean wind pressure, pulsating wind pressure, and extreme wind pressure, respectively. FLUENT 2022 software is utilized to model the flow field characteristics of the sound barrier under two working conditions: windward and leeward. The results show that under the action of crosswind, the surface wind load of the sound barrier at the junction of the single/three-line bridge is very prominent, the maximum negative pressure shape coefficient is −4.516, and its distribution is dominated by negative pressure; that is, the sound barrier mainly bears suction. Compared with the semi-closed sound barrier on the single-track bridge, the extreme wind pressure at the semi-closed sound barrier on the three-track bridge and the junction of the two is more significant, which shows that this kind of area needs special attention in wind-resistant design.
Full article
(This article belongs to the Special Issue Railway Dynamics and Ground-Borne Vibrations)
►▼
Show Figures

Figure 1
Open AccessArticle
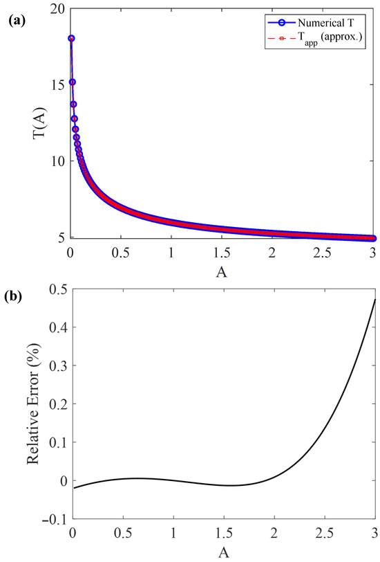
Mechanical Nonlinear Oscillations Using a Hertzian-Type Restoring Force
by
Stylianos Vasileios Kontomaris, Gamal M. Ismail, Anna Malamou and Andreas Stylianou
Vibration 2025, 8(4), 74; https://doi.org/10.3390/vibration8040074 - 20 Nov 2025
Abstract
This paper examines the generic case of nonlinear mechanical oscillation under the influence of Hertzian-type restoring forces, a model relevant to phenomena involving elastic contact. The study addresses the complexity of strongly nonlinear systems by focusing on the differential equation governing the oscillation
[...] Read more.
This paper examines the generic case of nonlinear mechanical oscillation under the influence of Hertzian-type restoring forces, a model relevant to phenomena involving elastic contact. The study addresses the complexity of strongly nonlinear systems by focusing on the differential equation governing the oscillation of a rigid sphere interacting with an elastic half-space, which includes a full series expansion to account for large deformations. Since no closed-form solution exists for the amplitude-dependent oscillation period, a new approximate analytical approach is introduced. This method preserves the system’s dominant Hertzian scaling while incorporating higher-order corrections through an averaged factor. For amplitudes where the deformation is less than or equal to the sphere’s radius, this approximation is nearly identical to the numerical solution. For larger amplitudes, the accuracy is further enhanced by introducing a semi-empirical linear adjustment to the relative error. This framework provides a reliable analytical description of the system’s behavior, offering a useful tool for theoretical studies and comparison with numerical results.
Full article
(This article belongs to the Special Issue Nonlinear Vibration of Mechanical Systems)
►▼
Show Figures

Figure 1
Open AccessReview
Ground-Borne Vibrations Induced by Railway Traffic: Impact, Prediction, Mitigation and Future Perspectives
by
Aires Colaço, Hassan Liravi, Paulo J. Soares, Jelena Ninić and Pedro Alves Costa
Vibration 2025, 8(4), 73; https://doi.org/10.3390/vibration8040073 - 15 Nov 2025
Abstract
Ground-borne vibrations caused by railway traffic represent a significant environmental concern, particularly in densely populated or vibration-sensitive urban areas. These phenomena can lead to discomfort and annoyance among residents, interfere with the operation of sensitive equipment, and even threaten the integrity of heritage
[...] Read more.
Ground-borne vibrations caused by railway traffic represent a significant environmental concern, particularly in densely populated or vibration-sensitive urban areas. These phenomena can lead to discomfort and annoyance among residents, interfere with the operation of sensitive equipment, and even threaten the integrity of heritage sites or structurally vulnerable buildings and infrastructures. Building on these concerns, this paper presents a comprehensive review of the current state of knowledge on the subject. It begins by examining the impacts of ground-borne vibrations on both people and structures, followed by an overview of the regulatory frameworks implemented in different countries to manage these effects, with a focus on four examples from Europe and North America. The review then systematically explores the key factors associated with the generation and propagation of ground-borne noise and vibrations. Furthermore, prediction methodologies are categorised into four groups—analytical and semi-analytical, numerical, empirical and AI-based models—and critically assessed. Finally, the paper reviews mitigation strategies applied at the source, along the propagation path, and at the receiver, assessing their effectiveness in reducing the identified impacts.
Full article
(This article belongs to the Special Issue Railway Dynamics and Ground-Borne Vibrations)
►▼
Show Figures

Figure 1
Open AccessArticle
Natural Frequency and Damping Characterisation of Aerospace Grade Composite Plates
by
Rade Vignjevic, Nenad Djordjevic, Javier de Caceres Prieto, Nenad Filipovic, Milos Jovicic and Gordana Jovicic
Vibration 2025, 8(4), 72; https://doi.org/10.3390/vibration8040072 - 13 Nov 2025
Abstract
►▼
Show Figures
The natural frequencies and damping characterisation of a new aerospace grade composite material were investigated using a modified impulse method combined with the half power bandwidth method, which is applicable to the structures with a low damping. The composite material of interest was
[...] Read more.
The natural frequencies and damping characterisation of a new aerospace grade composite material were investigated using a modified impulse method combined with the half power bandwidth method, which is applicable to the structures with a low damping. The composite material of interest was unidirectional carbon fibre reinforced plastic. The tests were carried out with three identical square 4.6 mm thick plates consisting of 24 plies. The composite plates were clamped along one edge in a SignalForce shaker, which applied a sinusoidal signal generated by the signal conditioner exiting the bending modes of the plates. Laser vibrometer measurements were taken at three points on the free end so that different vibrational modes could be obtained: one measurement was taken on the longitudinal symmetry plane with the other two 35 mm on either side of the symmetry plane. The acceleration of the clamp was also recorded and integrated twice to calculate its displacement, which was then subtracted from the free end displacement. Two material orientations were tested, and the first four natural frequencies were obtained in the test. Damping was determined by the half-power bandwidth method. A linear relationship between the loss factors and frequency was observed for the first two modes but not for the other two modes, which may be related to the coupling of the modes of the plate and the shaker. The experiment was also modelled by using the Finite Element Method (FEM) and implicit solver of LS Dyna, where the simulation results for the first two modes were within 15% of the experimental results. The novelty of this paper lies in the presentation of new experimental data for the natural frequencies and damping coefficients of a newly developed composite material intended for the vibration analysis of rotating components.
Full article

Figure 1
Open AccessArticle
Time–Frequency Analysis of Railway Bridges Forced and Free Vibrations Identified by Wavelet Transform
by
Pedro Galvín, Antonio Romero, Mario Solís, Emma Moliner and María Dolores Martínez-Rodrigo
Vibration 2025, 8(4), 71; https://doi.org/10.3390/vibration8040071 - 6 Nov 2025
Abstract
In this work, a time–frequency analysis of two railway bridges included in the InBridge4EU project database is presented. The study focuses on the identification of modal parameters from free responses after train passages and their comparison with estimations obtained from ambient vibration data.
[...] Read more.
In this work, a time–frequency analysis of two railway bridges included in the InBridge4EU project database is presented. The study focuses on the identification of modal parameters from free responses after train passages and their comparison with estimations obtained from ambient vibration data. The wavelet transform is introduced as a valuable tool for detecting both free and forced bridge responses due to different train passages, as well as for conducting time–frequency analysis. This approach is particularly relevant for the identification of structural damping, given its dependence on vibration amplitude, as it enables the estimation of realistic values representative of bridge behavior under operational conditions. Additionally, the paper examines the complementary use of free vibrations for identifying natural frequencies and comparing them with results from ambient vibration tests. Wavelet analysis further reveals the predominant frequencies in the structural response before, during, and after train crossings, thereby capturing the influence of the moving vehicle on bridge dynamics.
Full article
(This article belongs to the Special Issue Railway Dynamics and Ground-Borne Vibrations)
►▼
Show Figures

Figure 1
Open AccessArticle
Prediction of Construction-Induced Ground Vibrations Using Field Measurements and Bidirectional Gated Recurrent Unit Neural Network
by
Reza Rafiee-Dehkharghani, Kamran Esmaeili and Meysam Najari
Vibration 2025, 8(4), 70; https://doi.org/10.3390/vibration8040070 - 6 Nov 2025
Abstract
►▼
Show Figures
This paper proposes a sequential bidirectional gated recurrent unit (BGRU) model to predict construction-induced ground vibrations. The ground vibration time histories for twelve real construction projects in Toronto, Canada, are collected and used to develop the BGRU model. A single time-step method is
[...] Read more.
This paper proposes a sequential bidirectional gated recurrent unit (BGRU) model to predict construction-induced ground vibrations. The ground vibration time histories for twelve real construction projects in Toronto, Canada, are collected and used to develop the BGRU model. A single time-step method is used to predict the vibrations, and the time window is swept continuously over the whole training data. In addition to the BGRU method, and for comparison, two other methods, autoregressive integrated moving average (ARIMA) and random forest (RF), are used to predict the ground vibrations. The results show that the BGRU method performs much better than ARIMA and RF methods in forecasting construction-induced ground vibrations. The BGRU method captures the construction-induced and background vibrations very well, and this method remains accurate when the training data includes both background and construction vibrations. Therefore, this method can be used to predict ground vibrations in real projects where there is always a potential for missing some parts of the ground vibration data due to the malfunction of the vibration recording units.
Full article

Figure 1
Open AccessArticle
A Novel Rapid Detection Method for Bridge Vibration Based on an Unmanned Aerial Vehicle and a Raspberry Pi
by
Liang Huang, Kang Li, Jinke Li, Panjie Li, Can Cui and Pengfei Zheng
Vibration 2025, 8(4), 69; https://doi.org/10.3390/vibration8040069 - 5 Nov 2025
Abstract
►▼
Show Figures
The high cost of traditional structural health monitoring systems limits their application to only a few major bridges, leaving most structures unmonitored between manual inspections. To address this issue, this study proposes a UAV mobile detection device (UMD) system that integrates a Raspberry
[...] Read more.
The high cost of traditional structural health monitoring systems limits their application to only a few major bridges, leaving most structures unmonitored between manual inspections. To address this issue, this study proposes a UAV mobile detection device (UMD) system that integrates a Raspberry Pi, data acquisition module, and accelerometer for rapid, contact-based vibration measurement. A vibration transmission model between the UMD and the bridge deck is developed to guide hardware design and quantify the influence of isolator stiffness and damping. The UMD’s performance is validated through both laboratory floor tests and field bridge experiments, demonstrating reliable identification of modal frequencies in the range of 0.00–51.95 Hz with a maximum acceleration error below 0.01 g and a relative modal frequency deviation within 3.4%. The analysis further determines that an accelerometer resolution of g is required for accurate frequency domain measurement. These findings establish the UMD as a fast, low-cost, and accurate tool for rapid bridge vibration assessment and lay the groundwork for future multi-UAV synchronized monitoring.
Full article

Figure 1
Open AccessReview
Recent Advances in Vibration Analysis for Predictive Maintenance of Modern Automotive Powertrains
by
Rajesh Shah, Vikram Mittal and Michael Lotwin
Vibration 2025, 8(4), 68; https://doi.org/10.3390/vibration8040068 - 3 Nov 2025
Abstract
►▼
Show Figures
Vibration-based predictive maintenance is an essential element of reliability engineering for modern automotive powertrains including internal combustion engines, hybrids, and battery-electric platforms. This review synthesizes advances in sensing, signal processing, and artificial intelligence that convert raw vibration into diagnostics and prognostics. It characterizes
[...] Read more.
Vibration-based predictive maintenance is an essential element of reliability engineering for modern automotive powertrains including internal combustion engines, hybrids, and battery-electric platforms. This review synthesizes advances in sensing, signal processing, and artificial intelligence that convert raw vibration into diagnostics and prognostics. It characterizes vibration signatures unique to engines, transmissions, e-axles, and power electronics, emphasizing order analysis, demodulation, and time–frequency methods that extract weak, non-stationary fault content under real driving conditions. It surveys data acquisition, piezoelectric and MEMS accelerometry, edge-resident preprocessing, and fleet telemetry, and details feature engineering pipelines with classical machine learning and deep architectures for fault detection and remaining useful life prediction. In contrast to earlier reviews focused mainly on stationary industrial systems, this review unifies vibration analysis across combustion, hybrid, and electric vehicles and connects physics-based preprocessing to scalable edge and cloud implementations. Case studies show that this integrated perspective enables practical deployment, where physics-guided preprocessing with lightweight models supports robust on-vehicle inference, while cloud-based learning provides cross-fleet generalization and model governance. Open challenges include disentangling overlapping sources in compact e-axles, coping with domain and concept drift from duty cycles, software updates, and aging, addressing data scarcity through augmentation, transfer, and few-shot learning, integrating digital twins and multimodal fusion of vibration, current, thermal, and acoustic data, and deploying scalable cloud and edge AI with transparent governance. By emphasizing inverter-aware analysis, drift management, and benchmark standardization, this review uniquely positions vibration-based predictive maintenance as a foundation for next-generation vehicle reliability.
Full article

Figure 1
Open AccessArticle
Experimental Investigation of Ring-Type Resonator Dynamics
by
Ali F. Abdulla, Soroush Arghavan, Jihyun Cho, Ibrahim F. Gebrel, Mohamed Bognash and Samuel F. Asokanthan
Vibration 2025, 8(4), 67; https://doi.org/10.3390/vibration8040067 - 28 Oct 2025
Abstract
►▼
Show Figures
One of the challenges in inertia sensor applications is the need for a class of devices that operate at one of the ring resonant frequencies to achieve large amplitudes of vibration. However, large amplitudes tend to produce undesirable nonlinear effects due to geometrical
[...] Read more.
One of the challenges in inertia sensor applications is the need for a class of devices that operate at one of the ring resonant frequencies to achieve large amplitudes of vibration. However, large amplitudes tend to produce undesirable nonlinear effects due to geometrical nonlinearities. Hence, a rigorous experimental dynamic analysis of rotating thin circular ring-type structures is considered important to gain a deeper understanding of the device’s nonlinear behavior as well as the potential performance improvements. This study aims to experimentally investigate the nonlinear dynamic behavior of rotating thin circular rings and the effects of angular rate as well as mass mismatch variations on the system natural frequency. A prototype made of a macroscale thin cylindrical structure is employed to study the nonlinear dynamic behavior of rotating thin circular rings. Using a precision rate table equipped with a slip ring as well as non-contact sensors/actuators, experiments that closely represent the actual physical operating conditions of angular rate sensors are developed. Natural frequency variations due to the input angular rate changes are measured in time and frequency domains. Useful experimental observations on the frequency split and mass mismatch effects have been performed. Typical nonlinear behavior, such as jump phenomena of a rotating thin circular cylinder, is noted. The nonlinear dynamic behavior of a ring-type resonator system, which is subjected to external excitations, is experimentally investigated. Results from the present experimental study on the mechanics of the ring structure are expected to provide further insight into the design and operation of ring-type resonators for angular rate sensing applications.
Full article

Figure 1
Open AccessArticle
A Study on Nonlinear Vibrations in the Impact-Echo Method for Void Flaw Detection in Solids
by
Denyue Sun, Yousef Sardahi, Gang S. Chen, Wael Zatar, Hien Nghiem and Zhaohui (Joey) Yang
Vibration 2025, 8(4), 66; https://doi.org/10.3390/vibration8040066 - 20 Oct 2025
Abstract
►▼
Show Figures
This paper presents a study on the nonlinear vibrations in the impact-echo (IE) method for void flaw detection of solid structures. Linear theory has historically served as the foundational framework for non-destructive methods, including the IE method, particularly for estimating flaws in solids.
[...] Read more.
This paper presents a study on the nonlinear vibrations in the impact-echo (IE) method for void flaw detection of solid structures. Linear theory has historically served as the foundational framework for non-destructive methods, including the IE method, particularly for estimating flaws in solids. This paper gives a comprehensive analysis of the nonlinear theory behind the IE method for detection of voids in solids such as concrete structures. The general equation of motion is presented for the flexural vibration of a void-defected solid with general nonlinear constitutive material properties, and then the simplified solutions for polynomial nonlinearity and hysteresis nonlinearity are derived comprehensively. The solutions of principal frequency and sub- and super-harmonics as well as the frequency of combined modes are elaborated, and the theoretical formula of resonant frequency shift with amplitude is derived. As conventional nonlinear IE methods have been conducted by only using a phenomenological model of linear shift in resonant frequency with amplitude, the proposed new frame of nonlinear vibration theory can be used to implement the IE method more comprehensively and accurately for void detection in solids.
Full article

Figure 1
Open AccessArticle
Transfer Learning Approach for Estimating Modal Parameters of Robot Manipulators Using Minimal Experimental Data
by
Seyed Hamed Seyed Hosseini, Seyedhossein Hajzargarbashi, Gabriel Côté and Zhaoheng Liu
Vibration 2025, 8(4), 65; https://doi.org/10.3390/vibration8040065 - 18 Oct 2025
Abstract
►▼
Show Figures
Robots are used more and more in manufacturing, especially in tasks like robotic machining, where understanding their vibration behavior is very important. However, robot vibrations vary with posture, and evaluating all representative postures requires significant time and cost. This study proposes a deep
[...] Read more.
Robots are used more and more in manufacturing, especially in tasks like robotic machining, where understanding their vibration behavior is very important. However, robot vibrations vary with posture, and evaluating all representative postures requires significant time and cost. This study proposes a deep learning (DL) based transfer learning (TL) approach to predict robot vibration behavior using fewer experiments. A large dataset was collected from a KUKA KR300 robot (Robot A) by testing nearly 250 postures. This dataset was then used to train a model to predict modal parameters such as natural frequencies (ω_n), damping ratios (ξ), and modal stiffness (k) within the workspace. TL was then used to apply the knowledge from Robot A to two other robots: a Comau NJ 650-2.7 (Robot B, high-payload) and an ABB IRB 4400 (Robot C, low-payload). Only a small number of postures were tested for Robots B and C. They were chosen carefully to cover different workspace areas and avoid collisions. Hammer tests were performed, and a four-step process was used to identify the real vibration modes. Stabilization diagrams were applied to confirm valid modes and remove noise. The results show that TL can accurately predict modal parameters for both Robot B and Robot C, even with limited data. These predictions were also used to estimate frequency response functions (FRFs), which matched well with experimental results. The main novelties of this work are: achieving accurate prediction of posture-dependent dynamics using minimal experimental data, demonstrating generalization across robots with different payload capacities, and revealing that data coverage across the workspace is more critical than dataset size.
Full article

Figure 1
Open AccessArticle
Power-Based Statistical Detection of Substance Accumulation in Constrained Places Using a Contact-Less Passive Magnetoelastic Sensor
by
Ioannis Kalyvas and Dimitrios Dimogianopoulos
Vibration 2025, 8(4), 64; https://doi.org/10.3390/vibration8040064 - 10 Oct 2025
Abstract
►▼
Show Figures
A contactless passive magnetoelastic sensing setup, recently proposed for detecting pest/substance accumulation in confined spaces (labs, museum reserves), is optimized for enhanced low-frequency performance. The setup uses a short flexible polymer slab, clamped at one end. There, a short Metglas® 2826MB magnetoelastic
[...] Read more.
A contactless passive magnetoelastic sensing setup, recently proposed for detecting pest/substance accumulation in confined spaces (labs, museum reserves), is optimized for enhanced low-frequency performance. The setup uses a short flexible polymer slab, clamped at one end. There, a short Metglas® 2826MB magnetoelastic ribbon is fixed upon the slab’s surface. The opposite end receives excitation by a remotely controlled module of ultra-low amplitude vibration. When vibrating (with the slab), the ribbon generates magnetic flux, which depends on (and reflects) the slab’s dynamics. This changes when loads accumulate on its surface. The flux induces voltage in a contactless manner in a low-cost pick-up coil suspended above the ribbon. Voltage monitoring allows for evaluation of the vibrating slab’s real-time dynamics and, consequently, the detection of load-induced changes. This work innovates by introducing a low-cost passive circuit for real-time voltage processing, thus achieving an accurate representation of the low-frequency dynamics of the magnetic flux. Furthermore, it introduces an algorithm, which statistically detects load-induced changes using the voltage’s low-frequency power characteristics. Both additions enable load detection at relatively low frequencies, thus addressing a principal issue of passive contactless sensing setups. Extensive testing at different occasions demonstrates promising load detection performance under various conditions, especially given its cost-efficient hardware and operation.
Full article

Figure 1
Open AccessReview
Guide to the Effects of Vibration on Health—Quantitative or Qualitative Occupational Health and Safety Prevention Guidance? A Scoping Review
by
Eckardt Johanning and Alice Turcot
Vibration 2025, 8(4), 63; https://doi.org/10.3390/vibration8040063 - 6 Oct 2025
Abstract
This systematic review examined the health risk assessment methods of studies of whole-body vibration exposure from occupational vehicles or machines utilizing the International Standard ISO 2631-1 (1997) and/or the European Machine Directive 2002/44. This review found inconsistent reporting of measurement parameters in studies
[...] Read more.
This systematic review examined the health risk assessment methods of studies of whole-body vibration exposure from occupational vehicles or machines utilizing the International Standard ISO 2631-1 (1997) and/or the European Machine Directive 2002/44. This review found inconsistent reporting of measurement parameters in studies on whole-body vibration (WBV) exposure. Although many authors treat the ISO 2631-1 HGCZ as a medical health standard with defined threshold levels, the epidemiological evidence for these limits is unclear. Similarly, the EU Directive offers more comprehensive risk management guidance, but the numeric limits are equal without supporting scientific evidence. Both guidelines likely represent the prevailing societal and interdisciplinary consensus at the time. Authors note discrepancies between international and national standards and adverse WBV exposure outcomes are reported below given boundaries. Future publications should report all relevant parameters from ISO 2631-1 and clearly state study limitations, exercising caution when applying ISO 2631-1 HGCZ in health and safety assessments and considering different susceptibility of diverse populations. We advise reducing WBV exposure to the lowest technically feasible limits wherever possible and applying the precautionary principle with attention to individual differences, instead of depending solely on numeric limits.
Full article
(This article belongs to the Special Issue Whole-Body Vibration and Hand-Arm Vibration Related to ISO-TC108-SC4 Published Standards)
►▼
Show Figures

Figure 1
Open AccessArticle
Effectiveness of Dynamic Vibration Absorber on Ground-Borne Vibration Induced by Metro
by
Javad Sadeghi, Alireza Toloukian and Sogand Mehravar
Vibration 2025, 8(4), 62; https://doi.org/10.3390/vibration8040062 - 5 Oct 2025
Cited by 1
Abstract
The application of dynamic vibration absorbers (DVAs) is a countermeasure to suppress vibrations induced by railway traffic. A key advantage of the DVA application is that it does not require any changes to the path of vibration propagation or the receiver of vibration.
[...] Read more.
The application of dynamic vibration absorbers (DVAs) is a countermeasure to suppress vibrations induced by railway traffic. A key advantage of the DVA application is that it does not require any changes to the path of vibration propagation or the receiver of vibration. A review of the literature reveals the necessity of deriving the optimum properties of DVA to mitigate railway vibrations. To this end, the optimum DVA properties were investigated through the development of a two-dimensional finite element model of the track-tunnel-soil system. The model was validated using the results of a field test. A parametric study was made to obtain the optimum properties of DVA for different soils surrounding the tunnel. The results of the model analysis indicate that the DVA has better vibration reduction for metro tunnels built in soft soils as compared to those surrounded by medium and stiff soils. Also, the results disclose that the DVA reduces vibration radiated on the ground surface when the DVA natural frequency is tuned to a low frequency. Using the results of the parametric study, graphs are suggested to select the optimum properties of the DVA as a function of the soil around the tunnel.
Full article
(This article belongs to the Special Issue Railway Dynamics and Ground-Borne Vibrations)
►▼
Show Figures

Figure 1
Open AccessArticle
Mounted Accelerometer Frequency Response of Adhesive Products and Aluminum Frame Quick Mounts
by
Kenton Hummel, Jay Hix and Edna Cárdenas
Vibration 2025, 8(4), 61; https://doi.org/10.3390/vibration8040061 - 3 Oct 2025
Abstract
►▼
Show Figures
An accelerometer mounting technique has large implications on the frequency range and accuracy of the measurement, with stiffness and the mass relative to the monitored structure as the primary concerns. The International Organization for Standardization (ISO) gives an extensive list in 5348:2021, detailing
[...] Read more.
An accelerometer mounting technique has large implications on the frequency range and accuracy of the measurement, with stiffness and the mass relative to the monitored structure as the primary concerns. The International Organization for Standardization (ISO) gives an extensive list in 5348:2021, detailing mounting methods, and provides recommendations for testing mounts that are not specifically defined. In the nuclear industry on the laboratory scale, there is a need for vibration measurements for predictive maintenance and process monitoring that are nondestructive and capable of working in high-temperature environments. Commercial adhesive products with easy application and removal were tested as nondestructive methods, while quick mounts to a commonly used aluminum frame were tested as nondestructive and have potential applicability in high-temperature environments. The sinusoidal excitation method was used, measuring frequencies from 50 Hz to 10 kHz in one-third octave band intervals, utilizing three accelerometers and comparing the results to those obtained with the stud-mounting method. Using the lowest ±3 dB threshold across each accelerometer, foam dots and poster strips were not successful, and foam tapes were accurate up to 2000 Hz, hose clamps and zip ties up to 800 Hz, and a custom 3D printed mount up to 1000 Hz. Knowing the limitations of each mounting technique allows for accurate measurements within the appropriate range.
Full article

Figure 1
Highly Accessed Articles
Latest Books
E-Mail Alert
News
Topics
Special Issues
Special Issue in
Vibration
Whole-Body Vibration and Hand-Arm Vibration Related to ISO-TC108-SC4 Published Standards
Guest Editors: Setsuo Maeda, Marco TarabiniDeadline: 31 December 2025
Special Issue in
Vibration
Vibration in 2025
Guest Editor: Aleksandar PavicDeadline: 31 December 2025
Special Issue in
Vibration
Railway Dynamics and Ground-Borne Vibrations
Guest Editors: Aires Colaço, Hassan Liravi, Pedro Alves CostaDeadline: 20 February 2026
Special Issue in
Vibration
Geotechnical Seismic Isolation System: Development and Challenges
Guest Editor: Ivan BanovićDeadline: 15 March 2026


