Journal Description
Polymers
Polymers
is an international, peer-reviewed, open access journal of polymer science published semimonthly online by MDPI. Belgian Polymer Group (BPG), European Colloid & Interface Society (ECIS), National Interuniversity Consortium of Materials Science and Technology (INSTM) and North American Thermal Analysis Society (NATAS) are affiliated with Polymers and their members receive a discount on the article processing charges.
- Open Access— free for readers, with article processing charges (APC) paid by authors or their institutions.
- High Visibility: indexed within Scopus, SCIE (Web of Science), Ei Compendex, PubMed, PMC, FSTA, CAPlus / SciFinder, Inspec, and other databases.
- Journal Rank: JCR - Q1 (Polymer Science) / CiteScore - Q1 (General Chemistry )
- Rapid Publication: manuscripts are peer-reviewed and a first decision is provided to authors approximately 14 days after submission; acceptance to publication is undertaken in 2.6 days (median values for papers published in this journal in the first half of 2025).
- Recognition of Reviewers: reviewers who provide timely, thorough peer-review reports receive vouchers entitling them to a discount on the APC of their next publication in MDPI journals, in appreciation of the work.
- Testimonials: See what our authors and editors say about Polymers.
- Journal Cluster of Polymer and Macromolecular Science: Polymers, Gels, Polysaccharides, Textiles, Macromol, Microplastics and Adhesives.
Impact Factor:
4.9 (2024);
5-Year Impact Factor:
5.2 (2024)
Latest Articles
Preparation, Structure and Characterization of Polymer/Cement Composites—3rd Edition
Polymers 2025, 17(22), 2980; https://doi.org/10.3390/polym17222980 (registering DOI) - 9 Nov 2025
Abstract
Polymer/cement composites and related materials have garnered substantial attention in civil engineering, primarily due to their enhanced properties compared to traditional cement-based materials [...]
Full article
(This article belongs to the Special Issue Preparation, Structure and Characterization of Polymer/Cement Composites—3rd Edition)
Open AccessArticle
PEGylation Enhances Colloidal Stability and Promotes Ligand-Mediated Targeting of LAF–Xenopeptide mRNA Complexes
by
Paul Folda, Eric Weidinger, Johanna Seidl, Mina Yazdi, Jana Pöhmerer, Melina Grau, David P. Minde, Mayar Ali, Ceren Kimna and Ernst Wagner
Polymers 2025, 17(22), 2979; https://doi.org/10.3390/polym17222979 (registering DOI) - 9 Nov 2025
Abstract
For complexation of mRNA into polyplexes, double-pH-responsive lipo-xenopeptides (XP), comprising tetraethylene pentamino succinic acid (Stp) and lipoamino fatty acids (LAFs), were combined with PEGylated lipids, either DMG-PEG 2 kDa (DMG-PEG) or azido-group-containing DSPE-PEG 2 kDa (DSPE-PEG-N3), to increase colloidal stability and to facilitate
[...] Read more.
For complexation of mRNA into polyplexes, double-pH-responsive lipo-xenopeptides (XP), comprising tetraethylene pentamino succinic acid (Stp) and lipoamino fatty acids (LAFs), were combined with PEGylated lipids, either DMG-PEG 2 kDa (DMG-PEG) or azido-group-containing DSPE-PEG 2 kDa (DSPE-PEG-N3), to increase colloidal stability and to facilitate ligand-mediated targeted mRNA delivery. LAF-XPs mixed with DMG-PEG at low (1.5% and 3%) molar ratios improved colloidal stability and retained transfection efficiency. PEGylation also enabled the formulation of otherwise unstable carrier complexes and prevented aggregation induced by salt, proteins, and serum. PEGylation of more positively charged Stp-LAF2 mRNA polyplexes decreased fibrinogen adsorption. More neutral, LAF-rich Stp-LAF4 polyplexes exhibited low fibrinogen binding without PEGylation. Intravenous administration of these stabilized mRNA complexes demonstrated enhanced biosafety while preserving transfection efficiency. DSPE-PEG-N3 was selected for cell targeting after strain-promoted azide-alkyne cycloaddition (SPAAC)-mediated click-coupling of DBCO-modified ligands. Higher PEG ratios (10% and 20%) provided effective shielding but reduced transfection efficiency, a drawback known as the “PEG dilemma”. Functionalization with an EGFR-targeting ligand restored transfection in EGFR-positive cell lines in a ligand-specific manner. High transfection efficiency is consistent with a lipophilic-to-hydrophilic polarity switch of LAF-XP carriers upon endosomal protonation, triggering dissociation of the PEG lipids and deshielding of the polyplex.
Full article
(This article belongs to the Section Polymer Chemistry)
►▼
Show Figures

Figure 1
Open AccessArticle
Incorporation of Butanol into Nanopores of Syndiotactic Polystyrene
by
Saki Fujino, Rei Miyauchi, Takahiko Nakaoki and Paola Rizzo
Polymers 2025, 17(22), 2978; https://doi.org/10.3390/polym17222978 (registering DOI) - 8 Nov 2025
Abstract
Biobutanol can be obtained by fermentation of microorganisms and used as biofuel. The membrane separation is energetically favorable. The incorporation of butanol into syndiotactic polystyrene (sPS) with crystalline nanopores was investigated as a function of the butanol uptake temperature using infrared spectroscopy. The
[...] Read more.
Biobutanol can be obtained by fermentation of microorganisms and used as biofuel. The membrane separation is energetically favorable. The incorporation of butanol into syndiotactic polystyrene (sPS) with crystalline nanopores was investigated as a function of the butanol uptake temperature using infrared spectroscopy. The OH stretching modes at 3596 and 3300 cm−1, corresponding to hydrogen-bonded butanol in the crystalline cavity and free butanol in the amorphous region, respectively, were employed for analysis. Upon immersion of the sPS film in butanol, butanol molecules were absorbed in the crystalline nanocavities and amorphous phase. Diffusion increased with the uptake temperature in both regions. This can be associated with the larger molecular mobility of butanol molecules at high temperatures, facilitating contact between the film surface and the butanol molecules. The number of butanol molecules incorporated into the crystalline cavity was estimated using Lambert-Beer’s law. On average 90% of the nanopore cavities were occupied by butanol, while the remaining 10% were empty.
Full article
(This article belongs to the Section Polymer Analysis and Characterization)
►▼
Show Figures

Graphical abstract
Open AccessArticle
Surface Treatment and Analysis of 3D-Printed Plastic Molds for Prototype and Small-Series Injection Molding
by
Karel Raz, Zdenek Chval, Frantisek Hula and Angelos Markopoulos
Polymers 2025, 17(22), 2977; https://doi.org/10.3390/polym17222977 (registering DOI) - 8 Nov 2025
Abstract
Additive manufacturing (AM) has emerged as a promising technology for producing low-cost, customized tooling, particularly for prototyping and small-series injection molding. However, the inherent surface roughness and anisotropic properties of 3D-printed parts pose significant challenges for their direct use as functional mold inserts.
[...] Read more.
Additive manufacturing (AM) has emerged as a promising technology for producing low-cost, customized tooling, particularly for prototyping and small-series injection molding. However, the inherent surface roughness and anisotropic properties of 3D-printed parts pose significant challenges for their direct use as functional mold inserts. This study investigates the effectiveness of various post-processing techniques on 3D-printed plastic inserts made from polyamide 12 (PA12) and glass bead-filled PA12 (PA12GB). The primary objective was to evaluate the impact of these surface treatments on the functional properties and service life of the mold inserts. A comprehensive analysis was conducted, including a detailed characterization of roughness using a confocal microscope, cross-sectional analysis to determine layer thickness, and tribological tests employing the ball-on-disc method to assess wear resistance. The study employed a modular injection mold and tested a range of surface finishing processes, including PostProcess Suspended Rotational Force (SRF) technology, metal decomposition coatings from HVM Plasma, and various methods from DyeMansion (Powershot S and Powerfuse). Results show a significant reduction in surface roughness across all methods. Notably, the vapor-based Powefuse treatment from DyeMansion achieved a surface roughness (Ra) of 1.2797 μm, which is below the typical Ra value of 1.6 μm for conventional metal molds, thereby making it suitable for high-quality molding applications. The tribological analysis provided critical insights into the durability and wear resistance of the treated surfaces, supporting their potential for extended use. This research validates the potential of specific post-processing methods to transform AM parts into functional tooling, enabling cost-effective and rapid prototyping in the plastics industry.
Full article
(This article belongs to the Section Polymer Processing and Engineering)
►▼
Show Figures

Figure 1
Open AccessArticle
Novel Alginate-Based Physical Hydrogels: Promising Cleaning Tools for Sensitive Artifacts
by
Matteo Ferretti, Maduka L. Weththimuni, Donatella Sacchi, Chiara Milanese, Alessandro Girella, Barbara Vigani, Gaia Zucca, Alice Pedalà, Nicola Razza and Maurizio Licchelli
Polymers 2025, 17(22), 2976; https://doi.org/10.3390/polym17222976 (registering DOI) - 8 Nov 2025
Abstract
Natural polysaccharides are used for very different applications and are particularly exploited for preparing hydrogel materials. For instance, gels based on different carbohydrate polymers have been applied to remove unwanted materials from the surface of cultural heritages items. This study was focused on
[...] Read more.
Natural polysaccharides are used for very different applications and are particularly exploited for preparing hydrogel materials. For instance, gels based on different carbohydrate polymers have been applied to remove unwanted materials from the surface of cultural heritages items. This study was focused on the preparation of novel physical hydrogels suitable for the cleaning of sensitive materials like wood and paper, i.e., to remove the soil from their surface. For this purpose, alginate biopolymer was used and ionically crosslinked with six different amines, in the presence of N-hydroxysuccinimide as a co-gelling agent. All the synthetized gel materials were characterized by a multianalytical approach, using different techniques such as FT-IR, thermal analysis, SEM-EDS, mechanical tests, and evaluation of moisture properties. All the results showed that the introduction of the investigated amines improved the original properties of alginate and provided good cleaning properties when applied to sensitive surfaces.
Full article
(This article belongs to the Special Issue Biobased and Biodegradable Polymer Blends and Composites II)
►▼
Show Figures

Figure 1
Open AccessArticle
Bio-Based Epoxy Adhesives Reinforced with Recycled Fillers
by
Alberto Cellai, Lorenzo Pezzana, Valentina Casalegno, Milena Salvo and Marco Sangermano
Polymers 2025, 17(22), 2975; https://doi.org/10.3390/polym17222975 (registering DOI) - 7 Nov 2025
Abstract
This study explores the potential of a bio-based thermosetting adhesive system incorporating recycled fillers to enhance structural bonding applications while promoting sustainability. Diglycidylether of vanillyl alcohol (DGEVA) was selected as the resin matrix due to its favorable thermomechanical properties and low moisture absorption.
[...] Read more.
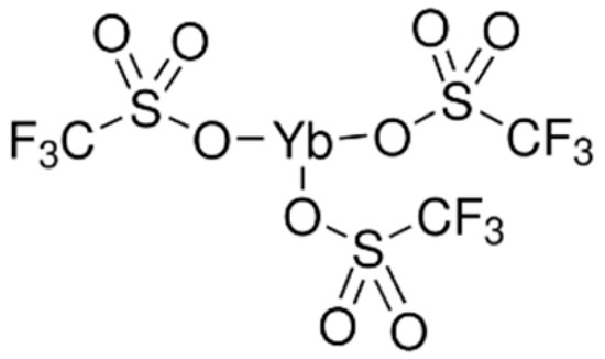
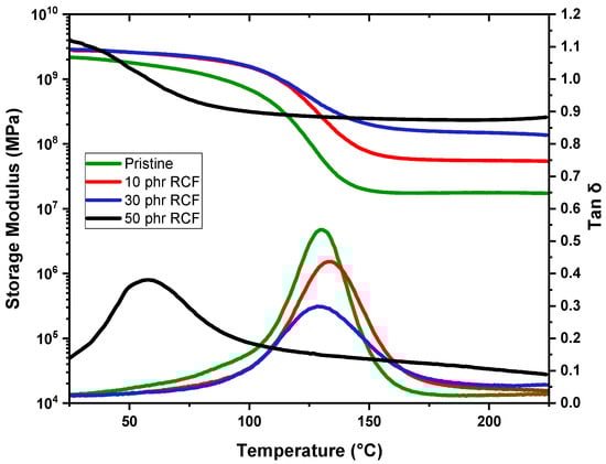
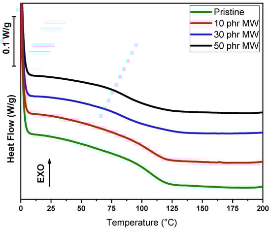
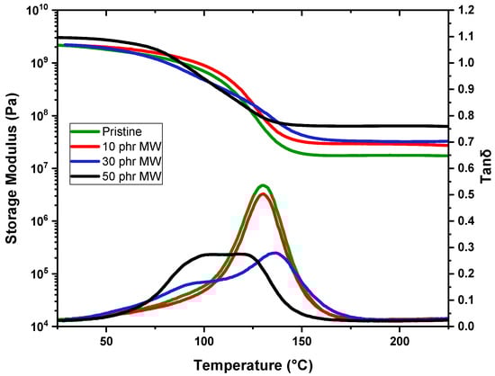
This study explores the potential of a bio-based thermosetting adhesive system incorporating recycled fillers to enhance structural bonding applications while promoting sustainability. Diglycidylether of vanillyl alcohol (DGEVA) was selected as the resin matrix due to its favorable thermomechanical properties and low moisture absorption. To improve mechanical performance and support circular economy principles, recycled carbon fibers (RCFs) and mineral wool (MW) were integrated into the adhesive formulation in varying proportions (10, 30, and 50 phr). A cationic thermal initiator, ytterbium (III) trifluoromethanesulfonate (YTT), was used to permit polymerization. Comprehensive characterization was performed to assess the curing behavior, thermal stability, and mechanical performance of the adhesive. FTIR spectroscopy monitored the polymerization process, while DSC and dynamic DSC provided insights into reaction kinetics, including activation energy, and curing rates. The mechanical and thermomechanical properties were evaluated using dynamic mechanical thermal analysis (DMTA) and shear lap testing on bonded joints. Additionally, SEM imaging was employed to examine fillers’ morphology and joint interfaces. The results indicated that increasing filler content slowed polymerization and raised activation energy but still permitted high conversion rates. Both RCF- and MW-containing formulations exhibited improved stiffness and adhesion strength, particularly in CMC joints. These findings suggest that DGEVA-based adhesives reinforced with recycled fillers offer a viable and sustainable alternative for structural bonding, contributing to waste valorization and green material development in engineering applications.
Full article
(This article belongs to the Section Polymer Applications)
►▼
Show Figures

Figure 1
Open AccessArticle
Advanced Thermal Protection Systems Enabled by Additive Manufacturing of Hybrid Thermoplastic Composites
by
Teodor Adrian Badea, Alexa-Andreea Crisan and Lucia Raluca Maier
Polymers 2025, 17(22), 2974; https://doi.org/10.3390/polym17222974 (registering DOI) - 7 Nov 2025
Abstract
This study investigates seven advanced hybrid composite thermal protection system (TPS) prototypes, featuring an innovative internal air chamber design that reduces heat conduction and enhances overall thermal protection performance. Specimens were manufactured by fused deposition modeling (FDM), an additive manufacturing technique, using a
[...] Read more.
This study investigates seven advanced hybrid composite thermal protection system (TPS) prototypes, featuring an innovative internal air chamber design that reduces heat conduction and enhances overall thermal protection performance. Specimens were manufactured by fused deposition modeling (FDM), an additive manufacturing technique, using a fire-retardant thermoplastic. Selected configurations were reinforced with continuous carbon or glass fibers, coated with ceramic surface layer, or hybridized with carbon fiber reinforced polymer (CFRP) layers or a CFRP laminate disk. To validate performance, a harsh oxy-acetylene torch (OAT) protocol was implemented, deliberately designed to exceed the severity of most reported typical ablative assessments. The exposed surface of each specimen was subjected to direct flame at a 50 mm distance, recording peak temperatures of 1600 ± 50 °C. Two samples of each configuration were tested under 60 and 90 s exposures. Back-face thermal readings at potential payload sites consistently remained below 85 °C, well under the 200 °C maximum standard threshold for TPS applications. Several configurations preserved structural integrity despite the extreme environment. Prototypes 4.1 and 4.2 demonstrate the most favorable performance, maintaining structural integrity and low back-face temperatures despite substantial thickness loss. By contrast, specimen 6.2 exhibited rapid degradation following 60 s of exposure, which served as a rigorous and selective early-stage screening tool for evaluating polymer-based ablative TPS architectures.
Full article
(This article belongs to the Special Issue Polymeric Composites: Manufacturing, Processing and Applications)
►▼
Show Figures

Figure 1
Open AccessArticle
Additive Manufacturing of Bead-Chain-Shaped Scaffolds with AI-Based Process Optimization
by
JinA Kim, Hyung Woo Kim and Young-Sam Cho
Polymers 2025, 17(22), 2973; https://doi.org/10.3390/polym17222973 - 7 Nov 2025
Abstract
Scaffolds are widely recognized as implantable alternatives in the field of tissue engineering. Among various scaffold structures, grid structures are commonly used due to their simple design and ease of fabrication. However, grid structures have a critical demerit of low mechanical stiffness compared
[...] Read more.
Scaffolds are widely recognized as implantable alternatives in the field of tissue engineering. Among various scaffold structures, grid structures are commonly used due to their simple design and ease of fabrication. However, grid structures have a critical demerit of low mechanical stiffness compared to its own mechanical property (used material’s compressive stiffness), as the limited contact area between strands prevents effective load distribution. Several structural designs, such as triply periodic minimal surface (TPMS), modified honeycomb, and Kagome structures, have been proposed to improve compressive stiffness. Despite their mechanical advantages, these structures are limited by complex design and manufacturing processes. In this study, we propose a Bead-Chain-Shaped (BCS) scaffold, which maintains the simplicity of grid structures while enhancing compressive stiffness through the printing process alone. To optimize the printing process and enhance fabrication efficiency, we developed an artificial intelligence (AI)-based process optimization model that correlates printing parameters (pressure, printing speed, and delay time) with the resulting geometric accuracy while maintaining the designed geometry, and predicts the optimal printing conditions for the predesigned Bead-Chain-shaped (BCS) geometry. The model was then used to extract these optimal printing conditions, enabling precise dimensional control and improving overall fabrication accuracy of the Bead-Chain-Shaped (BCS) scaffold dimensions. Under the optimized printing conditions, the BCS scaffolds achieved compressive stiffness values of 61.8, 75.9, and 91.6 MPa for BCS 5545, 6040, and 6535, respectively, corresponding to increases of 11.9%, 37.3, and 65.7% compared to the control scaffold (55.3 MPa). Numerical analysis confirmed that compressive stiffness increases as strand-to-strand contact area increases. Furthermore, in vitro cell proliferation assays demonstrated no significant difference in cell proliferation compared to conventional structures (grid-structure scaffold), indicating that the proposed design does not inhibit cellular growth. These results highlight the potential of the proposed Bead-Chain-Shaped (BCS) scaffold as a promising candidate for bone tissue engineering, offering both enhanced mechanical stiffness and fabrication efficiency.
Full article
(This article belongs to the Section Artificial Intelligence in Polymer Science)
►▼
Show Figures

Figure 1
Open AccessArticle
In Vivo Quantitative Monitoring of Drug Release from Halo-Spun Rubbery Mats by Fluorescent Organism Bioimaging (FOBI)
by
Peter Polyak, Aswathy Sasidharan Pillai, Laszlo Forgach, Kristof Molnar, Judit E. Puskas and Domokos Mathe
Polymers 2025, 17(22), 2972; https://doi.org/10.3390/polym17222972 - 7 Nov 2025
Abstract
This paper will present in vivo release profiles of Doxorubicin.HCl from halo-spun drug-loaded rubbery porous mats. For the very first time, Fluorescent Organism Bioimaging (FOBI) was used to follow drug release in a live animal model with induced tumors. A new predictive model
[...] Read more.
This paper will present in vivo release profiles of Doxorubicin.HCl from halo-spun drug-loaded rubbery porous mats. For the very first time, Fluorescent Organism Bioimaging (FOBI) was used to follow drug release in a live animal model with induced tumors. A new predictive model based on apparent diffusion coefficients to simulate release profiles will also be presented and could have general applications for release profile predictions. Surprisingly, histological evaluation found that the tissue layer forming next to the drug-eluting mats had unordered morphology and only necrotic cells. This is a stunning contrast to the highly regular collagen structure next to mats without the drug, typical of an adverse foreign body type reaction. The findings suggest that this drug-eluting fiber mat can be used as a local chemotherapy approach coupled with mitigation of capsular contracture, the major complication associated with breast reconstruction following mastectomy.
Full article
(This article belongs to the Section Biobased and Biodegradable Polymers)
►▼
Show Figures

Graphical abstract
Open AccessArticle
Experimental Assessment of PA6 Bearing Housing Pressed-Fit for Enhanced Reliability and Multiple Maintenance Process
by
Marko Tasić, Žarko Mišković, Radivoje Mitrović, Branislav Đorđević, Aleksandar Dimić, Zoran Stamenić and Lazar Jeremić
Polymers 2025, 17(22), 2971; https://doi.org/10.3390/polym17222971 - 7 Nov 2025
Abstract
This paper presents an experimental method for determining the suitable bore diameter of bearing housings made of polymer designated as PA6, which enables multiple bearing replacement processes. Preceded by analytical calculation, four distinct series of housing samples (each with varying production tolerances) were
[...] Read more.
This paper presents an experimental method for determining the suitable bore diameter of bearing housings made of polymer designated as PA6, which enables multiple bearing replacement processes. Preceded by analytical calculation, four distinct series of housing samples (each with varying production tolerances) were subjected to testing, where each series comprised three housing samples with identical tolerance specifications. The assembly and disassembly processes of press-fit joints were thoroughly monitored using a force sensor, complemented by equipment for measuring the roughness of contact surfaces. Based on the experimental findings, a recommendation is provided for an appropriate interference fit for the tested bearing housing, providing a suitable solution for multiple maintenance processes. As a summary, the idea of this research is to define the prototype solution for the interference fit of a rolling bearing installed in a PA6 housing. Methods used to examine the proposed solution were surface topography and roundness measuring of PA6 housings, while the press-fitting and dismantling tests of rolling bearings in/from PA6 housings were used to verify it.
Full article
(This article belongs to the Section Polymer Applications)
►▼
Show Figures

Graphical abstract
Open AccessArticle
Highly Filled Biocomposites Based on Metallocene Ethylene-Octene Copolymers with Wood Flour: Features of a Biodegradation Mechanism
by
Anna K. Zykova, Anatoly A. Popov, Svetlana G. Karpova and Petr V. Pantyukhov
Polymers 2025, 17(22), 2970; https://doi.org/10.3390/polym17222970 - 7 Nov 2025
Abstract
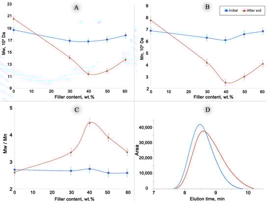
This study examined the biodegradation process of highly filled biocomposites composed of ethylene-octene copolymer (EOC) and wood flour (WF) in varying proportions from 30 to 70 wt.%. The researchers analyzed the structure and characteristics of the samples before and after a 22-month soil-aging
[...] Read more.
This study examined the biodegradation process of highly filled biocomposites composed of ethylene-octene copolymer (EOC) and wood flour (WF) in varying proportions from 30 to 70 wt.%. The researchers analyzed the structure and characteristics of the samples before and after a 22-month soil-aging period. By employing techniques such as weight loss measurement, water absorption testing, optical microscopy, EPR spectroscopy with a radical probe, and gel permeation chromatography, the team identified fundamental patterns in oxidative and biological processes. The investigation revealed that the composition containing 40% WF exhibited the highest level of EOC degradation: polydispersity index increased from 2.7 to 4.5, and the Mw (weight-average molecular weight) decreased from 168 to 114 kDa. An explanation for this observation was proposed, suggesting that the phase structure significantly influences biodegradation, with the rate peaking when the interface area is maximized.
Full article
(This article belongs to the Special Issue Biodegradable Polymer Composites, 2nd Edition)
►▼
Show Figures

Graphical abstract
Open AccessArticle
Linker-Engineered Tyrosine–Azide Coatings for Stable Strain-Promoted Azide–Alkyne Cycloaddition (SPAAC) Functionalization
by
Suho Park, Himani Bisht, Jiwoo Park, Seongchul Park, Yubin Hong, Daeun Chu, Minseob Koh, Hojae Lee and Daewha Hong
Polymers 2025, 17(22), 2969; https://doi.org/10.3390/polym17222969 - 7 Nov 2025
Abstract
Strain-promoted azide–alkyne cycloaddition (SPAAC) is widely used in solution-phase bioconjugation. However, its application in surface chemistry remains limited because substrate-independent azide films that remain stable upon reaction with bulky strained alkynes have not yet been developed. In this study, we address this challenge
[...] Read more.
Strain-promoted azide–alkyne cycloaddition (SPAAC) is widely used in solution-phase bioconjugation. However, its application in surface chemistry remains limited because substrate-independent azide films that remain stable upon reaction with bulky strained alkynes have not yet been developed. In this study, we address this challenge using a melanin-inspired coating based on tyrosine–azide derivatives with different linkers. In particular, we investigated how differences in linker length and hydrophilicity affect the hydrophobic interactions within the film network and, ultimately, determine film stability. Specifically, Tyr-3-N3, a tyrosine–azide derivative having an azide group tethered to tyrosine through a short three-carbon alkyl linker, was identified as optimal, forming azide-presenting films via tyrosinase-mediated oxidation and retaining integrity during SPAAC with external dibenzocyclooctyne (DBCO) ligands. The optimized poly(Tyr-3-N3) coatings enabled efficient methoxypolyethylene glycol (mPEG) immobilization, thereby exhibiting excellent antifouling performance against protein adsorption, and further supported spatially controlled protein patterning through soft lithography techniques such as micromolding in capillaries (MIMIC) and microcontact printing (µCP). The approach was broadly applicable with a range of inorganic and polymeric substrates, as well as living cell surfaces; even after encapsulation and SPAAC-based functionalization, the cells remained viable. Collectively, these findings establish a substrate-independent and biocompatible coating platform that preserves film stability through SPAAC functionalization, supporting applications in antifouling coatings, biosensing, and cell surface engineering.
Full article
(This article belongs to the Section Polymer Chemistry)
►▼
Show Figures

Figure 1
Open AccessArticle
In Vitro and In Silico Evaluation of the Pyrolysis of Polyethylene and Polypropylene Environmental Waste
by
Joaquín Alejandro Hernández Fernández, Katherine Liset Ortiz Paternina, Jose Alfonso Prieto Palomo, Edgar Marquez and Maria Cecilia Ruiz
Polymers 2025, 17(22), 2968; https://doi.org/10.3390/polym17222968 - 7 Nov 2025
Abstract
Plastic pollution, driven by the durability and widespread use of polyolefins such as polypropylene (PP) and high-density polyethylene (HDPE), poses a formidable environmental challenge. To address this issue, we have developed an integrated multiscale framework that combines thermocatalytic experimentation, process-scale simulation, and molecular-level
[...] Read more.
Plastic pollution, driven by the durability and widespread use of polyolefins such as polypropylene (PP) and high-density polyethylene (HDPE), poses a formidable environmental challenge. To address this issue, we have developed an integrated multiscale framework that combines thermocatalytic experimentation, process-scale simulation, and molecular-level modeling to optimize the catalytic pyrolysis of PP and HDPE waste. Under the identified optimal conditions (300 °C, 10 wt % HMOR zeolite), liquid-oil yields of 60.8% for PP and 87.3% for HDPE were achieved, accompanied by high energy densities (44.2 MJ/kg, RON 97.5 for PP; 43.7 MJ/kg, RON 115.2 for HDPE). These values significantly surpass those typically reported for uncatalyzed pyrolysis, demonstrating the efficacy of HMOR in directing product selectivity toward valuable liquids. Above 400 °C, the process undergoes a pronounced shift toward gas generation, with gas fractions exceeding 50 wt % by 441 °C, underscoring the critical influence of temperature on product distribution. Gas-phase analysis revealed that PP-derived syngas contains primarily methane (20%) and ethylene (19.5%), whereas HDPE-derived gas features propylene (1.9%) and hydrogen (1.5%), highlighting intrinsic differences in bond-scission pathways governed by polymer architectures. Aspen Plus process simulations, calibrated against experimental data, reliably predict product distributions with deviations below 20%, offering a rapid, cost-effective tool for reactor design and scale-up. Complementary density functional theory (DFT) calculations elucidate the temperature-dependent energetics of C–C bond cleavage and radical formation, revealing that system entropy increases sharply at 500–550 °C, favoring the generation of both liquid and gaseous intermediates. By directly correlating catalyst acidity, molecular reaction mechanisms, and process-scale performance, this study fills a critical gap in plastic-waste valorization research. The resulting predictive platform enables rational design of catalysts and operating conditions for circular economy applications, paving the way for scalable, efficient recovery of fuels and chemicals from mixed polyolefin waste.
Full article
(This article belongs to the Special Issue Polymer Composites in Municipal Solid Waste Landfills)
►▼
Show Figures

Figure 1
Open AccessArticle
Dual Role of Ionic Liquids as Plasticizer and Co-Foaming Agent of Polylactide Matrix
by
Debora P. Schmitz, Luanda Lins, Juliana M. Farias da Silva, Bluma G. Soares and Sebastien Livi
Polymers 2025, 17(22), 2967; https://doi.org/10.3390/polym17222967 - 7 Nov 2025
Abstract
Polylactic acid (PLA) is considered as an attractive polymer due to its renewable origin, biodegradability, and promising tensile strength and modulus. However, its inherent brittleness, characterized by a low impact resistance and elongation at break, can significantly restrict its application. This work proposes
[...] Read more.
Polylactic acid (PLA) is considered as an attractive polymer due to its renewable origin, biodegradability, and promising tensile strength and modulus. However, its inherent brittleness, characterized by a low impact resistance and elongation at break, can significantly restrict its application. This work proposes a new insight to improve the toughness of PLA while keeping its biocompatibility by incorporating two biocompatible ionic liquids (ILs), 1-ethyl-3-methylimidazolium ethyl sulfate ([emim][EtSO4]), and tris(2-hydroxyethyl) methylammonium methylsulfate ([Tris][MeSO4]). The modified PLA systems were thoroughly characterized to evaluate their mechanical and thermal behavior. Results demonstrated that the addition of 1 wt% of either IL resulted in significant improvement in modulus. Increasing the amount of IL resulted in an increase in the toughness while maintaining the material’s original stiffness and also the thermal stability. Furthermore, the foaming potential of the modified PLA using supercritical CO2 was investigated as an environmentally friendly processing method. The ionic liquids contributed positively to the foamability of the material, suggesting improved gas solubility and cell nucleation during the foaming process. The addition of both IL decreased the cell size and resulted in narrower cell size distribution. These findings highlight the potential of ionic liquid-modified PLA systems for the processing of lightweight, and high-performance packaging materials.
Full article
(This article belongs to the Section Biobased and Biodegradable Polymers)
►▼
Show Figures

Figure 1
Open AccessArticle
Experimental Study on the Performance of a Stable Foam System and Its Application Effect Combined with Natural Gas in Natural Foamy Oil Reservoirs
by
Jipeng Zhang, Yongbin Wu, Xingmin Li, Chao Wang and Pengcheng Liu
Polymers 2025, 17(22), 2966; https://doi.org/10.3390/polym17222966 - 7 Nov 2025
Abstract
Reservoirs in the Orinoco Heavy Oil Belt, Venezuela, typically hold natural foamy oil. Gas liberation during depletion leads to a sharp increase in viscosity, adversely impacting development efficiency. Therefore, this paper proposes a natural gas (CH4)–chemical synergistic huff-and-puff method (CCHP). It
[...] Read more.
Reservoirs in the Orinoco Heavy Oil Belt, Venezuela, typically hold natural foamy oil. Gas liberation during depletion leads to a sharp increase in viscosity, adversely impacting development efficiency. Therefore, this paper proposes a natural gas (CH4)–chemical synergistic huff-and-puff method (CCHP). It utilizes the synergism between a stable foam plugging system and natural gas to supplement reservoir energy and promote the generation of secondary foamy oil. To evaluate the performance of 20 types of foam stabilizers (polymers and surfactants), elucidate the influence on production and properties of key parameters, and reveal the flow characteristics of produced fluids, 24 sets of foam performance evaluation tests were conducted using a high-temperature foam instrument. Moreover, 15 sets of core experiments with production fluid visualization were performed. The results demonstrate that, in terms of individual components, XTG and HPAM-20M demonstrated the best foam-stabilizing performance, achieving an initial foam volume of 280 mL and a foam half-life of 48 h. Conversely, the polymer–surfactant composite of XTG-CBM-DA elevated the initial foam volume to 330 mL while maintaining a comparable half-life, further enhancing the performance of foaming capacity for a stable foam system. For further application in the CCHP, oil production shows a positive correlation with both post-depletion pressure and chemical agent concentration; however, the foam gas–liquid ratio (GLR) exhibits an inflection point, with the optimal ratio found to be 1.2 m3/m3. During the huff-and-puff process, the density and viscosity of the produced oil decrease cycle by cycle, while resin and asphaltene content show a significant reduction. Furthermore, visualization results reveal that the foam becomes finer, more stable, and more uniformly distributed under precise parameter control, leading to enhanced foamy oil effects and improved plugging capacity. Moreover, the foam structure transitions from an oil-rich state to a homogeneous and stable configuration throughout the CCHP process. This study provides valuable insights for achieving stable and sustainable development in natural foamy oil reservoirs.
Full article
(This article belongs to the Special Issue Polymers in Petroleum Engineering: Enhancing Performance and Sustainability)
►▼
Show Figures

Figure 1
Open AccessArticle
Impedance-Matched Iron-Added Polymeric Composite Film Incorporated with Iron Nanowire for Electromagnetic Absorption Application
by
Yuh-Jing Chiou, Pei-Jung Chang, Pei-Ru Su, Sheng-Jung Tsou and Chung-Kwei Lin
Polymers 2025, 17(21), 2965; https://doi.org/10.3390/polym17212965 - 6 Nov 2025
Abstract
Salisbury screen-type radar absorption structures (RASs) consisting of a resistance sheet, a spacer, and a conductive base provide an efficient method for microwave absorption. An impedance-matched resistance sheet allows microwaves to enter, whereas superior microwave absorbers enhance their performance further. In the present
[...] Read more.
Salisbury screen-type radar absorption structures (RASs) consisting of a resistance sheet, a spacer, and a conductive base provide an efficient method for microwave absorption. An impedance-matched resistance sheet allows microwaves to enter, whereas superior microwave absorbers enhance their performance further. In the present work, an impedance matching composite film was prepared by using polymer/iron/iron nanowires. By varying the polymer, poly (methyl methacrylate) (PMMA), poly (vinylidene fluoride) (PVDF), and poly (vinyl alcohol) (PVA), to iron powder ratios (1:1, 2:1, and 4:1), composite films were synthesized and examined by scanning electron microscopy, X-ray diffraction, and the four-point probe method to determine the materials’ characteristics. An impedance-matched composite film was prepared based on the selected composition with 1–10 wt.% iron nanowire additions. Experimental results showed that the polymeric composite film prepared by a ratio of iron-PVA of 4:1 exhibited a sheet resistance of 49 ± 9.7 Ω/sq due to well dispersion of iron powder in PVA. With 1 wt.% Fe nanowire addition, the optimal composite sheet resistance was 329.7 ± 45.3 Ω/sq, which corresponded to an impedance matching degree (i.e., |Zin/Z0| value) of 0.88 ± 0.12 and can be used as a resistance sheet for a Salisbury screen-type absorber in RAS applications.
Full article
(This article belongs to the Section Polymer Composites and Nanocomposites)
►▼
Show Figures

Graphical abstract
Open AccessReview
Chitosan-Grafted Graphene Oxide-Reinforced Bio-Based Waterborne Epoxy Nanocomposites for Antibacterial and Corrosion Resistance in Tropical Marine Environments: A Mini-Review
by
Yunyang Wu, Zhongyuan Luo, Yucheng Wang, Chengwei Xu and Yuanzhe Li
Polymers 2025, 17(21), 2964; https://doi.org/10.3390/polym17212964 - 6 Nov 2025
Abstract
Epoxy resin coatings are widely employed for steel protection owing to their excellent adhesion, chemical stability, mechanical strength, and barrier properties. However, conventional bisphenol A-based resins and organic solvents may pose risks to reproductive, developmental, and immune systems, as well as contribute to
[...] Read more.
Epoxy resin coatings are widely employed for steel protection owing to their excellent adhesion, chemical stability, mechanical strength, and barrier properties. However, conventional bisphenol A-based resins and organic solvents may pose risks to reproductive, developmental, and immune systems, as well as contribute to atmospheric pollution. This mini-review critically evaluates recent advancements in fully waterborne bio-based epoxy nanocomposites as sustainable alternatives, with particular emphasis on their enhanced antibacterial and corrosion-resistant performance in tropical marine environments. A central focus is the role of chitosan-grafted graphene oxide (Chi-GO) as a multifunctional nanofiller that significantly enhances both antibacterial efficacy and barrier capabilities. For instance, coatings reinforced with Chi-GO exhibit up to two orders of magnitude lower corrosion current density than pristine epoxy coatings, and achieve over 95% bacterial inhibition against Escherichia coli and Staphylococcus aureus at a 1 wt.% loading. The review summarizes key synthesis methods, functional modification techniques, and commonly adopted evaluation approaches. Emerging research further underscores environmental performance metrics, including reduced volatile organic compound (VOC) emissions and improved life-cycle assessments. By integrating bio-based polymer matrices with Chi-GO, these composite systems present a promising pathway toward environmentally benign and durable protective coatings. Nevertheless, critical challenges concerning scalability and long-term stability under real-world operating conditions remain insufficiently addressed. Future research should emphasize scalable manufacturing strategies, such as roll-to-roll processing, and conduct extended tropical exposure testing (e.g., salt spray tests beyond 2000 h). Additionally, developing comprehensive life-cycle assessment (LCA) frameworks will be crucial for sustainable industrial implementation.
Full article
(This article belongs to the Special Issue Polymers for Protective Coatings)
►▼
Show Figures

Figure 1
Open AccessArticle
Polyethylene and Polypropylene Pyrolysis Using Fe3+-Modified Kaolin Catalyst for Enhanced Gas and Pyrolysis Oil Production
by
Sergey Nechipurenko, Binara Dossumova, Sergey Efremov, Nazar Zabara, Aigerim Kaiaidarova, Olga Ibragimova, Anara Omarova, Fedor Pogorov and Diyar Tokmurzin
Polymers 2025, 17(21), 2963; https://doi.org/10.3390/polym17212963 - 6 Nov 2025
Abstract
Calcined and acid-leached kaolin impregnated with Fe(NO3)3·9H2O (6.6 wt. % Fe2O3) was developed as an inexpensive bifunctional catalyst for the slow fixed-bed pyrolysis of polypropylene (PP) and low-density polyethylene (LDPE). Experiments were run
[...] Read more.
Calcined and acid-leached kaolin impregnated with Fe(NO3)3·9H2O (6.6 wt. % Fe2O3) was developed as an inexpensive bifunctional catalyst for the slow fixed-bed pyrolysis of polypropylene (PP) and low-density polyethylene (LDPE). Experiments were run with catalyst-to-plastic mass ratios of 1:4, 1:2, and 1:1 in a quartz tube reactor heated from 25 to 800 °C. For PP, increasing the Fe/kaolin loading progressively raised non-condensable gas from 26 wt. % to 44 wt. % and drove liquid aromatics from 27.9% to 72.3%, while combined paraffins olefins fell to 2.5% and wax exhibited a 46 → 24 → 36 wt. % trend. In contrast, LDPE at a 1:4 ratio already yielded 56 wt. % oil and only 22 wt. % wax; further catalyst addition mainly enhanced CH4/CO-rich pyrolysis gas (PyGas) and char without substantially boosting aromatics. Gas analysis confirmed that Fe2O3 reduction and kaolin de-hydroxylation generated in situ H2O, CO, and H2. Given the catalyst’s low cost, regenerability, and ability to valorize the two most abundant waste polyolefins within the same reactor, the process offers a scalable route to flexible fuel and gas production from mixed plastic streams.
Full article
(This article belongs to the Section Circular and Green Sustainable Polymer Science)
►▼
Show Figures

Figure 1
Open AccessArticle
Tailoring PBT Performance Through PBT/POE-g-GMA Nanocomposites with MWCNT
by
Eduardo da Silva Barbosa Ferreira, Elieber Barros Bezerra, Carlos Bruno Barreto Luna, Edson Antonio dos Santos Filho, Renate Maria Ramos Wellen and Edcleide Maria Araújo
Polymers 2025, 17(21), 2962; https://doi.org/10.3390/polym17212962 - 6 Nov 2025
Abstract
The production of polymer nanocomposites from supertough blends reinforced with carbon-based nanofillers has garnered attention in recent years due to improvements in their mechanical, thermal, and electrical properties. Currently, the main challenge is to develop materials with balanced performance for diverse industrial demands.
[...] Read more.
The production of polymer nanocomposites from supertough blends reinforced with carbon-based nanofillers has garnered attention in recent years due to improvements in their mechanical, thermal, and electrical properties. Currently, the main challenge is to develop materials with balanced performance for diverse industrial demands. In this context, this work aimed to produce nanocomposites of poly(butylene terephthalate) (PBT) and poly(ethylene-octene) grafted with glycidyl methacrylate (POE-g-GMA), reinforced with carbon nanotubes (MWCNTs). The PBT, the PBT/POE-g-GMA blend, and the respective MWCNT nanocomposites were initially premixed in an internal mixer and then processed in a co-rotational twin-screw extruder. After processing, they were injection-molded to obtain tensile, impact, and HDT test specimens. Mechanical (tensile, impact, and Shore D hardness), thermal (differential scanning calorimetry—DSC), thermomechanical (heat deflection temperature—HDT), electrical resistivity/conductivity, morphology, and Fourier transform infrared spectroscopy (FTIR) properties were evaluated. The results demonstrated a good balance among the investigated properties, with improvements in mechanical, thermal, and thermomechanical properties when compared to PBT. The impact strength of the nanocomposites reached 186 J/m, approximately 158% higher than that of neat PBT. The HDT reached approximately 55 °C in the PBT/POE-g-GMA/MWCNT5 nanocomposites, while the crystallization temperature increased by 11 °C, as evidenced by DSC, an aspect of great relevance for industrial applications. Furthermore, the PBT/POE-g-GMA/MWCNT5 nanocomposites exhibited an electrical conductivity of 1.06 × 10−7 S/cm, indicating potential for electrical applications.
Full article
(This article belongs to the Special Issue Mechanical and Dynamic Characteristics of Polymers and Polymer Composites)
►▼
Show Figures

Figure 1
Open AccessArticle
Predicting Packaging Material–Food Interactions and the Respective Migration and Permeation Based on Hansen Solubility Parameters—A Case Study of Bio-Based Polyester Cutin
by
Costas Tsioptsias, Athanasios Goulas, Maria Tsini, Athanasia Zoglopiti, Anna Marinopoulou and Vassilis Karageorgiou
Polymers 2025, 17(21), 2961; https://doi.org/10.3390/polym17212961 - 6 Nov 2025
Abstract
One of the current and serious environmental problems is the pollution due to microplastics. There is an urgent need for biodegradable and bio-based materials for numerous applications, including food packaging. In this work we examine the bio-based polyester cutin for its potential to
[...] Read more.
One of the current and serious environmental problems is the pollution due to microplastics. There is an urgent need for biodegradable and bio-based materials for numerous applications, including food packaging. In this work we examine the bio-based polyester cutin for its potential to be used as food packaging material, in terms of migration, based on the Hansen Solubility Parameters (HSP). Cutin is a cross-linked polymer that is swelled by various solvents. We use the degree of swelling of cutin in carefully selected solvents of various polarities in order to estimate the HSP of cutin. Some solvents can induce alteration of the chemical structure of cutin, as proven by Fourier Transform Infrared (FTIR) measurements. This interferes with the process of estimation of the HSP and is discussed in depth. The distance Ra and the Relative Energy Difference (RED) between the HSP of cutin and various food components are calculated and used to predict the existence of favorable interactions between cutin and the food components, which is translated to a high probability for the existence of migration and permeation. Experimental confirmation of one prediction based on HSP is provided by UV-VIS photometry. Similar calculations were performed for other polyesters (poly(lactic acid) and poly(hydroxy butyrate)). Cutin exhibits compatibility with substances of low polarity, such as fats and lipids and non-polar compounds found in essential oils. Thus, migration into fatty foods is expected as well as sorption and permeation of some (volatile) compounds into cutin. Nevertheless, we conclude that the overall migration risk for cutin is lower than the one of other bio-based polyesters. HSP can be used for initial screening of potential migration risks; however, further research is necessary in order to assess the occurrence, extent, and significance of the actual migration.
Full article
(This article belongs to the Section Biobased and Biodegradable Polymers)
►▼
Show Figures

Figure 1
Journal Menu
► ▼ Journal Menu-
- Polymers Home
- Aims & Scope
- Editorial Board
- Reviewer Board
- Topical Advisory Panel
- Instructions for Authors
- Special Issues
- Topics
- Sections & Collections
- Article Processing Charge
- Indexing & Archiving
- Editor’s Choice Articles
- Most Cited & Viewed
- Journal Statistics
- Journal History
- Journal Awards
- Society Collaborations
- Conferences
- Editorial Office
Journal Browser
► ▼ Journal BrowserHighly Accessed Articles
Latest Books
E-Mail Alert
News
Topics
Topic in
Chemistry, Membranes, Molecules, Processes, Separations, Polymers
Membranes for Contaminant Separation in Fluids
Topic Editors: Jing Wang, Guoliang YangDeadline: 30 November 2025
Topic in
Applied Sciences, J. Compos. Sci., Materials, Nanomaterials, Polymers
Multifunctional Porous Materials: Preparation, Structure, Modeling and Applications
Topic Editors: Huawei Zou, Shengtai ZhouDeadline: 20 December 2025
Topic in
Biomass, Energies, Materials, Molecules, Nanomaterials, Polymers
Biomass for Energy, Chemicals and Materials
Topic Editors: Shaohua Jiang, Changlei Xia, Shifeng Zhang, Xiaoshuai HanDeadline: 31 December 2025
Topic in
Applied Nano, Macromol, Nanomaterials, Polymers, Gels
Future Trends in Polymer Science: Materials, Design, and Advanced Applications
Topic Editors: Emi Haladjova, Olya StoilovaDeadline: 31 January 2026
Conferences
Special Issues
Special Issue in
Polymers
Advanced Processing Strategy for Functional Polymer Materials: 2nd Edition
Guest Editor: Yinghong ChenDeadline: 10 November 2025
Special Issue in
Polymers
Development in Fiber-Reinforced Polymer Composites: 2nd Edition
Guest Editors: Juan Carlos Merino, Mercedes Santiago-Calvo, María Asensio-Valentin, Karina NuñezDeadline: 10 November 2025
Special Issue in
Polymers
Advances in Lignocellulose Research and Applications
Guest Editors: Shufang Wu, Guolin Tong, Qiulu ChuDeadline: 10 November 2025
Special Issue in
Polymers
New Progress in the Polymer-Based Biomaterials
Guest Editor: Olga KammonaDeadline: 15 November 2025
Topical Collections
Topical Collection in
Polymers
Feature Papers in Polymer Processing and Engineering
Collection Editor: Swee Leong Sing
Topical Collection in
Polymers
Advances in Microplastics
Collection Editor: Maria da Conceição Paiva
Topical Collection in
Polymers
Advances in Environmentally Friendly and Sustainable Polymers
Collection Editor: Marco Morreale
Topical Collection in
Polymers
Progress in Polymer Processing and Engineering
Collection Editor: Francesco Paolo La Mantia




