- Article
Optimal Craig–Bampton Mode Selection for Nonlinear Flexible Multibody Analysis
- Océane Topenot,
- Gaël Chevallier,
- Scott Cogan and
- Christophe Oulerich
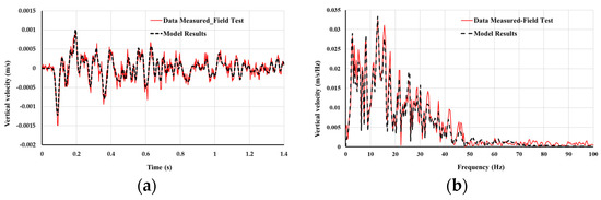
Physics-based simulations are now widely employed in mechanical engineering. Flexible Multibody dynamic Simulations (FMBSs) have proven to be effective in representing the behavior of complex structures with local damping and stiffness nonlinearities...

