Biorenewable FDCA-Based Alkyd Resins for More Sustainable Wood Coatings
Abstract
1. Introduction
2. Materials and Methods
3. Results and Discussion
3.1. Structural Characterization of FDCA-Based ARs
- SFO-G: 1H NMR (300 MHz): 0.9 (s, 3H, CH3) (-CH3), 1.30 (d, J = 17.5 Hz, 10H, 5CH2) (-CH2-), 1.63 (s, 2H, CH2) (-CH2-CH2-CO-), 2.04 (d, J = 7.2 Hz, 3H, CH, CH2) (>CH-O-CO- and -CH2-CH=CH-), 2.35 (s, 2H, CH2) (-CH2-CO-), 2.79 (s, 2H, CH2) (-CH=CH-CH2-CH=CH-), 4.27 (d, J = 31.5 Hz, 2H, CH2) (-CH2-O-CO-), 4.54 (d, J = 58.3 Hz, 2H, CH2) (-CH2-O-CO-R), 5.37 (s, H, CH) (-HC=CH-), 6.54 (s, H, CH) (-CO-CH=CH-CO-), 7.61 (s, H, CH) (Ar-CH=C<CO-)
- LSO-G: 1H NMR (300 MHz) 0.99 (s, 3H, CH3) (-CH3), 1.30 (d, J = 14.4 Hz, 10H, 5CH2) (-CH2-), 1.63 (s, 2H, CH2) (-CH2-CH2-CO-), 2.06 (d, J = 6.3 Hz, 3H, CH, CH2) (>CH-O-CO- and -CH2-CH=CH-), 2.34 (s, 2H, CH2) (-CH2-CO-), 2.82 (s, 2H, CH2) (-CH=CH-CH2-CH=CH-), 4.21 (d, J = 23.7 Hz, 2H, CH2) (-CH2-O-CO-), 4.54 (d, J = 60.5 Hz, 2H, CH2) (-CH2-O-CO-R), 5.37 (s, H, CH) (-HC=CH-), 6.54 (s, H, CH) (-CO-CH=CH-CO-), 7.62 (s, H, CH) (Ar-CH=C<CO-)
- SFO-P: 1H NMR (300 MHz) 0.9 (s, 3H, CH3) (-CH3), 1.30 (d, J = 9.0 Hz, 16H, 8CH2) (-CH2-), 1.61 (s, 4H, 2CH2) (-CH2-CH2-CO-), 2.06 (d, J = 10.2 Hz, 6H, 2CH, 2CH2) (>CH-O-CO- and -CH2-CH=CH-), 2.32 (s, 2H, CH2) (-CH2-CO-), 2.79 (s, 2H, CH2) (-CH=CH-CH2-CH=CH-), 4.16 (d, J = 21.5 Hz, 2H, CH2) (-CH2-O-CO-), 4.43 (d, J = 23.6 Hz, 2H, CH2) (-CH2-O-CO-R), 5.36 (s, H, CH) (-HC=CH-), 6.53 (s, H, CH) (-CO-CH=CH-CO-), 7.56 (s, H, CH) (Ar-CH=C<CO-)
- LSO-P: 1H NMR (300 MHz) 0.9 (s, 3H, CH3) (-CH3), 1.30 (d, J = 11.8 Hz, 16H, 8CH2) (-CH2-), 1.62 (s, 2H, CH2) (-CH2-CH2-CO-), 2.06 (d, J = 12.5 Hz, 3H, CH, CH2) (>CH-O-CO- and -CH2-CH=CH-), 2.32 (s, 2H, CH2) (-CH2-CO-), 2.79 (s, 2H, CH2) (-CH=CH-CH2-CH=CH-), 4.17 (d, J = 21.0 Hz, 4H, 2CH2) (-CH2-O-CO-), 4.44 (d, J = 24.6 Hz, 2H, CH2) (-CH2-O-CO-R), 5.36 (s, 2H, 2CH) (-HC=CH-), 6.55 (s, H, CH) (-CO-CH=CH-CO-), 7.56 (s, H, CH) (Ar-CH=C<CO-)
3.2. Physico-Chemical Properties of FDCA-Based ARs
3.3. Coating Properties of the FDCA-Based ARs
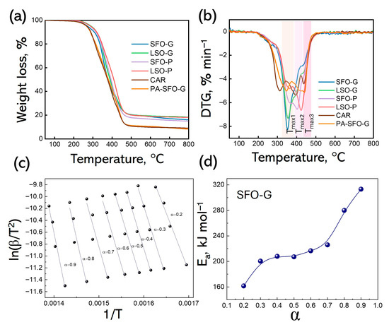
3.4. Thermal Stability of the FDCA-Based Alkyd Coatings
| Alkyd Resin | T10, °C | T30, °C | T50, °C | Tmax1, °C | Tmax2, °C | Tmax3, °C | Residue at 550, % | Reference |
|---|---|---|---|---|---|---|---|---|
| PA-SFO-G | 285 | 338 | 380 | 345 | 414 | 439 | 8.4 | This work |
| Commercial alkyd resin YF-155 | 207 | 311 | 369 | 7.49 | [60] | |||
| Alkyd resin based on recycled PET and hyperbranched polyesters | 243 | - | 388 | - | - | - | 11.4 | [61] |
| Akd-S coatings | 250 | 310 | 350 | 210 | 345 | 370 | 8.1 | [62] |
| Soya alkyd resin | 215 | 305 | 336 | 200 | 340 | 450 | 12.0 | [56] |
| SFO-G | 310 | 350 | 380 | 353 | 391 | 435 | 19.9 | This work |
| LSO-G | 320 | 357 | 394 | 354 | 392 | 434 | 19.8 | |
| SFO-P | 320 | 357 | 397 | 365 | 402 | 435 | 17.1 | |
| LSO-P | 320 | 370 | 413 | 363 | 423 | - | 19.3 | |
| CAR | 288 | 329 | 376 | 310 | 394 | 437 | 9.7 |
3.5. UV Stability of FDCA-Based Alkyd Coatings
3.6. Application of the FDCA-Based ARs for Wood Coating
4. Conclusions
Supplementary Materials
Author Contributions
Funding
Data Availability Statement
Acknowledgments
Conflicts of Interest
Abbreviations
| ARs | Alkyd resins |
| CAR | Commercial alkyd resin |
| FDCA | 2,5-Furandicarboxylic acid |
| FTIR | Fourier Transform Infrared |
| NMR | Nuclear Magnetic Resonance |
| UV | Ultraviolet |
| AV | Acid value |
| HV | Hydroxyl value |
| EIS | Electrochemical impedance spectroscopy |
| OCP | Open circuit potential |
| KAS | Kissinger–Akahira–Sunose |
| TGA | Thermogravimetric Analysis |
| TG | Thermogravimetry |
| DTG | Derivative Thermogravimetry |
References
- Hasnat, A.; Moheman, A.; Usmani, M.A. Chapter 7—Alkyd resins: Versatile bio-based coating materials. In Vegetable Oil-Based Polymers and their Surface Applications; Sharmin, E., Zafar, F., Eds.; Elsevier: Amsterdam, The Netherlands, 2024; pp. 93–107. [Google Scholar]
- Hofland, A. Alkyd resins: From down and out to alive and kicking. Prog. Org. Coat. 2012, 73, 274–282. [Google Scholar] [CrossRef]
- Dizman, C.; Cerrahoğlu Kaçakgil, E. Alkyd resins produced from bio-based resources for more sustainable and environmentally friendly coating applications. Turk. J. Chem. 2023, 47, 1–23. [Google Scholar] [CrossRef]
- Jiao, C.; He, W.; Sun, S.; Du, W.; Zhao, B. A Phosphate-Modified Aqueous Acrylic–Alkyd Resin for Protective Technology to Prevent Corrosion of Iron Substrates. Polymers 2025, 17, 847. [Google Scholar] [CrossRef]
- Gao, X.; Zhu, J.; Zhu, Y.; Xie, C.; Wu, X.; Pang, X.; Wang, W. A Novel Alkyd-Based Composite Modification System for Achieving High-Performance Acrylic Coatings on Bamboo. Polymers 2025, 17, 1051. [Google Scholar] [CrossRef]
- Obregón, D.; Toledo, C.; Hadzich, A.; Flores, S. Low viscosity alkyd resins based on trimethylolpropane and Peruvian oil. J. Polym. Res. 2021, 28, 203. [Google Scholar] [CrossRef]
- Nosal, H.; Nowicki, J.; Warzała, M.; Nowakowska-Bogdan, E.; Zarębska, M. Synthesis and characterization of alkyd resins based on Camelina sativa oil and polyglycerol. Prog. Org. Coat. 2015, 86, 59–70. [Google Scholar] [CrossRef]
- Ma, H.; Zhang, Z.; Wang, Y.; Wang, J.; Chen, H.; Jiang, S.; Han, X. Technology of lignin modification: Progress in specialty and green adhesives’ mechanical properties. Green Chem. 2025, 27, 13577–13606. [Google Scholar] [CrossRef]
- Haas, V.; Wenger, J.; Ranacher, L.; Guigo, N.; Sousa, A.F.; Stern, T. Developing future visions for bio-plastics substituting PET—A backcasting approach. Sustain. Prod. Consum. 2022, 31, 370–383. [Google Scholar] [CrossRef]
- Petrenko, D.; Klushin, V.; Zelenskaya, A.; Yatsenko, A.; Sotnikov, A.; Ulyankina, A.; Smirnova, N. Natural fiber reinforced biomass-derived poly(ester-urethane–acrylate) composites for sustainable engineering applications. J. Polym. Res. 2022, 29, 503. [Google Scholar] [CrossRef]
- Petrenko, D.; Klushin, V.; Petrenko, A.; Yatsenko, A.; Smirnova, N.; Ulyankina, A. Sustainable polyurethanes from biomass-derived furanic polyols for adhesive applications. Iran. Polym. J. 2025, 34, 1829–1839. [Google Scholar] [CrossRef]
- Kamran, M.; Davidson, M.G.; de Vos, S.; Tsanaktsis, V.; Yeniad, B. Synthesis and characterisation of polyamides based on 2,5-furandicarboxylic acid as a sustainable building block for engineering plastics. Polym. Chem. 2022, 13, 3433–3443. [Google Scholar] [CrossRef]
- Wei, S.; Liu, L.; Duan, Y.; Chen, X.; Tian, B.; Yuan, P.; Lv, S.; Zhang, Y. Advances in the research of 2,5-furandicarboxylic acid (FDCA)-based polymers. Eur. Polym. J. 2025, 241, 114364. [Google Scholar] [CrossRef]
- Janesch, J.; Bacher, M.; Padhi, S.; Rosenau, T.; Gindl-Altmutter, W.; Hansmann, C. Biobased Alkyd Resins from Plant Oil and Furan-2,5-dicarboxylic Acid. ACS Sustain. Chem. Eng. 2023, 11, 17625–17632. [Google Scholar] [CrossRef]
- Chernysheva, D.V.; Klushin, V.A.; Zubenko, A.F.; Pudova, L.S.; Kravchenko, O.A.; Chernyshev, V.M.; Smirnova, N.V. Base-free aerobic oxidation of 5-hydroxymethylfurfural to 2,5-furandicarboxylic acid over Pt/C catalysts synthesized by pulse alternating current technique. Mendeleev Commun. 2018, 28, 431–433. [Google Scholar] [CrossRef]
- Xu, X.; Chen, L.; Guo, J.; Cao, X.; Wang, S. Synthesis and characteristics of tung oil-based acrylated-alkyd resin modified by isobornyl acrylate. RSC Adv. 2017, 7, 30439–30445. [Google Scholar] [CrossRef]
- Spasojević, P.M.; Panić, V.V.; Džunuzović, J.V.; Marinković, A.D.; Woortman, A.J.J.; Loos, K.; Popović, I.G. High performance alkyd resins synthesized from postconsumer PET bottles. RSC Adv. 2015, 5, 62273–62283. [Google Scholar] [CrossRef]
- ISO 3251:2019; Paints, Varnishes and Plastics: Determination of Non-Volatile-Matter Content. International Organization for Standardization: Geneva, Switzerland, 2019.
- ISO 660:2020; Animal and Vegetable Fats and Oils—Determination of Acid Value and Acidity. International Organization for Standardization: Geneva, Switzerland, 2020; pp. 1–12.
- ISO 4327:1979; Non-Ionic Surface Active Agents—Polyalkoxylated Derivatives—Determination of Hydroxyl Value—Phthalic Anhydride Method. International Organization for Standardization: Geneva, Switzerland, 2024.
- ISO 2811-1:2023; Paints and Varnishes—Determination of Density. Part 1: Pycnometer Method. International Organization for Standardization: Geneva, Switzerland, 2023.
- ASTM D445-24; Standard Test Method for Kinematic Viscosity of Transparent and Opaque Liquids (and Calculation of Dynamic Viscosity). ASTM: West Conshohocken, PA, USA, 2024.
- ISO 9117-4:2012; Paints and Varnishes—Drying Tests. Part 4: Test Using A Mechanical Recorder. International Organization for Standardization: Geneva, Switzerland, 2012.
- Rudawska, A.; Miturska-Barańska, I.; Doluk, E. Influence of Surface Treatment on Steel Adhesive Joints Strength—Varnish Coats. Materials 2021, 14, 6938. [Google Scholar] [CrossRef]
- ISO 15184:2020; Paints and Varnishes—Determination of Film Hardness by Pencil Test. International Organization for Standardization: Geneva, Switzerland, 2020.
- Barbu, A.; Feier, A.I.; Petzek, E.; Gheorghe, M. Investigation of a Composite Material Painting Method: Assessment of the Mixture Curing of Organic Coatings. Processes 2025, 13, 2394. [Google Scholar] [CrossRef]
- Aynali, F.; Sakar, G.; Kocyigit, E.S.; Kades, A. Synthesis of acrylic-modified water-reducible alkyd resin: Improvement of corrosion resistance in painting formulations. J. Coat. Technol. Res. 2023, 20, 2007–2017. [Google Scholar] [CrossRef]
- ISO 2812-4:2017; Paints and varnishes—Determination of resistance to liquids. Part 4: Spotting methods (method A). International Organization for Standardization: Geneva, Switzerland, 2017.
- ISO 16474-3:2021; Paints and varnishes—Methods of exposure to laboratory light sources—Part 3: Fluorescence UV lamps (method B, simulation of sunlight filtered through window glass). International Organization for Standardization: Geneva, Switzerland, 2021.
- Sokołowska, M.; Nowak-Grzebyta, J.; Stachowska, E.; Miądlicki, P.; Zdanowicz, M.; Michalkiewicz, B.; El Fray, M. Enzymatically catalyzed furan-based copolyesters containing dilinoleic diol as a building block. RSC Adv. 2023, 13, 22234–22249. [Google Scholar] [CrossRef]
- Nehchiri, N.; Amiri, S.; Radi, M. Improving the water barrier properties of alginate packaging films by submicron coating with drying linseed oil. Packag. Technol. Sci. 2021, 34, 283–295. [Google Scholar] [CrossRef]
- Poluektova, V.A.; Cherkashina, N.I.; Kozhanova, E.P.; Matveenko, D.S. Analysis of Intermediates Produced During the Synthesis of Alkyd Resins. In Innovations and Technologies in Construction; Springer: Cham, Switzerland, 2023; pp. 134–140. [Google Scholar]
- Křižan, M.; Vinklárek, J.; Erben, M.; Císařová, I.; Honzíček, J. Autoxidation of alkyd resins catalyzed by iron(II) bispidine complex: Drying performance and in-depth infrared study. Prog. Org. Coat. 2017, 111, 361–370. [Google Scholar] [CrossRef]
- Spyros, A. Characterization of unsaturated polyester and alkyd resins using one- and two-dimensional NMR spectroscopy. J. Appl. Polym. Sci. 2003, 88, 1881–1888. [Google Scholar] [CrossRef]
- Sandler, S.R.; Karo, W. (Eds.) Chapter 5—Alkyd Resins. In Polymer Syntheses, 2nd ed.; Academic Press: San Diego, CA, USA, 1994; pp. 157–190. [Google Scholar]
- Hadzich, A.; Gross, G.A.; Leimbach, M.; Ispas, A.; Bund, A.; Flores, S. Characterization of Plukenetia volubilis L. fatty acid-based alkyd resins. Polym. Test. 2020, 82, 106296. [Google Scholar] [CrossRef]
- de Carvalho, R.K.C.; dos Santos Ortega, F.; de Araújo Morandim-Giannetti, A. Alkyd resin synthesis by enzymatic alcoholysis. Iran. Polym. J. 2019, 28, 747–757. [Google Scholar] [CrossRef]
- Stoye, D.; Freitag, W. Types of Paints and Coatings (Binders). In Paints, Coatings and Solvents; Wiley: Hoboken, NJ, USA, 1998; pp. 11–100. [Google Scholar]
- van Gorkum, R.; Bouwman, E. The oxidative drying of alkyd paint catalysed by metal complexes. Coord. Chem. Rev. 2005, 249, 1709–1728. [Google Scholar] [CrossRef]
- Erich, S.J.F.; Gezici-Koç, Ö.; Michel, M.-E.B.; Thomas, C.A.A.M.; van der Ven, L.G.J.; Huinink, H.P.; Flapper, J.; Duivenvoorde, F.L.; Adan, O.C.G. The influence of calcium and zirconium based secondary driers on drying solvent borne alkyd coatings. Polymer 2017, 121, 262–273. [Google Scholar] [CrossRef]
- Hage, R.; De Boer, J.W.; Maaijen, K. Manganese and Iron Catalysts in Alkyd Paints and Coatings. Inorganics 2016, 4, 11. [Google Scholar] [CrossRef]
- Güner, F.S.; Gümüsel, A.; Calica, S.; Erciyes, A.T. Study of film properties of some urethane oils. J. Coat. Technol. 2002, 74, 55–59. [Google Scholar] [CrossRef]
- Otabor, G.O.; Ifijen, I.H.; Mohammed, F.U.; Aigbodion, A.I.; Ikhuoria, E.U. Alkyd resin from rubber seed oil/linseed oil blend: A comparative study of the physiochemical properties. Heliyon 2019, 5, e01621. [Google Scholar] [CrossRef]
- Das, P.; Sharma, N.; Puzari, A.; Kakati, D.K.; Devi, N. Synthesis and characterization of neem (Azadirachta indica) seed oil-based alkyd resins for efficient anticorrosive coating application. Polym. Bull. 2021, 78, 457–479. [Google Scholar] [CrossRef]
- Lin, Z.; Zeng, Q.; Zhang, Y.; Ding, Y.; Chen, S.; Qiao, Y.; Shen, L. Preparation and coating properties of alkyd polyol-based autoxidizable waterborne polyurethane dispersions with high fatty acid content, long storage stability, and low viscosity. J. Coat. Technol. Res. 2024, 21, 1713–1727. [Google Scholar] [CrossRef]
- Chiplunkar, P.P.; Pratap, A.P. Utilization of sunflower acid oil for synthesis of alkyd resin. Prog. Org. Coat. 2016, 93, 61–67. [Google Scholar] [CrossRef]
- Drelich, J.; Chibowski, E.; Meng, D.D.; Terpilowski, K. Hydrophilic and superhydrophilic surfaces and materials. Soft Matter 2011, 7, 9804–9828. [Google Scholar] [CrossRef]
- Pirvu, C.; Demetrescu, I.; Drob, P.; Vasilescu, E.; Vasilescu, C.; Mindroiu, M.; Stancu, R. Electrochemical stability and surface analysis of a new alkyd paint with low content of volatile organic compounds. Prog. Org. Coat. 2010, 68, 274–282. [Google Scholar] [CrossRef]
- Zhao, B.; Jiao, C.; He, W.; Ma, Y.; Sun, S.; Du, W.; Cheng, Y. Optimization of the branched structure to enhance the corrosion protection of waterborne acrylic-alkyd resins on iron-based materials. Prog. Org. Coat. 2024, 194, 108568. [Google Scholar] [CrossRef]
- Wang, X.; Leng, W.; Nayanathara, R.M.O.; Caldona, E.B.; Liu, L.; Chen, L.; Advincula, R.C.; Zhang, Z.; Zhang, X. Anticorrosive epoxy coatings from direct epoxidation of bioethanol fractionated lignin. Int. J. Biol. Macromol. 2022, 221, 268–277. [Google Scholar] [CrossRef]
- de Paula, A.S.; Aroeira, B.M.; Souza, L.H.d.O.; da Cruz, A.C.; Fedel, M.; da Silva, B.P.; Cotting, F. Influence of Organic Coating Thickness on Electrochemical Impedance Spectroscopy Response. Coatings 2024, 14, 285. [Google Scholar] [CrossRef]
- Bastos, A.C. Remarks on the formulation of water-borne primers and their performance assessed by EIS. Prog. Org. Coat. 2025, 200, 109095. [Google Scholar] [CrossRef]
- Dutta, N.; Karak, N.; Dolui, S.K. Alkyd–epoxy blends as multipurpose coatings. J. Appl. Polym. Sci. 2006, 100, 516–521. [Google Scholar] [CrossRef]
- Ataei, S.; Yahya, R.; Gan, S.N.; Hassan, A. Study of Thermal Decomposition Kinetics of Palm Oleic Acid-Based Alkyds and Effect of Oil Length on Thermal Stability. J. Polym. Environ. 2012, 20, 507–513. [Google Scholar] [CrossRef]
- Cadena, F.; Irusta, L.; Fernandez-Berridi, M.J. Performance evaluation of alkyd coatings for corrosion protection in urban and industrial environments. Prog. Org. Coat. 2013, 76, 1273–1278. [Google Scholar] [CrossRef]
- Fei, X.; Wang, J.; Zhang, X.; Jia, Z.; Jiang, Y.; Liu, X. Recent Progress on Bio-Based Polyesters Derived from 2,5-Furandicarbonxylic Acid (FDCA). Polymers 2022, 14, 625. [Google Scholar] [CrossRef]
- Marais, C.; Bunt, J.R.; Leokaoke, N.T.; Uwaoma, R.C.; Neomagus, H.W.J.P. Mechanical and Thermal Properties of Extrudates Produced from Discarded Coal Fines and Recycled Plastics as Binders. Energy Fuels 2023, 37, 5905–5916. [Google Scholar] [CrossRef]
- He, Y.; Che, Z.; Xu, S.; Long, H.; Zheng, J.; Xu, X. Enhancing the performance and revealing the thermal behavior of the water-based coating derived from waterborne alkyd resins and totally methyl etherified amino resins. Prog. Org. Coat. 2025, 199, 108943. [Google Scholar] [CrossRef]
- Ma, Y.; Lei, R.; Yang, X.; Yang, F. Eco-friendly Waterborne Alkyd Resin from Polyethylene Terephthalate Waste. J. Polym. Environ. 2020, 28, 1083–1094. [Google Scholar] [CrossRef]
- Ikladious, N.E.; Asaad, J.N.; Emira, H.S.; Mansour, S.H. Alkyd resins based on hyperbranched polyesters and PET waste for coating applications. Prog. Org. Coat. 2017, 102, 217–224. [Google Scholar] [CrossRef]
- Ang, D.T.-C. Effect of reactive diluent on physicochemical and thermal properties of UV-curable alkyd coatings. J. Coat. Technol. Res. 2015. [Google Scholar] [CrossRef]
- Lukachevskaya, I.G.; Vasilyeva, E.D.; Ivanov, A.N.; Kychkin, A.A. Design of a UV Chamber for Studying the Destruction of Polymer Composite Materials (Review). Theor. Found. Chem. Eng. 2024, 58, 670–676. [Google Scholar] [CrossRef]
- Ainali, N.M.; Bikiaris, D.N.; Lambropoulou, D.A. Physicochemical alterations on UV aged polymers leading to microplastics formation: A multi-tiered study of polyester, polycarbonate and polyamide. Polym. Degrad. Stab. 2024, 222, 110692. [Google Scholar] [CrossRef]
- Ploeger, R.; Musso, S.; Chiantore, O. Contact angle measurements to determine the rate of surface oxidation of artists’ alkyd paints during accelerated photo-ageing. Prog. Org. Coat. 2009, 65, 77–83. [Google Scholar] [CrossRef]
- Mihăilă, A.; Ipate, A.-M.; Zaltariov, M.-F.; Rusu, D.; Balan-Porcarasu, M.; Stoica, I.; Lisa, G. Evaluation of natural ageing of alkyd paints used for wood protection. Polym. Degrad. Stab. 2024, 229, 110947. [Google Scholar] [CrossRef]
- Ploeger, R.; Scalarone, D.; Chiantore, O. Thermal analytical study of the oxidative stability of artists’ alkyd paints. Polym. Degrad. Stab. 2009, 94, 2036–2041. [Google Scholar] [CrossRef]
- Rabek, J.F. (Ed.) Degradation of polymers initiated by radicals formed from photolysis of different compounds. In Polymer Photodegradation: Mechanisms and Experimental Methods; Springer: Dordrecht, The Netherlands, 1995; pp. 377–398. [Google Scholar]








| Ingredients, Parts by Weight | Formulations | ||||
|---|---|---|---|---|---|
| SFO-G | LSO-G | SFO-P | LSO-P | PA-Based SFO-G | |
| Sunflower seed oil | 70.0 | - | 70.0 | - | 70.0 |
| Linseed oil | - | 70.0 | - | 70.0 | - |
| Glycerol | 8.8 | 8.8 | - | - | 8.8 |
| Pentaerythritol | - | - | 9.76 | 9.76 | - |
| FDCA | 19.9 | - | |||
| Phthalic anhydride | - | - | - | - | 18.9 |
| Maleic anhydride | 1.0 | ||||
| Na2CO3 | 2.8 | ||||
| Zinc acetate | 0.1 | ||||
| Calcium drier | 1.3 | ||||
| Cobalt drier | 1.3 | ||||
| Properties | Sample | ||||
|---|---|---|---|---|---|
| SFO-G | LSO-G | SFO-P | LSO-P | PA-Based SFO-G | |
| AV, mg KOH g−1 | 13.9 ± 0.7 | 14.3 ± 0.6 | 13.1 ± 0.5 | 12.9 ± 0.6 | 11.8 ± 0.5 |
| HV, mg KOH g−1 | 29.3 ± 1.5 | 38.8 ± 1.7 | 59.7 ± 2.4 | 69.5 ± 2.8 | 31.4 ± 1.7 |
| Density (at 23.0 ± 0.5 °C), g cm−3 | 0.746 ± 0.03 | 0.855 ± 0.04 | 0.758 ± 0.03 | 0.887 ± 0.05 | 0.751 ± 0.02 |
| Viscosity, mm2 s−1 | 570.4 ± 20.5 | 51.0 ± 3.0 | 684.6 ± 15.3 | 124.2 ± 6.0 | 493.7 ± 15.7 |
| Color (Gardner scale) | 18 | 13 | 16 | 14 | 16 |
| Properties | Sample | ||||
|---|---|---|---|---|---|
| SFO-G | LSO-G | SFO-P | LSO-P | PA-Based SFO-G | |
| Tack-free time, h | 5 | 4 | 4 | 3 | 6 |
| Lap shear strength, N mm−2 | 91.9 ± 1.5 | 103.6 ± 1.7 | 99.6 ± 1.6 | 110.3 ± 1.9 | 89.8 ± 2.1 |
| Pencil hardness | 2H | 2H | 3H | 3H | 2H |
| Adhesion | 0 | 0 | 0 | 0 | 0 |
| Contact angle, ° | 51.4 ± 1.4 | 58.9 ± 1.3 | 54.8 ± 1.2 | 63.9 ± 1.4 | 52.7 ± 1.5 |
| Resin | n-Hexane | n-Heptane | Isopropanol | Acetone | Toluene | Benzene |
|---|---|---|---|---|---|---|
| SFO-G | 1 | 1 | 1 | 2 | 2 | 2 |
| LSO-G | 1 | 1 | 1 | 2 | 2 | 2 |
| SFO-P | 1 | 1 | 1 | 2 | 2 | 2 |
| LSO-P | 1 | 1 | 1 | 2 | 2 | 2 |
Disclaimer/Publisher’s Note: The statements, opinions and data contained in all publications are solely those of the individual author(s) and contributor(s) and not of MDPI and/or the editor(s). MDPI and/or the editor(s) disclaim responsibility for any injury to people or property resulting from any ideas, methods, instructions or products referred to in the content. |
© 2025 by the authors. Licensee MDPI, Basel, Switzerland. This article is an open access article distributed under the terms and conditions of the Creative Commons Attribution (CC BY) license (https://creativecommons.org/licenses/by/4.0/).
Share and Cite
Klushin, V.; Zubkov, I.; Petrenko, D.; Petrenko, A.; Yurieva, T.; Belichenko, T.; Yatsenko, A.; Kataria, Y.; Ulyankina, A. Biorenewable FDCA-Based Alkyd Resins for More Sustainable Wood Coatings. Polymers 2025, 17, 3022. https://doi.org/10.3390/polym17223022
Klushin V, Zubkov I, Petrenko D, Petrenko A, Yurieva T, Belichenko T, Yatsenko A, Kataria Y, Ulyankina A. Biorenewable FDCA-Based Alkyd Resins for More Sustainable Wood Coatings. Polymers. 2025; 17(22):3022. https://doi.org/10.3390/polym17223022
Chicago/Turabian StyleKlushin, Victor, Ivan Zubkov, Dmitry Petrenko, Alina Petrenko, Tatyana Yurieva, Tatyana Belichenko, Aleksey Yatsenko, Yash Kataria, and Anna Ulyankina. 2025. "Biorenewable FDCA-Based Alkyd Resins for More Sustainable Wood Coatings" Polymers 17, no. 22: 3022. https://doi.org/10.3390/polym17223022
APA StyleKlushin, V., Zubkov, I., Petrenko, D., Petrenko, A., Yurieva, T., Belichenko, T., Yatsenko, A., Kataria, Y., & Ulyankina, A. (2025). Biorenewable FDCA-Based Alkyd Resins for More Sustainable Wood Coatings. Polymers, 17(22), 3022. https://doi.org/10.3390/polym17223022

